Optimizing Antioxidant and Anti-Hyaluronidase Activities of Mixed Coffea arabica, Centella asiatica, and Curcuma longa Extracts for Cosmetic Application
Abstract
1. Introduction
2. Materials and Methods
2.1. Materials
2.2. Plant Collection and Extraction
2.3. Determination of Antioxidant Activity
2.3.1. DPPH Radical Scavenging Assay
2.3.2. Lipid Peroxidation Inhibition via Ferric Thiocyanate Assay
2.3.3. Ferric Reducing Antioxidant Power (FRAP) Assay
2.4. Determination of Hyaluronidase Inhibitory Activity via Turbidimetric Assay
2.5. Determination of Optimal Proportion of Mixed Extracts Using Design of Experiment (DOE)
2.6. Determination of Total Phenolic Content
2.7. Photostability Test of Mixed Extracts
2.8. Statistical Analysis
3. Results
3.1. Preparation of C. longa, C. arabica, and C. asiatica Extracts
3.2. Antioxidant Activity of Single Extracts
3.2.1. DPPH Radical Scavenging Assay
3.2.2. Lipid Peroxidation Inhibition Assay
3.2.3. Ferric Reducing Antioxidant Power Assay
3.3. Total Phenolic Content of Single Extracts
3.4. Anti-hyaluronidase Activity of Single Extracts
3.5. Optimal Proportion of Mixed Extracts Using Design of Experiment (DOE)
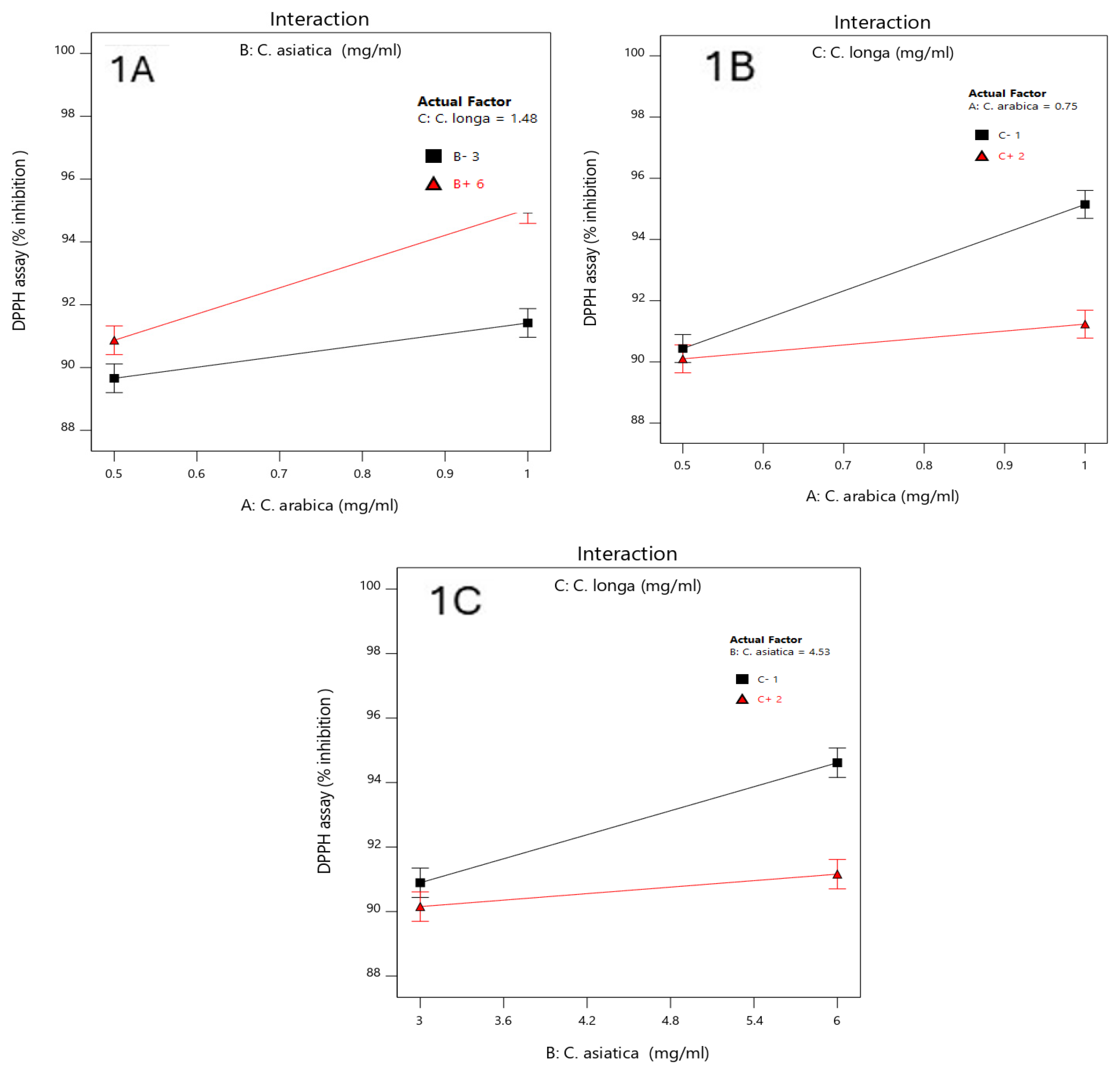
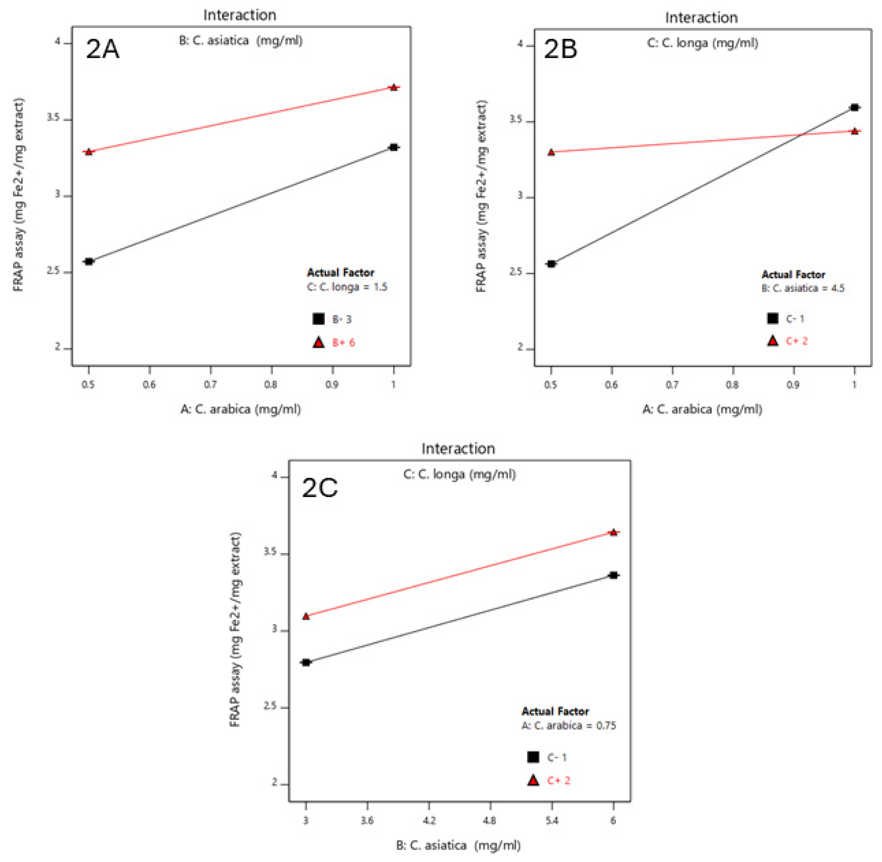
3.6. Antioxidant Activity of Mixed Extracts by DOE
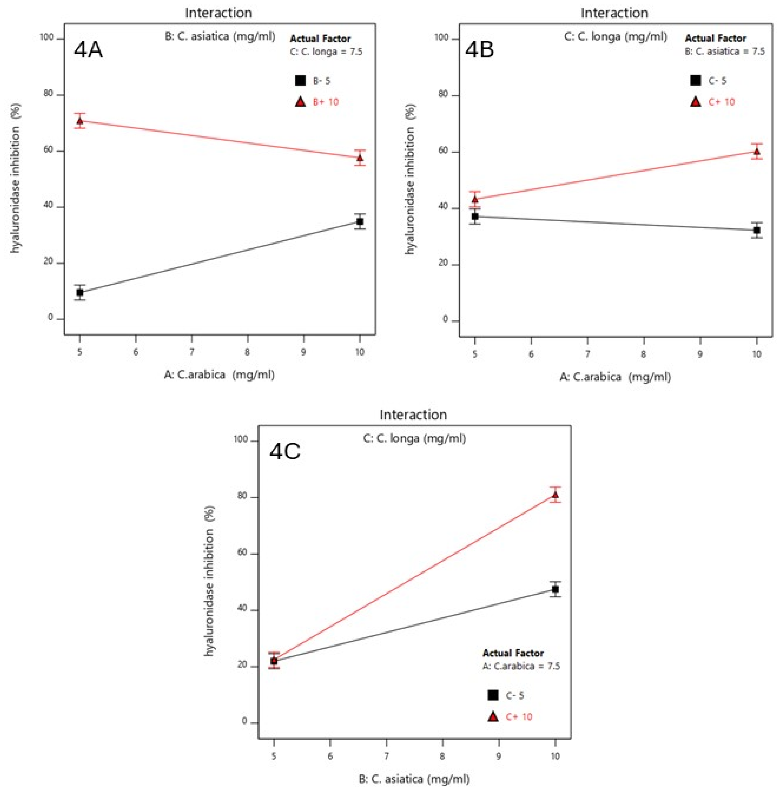
3.7. Anti-hyaluronidase Activity of Mixed Extracts via DOE
3.8. Determination of Total Phenolic Content of Mixed Extracts
3.9. Photostability Study
4. Discussion
5. Conclusions
Author Contributions
Funding
Institutional Review Board Statement
Informed Consent Statement
Data Availability Statement
Acknowledgments
Conflicts of Interest
References
- Vierkötter, A.; Krutmann, J. Environmental influences on skin aging and ethnic-specific manifestations. Dermatoendocrinol 2012, 4, 227–231. [Google Scholar] [CrossRef] [PubMed]
- Fisher, G.J.; Kang, S.; Varani, J.; Bata-Csorgo, Z.; Wan, Y.; Datta, S.; Voorhees, J.J. Mechanisms of photoaging and chronological skin aging. Arch. Dermatol. 2002, 138, 1462–1470. [Google Scholar] [CrossRef] [PubMed]
- Saewan, N.; Jimtaisong, A.; Panyachariwat, N.; Chaiwut, P. In Vitro and In Vivo Anti-Aging Effect of Coffee Berry Nanoliposomes. Molecules 2023, 28, 6830. [Google Scholar] [CrossRef] [PubMed]
- Panzella, L. Natural phenolic compounds for health, food and cosmetic applications. Antioxidants 2020, 9, 427. [Google Scholar] [CrossRef] [PubMed]
- Younis, M.M.; Ayoub, I.M.; Mostafa, N.M.; El Hassab, M.A.; Eldehna, W.M.; Al-Rashood, S.T.; Eldahshan, O.A. GC/MS profiling, anti-collagenase, anti-elastase, anti-tyrosinase and anti-hyaluronidase activities of a Stenocarpus sinuatus leaves extract. Plants 2022, 11, 918. [Google Scholar] [CrossRef]
- Seevaratnam, V.; Banumathi, P.; Premalatha, M.; Sundaram, S.; Arumugam, T. Functional properties of Centella asiatica (L.): A review. Int. J. Pharm. Pharm. Sci. 2012, 4, 8–14. [Google Scholar]
- Bylka, W.; Znajdek-Awizen, P.; Studzinska-Sroka, E.; Danczak-Pazdrowska, A.; Brzezinska, M. Centella asiatica in dermatology: An overview. Phytother. Res. 2014, 28, 1117–1124. [Google Scholar] [CrossRef]
- Palmieri, M.G.S.; Cruz, L.T.; Bertges, F.S.; Húngaro, H.M.; Batista, L.R.; da Silva, S.S.; Fonseca, M.J.V.; Rodarte, M.P.; Vilela, F.M.P.; do Amaral, M.d.P.H. Enhancement of antioxidant properties from green coffee as promising ingredient for food and cosmetic industries. Biocatal. Agric. Biotechnol. 2018, 16, 43–48. [Google Scholar] [CrossRef]
- Alves, G.A.D.; Oliveira de Souza, R.; Ghislain Rogez, H.L.; Masaki, H.; Fonseca, M.J.V. Cecropia obtusa extract and chlorogenic acid exhibit anti aging effect in human fibroblasts and keratinocytes cells exposed to UV radiation. PLoS ONE 2019, 14, e0216501. [Google Scholar] [CrossRef]
- Girsang, E.; Ginting, C.N.; Lister, I.N.E.; Yashfa Gunawan, K.; Widowati, W. Anti-inflammatory and antiaging properties of chlorogenic acid on UV-induced fibroblast cell. PeerJ 2021, 9, e11419. [Google Scholar] [CrossRef]
- Vollono, L.; Falconi, M.; Gaziano, R.; Iacovelli, F.; Dika, E.; Terracciano, C.; Bianchi, L.; Campione, E. Potential of Curcumin in Skin Disorders. Nutrients 2019, 11, 2169. [Google Scholar] [CrossRef] [PubMed]
- Kiattisin, K.; Intasai, N.; Nitthikan, N.; Nantarat, T.; Lee, K.-H.; Lin, W.-C.; Lue, S.-C.; Leelapornpisid, P. Antioxidant, anti-tyrosinase, anti-aging potentials and safety of arabica coffee cherry extract. Chiang Mai J. Sci. 2019, 46, 930–945. [Google Scholar]
- Kiattisin, K.; Nantarat, T.; Leelapornpisid, P. Evaluation of antioxidant and anti-tyrosinase activities as well as stability of green and roasted coffee bean extracts from Coffea arabica and Coffea canephora grown in Thailand. J. Pharmacogn. Phytother. 2016, 8, 182–192. [Google Scholar]
- Nitthikan, N.; Leelapornpisid, P.; Naksuriya, O.; Intasai, N.; Kiattisin, K. Potential and alternative bioactive compounds from brown Agaricus bisporus mushroom extracts for xerosis treatment. Sci. Pharm. 2022, 90, 59. [Google Scholar] [CrossRef]
- Baertschi, S.W.; Alsante, K.M.; Tønnesen, H.H. A critical assessment of the ICH guideline on photostability testing of new drug substances and products (Q1B): Recommendation for revision. J. Pharm. Sci. 2010, 99, 2934–2940. [Google Scholar] [CrossRef]
- Boonrueang, N.; Kiattisin, K.; Ampasavate, C. Effects of antioxidants and sun-screening agent on the photostability of curcumin. In Proceedings of the 10th International Conference on Nutrition and Physical Activity in Ageing, Obesity, and Cancer, Chonburi, Thailand, 18–20 December 2019; pp. 18–20. [Google Scholar]
- Wichayapreechar, P.; Anuchapreeda, S.; Phongpradist, R.; Rungseevijitprapa, W.; Ampasavate, C. Dermal targeting of Centella asiatica extract using hyaluronic acid surface modified niosomes. J. Liposome Res. 2020, 30, 197–207. [Google Scholar] [CrossRef]
- Tambun, R.; Alexander, V.; Ginting, Y. Performance comparison of maceration method, soxhletation method, and microwave-assisted extraction in extracting active compounds from soursop leaves (Annona muricata). In IOP Conference Series: Materials Science and Engineering; IOP Publishing: Bristol, UK, 2021; p. 012095. [Google Scholar]
- Gligor, O.; Clichici, S.; Moldovan, R.; Muntean, D.; Vlase, A.-M.; Nadăș, G.C.; Matei, I.A.; Filip, G.A.; Vlase, L.; Crișan, G. The effect of extraction methods on phytochemicals and biological activities of green coffee beans extracts. Plants 2023, 12, 712. [Google Scholar] [CrossRef]
- Jeszka-Skowron, M.; Sentkowska, A.; Pyrzyńska, K.; De Peña, M.P. Chlorogenic acids, caffeine content and antioxidant properties of green coffee extracts: Influence of green coffee bean preparation. Eur. Food Res. Technol. 2016, 242, 1403–1409. [Google Scholar] [CrossRef]
- Ruksiriwanich, W.; Khantham, C.; Sringarm, K.; Sommano, S.; Jantrawut, P. Depigmented Centella asiatica Extraction by Pretreated with Supercritical Carbon Dioxide Fluid for Wound Healing Application. Processes 2020, 8, 277. [Google Scholar] [CrossRef]
- Neha, K.; Haider, M.R.; Pathak, A.; Yar, M.S. Medicinal prospects of antioxidants: A review. Eur. J. Med. Chem. 2019, 178, 687–704. [Google Scholar] [CrossRef]
- Silva, S.; Ferreira, M.; Oliveira, A.; Magalhães, C.; Sousa, M.; Pinto, M.; Sousa Lobo, J.; Almeida, I. Evolution of the use of antioxidants in anti-ageing cosmetics. Int. J. Cosmet. Sci. 2019, 41, 378–386. [Google Scholar] [CrossRef] [PubMed]
- Bose, B.; Choudhury, H.; Tandon, P.; Kumaria, S. Studies on secondary metabolite profiling, anti-inflammatory potential, in vitro photoprotective and skin-aging related enzyme inhibitory activities of Malaxis acuminata, a threatened orchid of nutraceutical importance. J. Photochem. Photobiol. B Biol. 2017, 173, 686–695. [Google Scholar] [CrossRef] [PubMed]
- de Lima Cherubim, D.J.; Buzanello Martins, C.V.; Oliveira Fariña, L.; da Silva de Lucca, R.A. Polyphenols as natural antioxidants in cosmetics applications. J. Cosmet. Dermatol. 2020, 19, 33–37. [Google Scholar] [CrossRef] [PubMed]
- Ghasemzadeh, A.; Ghasemzadeh, N. Flavonoids and phenolic acids: Role and biochemical activity in plants and human. J. Med. Plants Res. 2011, 5, 6697–6703. [Google Scholar] [CrossRef]
- Pourmorad, F.; Hosseinimehr, S.; Shahabimajd, N. Antioxidant activity, phenol and flavonoid contents of some selected Iranian medicinal plants. Afr. J. Biotechnol. 2006, 5, 11. [Google Scholar]
- Wu, Y.-Y.; Li, W.; Xu, Y.; Jin, E.-H.; Tu, Y.-Y. Evaluation of the antioxidant effects of four main theaflavin derivatives through chemiluminescence and DNA damage analyses. J. Zhejiang Univ. Sci. B 2011, 12, 744–751. [Google Scholar] [CrossRef]
- Shahidi, F.; Janitha, P.; Wanasundara, P. Phenolic antioxidants. Crit. Rev. Food Sci. Nutr. 1992, 32, 67–103. [Google Scholar] [CrossRef]
- Lanigan, R.S.; Yamarik, T.A. Final report on the safety assessment of BHT (1). Int. J. Toxicol. 2002, 21, 19–94. [Google Scholar]
- Tomasina, F.; Carabio, C.; Celano, L.; Thomson, L. Analysis of two methods to evaluate antioxidants. Biochem. Mol. Biol. Educ. 2012, 40, 266–270. [Google Scholar] [CrossRef]
- Liyanaarachchi, G.D.; Samarasekera, J.K.R.R.; Mahanama, K.R.R.; Hemalal, K.D.P. Tyrosinase, elastase, hyaluronidase, inhibitory and antioxidant activity of Sri Lankan medicinal plants for novel cosmeceuticals. Ind. Crops Prod. 2018, 111, 597–605. [Google Scholar] [CrossRef]
- Leopoldini, M.; Russo, N.; Toscano, M. The molecular basis of working mechanism of natural polyphenolic antioxidants. Food Chem. 2011, 125, 288–306. [Google Scholar] [CrossRef]
- Papakonstantinou, E.; Roth, M.; Karakiulakis, G. Hyaluronic acid: A key molecule in skin aging. Derm. Endocrinol. 2012, 4, 253–258. [Google Scholar] [CrossRef] [PubMed]
- Abd Razak, D.L.; Jamaluddin, A.; Abd Rashid, N.Y.; Sani, N.A.; Abdul Manan, M. Assessment of Cosmeceutical Potentials of Selected Mushroom Fruitbody Extracts Through Evaluation of Antioxidant, Anti-Hyaluronidase and Anti-Tyrosinase Activity. J 2020, 3, 329–342. [Google Scholar] [CrossRef]
- Bessada, S.M.; Alves, C.R.; Oliveira, P.P.M.B. Coffee silverskin: A review on potential cosmetic applications. Cosmetics 2018, 5, 5. [Google Scholar] [CrossRef]
- Nema, N.K.; Maity, N.; Sarkar, B.K.; Mukherjee, P.K. Matrix metalloproteinase, hyaluronidase and elastase inhibitory potential of standardized extract of Centella asiatica. Pharm. Biol. 2013, 51, 1182–1187. [Google Scholar] [CrossRef] [PubMed]
- Olszowy-Tomczyk, M. Synergistic, antagonistic and additive antioxidant effects in the binary mixtures. Phytochem. Rev. 2020, 19, 63–103. [Google Scholar] [CrossRef]
- Sies, H. Oxidative stress: A concept in redox biology and medicine. Redox Biol. 2015, 4, 180–183. [Google Scholar] [CrossRef]
- Gupta, S.C.; Patchva, S.; Aggarwal, B.B. Therapeutic roles of curcumin: Lessons learned from clinical trials. AAPS J. 2013, 15, 195–218. [Google Scholar] [CrossRef]
- Palanisamy, U.D.; Ling, L.T.; Manaharan, T.; Appleton, D. Rapid isolation of geraniin from Nephelium lappaceum rind waste and its anti-hyperglycemic activity. Food Chem. 2011, 127, 21–27. [Google Scholar] [CrossRef]
- Yap, V.L.; Tan, L.F.; Rajagopal, M.; Wiart, C.; Selvaraja, M.; Leong, M.Y.; Tan, P.L. Evaluation of phytochemicals and antioxidant potential of a new polyherbal formulation TC-16: Additive, synergistic or antagonistic? BMC Complement. Med. Ther. 2023, 23, 93. [Google Scholar] [CrossRef]
- Bisht, A.; Dickens, M.; Rutherfurd-Markwick, K.; Thota, R.; Mutukumira, A.N.; Singh, H. Chlorogenic acid potentiates the anti-inflammatory activity of curcumin in LPS-stimulated THP-1 cells. Nutrients 2020, 12, 2706. [Google Scholar] [CrossRef] [PubMed]
- Olszowy, M.; Dawidowicz, A.L.; Jóźwik-Dolęba, M. Are mutual interactions between antioxidants the only factors responsible for antagonistic antioxidant effect of their mixtures? Additive and antagonistic antioxidant effects in mixtures of gallic, ferulic and caffeic acids. Eur. Food Res. Technol. 2019, 245, 1473–1485. [Google Scholar] [CrossRef]
- Min, D.-H.; Yu, Y.-B.; Kim, T.-H.; Kim, H.; Lee, S. Pharmacological effects of pentacyclic triterpenoids isolated from Centella asiatica. Hortic. Environ. Biotechnol. 2024, 65, 189–197. [Google Scholar] [CrossRef]
- Bhatti, M.Z.; Karim, A. Plant Natural Products: A Promising Source of Hyaluronidase Enzyme Inhibitors. Extracellular Matrix-Developments and Therapeutics; Madhurapantula, R.S., Orgel, J.P.R.O., Loewy, Z., Eds.; IntechOpen: London, UK, 2021. [Google Scholar]
- Zhou, Y.; Tang, R.-C. Modification of curcumin with a reactive UV absorber and its dyeing and functional properties for silk. Dyes Pigments 2016, 134, 203–211. [Google Scholar] [CrossRef]
- Lee, B.H.; Choi, H.A.; Kim, M.-R.; Hong, J. Changes in chemical stability and bioactivities of curcumin by ultraviolet radiation. Food Sci. Biotechnol. 2013, 22, 279–282. [Google Scholar] [CrossRef]
- He, H.; Li, A.; Li, S.; Tang, J.; Li, L.; Xiong, L. Natural components in sunscreens: Topical formulations with sun protection factor (SPF). Biomed. Pharmacother. 2021, 134, 111161. [Google Scholar] [CrossRef]




| Sample | Antioxidant Activity | ||
|---|---|---|---|
| DPPH Assay | Lipid Peroxidation Inhibition Assay | FRAP Assay | |
| IC50 (mg/mL) | IC50 (mg/mL) | FRAP Value (mg Fe2+/mg Extract) | |
| C. arabica extract | 0.54 ± 0.06 d | 0.17 ± 0.01 c | 3.24 ± 0.14 e | 
| C. asiatica extract | 2.74 ± 0.04 e | ND | 0.77 ± 0.05 b | 
| C. longa extract | 0.92 ± 0.00 c | 0.20 ± 0.01 d | 1.36 ± 0.11 c | 
| Trolox | 0.32 ± 0.01 b | 0.02 ± 0.00 a | 6.51± 0.01 f | 
| Chlorogenic acid | 0.06 ± 0.00 a | ND | 2.64 ± 0.00 d | 
| Asiaticoside | 0.55± 0.16 d | ND | 0.57 ± 0.10 a | 
| Curcumin | 0.06 ± 0.00 a | 0.15 ± 0.03 b | 4.46 ± 0.00 f | 
| Sample (Conc. 200 µg/mL) | % Hyaluronidase Inhibitory Activity | 
|---|---|
| C. arabica extract | 37.34 ± 3.55 c | 
| C. asiatica extract | 20.33 ± 1.44 b | 
| C. longa extract | 16.32 ± 7.07 ab | 
| Tannic acid | 62.51 ± 6.70 d | 
| Chlorogenic acid | 15.60 ± 1.30 ab | 
| Asiaticoside | 14.54 ± 0.44 a | 
| Curcumin | 20.91 ± 4.04 b | 
| Factor | Notation | Factor Levels (mg/mL) | |
|---|---|---|---|
| Low (−) | High (+) | ||
| C. arabica extract | A | 0.5 | 1 | 
| C. asiatica extract | B | 3 | 6 | 
| C. longa extract | C | 1 | 2 | 
| Factor | Notation | Factor Levels (mg/mL) | |
|---|---|---|---|
| Low (−) | High (+) | ||
| C. arabica extract | A | 5 | 10 | 
| C. asiatica extract | B | 5 | 10 | 
| C. longa extract | C | 5 | 10 | 
| Run Order | Factor (mg/mL) | Response | ||||
|---|---|---|---|---|---|---|
| A | B | C | DPPH Assay (%inhibition) | FRAP Assay (mg Fe2+/mg Extract) | Lipid Peroxidation Inhibition Assay (%inhibition) | |
| 1 | 0.5 | 3 | 1 | 90.10 ± 0.16 | 2.16 ± 0.01 | 60.61 ± 2.34 | 
| 2 | 1 | 3 | 1 | 91.69 ± 0.36 | 3.43 ± 0.30 | 48.17 ± 1.45 | 
| 3 | 0.5 | 6 | 1 | 90.76 ± 0.56 | 2.96 ± 0.30 | 54.13 ± 3.22 | 
| 4 | 1 | 6 | 1 | 98.47 ± 0.43 | 3.76 ± 0.12 | 61.24 ± 3.45 | 
| 5 | 0.5 | 3 | 2 | 89.18 ± 1.71 | 2.98 ± 0.02 | 64.77 ± 0.06 | 
| 6 | 1 | 3 | 2 | 91.12 ± 0.67 | 3.21 ± 0.10 | 67.04 ± 0.02 | 
| 7 | 0.5 | 6 | 2 | 90.98 ± 0.39 | 3.62 ± 0.07 | 67.03 ± 1.24 | 
| 8 | 1 | 6 | 2 | 91.34 ± 0.51 | 3.67 ±0.23 | 61.67 ± 2.44 | 
| Source | Coefficients | F Value | p Value | 
|---|---|---|---|
| Model | 104.01 | 43.59 | <0.0001 * | 
| A—C. arabica | −25.09 | 16.98 | 0.0008 * | 
| B—C. asiatica | −4.75 | 21.93 | 0.0002 * | 
| C—C. longa | −10.07 | 10.95 | 0.0044 * | 
| AB | 9.20 | 51.35 | <0.0001 * | 
| AC | 16.06 | 17.41 | 0.0007 * | 
| BC | 2.94 | 20.97 | 0.0003 * | 
| ABC | −5.13 | 39.87 | <0.0001 * | 
| Source | Coefficients | p Value | 
|---|---|---|
| Model | 3.23 | <0.0001 * | 
| A—C. arabica | 0.2927 | <0.0001 * | 
| B—C. asiatica | 0.2786 | <0.0001 * | 
| C—C. longa | 0.1458 | <0.0001 * | 
| AB | −0.0814 | <0.0001 * | 
| AC | −0.2231 | <0.0001 * | 
| BC | −0.0053 | <0.0001 * | 
| ABC | 0.0347 | <0.0001 * | 
| Source | Coefficients | p Value | 
|---|---|---|
| Model | 60.58 | <0.0001 * | 
| A—C. arabica | −1.05 | <0.0001 * | 
| B—C. asiatica | 0.4347 | <0.0001 * | 
| C—C. longa | 4.55 | < 0.0001 * | 
| AB | 1.49 | <0.0001 * | 
| AC | 0.2797 | <0.0001 * | 
| BC | −1.21 | <0.0001 * | 
| ABC | −3.40 | <0.0001 * | 
| C. Arabica Extract | C. Asiatica Extract | C. longa Extract | DPPH Assay (%inhibition) | FRAP Assay (mg Fe2+/mg Extract) | Lipid Peroxidation Inhibition Assay (%inhibition) | |
|---|---|---|---|---|---|---|
| Model | 0.5 | 6 | 2 | 90.98 | 3.62 | 67.03 | 
| Actual | 0.5 | 6 | 2 | 92.86 | 3.28 | 62.33 | 
| Different | 1.88% | 0.38% | 4.7% | 
| Run Order | Factor (mg/mL) | Response | ||
|---|---|---|---|---|
| A | B | C | Hyaluronidase Inhibition (%inhibition) | |
| 1 | 5 | 5 | 5 | 11.65 ± 1.97 | 
| 2 | 10 | 5 | 5 | 32.29 ± 0.82 | 
| 3 | 5 | 10 | 5 | 62.69 ± 9.75 | 
| 4 | 10 | 10 | 5 | 32.29 ± 0.82 | 
| 5 | 5 | 5 | 10 | 7.48 ± 2.23 | 
| 6 | 10 | 5 | 10 | 37.56 ± 5.59 | 
| 7 | 5 | 10 | 10 | 79.07 ± 1.72 | 
| 8 | 10 | 10 | 10 | 83.00 ± 3.79 | 
| Source | Coefficients | p Value | 
|---|---|---|
| Model | 43.25 | <0.0001 * | 
| A—C. arabica | 3.03 | 0.0038 * | 
| B—C. asiatica | 21.01 | <0.0001 * | 
| C—C. longa | 8.52 | <0.0001 * | 
| AB | −9.65 | <0.0001 * | 
| AC | 5.47 | <0.0001 * | 
| BC | 8.25 | <0.0001 * | 
| ABC | 3.11 | 0.0031 * | 
| C. arabica Extract | C. Asiatica Extract | C. Longa Extract | Hyaluronidase Inhibition (%) | |
|---|---|---|---|---|
| Model | 10 | 10 | 5 | 83.00 | 
| Actual | 10 | 10 | 5 | 81.04 | 
| Different | 2.43% | |||
| Sample | Total Phenolic Content (mg GAE/g Sample) | |
|---|---|---|
| Concentration of Sample by DOE of Antioxidant Test | Concentration of Sample by DOE of Anti-hyaluronidase Test | |
| C. arabica extract | 39.91 ± 0.03 a | 205.90 ± 0.10 a | 
| C. asiatica extract | 93.52 ± 3.55 b | 148.12 ± 0.07 b | 
| C. longa extract | 96.78 ± 0.00 c | 153.04 ± 0.08 c | 
| Mixed extracts | 196.63 ± 0.03 d | 270.44 ± 0.24 d | 
| Sample | % Reduction | 
|---|---|
| C. longa extract (2 mg/mL) | 69.07 ± 0.00 p | 
| C. asiatica extract (6 mg/mL) | 44.11 ± 0.00 i | 
| C. arabica extract (0.5 mg/mL) | 55.58 ± 0.14 q | 
| Mixed antioxidant ratio | 41.61 ± 0.11 i | 
| Mixed antioxidant ratio with BHT | 31.64 ± 0.13 f | 
| Mixed antioxidant ratio with tocopherol acetate | 36.39 ± 0.12 g | 
| Mixed antioxidant ratio with sodium metabisulfite | 17.91 ± 0.00 e | 
| Mixed antioxidant ratio with BEMT | 2.84 ± 0.17 a | 
| Mixed antioxidant ratio with titanium dioxide | 8.51 ± 0.17 b | 
| C. longa extract (5 mg/mL) | 51.46 ± 0.00 k | 
| C. asiatica extract (10 mg/mL) | 40.45 ± 0.24 h | 
| C. arabica extract (10 mg/mL) | 48.41 ± 0.07 j | 
| Mixed anti-hyaluronidase ratio | 66.65 ± 0.04 o | 
| Mixed anti-hyaluronidase with BHT | 63.67 ± 0.02 n | 
| Mixed anti-hyaluronidase ratio with tocopherol acetate | 59.02 ± 0.00 m | 
| Mixed anti-hyaluronidase ratio with sodium metabisulfite | 58.63 ± 0.00 l | 
| Mixed anti-hyaluronidase ratio with BEMT | 36.27 ± 0.00 g | 
| Mixed anti-hyaluronidase ratio with titanium dioxide | 43.98 ± 0.03 i | 
| Mixed antioxidant ratio with BEMT and sodium metabisulfite | 15.33 ± 0.00 d | 
| Mixed anti-hyaluronidase ratio with BEMT and sodium metabisulfite | 12.47 ± 0.00 c | 
| Disclaimer/Publisher’s Note: The statements, opinions and data contained in all publications are solely those of the individual author(s) and contributor(s) and not of MDPI and/or the editor(s). MDPI and/or the editor(s) disclaim responsibility for any injury to people or property resulting from any ideas, methods, instructions or products referred to in the content. | 
© 2024 by the authors. Licensee MDPI, Basel, Switzerland. This article is an open access article distributed under the terms and conditions of the Creative Commons Attribution (CC BY) license (https://creativecommons.org/licenses/by/4.0/).
Share and Cite
Phupaisan, N.; Ampasavate, C.; Natakankitkul, S.; Kiattisin, K. Optimizing Antioxidant and Anti-Hyaluronidase Activities of Mixed Coffea arabica, Centella asiatica, and Curcuma longa Extracts for Cosmetic Application. Cosmetics 2024, 11, 201. https://doi.org/10.3390/cosmetics11060201
Phupaisan N, Ampasavate C, Natakankitkul S, Kiattisin K. Optimizing Antioxidant and Anti-Hyaluronidase Activities of Mixed Coffea arabica, Centella asiatica, and Curcuma longa Extracts for Cosmetic Application. Cosmetics. 2024; 11(6):201. https://doi.org/10.3390/cosmetics11060201
Chicago/Turabian StylePhupaisan, Natthanan, Chadarat Ampasavate, Surapol Natakankitkul, and Kanokwan Kiattisin. 2024. "Optimizing Antioxidant and Anti-Hyaluronidase Activities of Mixed Coffea arabica, Centella asiatica, and Curcuma longa Extracts for Cosmetic Application" Cosmetics 11, no. 6: 201. https://doi.org/10.3390/cosmetics11060201
APA StylePhupaisan, N., Ampasavate, C., Natakankitkul, S., & Kiattisin, K. (2024). Optimizing Antioxidant and Anti-Hyaluronidase Activities of Mixed Coffea arabica, Centella asiatica, and Curcuma longa Extracts for Cosmetic Application. Cosmetics, 11(6), 201. https://doi.org/10.3390/cosmetics11060201
 
        



 
       