Chemical Compounds Responsible for Skin Allergy to Complex Mixtures: How to Identify Them?
Abstract
1. Introduction
2. Bioassay-Guided Fractionation (BGF)—Combination with SARs
2.1. An Eau De Toilette
2.2. Oak Moss Natural Extract
3. Complex Mixtures and Chemical Reactivity
Aged Tea Tree Oil
4. Conclusions
Funding
Conflicts of Interest
Abbreviations
References
- European Commission. Directive 2003/15/EC of the European Parliament and of the Council of 27 February 2003 amending Council Directive 76/768/EEC on the approximation of the laws of the Member States relating to cosmetic products—7th Amendment to the European Cosmetics Directive. Off. J. Eur. Union 2003, L66, 26–35. [Google Scholar]
- European Commission. Regulation (EC) No 1907/2006 of the European Parliament and of the Council of the 18 December 2006 concerning the Registration, Evaluation, Authorization and Restriction of Chemicals (REACH), establishing a European Chemicals Agency. Off. J. Eur. Union 2006, L396, 1–849. [Google Scholar]
- OECD. The Adverse Outcome Pathway for skin sensitization initiated by covalent binding to proteins. Part 1: Scientific evidence. In Series on Testing and Assessment; OCDE Publisher: Paris, France, 2014. [Google Scholar] [CrossRef]
- OECD. In Chemico Skin Sensitization: Direct Peptide Reactivity Assay (DPRA). In OECD Guideline for the Testing of Chemicals; OECD testing guidelines 442C; OCDE Publisher: Paris, France, 2019. [Google Scholar] [CrossRef]
- OECD. In Vitro Skin Sensitization: ARE-Nrf2 Luciferase Test Method. In OECD Guideline for the Testing of Chemicals; OECD testing guidelines 442D; OCDE Publisher: Paris, France, 2018. [Google Scholar] [CrossRef]
- OECD. Human Cell Line Activation test (h-CLAT). In OECD Guideline for the Testing of Chemicals; OECD testing guidelines 442E; OCDE Publisher: Paris, France, 2018. [Google Scholar] [CrossRef]
- De Groot, A.C.; Schmidt, E. Contact allergy to essential oils: General aspects. In Essential Oils. Contact Allergy and Chemical Composition; de Groot, A.C., Schmidt, E., Eds.; CRC Press, Taylor & Francis Group: Boca Raton, FL, USA, 2016. [Google Scholar]
- Api, A.M.; Lalko, J. Investigation of the dermal sensitization potential of various essential oils in the local lymph node assay. Food Chem. Toxicol. 2006, 44, 739–746. [Google Scholar]
- Lang, M.; Giménez-Arnau, E.; Lepoittevin, J.P. Is it possible to assess the allergenicity of mixtures based on in chemico methods? Preliminary results on common fragrance aldehydes. Flavour Fragr. J. 2017, 32, 63–71. [Google Scholar] [CrossRef]
- Andres, E.; Sá-Rocha, M.; Barrichello, C.; Haupt, T.; Ellis, G.; Natsch, A. The sensitivity of the KeratinoSens™ assay to evaluate plant extracts: A pilot study. Toxicol. In Vitro 2013, 27, 1220–1225. [Google Scholar] [CrossRef] [PubMed]
- Nishijo, T.; Miyazawa, M.; Saito, K.; Otsubo, Y.; Mizumachi, H.; Sakaguchi, H. Sensitivity of KeratinoSensTM and h-CLAT for detecting minute amounts of sensitizers to evaluate botanical extract. J. Toxicol. Sci. 2019, 44, 13–21. [Google Scholar] [CrossRef] [PubMed]
- Johansson, H.; Gradin, R.; Forreryd, A.; Agemark, M.; Zeller, K.; Johansson, A.; Larne, O.; van Vliet, E.; Borrebaeck, C.; Lindstedt, M. Evaluation of the GARD assay in a blind cosmetics Europe study. ALTEX 2017, 34, 515–523. [Google Scholar] [CrossRef][Green Version]
- De Ávila, R.I.; Veloso, D.; Teixeira, G.C.; Rodrigues, T.L.; Lindberg, T.; Lindstedt, M.; Fonseca, S.G.; Lima, E.M.; Valadares, M.C. Evaluation of in vitro testing strategies for hazard assessment of the skin sensitization potential of “real-life” mixtures: The case of henna-based hair coloring products containing p-phenylenediamine. Contact Dermat. 2019, 81, 194–209. [Google Scholar] [CrossRef]
- Menné Bonefeld, C.; Nielsen, M.M.; Rubin, I.M.C.; Vennegaard, M.T.; Dabelsteen, S.; Giménez-Arnau, E.; Lepoittevin, J.P.; Geisler, C.; Johansen, J.D. Enhanced sensitization and elicitation responses caused by mixtures of common fragrance allergens. Contact Dermat. 2011, 65, 336–342. [Google Scholar] [CrossRef]
- Menné Bonefeld, C.; Nielsen, M.M.; Giménez-Arnau, E.; Lang, M.; Vennegaard, M.T.; Geisler, C.; Johansen, J.D.; Lepoittevin, J.P. An immune response study of oak moss absolute and its constituents atranol and chloroatranol. Contact Dermat. 2014, 70, 282–290. [Google Scholar] [CrossRef]
- Cottrez, F.; Boitel, E.; Berrada-Gomez, M.P.; Dalhuchyts, H.; Bidan, C.; Rattier, S.; Ferret, P.J.; Groux, H. In vitro measurement of skin sensitization hazard of mixtures and finished products: Results obtained with the SENS-IS assays. Toxicol. In Vitro 2019. [Google Scholar] [CrossRef] [PubMed]
- Pieters, L.; Vlietinck, A.J. Bioguided isolation of pharmacologically active plant components, still a valuable strategy for the finding of new lead compounds? J. Ethnopharmacol. 2005, 100, 57–60. [Google Scholar] [CrossRef] [PubMed]
- Mutterer, V.; Giménez-Arnau, E.; Lepoittevin, J.P.; Johansen, J.D.; Frosch, P.J.; Menné, T.; Andersen, K.E.; Bruze, M.; Rastogi, S.C.; White, I.R. Identification of coumarin as the sensitizer in a patient sensitive to her own perfume but negative to the fragrance mix. Contact Dermat. 1999, 40, 196–199. [Google Scholar] [CrossRef]
- Dharmagunawardena, B.; Takwale, A.; Sanders, K.J.; Cannan, S.; Rodger, A.; Ilchyshyn, A. Gas chromatography: An investigative tool in multiple allergies to essential oils. Contact Dermat. 2002, 47, 288–292. [Google Scholar] [CrossRef] [PubMed]
- De Groot, A.C.; Weijland, J.W. Systemic contact dermatitis from tea tree oil. Contact Dermat. 1992, 27, 279–280. [Google Scholar] [CrossRef] [PubMed]
- Lepoittevin, J.P. Molecular aspects in allergic and irritant contact dermatitis. In Contact Dermatitis 5th Edition; Johansen, J.D., Frosch, P.J., Lepoittevin, J.P., Eds.; Springer: Berlin/Heidelberg, Germany, 2011; pp. 91–110. [Google Scholar]
- Kao, D.; Chaintreau, A.; Lepoittevin, J.P.; Giménez-Arnau, E. Mechanistic studies on the reactivity of sensitizing allylic hydroperoxides: Investigation of the covalent modification of amino acids by carbon-radical intermediates. Toxicol. Res. 2014, 3, 278–289. [Google Scholar] [CrossRef]
- Giménez-Arnau, A.; Giménez-Arnau, E.; Serra-Baldrich, E.; Lepoittevin, J.P.; Camarasa, J.G. Principles and methodology for identification of fragrance allergens in consumer products. Contact Dermat. 2002, 47, 345–352. [Google Scholar] [CrossRef]
- Barrat, M.D.; Basketter, D.A.; Roberts, D.W. Structure-activity relationships for contact hypersensitivity. In Allergic Contact Dermatitis: The Molecular Basis; Lepoittevin, J.P., Basketter, D.A., Goossens, A., Karlberg, A.T., Eds.; Springer: Berlin/Heidelberg, Germany, 1997; pp. 129–154. [Google Scholar]
- Johansen, J.D.; Aalto-Korte, K.; Agner, T.; Andersen, K.E.; Bircher, A.; Bruze, M.; Cannavó, A.; Giménez-Arnau, A.; Gonçalo, M.; Goossens, A.; et al. European Society of Contact Dermatitis guideline for diagnostic patch testing-recommendations on best practice. Contact Dermat. 2015, 73, 195–221. [Google Scholar] [CrossRef]
- De Groot, A.C. (Ed.) Test Concentrations and Vehicles for 3700 Chemicals. Patch Testing; Elsevier: Amsterdam, The Netherlands, 1994. [Google Scholar]
- Uter, W.; Geier, J.; Frosch, P.; Schnuch, A. Contact allergy to fragrances: Current patch test results (2005–2008) from the Information Network of Departments of Dermatology. Contact Dermat. 2010, 63, 254–261. [Google Scholar] [CrossRef]
- Schulz, H.; Albroscheit, G. Characterization of oak moss products used in perfumery by high-performance liquid chromatography. J. Chromatogr. 1989, 466, 301–306. [Google Scholar] [CrossRef]
- Thune, P.; Solberg, Y.; McFadden, N.; Staerfelt, F.; Sandberg, M. Perfume allergy due to oak moss and other lichens. Contact Dermat. 1982, 8, 396–400. [Google Scholar] [CrossRef] [PubMed]
- Bernard, G.; Giménez-Arnau, E.; Rastogi, S.C.; Heydorn, S.; Johansen, J.D.; Menné, T.; Goossens, A.; Andersen, K.E.; Lepoittevin, J.P. Contact allergy to oak moss: Search for sensitizing molecules using combined bioassay-guided chemical fractionation, GC-MS, and structure-activity relationship analysis. Arch. Dermatol. Res. 2003, 295, 229–235. [Google Scholar] [CrossRef] [PubMed]
- Johansen, J.D.; Bernard, G.; Giménez-Arnau, E.; Lepoittevin, J.P.; Bruze, M.; Andersen, K.E. Comparison of elicitation potential of chloroatranol and atranol-2 allergens in oak moss absolute. Contact Dermat. 2006, 54, 192–195. [Google Scholar] [CrossRef] [PubMed]
- Johansen, J.D.; Andersen, K.E.; Svedman, C.; Bruze, M.; Bernard, G.; Giménez-Arnau, E.; Rastogi, S.C.; Lepoittevin, J.P.; Menné, T. Chloroatranol, an extremely potent allergen hidden in perfumes: A dose-response elicitation study. Contact Dermat. 2003, 49, 180–184. [Google Scholar] [CrossRef]
- Rastogi, S.C.; Bossi, R.; Johansen, J.D.; Menné, T.; Bernard, G.; Giménez-Arnau, E.; Lepoittevin, J.P. Content of oak moss allergens atranol and chloroatranol in perfumes and similar products. Contact Dermat. 2004, 50, 367–370. [Google Scholar] [CrossRef] [PubMed]
- Commission Regulation (EU) 2017/1410 of 2 August 2017 amending Annexes II and III to Regulation (EC) No 1223/2009 of the European Parliament and on the Council on cosmetic products. Off. J. Eur. Union 2017, L202, 1–2.
- Chittiboyina, A.G.; Avonto, C.; Rua, D.; Khan, I.A. Alternative testing methods for skin sensitization: NMR spectroscopy for probing the reactivity and classification of potential skin sensitizers. Chem. Res. Toxicol. 2015, 28, 1704–1714. [Google Scholar] [CrossRef]
- Avonto, C.; Chittiboyina, A.G.; Rua, D.; Khan, I.A. A fluorescence high throughput screening method for the detection of reactive electrophiles as potential skin sensitizers. Toxicol. Appl. Pharmacol. 2015, 289, 177–184. [Google Scholar] [CrossRef]
- De Groot, A.C.; Schmidt, E. Tea tree oil. In Essential Oils. Contact Allergy and Chemical Composition; de Groot, A.C., Schmidt, E., Eds.; CRC Press, Taylor & Francis Group: Boca Raton, FL, USA, 2016; pp. 809–824. [Google Scholar]
- Scientific Committee on Consumer Products. Opinion on Tea Tree Oil, SCCP/1155/08. 2008.
- Aptula, A.; Patlewicz, G.; Roberts, D. Skin sensitization: Reaction mechanistic applicability domains for structure-activity relationships. Chem. Res. Toxicol. 2005, 18, 1420–1426. [Google Scholar] [CrossRef]
- Karlberg, A.T.; Bergstrom, M.A.; Borje, A.; Luthman, K.; Nilsson, J.L. Allergic contact dermatitis-formation, structural requirements, and reactivity of skin sensitizers. Chem. Res. Toxicol. 2008, 21, 53–69. [Google Scholar] [CrossRef]
- Avonto, C.; Chittiboyina, A.G.; Wang, M.; Vasquez, Y.; Rua, D.; Khan, I.A. In chemico evaluation of tea tree essential oils as skin sensitizers: Impact of the chemical composition on aging and generation of reactive species. Chem. Res. Toxicol. 2016, 29, 1108–1117. [Google Scholar] [CrossRef] [PubMed]
- Sahli, F.; Silva e Sousa, M.; Vileno, B.; Lichter, J.; Lepoittevin, J.P.; Blömeke, B.; Giménez-Arnau, E. Understanding the skin sensitization capacity of ascaridole: A combined study of chemical reactivity and activation of the innate immune system (dendritic cells) on the epidermal environment. Arch. Toxicol. 2019, 93, 1337–1347. [Google Scholar] [CrossRef] [PubMed]
- Boche, J.; Runquist, O. Kinetics of the thermal rearrangement of ascaridole. J. Org. Chem. 1968, 33, 4285–4286. [Google Scholar] [CrossRef]
- Christoffers, W.A.; Blömeke, B.; Coenraads, P.J.; Schuttelar, M.L. Co-sensitization to ascaridole and tea tree oil. Contact Dermat. 2013, 69, 181–191. [Google Scholar] [CrossRef] [PubMed]
- Avonto, C.; Rua, D.; Lasonkar, P.B.; Chittiboyina, A.G.; Khan, I.A. Identification of a compound isolated from German chamomile (Matricaria chamomilla) with dermal sensitization potential. Toxicol. Appl. Pharmacol. 2017, 318, 16–22. [Google Scholar] [CrossRef] [PubMed]





| Compound | Chemical Structure and Structural Alert | Conc.a) | Day 2 b) | Day 4 b) | Day 7 b) | |
|---|---|---|---|---|---|---|
| Pentyl salicylate | ![]() | Ester | 2% c) | – | – | – |
| Benzyl salicylate | ![]() | Ester | 1% c) | – | – | – |
| Methyldihydrojasmonate | ![]() | Ester and ketone | 2% | – | – | – |
| Lyral®d) | ![]() | Aldehyde | 2% c) | +++ | +++ | ++ |
| Citronellol | ![]() | Alcohol susceptible to metabolisation into an aldehyde | 1% c) | – | – | – |
| Coumarin | ![]() | α,β-unsaturated lactone | 5% c) | – | – | – |
| α-Isomethylionone | ![]() | α,β-unsaturated ketone | 2% | – | – | – |
| α-Damascone | ![]() | α,β-unsaturated ketone | 2% | +++ | +++ | ++ |
| α-Hexyl cinnamaldehyde | ![]() | α,β-unsaturated aldehyde | 2% c) | ++ | +++ | + |
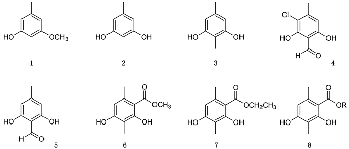
![]() | |
|---|---|
| Compound | Chemical Name (Common Name) |
| 1 | 3-methoxy-5-methyl-phenol |
| 2 | 5-methyl-benzene-1,3-diol (orcinol) |
| 3 | 2,5-dimethyl-benzene-1,3-diol (β-orcinol) |
| 4 | 3-chloro-2,6-dihydroxy-4-methyl-benzaldehyde (chloroatranol) |
| 5 | 2,6-dihydroxy-4-methyl-benzaldehyde (atranol) |
| 6 | 2,4-dihydroxy-3,6-dimethyl-benzoic acid methyl ester (methyl-β-orcinol carboxylate) |
| 7 | 2,4-dihydroxy-3,6-dimethyl-benzoic acid ethyl ester (ethyl-β-orcinol carboxylate) |
| 8 a | 2,4-dihydroxy-3,6-dimethyl-benzoic acid ester |
© 2019 by the author. Licensee MDPI, Basel, Switzerland. This article is an open access article distributed under the terms and conditions of the Creative Commons Attribution (CC BY) license (http://creativecommons.org/licenses/by/4.0/).
Share and Cite
Giménez-Arnau, E. Chemical Compounds Responsible for Skin Allergy to Complex Mixtures: How to Identify Them? Cosmetics 2019, 6, 71. https://doi.org/10.3390/cosmetics6040071
Giménez-Arnau E. Chemical Compounds Responsible for Skin Allergy to Complex Mixtures: How to Identify Them? Cosmetics. 2019; 6(4):71. https://doi.org/10.3390/cosmetics6040071
Chicago/Turabian StyleGiménez-Arnau, Elena. 2019. "Chemical Compounds Responsible for Skin Allergy to Complex Mixtures: How to Identify Them?" Cosmetics 6, no. 4: 71. https://doi.org/10.3390/cosmetics6040071
APA StyleGiménez-Arnau, E. (2019). Chemical Compounds Responsible for Skin Allergy to Complex Mixtures: How to Identify Them? Cosmetics, 6(4), 71. https://doi.org/10.3390/cosmetics6040071










