Individually Switchable InGaN/GaN Nano-LED Arrays as Highly Resolved Illumination Engines
Abstract
:1. Introduction
2. System Design and Methodology
2.1. System Design Concepts
2.2. Numerical Model
3. Results
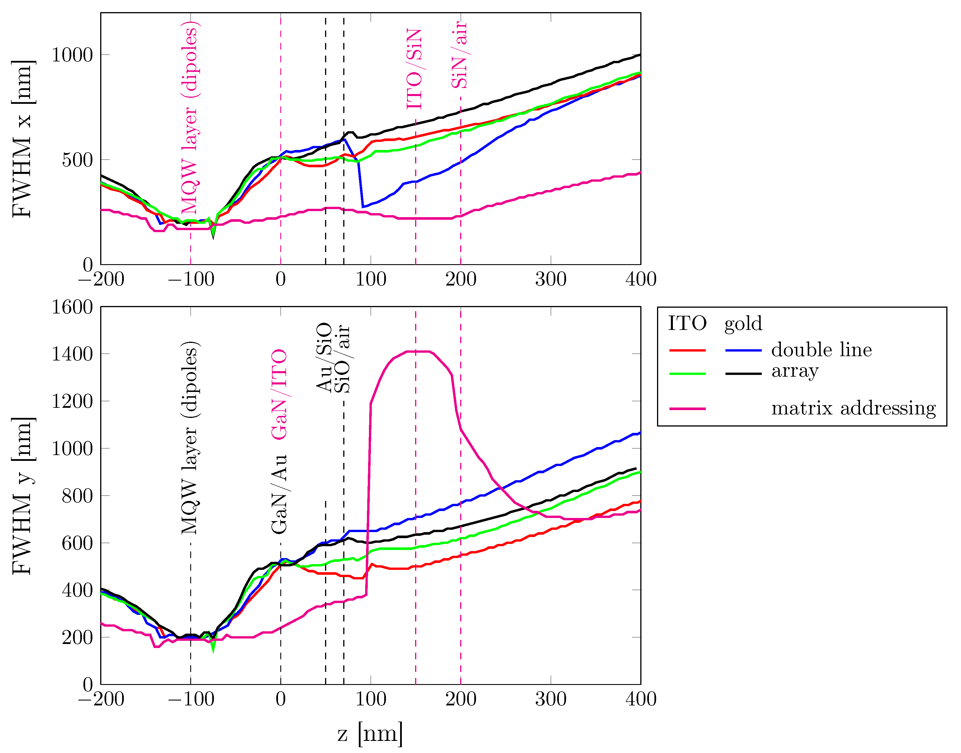
3.1. Near Field Distributions
3.2. Optical Crosstalk between the Pixels
3.3. Experimental Results
4. Conclusions
Author Contributions
Funding
Conflicts of Interest
References
- Mikulics, M.; Hardtdegen, H. Nano-LED array fabrication suitable for future single photon lithography. Nanotechnology 2015, 26, 185302. [Google Scholar] [CrossRef]
- Mikulics, M.; Arango, Y.; Winden, A.; Adam, R.; Hardtdegen, A.; Grützmacher, D.; Plinski, E.; Gregušová, D.; Novák, J.; Kordoš, P.; et al. Direct electro-optical pumping for hybrid CdSe nanocrystal/III-nitride based nano-lightemitting diodes. Appl. Phys. Lett. 2016, 108, 061107. [Google Scholar] [CrossRef] [Green Version]
- Mikulics, M.; Winden, A.; Marso, M.; Moonshiram, A.; Lüth, H.; Grützmacher, D.; Hardtdegen, H. Nano-light-emitting-diodes based on InGaN mesoscopic structures for energy saving optoelectronics. Appl. Phys. Lett. 2016, 109, 041103. [Google Scholar] [CrossRef]
- Mariana, S.; Gülink, J.; Handmana, G.; Yu, F.; Strempel, K.; Spende, H.; Yulianto, N.; Granz, T.; Prades, J.; Peiner, E.; et al. Vertical GaN Nanowires and Nanoscale Light-Emitting-Diode Arrays for Lighting and Sensing Applications. ACS Appl. Nano Mater. 2019, 2, 4133–4142. [Google Scholar] [CrossRef]
- Mikulics, M.; Sofer, Z.; Winden, A.; Trellenkamp, S.; Förster, B.; Mayer, J.; Hardtdegen, H. Nano-LED induced chemical reactions for structuring processes. Nanoscale Adv. 2020, 2, 5421–5427. [Google Scholar] [CrossRef]
- Gong, Z.; Guilhabert, B.; Chen, Z.; Dawson, M. Direct LED writing of submicron resist patterns: Towards the fabrication of individually-addressable InGaN submicron stripe-shaped LED arrays. Nano Res. 2014, 7, 1849–1860. [Google Scholar] [CrossRef] [Green Version]
- Day, J.; Li, J.; Lie, D.; Bradford, C.; Lin, J.; Jiang, H. III-Nitride full-scale high-resolution microdisplays. Appl. Phys. Lett. 2011, 99, 031116. [Google Scholar] [CrossRef]
- Templier, F. GaN-based emissive microdisplays: A very promising technology for compact,ultra-high brightness display systems. J. Soc. Inf. Disp. 2016, 24, 669–675. [Google Scholar] [CrossRef]
- Herrnsdorf, J.; Jonathan, J.D.; McKendry, J.; Zhang, S.; Xie, E.; Ferreira, R.; Massoubre, D.; Zuhdi, A.; Henderson, R.; Underwood, I.; et al. Active-Matrix GaN Micro Light-Emitting DiodeDisplay With Unprecedented Brightness. IEEE Trans. Electron Device 2015, 62, 1918–1925. [Google Scholar] [CrossRef] [Green Version]
- Kishino, K.; Sakakibara, N.; Narita, K.; Oto, T. Two-dimensional multicolor (RGBY) integrated nanocolumn micro-LEDs as afundamental technology of micro-LED display. Appl. Phys. Express 2020, 13, 014003. [Google Scholar] [CrossRef]
- Griffiths, A.; Herrnsdorf, J.; McKendry, J.; Strain, M.; Dawson, M. Gallium nitride micro-light-emitting diode structured light sources for multi-modal optical wireless communications systems. Philos. Trans. R. Soc. A 2020, 378. [Google Scholar] [CrossRef] [PubMed] [Green Version]
- Wu, Y.; Ma, J.; Su, P.; Zhang, L.; Xia, B. Full-Color Realization of Micro-LED Displays. Nanomaterials 2020, 12, 2482. [Google Scholar] [CrossRef]
- Franch, N.; Canals, J.; Moro, V.; Villá, A.; Romano-Rodríguez, A.; Prades, J.D.; Gülink, J.; Bezdhlyakh, D.; Waag, A.; Kluczyk-Korch, K.; et al. Nano-Illumination Microscopy: A technique based on scanning with an array of individually addressable nanoLEDs. Opt. Express 2020, 28, 19044–19057. [Google Scholar] [CrossRef]
- Kluczyk-Korch, K.; Palazzo, D.; Waag, A.; Diéguez, A.; Prades, J.; Di Carlo, A.; Auf der Maur, M. Optical design of InGaN/GaN nanoLED arrays on a chip: Toward: Highly resolved illumination. Nanotechnology 2020, 32, 105203. [Google Scholar] [CrossRef]
- McAlinden, N.; Massoubre, D.; Richardson, E.; Gu, E.; Sakata, S.; Dawson, M.; Mathieson, K. Thermal and optical characterization of micro-LED probes for in vivo optogenetic neural stimulation. Opt. Lett. 2013, 38, 992–994. [Google Scholar] [CrossRef] [PubMed] [Green Version]
- Moreno, I. Image-like illumination with LED arrays: Design. Opt. Lett. 2012, 37, 839–841. [Google Scholar] [CrossRef]
- Křížek, P.; Raška, I.; Hagen, G. Flexible structured illumination microscope with a programmable illumination array. Opt. Express 2012, 20, 24585–24599. [Google Scholar] [CrossRef]
- Bezshlyakh, D.; Spende, H.; Weimann, T.; Hinze, P.; Bornemann, S.; Gülink, S.; Canals, J.; Prades, J.; Diégez, A.; Waag, A. Directly addressable GaN-based nanoLED arrays: Fabrication and electro-optical characterization. Microsyst. Nanoeng. 2020, 6, 88. [Google Scholar] [CrossRef]
- Gülink, J.; Bornemann, S.; Spende, H.; Auf der Maur, M.; Di Carlo, A.; Prades, J.D.; Wasisto, H.S.; Waag, A. InGaN/GaN nanoLED Arrays as a Novel Illumination Source for Biomedical Imaging and Sensing Applications. Proceedings 2018, 2, 892. [Google Scholar] [CrossRef] [Green Version]
- Dassault Systèmes. CST Studio Suite. 2019. Available online: https://www.3ds.com (accessed on 22 October 2019).
- Hirtenfelder, F. Effective Antenna Simulations using CST MICROWAVE STUDIO®. In Proceedings of the 2007 2nd International ITG Conference on Antennas, Munich, Germany, 28–30 March 2007; p. 239. [Google Scholar] [CrossRef]
- Kozlov, M.; Turner, R. A comparison of ansoft HFSS and CST microwave studio simulation software for multi-channel coil design and SAR estimation at 7T MRI. Piers Online 2010, 6, 395–399. [Google Scholar] [CrossRef]
- Demming-Janssen, F.; Koch, W. 3D Field simulation of sparse arrays using various solver techniques within CST MICROWAVE STUDIO®. In Proceedings of the 2006 European Radar Conference, Manchester, UK, 13–15 September 2006; pp. 80–83. [Google Scholar] [CrossRef]
- Kawashima, T.; Yoshikawa, H.; Adachi, S. Optical properties of hexagonal GaN. J. Appl. Phys. 1997, 82, 3528–3535. [Google Scholar] [CrossRef]
- Johnson, P.; Christy, R. Optical Constants of The Noble Metals. Phys. Rev. B 1972, 6, 4370–4379. [Google Scholar] [CrossRef]
- König, T.A.F.; Ledin, P.A.; Kerszulis, J.; Mahmoud, M.A.; El-Sayed, M.A.; Reynolds, J.R.; Tsukruk, V.V. Electrically Tunable Plasmonic Behavior of Nanocube-Polymer Nanomaterials Induced by a RedoxActive Electrochromic Polymer. ACS Nano 2014, 8, 6182–6192. [Google Scholar] [CrossRef] [PubMed]
- Rodríguez-de Marcos, L.; Larruquert, J.; Méndez, J.; Aznárez, J. Self-consistent optical constants of SiO2 and Ta2O5 films. Opt. Mater. Express 2016, 6, 3622–3637. [Google Scholar] [CrossRef]
- Woods, A. Crosstalk in stereoscopic displays: A review. J. Electron. Imaging 2012, 21, 040902. [Google Scholar] [CrossRef]
- Canals, J.; Franch, N.; Moro, V.; Moreno, S.; Prades, J.D.; Romano-Rodríguez, A.; Bornemann, S.; Bezshlyakh, D.D.; Waag, A.; Vogelbacher, F.; et al. A Novel Approach for a Chip-Sized Scanning Optical Microscope. Micromachines 2021, 12, 527. [Google Scholar] [CrossRef]
- Moreno, S.; Canals, J.; Moro, V.; Franch, N.; Vilà, A.; Romano-Rodriguez, A.; Prades, J.D.; Bezshlyakh, D.D.; Waag, A.; Kluczyk-Korch, K.; et al. Pursuing the Diffraction Limit with Nano-LED Scanning Transmission Optical Microscopy. Sensors 2021, 21, 3305. [Google Scholar] [CrossRef]
- Viallefont-Robinet, F.; Helder, D.; Fraisse, R.; Newbury, A.; van den Bergh, F.; Lee, D.; Saunier, S. Comparison of MTF measurements using edge method: Towards reference data set. Opt. Express 2018, 26, 33625–33648. [Google Scholar] [CrossRef] [PubMed]









Publisher’s Note: MDPI stays neutral with regard to jurisdictional claims in published maps and institutional affiliations. |
© 2021 by the authors. Licensee MDPI, Basel, Switzerland. This article is an open access article distributed under the terms and conditions of the Creative Commons Attribution (CC BY) license (https://creativecommons.org/licenses/by/4.0/).
Share and Cite
Kluczyk-Korch, K.; Moreno, S.; Canals, J.; Diéguez, A.; Gülink, J.; Hartmann, J.; Waag, A.; Di Carlo, A.; Auf der Maur, M. Individually Switchable InGaN/GaN Nano-LED Arrays as Highly Resolved Illumination Engines. Electronics 2021, 10, 1829. https://doi.org/10.3390/electronics10151829
Kluczyk-Korch K, Moreno S, Canals J, Diéguez A, Gülink J, Hartmann J, Waag A, Di Carlo A, Auf der Maur M. Individually Switchable InGaN/GaN Nano-LED Arrays as Highly Resolved Illumination Engines. Electronics. 2021; 10(15):1829. https://doi.org/10.3390/electronics10151829
Chicago/Turabian StyleKluczyk-Korch, Katarzyna, Sergio Moreno, Joan Canals, Angel Diéguez, Jan Gülink, Jana Hartmann, Andreas Waag, Aldo Di Carlo, and Matthias Auf der Maur. 2021. "Individually Switchable InGaN/GaN Nano-LED Arrays as Highly Resolved Illumination Engines" Electronics 10, no. 15: 1829. https://doi.org/10.3390/electronics10151829
APA StyleKluczyk-Korch, K., Moreno, S., Canals, J., Diéguez, A., Gülink, J., Hartmann, J., Waag, A., Di Carlo, A., & Auf der Maur, M. (2021). Individually Switchable InGaN/GaN Nano-LED Arrays as Highly Resolved Illumination Engines. Electronics, 10(15), 1829. https://doi.org/10.3390/electronics10151829

