Gain Expressions for Capacitive Wireless Power Transfer with One Electric Field Repeater
Abstract
1. Introduction
- The main advantage, especially for portable equipment, is the practicality and user experience. Wireless energy transfer eliminates the hassle of connecting cables to charge the device. This applies to consumers as well as in an industrial setting.
- Wirelessly charged devices lead to higher durability and robustness because no open connections are required. There is no more wear and tear on the charging connector; the appliance is completely lockable, making it water and dust proof. This is often a requirement in industrial environments. Indeed, during wired charging, sparks can occur when connecting or disconnecting the charging cable from the device. Wireless charging increases safety in hazardous industrial environments where flammable or combustible atmospheres are present.
- Wireless charging facilitates device miniaturization by omitting a large charger connector or reducing the size of the battery. In addition, for certain applications, it is expensive, dangerous or unfeasible to replace the batteries of the device or to connect charging cables (e.g., charging Internet of Things sensor networks or medical implants).
- Smart devices are able to detect their low battery voltage and can automatically report to a charging station for recharging (automated guided vehicles, robots, drones, …) Wireless charging of these smart devices without any human intervention leads to more automated, reliable and energy-efficient operation.
- The power gain is defined as the ratio between the active power delivered to the load and the active input power to the system.
- The available gain equals the ratio between the maximum available active load power and the available active input power .
- The transducer gain is given by the ratio between the power delivered to the load and the available input power .
- Different definitions of the efficiency are sometimes used in context of WPT. The use of the power gains eliminates possible ambiguity to the efficiency definition. In fact, the three gain definitions are well established and their expressions in terms of the possible matrix descriptions of the network (e.g., impedance, admittance, scattering matrix) are available.
- The gain expressions are often available in common microwave circuital simulators thus simplifying calculations and optimizations of the network parameters.
- Transducer Gain Maximization. For certain applications, the goal is to maximize the amount of power available from the source that is delivered to the load. Consider for instance high power applications (e.g., the charging of electric vehicles), for which it is important not to waste power in each section of the circuit, i.e., power reflections at both the input and the output ports have to be minimized. This goal can be achieved by maximizing the transducer gain.
- Power/Available Gain Maximization. In other applications, the focus is on one of the two ports and the goal is to minimize power reflections at either the output or the input port. For example, in the case where the load is a medical implant, attention is focused on the output port of the WPT link: it is essential to be able to transfer to the load all the power available at the output port of the link while any reflections at the input port play a less important role and can be compensated for by increasing the power available from the generator. A such goal can be obtained by maximizing the power gain. While the gain to be maximized is the available gain when the goal is to minimize power reflections at the input port.
- First, the different gain expressions are described for a general two-port system, characterized by its admittance matrix (Section 2).
- Next, it is discussed how, for a given two-port network, the different gains can be maximized by optimizing the load and/or source conductance (Section 3).
- These results are applied to the CPT system with one repeater in Section 4: an equivalent circuit is proposed for which the different gain expressions are derived.
- In the same section, the conditions for maximizing the different gains (i.e., the optimal terminating load and/or internal source conductance) are determined. Furthermore, the expressions for the maximum attainable gain is solved for the CPT system with one repeater.
- Finally, the analytical derivation is verified by numerical circuit simulation for an example CPT system with one repeater (Section 5).
2. Gain Definitions
2.1. A General Loaded Two-Port Network
2.2. Power Gain
2.3. Available Gain
2.4. Transducer Gain
3. Maximizing the Gains
- The available gain is independent of while it depends on . The value of the source admittance that maximizes is called .
- The power gain is independent of while it depends on . The value of the load that maximizes is called .
4. Capacitive Wireless Power System with One Repeater
4.1. Equivalent Circuit
4.2. Admittance Matrix
4.3. Input and Output Admittance
4.4. Conjugate Image Admittances
4.5. Gains
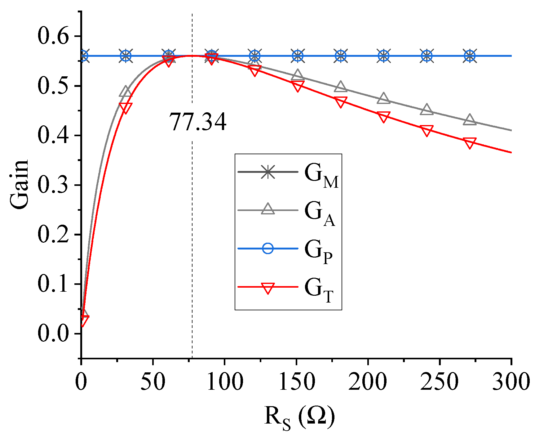
5. Numerical Verification
6. Conclusions
Author Contributions
Funding
Conflicts of Interest
References
- Lu, X.; Wang, P.; Niyato, D.; Kim, D.I.; Han, Z. Wireless Charging Technologies: Fundamentals, Standards, and Network Applications. IEEE Commun. Surveys Tutor. 2015, 18, 1413–1452. [Google Scholar] [CrossRef]
- Jawad, A.M.; Nordin, R.; Gharghan, S.K.; Jawad, H.M.; Ismail, M. Opportunities and Challenges for Near-field Wireless Power Transfer: A Review. Energies 2017, 10, 1022. [Google Scholar] [CrossRef]
- Barman, S.D.; Reza, A.W.; Kumar, N.; Karim, M.E.; Munir, A.B. Wireless Powering by Magnetic Resonant Coupling: Recent Trends in Wireless Power Transfer System and its Applications. Renew. Sustain. Energy Rev. 2015, 51, 1525–1552. [Google Scholar] [CrossRef]
- Rodenbeck, C.T.; Jaffe, P.I.; Strassner, B.H., II; Hausgen, P.E.; McSpadden, J.O.; Kazemi, H.; Shinohara, N.; Tierney, B.B.; DePuma, C.B.; Self, A.P. Microwave and Millimeter Wave Power Beaming. IEEE J. Microw. 2020, 1, 229–259. [Google Scholar] [CrossRef]
- Chen, Q.; Chen, X.; Duan, X. Investigation on beam collection efficiency in microwave wireless power transmission. J. Electromagn. Waves Appl. 2018, 32, 1136–1151. [Google Scholar] [CrossRef]
- Dickinson, R.M. Wireless power transmission technology state of the art the first Bill Brown lecture. Acta Astron. 2003, 53, 561–570. [Google Scholar] [CrossRef]
- Summerer, L.; Purcell, O. Concepts for wireless energy transmission via laser. In Proceedings of the Europeans Space Agency (ESA)-Advanced Concepts Team, International Conference on Space Optical Systems and Applications (ICSOS), Tokyo, Japan, 4–6 February 2009. [Google Scholar]
- Dai, J.; Ludois, D.C. Wireless electric vehicle charging via capacitive power transfer through a conformal bumper. In Proceedings of the IEEE Applied Power Electronics Conf. and Exposition (APEC), Charlotte, NC, USA, 15–19 March 2015; pp. 3307–3313. [Google Scholar]
- Miyazaki, M.; Abe, S.; Suzuki, Y.; Sakai, N.; Ohira, T.; Sugino, M. Sandwiched parallel plate capacitive coupler for wireless power transfer tolerant of electrode displacement. In Proceedings of the IEEE MTT-S International Conference on Microwaves for Intelligent Mobility (ICMIM), Nagoya, Japan, 19–21 March 2017; pp. 29–32. [Google Scholar]
- Sodagar, A.M.; Amiri, P. Capacitive coupling for power and data telemetry to implantable biomedical microsystems. In Proceedings of the 4th International IEEE/EMBS Conf. on Neural Engineering, Antalya, Turkey, 29 April–2 May 2009; pp. 411–414. [Google Scholar]
- Culurciello, E.; Andreou, A.G. Capacitive inter-chip data and power transfer for 3-D VLSI. IEEE Trans. Circuits Syst. II Express Briefs 2006, 53, 1348–1352. [Google Scholar] [CrossRef]
- Theodoridis, M.P. Effective capacitive power transfer. IEEE Trans. Power Electron. 2012, 27, 4906–4913. [Google Scholar] [CrossRef]
- Lu, F.; Zhang, H.; Mi, C. A Review on the Recent Development of Capacitive Wireless Power Transfer Technology. Energies 2017, 10, 1752. [Google Scholar] [CrossRef]
- Minnaert, B.; Stevens, N. Conjugate Image Theory Applied on Capacitive Wireless Power Transfer. Energies 2017, 10, 46. [Google Scholar] [CrossRef]
- Kumar, A.; Pervaiz, S.; Chang, C.K.; Korhummel, S.; Popovic, Z.; Afridi, K.K. Investigation of Power Transfer Density Enhancement in Large Air-gap Capacitive Wireless Power Transfer Systems. In Proceedings of the IEEE Wireless Power Transfer Conference, Boulder, CO, USA, 13–15 May 2015; pp. 1–4. [Google Scholar]
- Zhang, H.; Lu, F.; Hofmann, H.; Liu, W.; Mi, C.C. An LC-compensated Electric Field Repeater for Long-distance Capacitive Power Transfer. IEEE Trans. Ind. Appl. 2017, 53, 4914–4922. [Google Scholar] [CrossRef]
- Ahn, D.; Hong, S. A Study on Magnetic Field Repeater in Wireless Power Transfer. IEEE Trans. Ind. Electron. 2012, 60, 360–371. [Google Scholar] [CrossRef]
- Zhang, Y.; Lu, T.; Zhao, Z.; Chen, K.; He, F.; Yuan, L. Wireless Power Transfer to Multiple Loads over Various Distances using Relay Resonators. IEEE Microw. Wireless Compon. Lett. 2015, 25, 337–339. [Google Scholar] [CrossRef]
- Kim, J.; Son, H.C.; Kim, K.H.; Park, Y.J. Efficiency Analysis of Magnetic Resonance Wireless Power Transfer with Intermediate Resonant Coil. IEEE Antennas Wirel. Propag. Lett. 2011, 10, 389–392. [Google Scholar] [CrossRef]
- Monti, G.; Corchia, L.; Tarricone, L.; Mongiardo, M. A Network Approach for Wireless Resonant Energy Links using Relay Resonators. IEEE Trans. Microw. Theory Tech. 2016, 64, 3271–3279. [Google Scholar] [CrossRef]
- Mastri, F.; Mongiardo, M.; Monti, G.; Dionigi, M.; Tarricone, L. Gain Expressions for Resonant Inductive Wireless Power Transfer Links with One Relay Element. Wireless Power Transfer 2018, 5, 27–41. [Google Scholar] [CrossRef]
- Egan, W.F. Practical RF System Design; John Wiley & Sons: Hoboken, NJ, USA, 2003; pp. 313–315. [Google Scholar]
- Wang, Q.; Che, W.; Dionigi, M.; Mastri, F.; Mongiardo, M.; Monti, G. Gains Maximization via Impedance Matching Networks for Wireless Power Transfer. Prog. Electromagn. Res. 2019, 164, 135–153. [Google Scholar] [CrossRef]
- Maddock, R.J. Fundamentals of Network Analysis. In Intermediate Electronics; Springer: Boston, MA, USA, 1969; p. 66. [Google Scholar]
- Roberts, S. Conjugate-image Impedances. Proc. IRE 1946, 34, 198–204. [Google Scholar] [CrossRef]
- Hong, J.S.G.; Lancaster, M.J. Microstrip Filters for RF/Microwave Applications; John Wiley & Sons: Hoboken, NJ, USA, 2004; Volume 167. [Google Scholar]
- Minnaert, B.; Stevens, N. Optimal analytical solution for a capacitive wireless power transfer system with one transmitter and two receivers. Energies 2017, 10, 1444. [Google Scholar] [CrossRef]








| Gain | Definition | General Two-Port | Maximum If |
|---|---|---|---|
| and |
| Gain | Definition | CPT System with One Repeater |
|---|---|---|
| Quantity | Value | Quantity | Value |
|---|---|---|---|
| 1.50 mS | 300 pF | ||
| 1.00 mS | 250 pF | ||
| 2.00 mS | 350 pF | ||
| 150 pF | 10.0 MHz | ||
| 100 pF |
| Quantity | Value | Quantity | Value |
|---|---|---|---|
| 0.844 H | 12.93 mS (77.34 ) | ||
| 1.013 H | 5.841 mS (171.21 ) | ||
| 0.724 H | 56.05% | ||
| 46.3% | |||
| 33.8% |
Publisher’s Note: MDPI stays neutral with regard to jurisdictional claims in published maps and institutional affiliations. |
© 2021 by the authors. Licensee MDPI, Basel, Switzerland. This article is an open access article distributed under the terms and conditions of the Creative Commons Attribution (CC BY) license (http://creativecommons.org/licenses/by/4.0/).
Share and Cite
Minnaert, B.; Monti, G.; Costanzo, A.; Mongiardo, M. Gain Expressions for Capacitive Wireless Power Transfer with One Electric Field Repeater. Electronics 2021, 10, 723. https://doi.org/10.3390/electronics10060723
Minnaert B, Monti G, Costanzo A, Mongiardo M. Gain Expressions for Capacitive Wireless Power Transfer with One Electric Field Repeater. Electronics. 2021; 10(6):723. https://doi.org/10.3390/electronics10060723
Chicago/Turabian StyleMinnaert, Ben, Giuseppina Monti, Alessandra Costanzo, and Mauro Mongiardo. 2021. "Gain Expressions for Capacitive Wireless Power Transfer with One Electric Field Repeater" Electronics 10, no. 6: 723. https://doi.org/10.3390/electronics10060723
APA StyleMinnaert, B., Monti, G., Costanzo, A., & Mongiardo, M. (2021). Gain Expressions for Capacitive Wireless Power Transfer with One Electric Field Repeater. Electronics, 10(6), 723. https://doi.org/10.3390/electronics10060723

