Abstract
In this paper, an efficient sidelobe levels (SLL) reduction and spatial filtering algorithm is proposed for linear one-dimensional arrays. In this algorithm, the sidelobes are beamspace processed simultaneously based on its orientation symmetry to achieve very deep SLL at much lower processing time compared with recent techniques and is denoted by the sidelobes simultaneous reduction (SSR) algorithm. The beamwidth increase due to SLL reduction is found to be the same as that resulting from the Dolph-Chebyshev window but at considerably lower average SLL at the same interelement spacing distance. The convergence of the proposed SSR algorithm can be controlled to guarantee the achievement of the required SLL with almost steady state behavior. On the other hand, the proposed SSR algorithm has been examined for spatial selective sidelobe filtering and has shown the capability to effectively reduce any angular range of the radiation pattern effectively. In addition, the controlled convergence capability of the proposed SSR algorithm allows it to work at any interelement spacing distance, which ranges from tenths to a few wavelength distances, and still provide very low SLL.
1. Introduction
1.1. Background and Motivation
There is a huge demand for maximizing communication data rates to support users with various Internet and communications services. As time passes, there is a constant increase in the number of users and more requests for the provision of new services and applications. Not only humans need communications services, but everything will demand connection to the Internet using the Internet of Things (IoT), which is the main objective of the current communication systems [1,2]. Therefore, new technologies and solutions should be utilized to achieve the required dramatic data rates such as transferring to new higher communication frequency bands and using adaptive antenna arrays and beamforming techniques as in the fifth-generation networks (5G) [3,4]. The adoption of millimeter wave frequencies (mmWave) in the current 5G networks is impeded by the very complex propagation channel characteristics where the radio signals suffer from rapid attenuation and multiple interference [5]. Therefore, the main role of adaptive antenna arrays is to boost the required signals from certain directions while reducing the unwanted interfering signals. This necessitates the requirement of powerful spatial filtering techniques especially for real time communications scenarios which require rapid and adaptive manipulation of the received signals. One of the most spatial filtering applications is sidelobe levels (SLL) reduction in the radiation pattern of the array, which greatly improves the quality of the received signal especially in rich interference environments [6,7,8,9,10,11,12,13]. Almost all communication systems require SLL control including radar, sonar, satellite and even space communications [14]. Minimizing the SLL can be achieved by many techniques including the application of straightforward tapered windows [15,16,17,18,19,20] and other adaptive learning optimization techniques [21,22,23,24,25,26,27,28,29,30,31,32,33,34,35,36,37,38]. The application of tapering windows does not require iterative methodology but instead weights the antenna elements directly using predefined functions in which the central elements in the array are fed with higher amplitudes than those at the array ends. Several tapering functions provide efficient SLL reduction such as Dolph-Chebyshev, Blackman-Harris, Hamming, Hanning, Gaussian, Kaiser, and many other amplitude windows [15]. However, most of these tapering windows have a constant power pattern and could not help in scenarios where adaptive SLL control is required. Among these techniques, the Dolph-Chebyshev window provides the narrowest beamwidth, at a certain required SLL where it is known that all window functions result in beamwidth increase when compared with the uniform constant amplitude feeding case. On the other hand, evolutionary optimization techniques [21,22,23,24,25,26,27,28,29,30,31,32,33,34,35,36,37,38] can be utilized to find the suitable power pattern for a certain SLL. These techniques are inspired by both natural processes and artificial intelligence such as genetic algorithm (GA) [30], particle swarm optimization (PSO) [22], whale optimization algorithm (WOA) invasive weed optimization (IWO), atom search optimization (ASO) [29,30,31], and many other techniques [32,33,34,35,36,37,38]. For uniform linear arrays, SLL of dB relative to the mainlobe level could be achieved using an ASO algorithm for 16-element array while dB is achieved by the WOA for the same number of elements [29]. However, swarm-based algorithms suffer from slow convergence and low accuracy when the processing time required to achieve deep SLLs increases rapidly [38]. The evolutionary techniques also provide general optimization solutions and may not be the optimum solution for SLL reduction. The real time scenario requires providing deep SLLs in very short time to maintain optimum communication performance. Recently, an almost deterministic optimization technique that achieve the required SLL at much lower processing speed than IWO, WOA and ASO techniques is based on sequential sidelobe damping (SSD) [39], where the highest sidelobe in the whole array power pattern is reduced (damped) and the process continues sequentially to reduce all the sidelobes in the radiation pattern and very deep SLL near to dB has been achieved. Although the SSD algorithm proceeds sequentially in processing the sidelobes on a one-by-one basis, it is found that it consumes much less processing time and provides deeper SLLs than most of the recent evolutionary techniques [39]. However, the convergence behavior of the SSD algorithm is very noisy and may result in higher SLL. In addition, the processing speed can be much faster if the SLL reduction in the SSD is performed simultaneously rather than sequentially. Furthermore, the SSD is limited to arrays of interelement separation distance that are less than one wavelength which in turn limits its application.
1.2. Paper Contribution
In this paper, the SSD algorithm is modified and improved when the entire set of sidelobes in the array pattern are processed at the same time to achieve fast SLL reduction and selectively control the spatial power pattern. This modified algorithm is denoted as a sidelobe simultaneous reduction (SSR) algorithm in which the convergence behavior is controlled to guarantee SLL reduction at different operating conditions and array geometry. The SSR utilizes the sidelobe directions’ symmetry around the mainlobe to effectively determine the required weighted secondary mainlobes for reducing the unwanted sidelobes in a beamspace processing operation. The proposed SSR algorithm is also adapted to reduce the radiation levels at any angular range by reducing the nearest sidelobes only. On the other hand, the SSR is compared to the most efficient evolutionary optimization techniques in the literature and found to be much faster and provides more deeper SLL, along with smooth and steady state convergence behavior. The SSR is also found to operate at any interelement spacing distance, especially that greater than one wavelength, which is one of the limitations of the SSD algorithm.
1.3. Paper Organization
2. Array Steering Vector Formulation for General Linear Arrays
In this section, the general linear array structure is demonstrated, and the corresponding steering vector is determined. Let us assume that a linear array of sensor antennas is located along the x-axis as shown in Figure 1, where the nth element is separated from its nearest neighbors by arbitrary distances and .
Figure 1.
Convergence behavior of the SSD and SSR algorithms with the number of SLL reduction cycles.
If the array antennas are uniformly spaced, then all inter-separation distances are equal. Generally, we can write an expression for the nth element of the steering vector, which has a phase difference between the received signal coming at an angle with the x-axis at the nth antenna, with respect to the first one that is located at the origin point of the array, as follows:
where is the wavelength and is a distance given by:
and at .
For uniformly spaced antenna elements, and the phase shift is linearly incremented with the same step value which is .
The overall array steering vector, , can be written as follows:
where T is the transpose operator. Now, the array response at any direction, , can be determined by feeding the antenna elements through the proper algorithm by the weight vector which is necessary for optimizing the array response with the maximum gain at the direction . The array gain or response is therefore given by:
where H is the complex conjugate transpose (Hermitian) operator.
Based on the previous analysis of the general array factor in Equation (4), the optimization problem can now be formulated to find the required array response at different directions which will be discussed in detail in the next section. The main objective of the proposed algorithm is to find the required SLL with adaptive capabilities in radiation pattern at a faster speed of convergence.
3. The Proposed SSR Algorithm
Although tapering window functions can provide very low sidelobe levels [15,16,17,18,19,20], they suffer from lack of flexibility in the pattern synthesis when the resulted SLL are of constant levels with fixed power pattern. Adaptive SLL reduction is very important in many communication scenarios especially when the communication environment varies, and the directions of interfering signals are continuously changing. On the other hand, evolutionary optimization techniques [21,22,23,24,25,26,27,28,29,30,31,32,33,34,35,36,37,38] could help find the optimum required SLL; however, they suffer from a time-lag in reaching deep SLL. Recently, in [39], an algorithm based on sequential sidelobe suppression has been shown to provide deep SLL with relatively faster processing time, which reduces the SLL based on finding the radiation peaks by determining the derivative of the array response with respect to the direction . Then, the highest peak is chosen and a beam with the same level is generated at its direction and is subtracted from the array factor to suppress this peak. The process continues sequentially to reduce the other unwanted peaks. This sequential process, although providing faster convergence and processing time compared to many other algorithms, can be modified to become much faster if simultaneous peaks are reduced at the same time. However, this requires determination of the array response at all sidelobes and performing beamspace subtraction with careful weighting to efficiently filter the spatial response of the array. Therefore, in this paper, the algorithm is modified and extended to find the array peaks as follows:
where represents the directions of the radiation peaks, or mainly the sidelobes, and is the direction that is slightly greater than where and is the total number of the radiation peaks without the mainlobe.
The corresponding radiation maxima can be obtained from the array response as follows:
where . The beamspace manipulation to reduce the SLL requires the formation of weighted sub-beams in the same directions of the radiation peaks and with the same gain, which is then subtracted from the main array factor. The weight vector required to form these sub-beams is proposed as follows:
where is the convergence control factor which guarantees the SLL reduction convergence and is the maximum magnitude of the array response.
The resulting sub-beams array response, , is given by:
and the reduced SLL main array response is therefore given by:
The corresponding overall array weighting vector that results in the SLL reduction can be written as follows:
The sequence of Equations (6)–(10) can be repeated for C SLL reduction cycles to achieve the required SLL. The algorithm is summarized in Table 1 as follows:
Table 1.
SSR Algorithm for Simultaneous SLL reduction.
The role of the convergence control factor is very important to support the achievement of SLL reduction at different operational environments and array designs. When forming sub-beams that cope with the sidelobe peaks, we use individual array weighting vectors to generate secondary mainlobes, which also have corresponding secondary sidelobes. These secondary sidelobes interact with each other when summing the individual secondary weight vectors and result in an increase in the sub-beams mainlobe gains leading to divergence behavior. The residual sub-beam gain due to the addition of different secondary beams can be determined from the following equation:
where is one of the values at which we want to determine the impact of other sub-beams’ interaction. As the secondary sub-beams’ sidelobes have different directions, their impact on the main sidelobes’ cancellation should be minimized and this is the role of . Therefore, the value of should be less than 1 to ensure the occurrence of convergence of the SLL to lower levels. The lesser value of is expected to achieve more stable convergence behavior; however, it may result in a slower SLL reduction, as will be discussed in the next subsections.
All sidelobes in the radiation pattern are simultaneously reduced to the required level using the proposed SSR algorithm in Table 1 by controlling the values of and . In some cases, it is not necessary to reduce all sidelobes in the power pattern and only some sidelobes should be minimized or reduced. Therefore, the proposed SSR algorithm can be modified to selectively modify the spatial pattern at specific angular range in which the sidelobes’ directions fall in this range from the set of sidelobes to be reduced in step (8), as shown in the modified SSR algorithm in Table 2, while the other sidelobes remain at the same original levels.
Table 2.
Modified SSR algorithm for selective sidelobe reduction and spatial filtering.
4. Results and Discussion
4.1. Performance at Different Convergence Control Factor for Uniform Arrays
For uniformly spaced antenna elements with inter-separation distance of half wavelength, the convergence can be maintained if the following condition is satisfied:
Figure 2 displays the sub-beams’ formation and the impact of sidelobe reduction at two values of which are 1 and 0.7, which are used for running the SSR algorithm for a single and 10 SLL reduction cycles. In Figure 2a,b, the algorithm is run for one cycle at and , respectively. The sidelobes have slightly reduced in the two cases while in Figure 2a the peaks of the sub-beams are higher than the sidelobe levels of the original pattern, which results in divergence from the SLL reduction in the subsequent cycles as shown in Figure 2c where the sidelobes become much higher after running 10 SSR cycles. On the other hand, in Figure 2d the convergence behavior is maintained for ten SLL reduction cycles and the SLL are greatly reduced as at , which satisfies Equation (11).

Figure 2.
Sub-beams’ formation and SLL reduction at: (a) , and , (b) , and , (c) , and , and (d) , and .
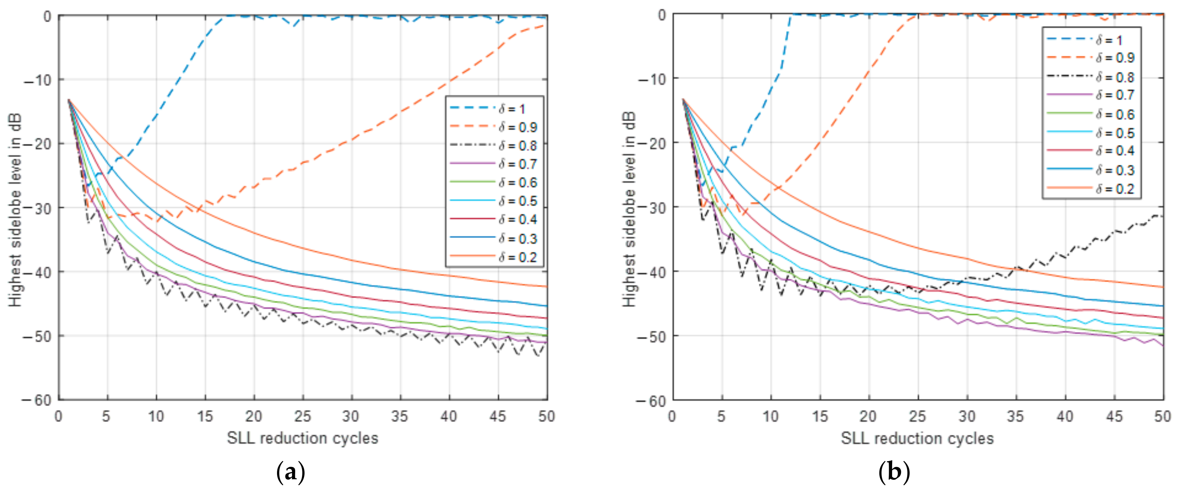
The exact value of to maintain SLL continuous reduction depends on the array size and the uniformity of the elements’ distribution in the array. For uniform linear arrays, the conservative range of is found to be less than 0.7 for most array sizes. The impact of on the SLL reduction behavior along with the number of reduction cycles is demonstrated in Figure 3a,b for two array sizes which are 16 and 32, respectively. During the first very reduction cycles, the SLL is reduced slightly while it increases significantly at and 1 in the case of 16 elements array and at , 0.9 and 1 in the case of 32 elements array. The critical value of appears in the two figures as a corrugated line indicating instability alarm for future divergence and SLL increase. On the other hand, the lower values of guarantee a steady state SLL reduction at any number of SLL reduction cycles. This steady state behavior appears clearly at ; however, the cost paid here is the longer processing time required to achieve the same SLL level and the slow convergence toward deeper SLL. For example, to achieve a SLL of dB, the required number of cycles is approximately 10 in the case where , while it increases to 17 at and to 37 at . For variable-condition environments or real time beamforming applications, the processing time is of a paramount importance, therefore it is necessary to use the proper value of that gives the fastest response.
Figure 3.
Convergence behavior of the SSR algorithms with the number of SLL reduction cycles at different values of convergence behavior for: (a) 16-element linear array, (b) 32-element linear array.
The convergence analysis is extended to include different array sizes at two values of as shown in Figure 4a,b. Small sized uniform linear arrays of sizes of less than eight elements could benefit from setting to gain faster convergence; however, at larger array sizes, divergence occurs and the SSR fails to reduce the SLL as shown in Figure 4a, and should be reduced. Therefore, setting guarantees SLL reduction convergence for all array sizes as shown in Figure 4b, with an interesting feature which is the independency of the convergence curve on the array size when for the SSR algorithm for uniform linear arrays. On the other hand, at , there are only two symmetric sidelobes located around the mainlobe separated by very large angle, which is approximately 94 for a mainlobe directed toward . Therefore, the generated sub-beams to suppress these two sidelobes are separated sufficiently so that the impact of their cross interaction is negligible. The sub-beams’ interaction occurs when subtracting them from the original array factor to reduce the SLL, where the result is a reduction rather than suppression because each sub-beam has its own sidelobes that affect the other sub-beams. At larger values of N, the angular separation between the sidelobes becomes smaller and therefore the interaction between the corresponding generated sub-beams increases which results in slower convergence as shown in Figure 4b at . Therefore, the case where has the fastest convergence as there are only two sidelobes in the original pattern which can be greatly reduced with very few reduction cycles.
Figure 4.
Convergence behavior of the SSR algorithms along with the number of reduction cycles at different array sizes and at: (a) , (b) .
4.2. Performance of SSR at Different Interelement Spacing
Practically, the interelement spacing in the array is always kept at values that are less than or equal to to avoid the formation of grating lobes in the radiation pattern which form serious unwanted interference. However (although not common), some applications may require the formation of multibeam patterns (with strong narrow multi-mainlobes with a fan-blades pattern), e.g., if there is a common central transceiver communicating with multipoint located in the direction of the grating lobes. Therefore, operating the antenna array at larger interelement spacing, although not common, may be required. One of the important features of the SSR algorithm is its ability to reduce the SLL for linear arrays at a wide range of interelement spacing, , while the SSD algorithm is limited by an interelement spacing that should be less than one wavelength. Figure 5 shows different radiation patterns for 16 elements’ uniform array at different values of ranging from to . For , the convergence factor, , can be set as 0.75 which speeds up the convergence toward lower SLL as shown in Figure 5a,b. For the convergence behavior becomes sensitive to higher values of and therefore should be reduced to 0.3 to maintain convergence at and as shown in Figure 5c,d.
Figure 5.
SSL reduction using SSR algorithm for 16-element linear array at: (a) , , and , (b) , , and , (c) , , and , (d), , and .
On the other hand, it is found that when , the performance of the SSR becomes very sensitive to and requires only a few cycles to achieve the convergence and reduce the SLL as shown in Figure 6a–d. For example, increasing the interelement spacing to requires only two cycles with . The optimum SLL obtained for is found to be approximately dB which is lower than the uniform feeding case by 12 dB.

Figure 6.
SSL reduction using SSR algorithm for 16-element linear array at: (a) , , and , (b) , , and , (c) , , and , (d), , and .
4.3. SSR Selective Sidelobes’ Reduction Capabilities
To explore the capabilities of the modified SSR algorithm for the reduction of selective sidelobes and spatial filtering, we assume a uniform 16-element array with and a mainlobe is formed at ; then the number of sidelobes in the initial uniformly fed array is 14 as listed in Table 3 with the corresponding directions. This array is tested for several scenarios of selective sidelobe reduction as shown in Figure 7a–h at . The SSR algorithm generates the amplitude coefficients shown in Figure 7a to filter out the angular range from to in which the sidelobes from number 3 to 6 fall and the resulting normalized power pattern is shown in Figure 7b to achieve dB SLL. The weights in Figure 7c are generated to reduce almost half of the angular range (from to ) to dB as shown in Figure 7d, and the weights in Figure 7e reduce the four sidelobes falling around the mainlobe to dB as shown in Figure 7f. The algorithm can also reduce the sidelobes at the endfire direction of the array using the weights in Figure 7g and the resulting normalized power pattern is shown in Figure 7h. These various scenarios of SLL selective reduction show the capability of the modified SSR algorithm to be effectively used in spatial filtering in any direction based on the utilization of the sidelobe peaks existing in the initial uniformly fed array. If the spatial filtered range does not exactly include any of the sidelobe peaks, then we can simply use the surrounding peaks around this range, or the nearest sidelobe to this range.
Table 3.
Sidelobes indices and the corresponding directions for uniformly fed 16-element linear array.
Figure 7.
Selective SLL reduction and spatial filtering at various scenarios using 16-element array: (a,c,e), and (g) are the required weight functions for realizing the power patterns in (b,d,f), and (h), respectively.
4.4. Processing Time Performance
The processing time of the SSD algorithm has been proved to be much lower than many evolutionary optimization algorithms in [39]. The processing time required to achieve a specific SLL can be further improved by combining simultaneous sidelobes for immediate reduction. This is what happens in the SSR algorithm proposed in this paper, where all the sidelobes are processed in parallel instead of sequential processing of individual sidelobes. A platform using the Core i7-8550U processor with 16 GB RAM is used to examine the processing time required by both SSD and the proposed SSR algorithms for 16 and 32 element linear uniform arrays at and . The results are displayed in Figure 8 where the consumed processing time in seconds is recorded to achieve different SLL using the two techniques. From this figure, the parallel processing of all sidelobes in the SSR algorithm is found to consume less than one-tenth of that in the case of using the SSD algorithm, especially when very deep SLL is required. The SSR is also more efficient for processing large arrays than the SSD in order to achieve very low SLL. For example, the required processing time to achieve dB in the case of SSD is 18 times that required by the SSR algorithm.
Figure 8.
Processing time variation with the required SLL at different array sizes for the SSD and SSR algorithms.
The incredible improvement in the processing time of the SSR algorithm is clearly investigated in Figure 9 for a 16-element linear uniform array with , where the convergence is much faster compared to the SSD algorithm. The SSD was also suffering from the convergence ripples which sometimes result in achieving SLL of higher levels, while the SSR is characterized by almost smooth and stable convergence. The number of SLL reduction loops or cycles is one fifth in the case of using the SSR algorithm.
Figure 9.
Convergence behavior of the SSD and SSR algorithms with the number of SLL reduction cycles.
4.5. Performance Comparisons with Efficient Tapering Windows and Recent Evolutionary Optimization Techniques
In this section, the proposed SSR algorithm for SSL reduction is compared with other well-known and efficient techniques. First, the SSR is compared with the Dolph-Chebyshev window which is known for providing the narrowest beamwidth at a certain SLL of any technique. However, for the same number of elements, beamwidth, and interelement spacing distance, the proposed SSR algorithm provides an average SLL level that is lower than that of the Dolph-Chebyshev by approximately 7 dB as shown in Figure 10. The peak SLL of the SSR pattern is 1.6 dB lower than that of the Dolph-Chebyshev case.
Figure 10.
Normalized power pattern for 32-element linear array using SSR algorithm feeding and Dolph-Chebyshev feeding.
On the other hand, the SSR algorithm performance is compared with the most efficient evolutionary optimization techniques for the 16-element and 32-element linear arrays as shown in Figure 11 and Figure 12, respectively. The comparison in [39] has shown that the SSD algorithm outperforms the WOA, ASO, and IWO algorithms with the advantage of less processing time; however, the simultaneous processing of all sidelobes in the SSR adds two more advantages which are the faster processing time as shown previously in Figure 8, along with the achievement of lower SLL levels. In Figure 11, and for a 16-element linear array, the SSR achieves a maximum SLL that is lower than all other techniques by at least 3 dB, which is further increased to 6.5 dB for the 32-element linear array as shown in Figure 12. The rapid SLL reduction is very important and a critical requirement especially in real-time scenarios such as in radar and military applications. On the other hand, the secondary sidelobes in the pattern fall rapidly in the case of using the SR algorithm, which results in a lower average SLL compared to the other techniques as shown in Figure 11 and Figure 12.
Figure 11.
Normalized power pattern for 16-element linear array for different optimization techniques including WOA, ASO, and SSD compared with the proposed SSR algorithm.
Figure 12.
Normalized power pattern for 32-element linear array for different optimization techniques including ASO, IWO, and SSD compared with the proposed SSR algorithm.
5. Conclusions
The reduction in sidelobe levels is an important requirement for most communication systems to achieve higher capacity and efficient communication performance. Therefore, in this paper, an efficient algorithm for controlling the sidelobe levels has been proposed and examined based on beamspace processing. The algorithm is denoted by simultaneous sidelobes reduction (SSR) which process all the sidelobe peaks at the same time and is designed with controlled convergence performance. The SSR algorithm has been tested for deep SLL formation for uniform linear array and for selective reduction in sidelobes for spatial filtering. The numerical results have shown an improved performance in terms of processing time, convergence behavior, and lower SLL formation over the most efficient tapering windows such as Dolph-Chebyshev window, and better than recent efficient evolutionary techniques such as ASO, IWO, and WOA algorithms, as well as the sidelobe sequential damping (SSD) algorithm. In addition, the proposed algorithm is not limited to antenna arrays and can be applied in very wide area of filters and signal processing applications.
Funding
Taif University Researchers Supporting Project number (TURSP-2020/161), Taif University, Taif, Saudi Arabia.
Acknowledgments
The author would like to thank Taif University Researchers Supporting Project number (TURSP-2020/161), Taif University, Taif, Saudi Arabia, for supporting this work.
Conflicts of Interest
The author declares no conflict of interest.
References
- Hasan, M.Z.; Al-Rizzo, H. Beamforming Optimization in Internet of Things Applications Using Robust Swarm Algorithm in Conjunction with Connectable and Collaborative Sensors. Sensors 2020, 20, 2048. [Google Scholar] [CrossRef]
- Čolaković, A.; Hadžialić, M. Internet of Things (IoT): A review of enabling technologies, challenges, and open research issues. Comput. Netw. 2018, 144, 17–39. [Google Scholar] [CrossRef]
- Akyildiz, I.F.; Nie, S.; Lin, S.C.; Chandrasekaran, M. 5G roadmap: 10 key enabling technologies. Comput. Netw. 2016, 106, 17–48. [Google Scholar] [CrossRef]
- Issa, K.; Fathallah, H.; Ashraf, M.A.; Vettikalladi, H.; Alshebeili, S. Broadband High-Gain Antenna for Millimetre-Wave 60-GHz Band. Electronics 2019, 8, 1246. [Google Scholar] [CrossRef]
- Khalid, M.; Naqvi, S.I.; Hussain, N.; Rahman, M.; Fawad; Mirjavadi, S.S.; Khan, M.J.; Amin, Y. 4-Port MIMO Antenna with Defected Ground Structure for 5G Millimeter Wave Applications. Electronics 2020, 9, 71. [Google Scholar] [CrossRef]
- Li, J.; Ma, Z.; Mao, L.; Wang, Z.; Wang, Y.; Cai, H.; Chen, X. Broadband Generalized Sidelobe Canceler Beamforming Applied to Ultrasonic Imaging. Appl. Sci. 2020, 10, 1207. [Google Scholar] [CrossRef]
- Slomian, I.; Wincza, K.; Gruszczynski, S. Circularly Polarized Switched-Beam Antenna Arrays with Reduced Sidelobe Level. IEEE Antennas Wirel. Propag. Lett. 2016, 15, 1213–1216. [Google Scholar] [CrossRef]
- Wang, Y.; Yang, W.; Chen, J.; Kuang, H.; Liu, W.; Li, C. Azimuth Sidelobes Suppression Using Multi-Azimuth Angle Synthetic Aperture Radar Images. Sensors 2019, 19, 2764. [Google Scholar] [CrossRef] [PubMed]
- Bi, X.; Guo, S.; Zhu, Y.; Yuan, T. A Wideband Slotted Spherical Waveguide Antenna Based on Multi-Mode Concept. Electronics 2020, 9, 1656. [Google Scholar] [CrossRef]
- Nguyen, A.H.; Cho, J.-H.; Bae, H.-J.; Sung, H.-K. Side-lobe Level Reduction of an Optical Phased Array Using Amplitude and Phase Modulation of Array Elements Based on Optically Injection-Locked Semiconductor Lasers. Photonics 2020, 7, 20. [Google Scholar] [CrossRef]
- Sarker, R.; Islam, M.; Alam, T.; Hossam-E-Haider, M. Side lobe level reduction in antenna array using weighting function. In Proceedings of the 2014 International Conference on Electrical Engineering and Information & Communication Technology, Dhaka, Bangladesh, 10–12 April 2014; pp. 1–5. [Google Scholar]
- Panduro, M.A.; Reyna, A.; Covarrubias, D.H. Non-uniform concentric rings design for ultra-wideband arrays. Sensors 2019, 19, 2262. [Google Scholar] [CrossRef] [PubMed]
- Lau, B.K.; Leung, Y.H. A Dolph-Chebyshev approach to the synthesis of array patterns for uniform circular arrays. In Proceedings of the 2000 IEEE International Symposium on Circuits and Systems (ISCAS), Geneva, Switzerland, 28–31 May 2000; Volume 1, pp. 124–127. [Google Scholar]
- Albagory, Y. An Efficient Conformal Stacked Antenna Array Design and 3D-Beamforming for UAV and Space Vehicle Communications. Sensors 2021, 21, 1362. [Google Scholar] [CrossRef]
- Prabhu, K.M.M. Window Functions and Their Applications in Signal Processing; Taylor & Francis Group: Abingdon, UK, 2014. [Google Scholar]
- Nofal, M.; Aljahdali, S.; Albagory, Y. Tapered beamforming for concentric ring arrays. AEU Int. J. Electron. Commun. 2013, 67, 58–63. [Google Scholar] [CrossRef]
- Singh, B.; Sarwade, N.; Ray, K.P. Antenna Array Performance with Number of Elements for Aperture Distributions. IETE Tech. Rev. 2016, 33, 674–689. [Google Scholar] [CrossRef]
- De Abreu, G.T.F.; Kohno, R. A modified Dolph-Chebyshev approach for the synthesis of low sidelobe beampatterns with adjustable beamwidth. IEEE Trans. Antennas Propag. 2003, 51, 3014–3017. [Google Scholar] [CrossRef]
- Dakulagi, V.; Alagirisamy, M. Kaiser window based blind beamformers for radar application. IETE J. Res. 2019, 65, 1–7. [Google Scholar] [CrossRef]
- Juárez, E.; Panduro, M.A.; Reyna, A.; Covarrubias, D.H.; Mendez, A.; Murillo, E. Design of Concentric Ring Antenna Arrays Based on Subarrays to Simplify the Feeding System. Symmetry 2020, 12, 970. [Google Scholar] [CrossRef]
- Singh, U.; Salgotra, R. Synthesis of linear antenna array using flower pollination algorithm. Neural Comput. Appl. 2018, 29, 435–445. [Google Scholar] [CrossRef]
- Chakravarthy, V.; Rao, P.M. Circular array antenna optimization with scanned and unscanned beams using novel particle swarm optimization. Indian J. Appl. Res. 2015, 5, 764–767. [Google Scholar]
- Mehrabian, A.R.; Lucas, C. A novel numerical optimization algorithm inspired from weed colonization. Ecol. Inform. 2006, 1, 355–366. [Google Scholar] [CrossRef]
- Sharaqa, A.; Dib, N. Circular antenna array synthesis using firefly algorithm. Int. J. RF Microw. Comput. Aided Eng. 2014, 24, 139–146. [Google Scholar] [CrossRef]
- Sun, G.; Liu, Y.; Chen, Z.; Zhang, Y.; Wang, A.; Liang, S. Thinning of Concentric Circular Antenna Arrays Using Improved Discrete Cuckoo Search Algorithm. In Proceedings of the 2017 IEEE Wireless Communications and Networking Conference (WCNC), San Francisco, CA, USA, 19–22 March 2017; pp. 1–6. [Google Scholar]
- Li, H.; Liu, Y.; Sun, G.; Wang, A.; Liang, S. Beam pattern synthesis based on improved biogeography-based optimization for reducing sidelobe level. Comput. Electr. Eng. 2017, 60, 161–174. [Google Scholar] [CrossRef]
- Van Luyen, T.; Giang, T.V.B. Interference suppression of ULA antennas by phase-only control using bat algorithm. IEEE Antennas Wirel. Propag. Lett. 2017, 16, 3038–3042. [Google Scholar] [CrossRef]
- Mirjalili, S.; Lewis, A. The Whale Optimization Algorithm. Adv. Eng. Softw. 2016, 95, 51–67. [Google Scholar] [CrossRef]
- Almagboul, M.A.; Shu, F.; Qian, Y.; Zhou, X.; Wang, J.; Hu, J. Atom search optimization algorithm based hybrid antenna array receive beamforming to control sidelobe level and steering the null. AEU Int. J. Electron. Commun. 2019, 111, 152854. [Google Scholar] [CrossRef]
- Liang, S.; Fang, Z.; Sun, G.; Liu, Y.; Qu, G.; Zhang, Y. Sidelobe Reductions of Antenna Arrays via an Improved Chicken Swarm Optimization Approach. IEEE Access 2020, 8, 37664–37683. [Google Scholar] [CrossRef]
- Sun, G.; Liu, Y.; Li, H.; Liang, S.; Wang, A.; Li, B. An Antenna Array Sidelobe Level Reduction Approach through Invasive Weed Optimization. Int. J. Antennas Propag. 2018, 2018, 4867851. [Google Scholar] [CrossRef]
- Balanis, C.A. Antenna Theory: Analysis and Design, 4th ed.; Wiley: Hoboken, NJ, USA, 2016; ISBN 978-1-118-64206-1. [Google Scholar]
- Meng, X.; Liu, Y.; Gao, X.; Zhang, H. A New Bio-inspired Algorithm: Chicken Swarm Optimization. In Advances in Swarm Intelligence; Lecture Notes in Computer Science; Springer: Cham, Switzerland, 2014; Volume 8794. [Google Scholar]
- Saxena, P.; Kothari, A. Optimal pattern synthesis of linear antenna array using grey wolf optimization algorithm. Int. J. Antennas Propag. 2016, 2016, 8–19. [Google Scholar] [CrossRef]
- Guney, K.; Durmus, A.; Basbug, S. Antenna array synthesis and failure correction using differential search algorithm. Int. J. Antennas Propag. 2014, 2014, 276754. [Google Scholar] [CrossRef]
- Weng, W.-C.; Yang, F.; Elsherbeni, A.Z. Linear antenna array synthesis using Taguchi’s method: A novel optimization technique in electromagnetics. IEEE Trans. Antennas Propag. 2007, 55, 723–730. [Google Scholar] [CrossRef]
- Guney, K.; Durmus, A. Pattern nulling of linear antenna arrays using backtracking search optimization algorithm. Int. J. Antennas Propag. 2015, 2015, 713080. [Google Scholar] [CrossRef]
- Fan, Q.; Chen, Z.; Li, Z.; Xia, Z.; Yu, J.; Wang, D. A new improved whale optimization algorithm with joint search mechanisms for high-dimensional global optimization problems. Eng. Comput. 2020, 36, 1–28. [Google Scholar] [CrossRef]
- Albagory, Y.; Alraddady, F. An Efficient Approach for Sidelobe Level Reduction Based on Recursive Sequential Damping. Symmetry 2021, 13, 480. [Google Scholar] [CrossRef]
Publisher’s Note: MDPI stays neutral with regard to jurisdictional claims in published maps and institutional affiliations. |
© 2021 by the author. Licensee MDPI, Basel, Switzerland. This article is an open access article distributed under the terms and conditions of the Creative Commons Attribution (CC BY) license (https://creativecommons.org/licenses/by/4.0/).













