High−Performance 4H−SiC UV p−i−n Photodiode: Numerical Simulations and Experimental Results
Abstract
1. Introduction
2. Device Structure: The p−i−n Photodiode
3. Electro−Optical Numerical Model
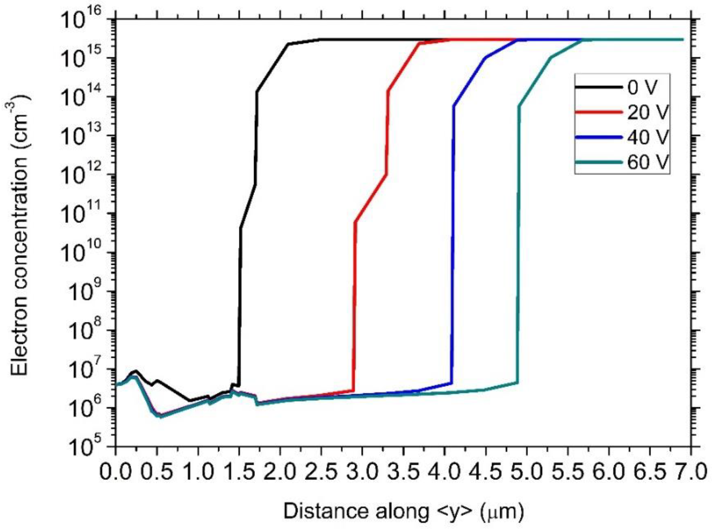
4. Simulations and Experimental Results
5. Conclusions
Author Contributions
Funding
Institutional Review Board Statement
Informed Consent Statement
Data Availability Statement
Acknowledgments
Conflicts of Interest
References
- Morkoc, B.H.; Strite, S.; Gao, G.B.; Lin, M.E.; Sverdlov, B.; Burns, M. Large-band-gap SiC, III-V Nitride, and II-VI ZnSe-based Semiconductor Device Technologies. J. Appl. Phys. 1994, 76, 1363–1398. [Google Scholar] [CrossRef]
- Monroy, E.; Omnès, F.; Calle, F. Wide−Bandgap Semiconductor Ultraviolet Photodetectors. Semicond. Sci. Technol. 2003, 18, R33. [Google Scholar] [CrossRef]
- Megherbi, M.L.; Bencherif, H.; Dehimi, L.; Mallemace, E.D.; Rao, S.; Pezzimenti, F.; Della Corte, F.G. An Efficient 4H−SiC Photodiode for UV Sensing Applications. Electronics 2021, 10, 2517. [Google Scholar] [CrossRef]
- Liu, H.D.; Guo, X.; McIntosh, D.; Campbell, J.C. Demonstration of Ultraviolet 6H−SiC PIN Avalanche Photodiodes. IEEE Photonics Technol. Lett. 2006, 18, 2508–2510. [Google Scholar] [CrossRef]
- Sciuto, A.; Mazzillo, M.C.; Di Franco, S.; Mannino, G.; Badalà, P.; Renna, L.; Caruso, C. UV−A Sensor Based on 6H−SiC Schottky Photodiode. IEEE Photonics J. 2017, 9, 1–10. [Google Scholar] [CrossRef]
- Cai, J.; Chen, X.; Hong, R.; Yang, W.; Wu, Z. High−Performance 4H−SiC−Based Pin Ultraviolet Photodiode and Investigation of Its Capacitance Characteristics. Opt. Commun. 2014, 333, 182–186. [Google Scholar] [CrossRef]
- Burenkov, A.; Matthus, C.D.; Erlbacher, T. Optimization of 4H−SiC UV Photodiode Performance Using Numerical Process and Device Simulation. IEEE Sens. J. 2016, 16, 4246–4252. [Google Scholar] [CrossRef]
- Sciuto, A.; Roccaforte, F.; Di Franco, S.; Raineri, V.; Bonanno, G. High Responsivity 4 H−Si C Schottky UV Photodiodes Based on the Pinch−off Surface Effect. Appl. Phys. Lett. 2006, 89, 081111. [Google Scholar] [CrossRef]
- Zhou, Q.; Liu, H.D.; McIntosh, D.C.; Hu, C.; Zheng, X.; Campbell, J.C. Proton−Implantation−Isolated 4H−SiC Avalanche Photodiodes. IEEE Photonics Technol. Lett. 2009, 21, 1734–1736. [Google Scholar]
- Ng, B.K.; Yan, F.; David, J.P.R.; Tozer, R.C.; Rees, G.J.; Qin, C.; Zhao, J.H. Multiplication and Excess Noise Characteristics of Thin 4H−SiC UV Avalanche Photodiodes. IEEE Photonics Technol. Lett. 2002, 14, 1342–1344. [Google Scholar] [CrossRef]
- Chen, B.; Yang, Y.; Xie, X.; Wang, N.; Ma, Z.; Song, K.; Zhang, X. Analysis of Temperature−Dependent Characteristics of a 4H−SiC Metal−Semiconductor−Metal Ultraviolet Photodetector. Chin. Sci. Bull. 2012, 57, 4427–4433. [Google Scholar] [CrossRef]
- Yang, S.; Zhou, D.; Lu, H.; Chen, D.; Ren, F.; Zhang, R.; Zheng, Y. High−Performance 4H−SiC Pin Ultraviolet Photodiode with p Layer Formed by al Implantation. IEEE Photonics Technol. Lett. 2016, 28, 1189–1192. [Google Scholar] [CrossRef]
- Chen, X.; Zhu, H.; Cai, J.; Wu, Z. High−Performance 4H−SiC−Based Ultraviolet p−i−n Photodetector. J. Appl. Phys. 2007, 102, 24505. [Google Scholar] [CrossRef]
- Della Corte, F.G.; Pezzimenti, F.; Nipoti, R. Simulation and Experimental Results on the Forward J–V Characteristic of Al Implanted 4H–SiC p–i–n Diodes. Microelectron. J. 2007, 38, 1273–1279. [Google Scholar] [CrossRef]
- CNR−Institute for Microelectronics and Microsystem (IMM) of Bologna. Available online: https://www.bo.imm.cnr.it/unit/ (accessed on 31 March 2022).
- SiC Materials, n−Type SiC Substrates. Available online: https://www.wolfspeed.com/products/materials/n−type−sic−substrates (accessed on 31 March 2022).
- Pezzimenti, F.; Della Corte, F.G.; Nipoti, R. Experimental Characterization and Numerical Analysis of the 4H−SiC p–i–n Diodes Static and Transient Behaviour. Microelectron. J. 2008, 39, 1594–1599. [Google Scholar] [CrossRef][Green Version]
- Sze, S.M.; Li, Y.; Ng, K.K. Physics of Semiconductor Devices; John wiley & Sons: London, UK, 2021. [Google Scholar]
- Caughey, D.M.; Thomas, R.E. Carrier Mobilities in Silicon Empirically Related to Doping and Field. Proc. IEEE 1967, 55, 2192–2193. [Google Scholar] [CrossRef]
- Selberherr, S. Analysis and Simulation of Semiconductor Devices; Springer Science & Business Media: Berlin, Germany, 1984. [Google Scholar]
- Zollner, S.; Chen, J.G.; Duda, E.; Wetteroth, T.; Wilson, S.R.; Hilfiker, J.N. Dielectric Functions of Bulk 4H and 6H SiC and Spectroscopic Ellipsometry Studies of Thin SiC Films on Si. J. Appl. Phys. 1999, 85, 8353–8361. [Google Scholar] [CrossRef]
- Sridhara, S.G.; Devaty, R.P.; Choyke, W.J. Absorption Coefficient of 4H Silicon Carbide from 3900 to 3250 Å. J. Appl. Phys. 1998, 84, 2963–2964. [Google Scholar] [CrossRef]
- Lioliou, G.; Mazzillo, M.C.; Sciuto, A.; Barnett, A.M. Electrical and Ultraviolet Characterization of 4H−SiC Schottky Photodiodes. Opt. Express 2015, 23, 21657–21670. [Google Scholar] [CrossRef]
- Yan, F.; Xin, X.; Aslam, S.; Zhao, Y.; Franz, D.; Zhao, J.H.; Weiner, M. 4H−SiC UV Photo Detectors with Large Area and Very High Specific Detectivity. IEEE J. Quantum Electron. 2004, 40, 1315–1320. [Google Scholar]
- Torvik, J.T.; Pankove, J.I.; Van Zeghbroeck, B.J. Comparison of GaN and 6H−SiC Pin Photodetectors with Excellent Ultraviolet Sensitivity and Selectivity. IEEE Trans. Electron. Dev. 1999, 46, 1326–1331. [Google Scholar] [CrossRef]









| 4H−SiC | p+ | n− | n+ |
|---|---|---|---|
| Doping (cm−3) | 7 × 1019 (peak) | 3 × 1015 | 5 × 1019 |
| Thickness (μm) | See profile in Figure 2 | 16.5 | 300.0 |
| Bandgap energy (eV) | 3.26 | 3.26 | 3.26 |
| Saturated velocity (cm2/s) | 2 × 107 | 2 × 107 | 2 × 107 |
| Dielectric constant | 9.66 | 9.66 | 9.66 |
| Parameters | Electron | Hole |
|---|---|---|
| (cm2/Vs) | 950 | 125 |
| (cm2/Vs) | 40 | 15.9 |
| Ncrit (cm−3) | 2 × 1017 | 1.76 × 1019 |
| α | −0.5 | −0.5 |
| β | −2.15 | −2.15 |
| δ = −γ | 0.76 | 0.76 |
| Parameters | Electron | Hole |
|---|---|---|
| τ0 (ns) | 15 | 15 |
| NSRH (cm−3) | 7 × 1016 | 7 × 1016 |
| Reverse Bias | Responsivity (R) Peak (A/W) | External Quantum Efficiency (EQE) (%) at Responsivity Peak | ||
|---|---|---|---|---|
| Experiments | Simulations | Experiments | Simulations | |
| 0 V | 0.168 | 0.168 | 72.7 | 70.8 |
| 10 V | 0.187 | 0.186 | 81.1 | 78.5 |
| 20 V | 0.198 | 0.195 | 85.6 | 81.7 |
| 30 V | 0.204 | 0.201 | 88.3 | 83.9 |
| 40 V | 0.205 | 0.205 | 89.0 | 85.1 |
| 50 V | 0.209 | 0.209 | 90.6 | 86.7 |
| 60 V | 0.212 | 0.212 | 91.8 | 87.9 |
Publisher’s Note: MDPI stays neutral with regard to jurisdictional claims in published maps and institutional affiliations. |
© 2022 by the authors. Licensee MDPI, Basel, Switzerland. This article is an open access article distributed under the terms and conditions of the Creative Commons Attribution (CC BY) license (https://creativecommons.org/licenses/by/4.0/).
Share and Cite
Rao, S.; Mallemace, E.D.; Della Corte, F.G. High−Performance 4H−SiC UV p−i−n Photodiode: Numerical Simulations and Experimental Results. Electronics 2022, 11, 1839. https://doi.org/10.3390/electronics11121839
Rao S, Mallemace ED, Della Corte FG. High−Performance 4H−SiC UV p−i−n Photodiode: Numerical Simulations and Experimental Results. Electronics. 2022; 11(12):1839. https://doi.org/10.3390/electronics11121839
Chicago/Turabian StyleRao, Sandro, Elisa D. Mallemace, and Francesco G. Della Corte. 2022. "High−Performance 4H−SiC UV p−i−n Photodiode: Numerical Simulations and Experimental Results" Electronics 11, no. 12: 1839. https://doi.org/10.3390/electronics11121839
APA StyleRao, S., Mallemace, E. D., & Della Corte, F. G. (2022). High−Performance 4H−SiC UV p−i−n Photodiode: Numerical Simulations and Experimental Results. Electronics, 11(12), 1839. https://doi.org/10.3390/electronics11121839

