Abstract
Downlink schedulers play a vital part in the current and next-generation wireless networks. The next generation downlink scheduler should satisfy the demand for different requirements, such as dealing with ultra-dense networks and the need to run real-time (RT) and non-real-time (nRT) applications, with a high quality of service (QoS). Many researchers have developed various schedulers for these, but none have introduced one scheduler to target them all. This paper introduces a novel channel/QoS aware downlink scheduler algorithm, called Advanced Fair Throughput Optimized Scheduler (AFTOS), for ultra-dense networks. AFTOS is a multi-QoS scheduler that aims to maximize system spectrum efficiency and user throughput with enhanced fairness, delay, and packet loss ratio (PLR). It is capable of handling RT and nRT traffic. We developed two new policies, called Adjusted Largest Weighted Delay First (ALWDF) and Fair Throughput Optimized Scheduler (FTOS), for RT and nRT traffic. Then, we joint them to introduce our novel downlink scheduler Advanced Fair Throughput Optimized Scheduler (AFTOS). For evaluating the suggested algorithm, we undertook experiments to decide the ideal parameter value for the proposed approaches and compared the proposed solution to current best practices. The findings prove that the AFTOS algorithm can achieve its objectives, outperforming the alternative techniques.
1. Introduction
The 3rd Generation Partnership Project (3GPP) established the long-term evolution (LTE) system to ensure quality of service (QoS) performance for non-real-time and real-time services. An effective technique for resource allocation scheduling is essential to achieve a satisfying service level in an LTE system, especially in light of the increasing demand for network applications [1]. LTE handles high data rates, maximum spectral efficiency, large coverage area, and low latency. LTE implements orthogonal frequency division multiple access (OFDMA) on the downlink and single-carrier frequency division multiple access (SC-FDMA) on the uplink to achieve a high peak data rate [2].
The radio resource management (RRM) techniques developed for the LTE/LTE-Advanced network environment will be important for successive generations. These strategies should become more intelligent and adaptable in the future as networks, and user features and needs grow more diversified and demanding [3].
Many papers evaluate the cellular networks and scheduling performance, such as [4,5,6,7,8].
The significant shortcomings of downlink scheduling are:
- Intelligent applications and devices development has made the users of current and next-generation wireless networks be able to use several applications at the same time. With a need to use both RT and nRT traffic (e.g., browsing social media websites and chatting, or downloading data and playing an online game), downlink scheduling should combine and manage both traffic concurrently. Most of the recent downlink schedulers in the literature, however, treat each traffic alone [9,10,11,12,13].
- The channel quality indicator (CQI) of the user equipment (UE) determines the number of resource blocks (RBs) to be distributed across the cell’s users. Because of the low CQI value, users near the cell edge will experience RB starvation, as seen in the well-known channel aware scheduler Max Throughput (MT) [14]. The scheduler will always look for the user with the best CQI since it cannot distinguish between good and bad channel conditions. As a result, even users with good CQI will receive significantly less throughput than users with the best CQI. This means while we optimize the system performance, we must keep a particular level of fairness among system users.
Maximizing the user throughput with a high level of fairness, especially for users with low CQI (user edge), is a problem. Many researchers developed various schedulers to handle this. Any solution targeting next-generation wireless networks should further consider QoS criteria and ultra-dense networks.
The proportional fairness (PF) [14] scheduling algorithm is another channel-aware approach that compromises fairness and spectral efficiency. Comparing present and historical average channel throughputs is the PF method’s foundation. This connection establishes a weighting ratio for the predicted channel throughput to rank users with less CQI. Because of the qualities mentioned, researchers have examined PF widely, and adapted to accommodate the QoS characteristics of various traffic classes. Another well-known scheduler is the Modified Largest Weighted Delay First (MLWDF), which achieves optimal system performance and preserves more user fairness than competing techniques. This scheduler is very dependent on the quality of service and packet latency. The complexity of the throughput-optimal MLWDF method is the lowest among all other scheduling algorithms, and it takes real-time traffic into account. The key objectives of this scheduler are to improve QoS, increase spectral efficiency, and offer high user fairness [15]. Ref. [16] proposed a solution for user edge starvations using a multi-objective optimization algorithm to maximize the throughput and the delay sensitivity by dividing the cell users into cell-center and cell-edge users and prioritizing the transmission for cell-edge users. They maximized the cell-edge throughput, but did not consider any delay-related parameters in their performance matrices. Ref. [17] demonstrated a novel resource allocation approach for multiple-input multiple-output (MIMO)-OFDMA downlink systems. This approach first distributes available physical resource blocks (PRBs) to active users in the cell using a single objective optimization algorithm, and then determines the right modulation and coding scheme (MCS) index by taking power allocation into account. The numerical findings showed that the system’s throughput and fairness are boosted compared to the well-known techniques for empty and loaded networks, but, their algorithm did not consider QoS restrictions, such as the packet delay and packet loss ratio, and was also computationally complex. Ref. [18] established a unique RRM technique called Resource Allocation Scheme to Optimize Throughput (RASOT). This technique assigns an SINR threshold and gives preference to users with a lower SINR threshold to allocate resources. The evaluation findings show that the proposed technique could increase the cell-edge throughput when compared to the earlier methods and offer a higher level of fairness. Yet, the suggested scheduler is a channel-aware algorithm that does not consider any QoS requirements, rendering it unsuitable for next-generation wireless communications.
The next generation of wireless technologies needs a multi-QoS downlink scheduler designed for an ultra-dense network (number of resources, such as subcarriers, are equal to or lower than the number of users) to rank metrics, such as latency, transmission rate, and capacity, achieve many advantages at the same time, and guarantee fairness among system users. Still, one of the most significant shortcomings of the well-known downlink schedulers in the literature, such as MT and PF, is that trade-offs exist in their problem treatments and goal achievements. Thus, developing multi-QoS schedulers for an ultra-dense network is vital to prioritizing many metrics in networks, such as latency, transmission rate, packet loss ratio, and capacity, to make sure that users receive the required level of service equally.
This paper introduces a novel channel/QoS aware downlink scheduler algorithm called Advanced Fair Throughput Optimized Scheduler (AFTOS) for ultra-dense networks. The proposed scheduler is a multi-QoS scheduler with multiple goals (i.e., maximizing the system spectrum efficiency, maximizing the user throughput with a superior fairness, minimizing the delay, and decreasing the PLR). It deals with both RT and nRT traffic. Our proposed scheduler has a novel design to achieve the goals mentioned. We used the weighted joint policy developed by [19] that had a new balanced approach in scheduling where the aim of QoS fulfillment may be interchanged against the possible system throughput. In addition, we implemented two weighting elements to correlate RT (delay-related scheduling policy) and nRT (throughput maximization scheduling policy) traffic. For the latter, to maximize the throughput and fairness, we proposed a new channel-aware scheduler called Fair Throughput Optimized Scheduler (FTOS) based on a new meta-heuristic algorithm called Grey Wolf Optimizer (GWO). We chose GWO because of its superior qualities to other swarm intelligence approaches. GWO has been customized for a wide range of optimization tasks, has a few parameters, and needs no derivation information during the first search. It is straightforward, simple to use, adaptable, and scalable, with the unique potential of striking the optimal balance between exploration and exploitation throughout the search, resulting in positive convergence [20].
We designed its cost function as a simple single objective with a one-dimensional search space to maximize the throughput for the users in the cell, making it fast, simple, and easy to apply. To minimize the delay and achieve the QoS requirement for RT traffic, we adjusted the Largest Weighted Delay First (LWDF) algorithm to develop a new QoS scheduler called Adjusted Largest Weighted Delay First (ALWDF). By combining the two schedulers, FTOS and ALWDF, using a weighted joint policy, we proposed our novel downlink scheduler, Advanced Fair Throughput Optimized Scheduler (AFTOS). The following summarizes this paper’s contributions:
- Introduced a novel multi-QoS called AFTOS for an ultra-dense network to (i) maximize the spectrum efficiency and the throughput for the users in the cell with a superior fairness, and (ii) minimize the delay and the PLR to make it very suitable for next-generation cellular network requirements.
- Introduced a new and novel channel-aware scheme called FTOS that used GWO to maximize the user throughput with a significant fairness and integrate it with any other QoS schemes.
- Proposed a new QoS-aware scheme called ALWDF that adjusts the parameters of the well-known LWDF scheduler to minimize the head of line (HOL) delay and the probability of the packet to be lost.
- Implemented an efficient policy for mixed RT and nRT traffic since the researchers rarely applied this policy in the literature.
The state-of-the-art scheduling schemes combine all related parameters into one, where the dependency of the parameters to each other is high. This can make the scheduling algorithms too conservative. In the proposed scheme, we reorganized the mathematical expression for the scheduling metric and applied optimization to the new expression. The new expression has two weighted terms and aims to increase the independence of throughput related parameters from delay related parameters. In this way, the schedulers can work less conservatively in increasing the system performance [13].
Section 2 of this paper outlines the related work and Section 3 is on the methodology. There are six subsections of Section 3 to present the system model and explain the joint weighted policy for combining RT and nRT traffic. In the third subsection, we introduce the delay-related (RT) policy, and in the next subsection, we explain the throughput maximization policy (nRT). The proposed scheduling algorithms are presented in the fifth section, and the performance evaluation methods are introduced in the last subsection of Section 3. Suggested method implementation is described and compared to existing algorithms in Section 4. We finish the paper with a conclusion and suggestions for future work.
To make it easier for the reader to follow the information in the paper, we have listed the acronyms in Table 1.
Table 1.
The acronyms on the paper.
2. Related Works
At the medium access control (MAC) layer, downlink schedulers are responsible for distributing physical resource blocks (PRBs) between flows (eNB). Many packet scheduling techniques have been developed to offer RT and nRT operations over LTE while retaining good QoS delivery. LTE schedulers are designed to handle diverse traffic by considering many QoS criteria, including latency, packet loss, CQI, and goal rates. Hence, ref. [9] aims to decrease (RT) traffic latency while maintaining a high degree of QoS. By developing a “Delay-based and QoS-aware Scheduling (DQAS)” strategy with a minimal complexity overhead. In addition, the “Least Delay Increase (LDI) algorithm” was designed to find a balance between delay and system throughput. Simulation findings demonstrate that DQAS considerably ensures a low end-to-end latency trend independent of increasing RT load and a fair throughput and data drop level compared to other current schedulers. Ref. [11] demonstrates the impact of QoS Class Identifier (QCI) characteristics on various delay-aware scheduling techniques. They also present a collection of algorithms to enhance the Log-rule, Linear-rule, and (MLWDF) scheduling methods. The proposed algorithms increase the QoS performance for various traffic classes, RT and nRT. The TES and TES+ are innovative packet scheduling systems for future ultradense networks proposed by [13]. They offered two new scheduling decision-making parameters and reconstructed the parameters utilized by existing schemes. The performance of innovative schemes was compared to that of well-established schemes. Simulation findings indicate that suggested scheduling methods can outperform all competing scheduling systems.
Some researchers also utilized optimization techniques to develop new scheduler schemes. Ref. [21] demonstrated a genetic algorithm-based downlink scheduling algorithm for LTE networks. This research presented a novel scheduling method for improving the network’s lackluster performance degradation by adding a genetic algorithm (GA) concept before allowing users to use radio resources. A simulation was used to evaluate the suggested method’s performance, and the findings show that it significantly outperforms the other algorithm in terms of the measured metrics. The spectral efficiency was increased by 65.76 percent, the throughput was increased, and the average latency was reduced. Ref. [1] developed a novel downlink-scheduling method for video applications on LTE culler networks; it considered QoS requirements and channel circumstances. The efficiency of the proposed algorithms was measured in terms of latency, throughput, PLR, and fairness. Based on the acquired results, the algorithms significantly improve the efficiency of video streaming when compared to conventional LTE algorithms. An algorithm for dynamic scheduling delay-sensitive vehicle safety applications in cellular networks was presented for a delay-aware control technique for maximizing system throughput using a cross-layer method [22]. To start, they modeled the resource allocation issue using the multi-input single-output (MI-SO)-based queuing theory. Second, the approach converted the problem of throughput and latency for dynamic communication systems to a stochastic network optimization problem and then used the Lyapunov optimization method to find their trade-offs. Finally, they applied an enhanced branch-and-bound method to find the best solution for these decomposed sub-problems inside the system capacity zone. The simulation results prove that their technique can ensure the delay while maintaining the highest possible system performance. Introduced by [23], the Dragonfly-Based Joint Delay/Energy (DJDE) LTE Downlink Scheduling Algorithm (DJDE) considered the clients’ QoS needs while attaining high energy efficiency. The suggested approach uses the Dragonfly algorithm to improve several scheduling strategy integrations. They performed a comprehensive series of tests to evaluate the suggested solution compared to state-of-the-art procedures. A novel multi-objective optimization technique was introduced in [24], where the scheduler combines both traffic. The authors aimed to find the optimal solution in the Pareto front value to maximize the throughput and minimize the delay. Their results achieved their goals, but it was computationally complex and needed a decision maker involved. Their model did not consider the ultra-dense networks or the user fairness required for following generation networks. Ref. [25] conducted an LTE Downlink Scheduling with Sharing Spectrum for Surviving LTE-WiFi Systems that examined the influence of packet scheduling on LTE cell performance. It optimized and increased packet success rates using the Hungarian algorithm. The study showed that using Hungarian optimization improved the throughput distribution and packet success rate (PSR).
Other researchers developed techniques based on the deep learning approach and the frame-based game theory. The proposal by [26] aimed to mitigate the harmful effect of obsolete CQI on communication degradation, particularly in high-speed mobility conditions. This paper’s authors suggested a technique for predicting CQIs using a deep learning method built on the Long Short-Term Memory (LSTM) algorithm. The LSTM approach surpassed the feed-forward neural networks (FNN) method to enhance the system’s downlink transmission performance. Ref. [27] presented downlink scheduling in LTE using deep reinforcement learning (RL), LSTMs, and pointers. The paper used a deep RL method to train the network using the CQI and the buffer capacity of each user equipment (UE) as observations. They maximized the system throughput and fairness but did not target any related delay parameters. Frame-based game theory (FGT) is a fairness-based approach for allocating resources that may be deployed at an upper level in the LTE downlink MAC layer; this technique was proposed by [10]. FGT’s primary objective is to enable classes with diverse QoS requirements to get a fair share of the existing channel resources to broadcast their flows. The findings demonstrated superior QoS indices for FGT on RT and nRT services in terms of throughput, PLR, and cell spectrum efficiency. In addition, the Shapley formula was utilized to allocate the available data between the RT and nRT traffic categories.
Other researchers suggested techniques that targeted video traffic. In [28], the authors studied the impact of giving video traffic a primacy on QoS. They proposed a QoS-aware downlink scheduler in a single-cell LTE network to overcome this issue. In addition, they applied a utility-based scheduling technique in the proposed packet scheduler to investigate the impact of adopting Wyner–Ziv coding on prioritizing video traffic over other forms of traffic. When using Wyner–Ziv coding, numerical studies showed that video traffic priority did not affect the system’s performance compared to other current methods.
Ref. [29] presented an upgraded EXP rule (eEXPRULE) scheduler to optimize radio resource consumption in the LTE networks. Extensive simulations acknowledged that the suggested scheduler significantly improved the video application performance without affecting VoIP performance. For example, the eEXPRULE scheduler boosted video throughput by 50%, spectrum efficiency by 13%, and fairness by 11%, respectively, and decreased video PLR by 11%. In ref. [30], the impact of downlink scheduling for multi-user scalable video streaming over OFDMA channels was investigated. They presented a scheduling method based on fuzzy logic that prioritizes transmission to various users depending on video content and channel circumstances. The suggested method ensured more fair resource allocation over the full sector coverage, enhancing video quality at the cell’s edges while minimizing degradation for users closest to the base station.
There are also other approaches proposed for the allocation of resources in the cellular network. For instance, [31] carried out remote radio head scheduling (RRH) in LTE-Advanced networks. They offered a scheduler for RRH that was based on soft computing. The fairness index, throughput, spectral efficiency, and rank indicator distribution were used to assess the suggested technique’s results. The suggested approach tried to enhance the scheduling performance. Experiments show that the suggested model is superior to state-of-the-art techniques. Ref. [32] studied the modified proportional fair scheduling algorithm for heterogeneous LTE-A networks. The findings showed that the proposed Quadratic Proportional Fair (QPF) algorithm outperforms the original PF in spectral efficiency, energy per bit, and fairness by 8.4%, 14%, and 9.3%, respectively. The Vienna simulator was used to evaluate the suggested algorithms’ performance. An algorithm for dynamic scheduling delay-sensitive vehicle safety applications in cellular networks was presented for a delay-aware control technique for maximizing system throughput using a cross-layer method. Ref. [33] proposed an algorithm for allocating proportional fair buffers in the 5G-enhanced mobile broadband. The buffer status was merged with the PF measure in the paper to provide a novel scheduling technique for enhanced mobile broadband (eMBB) support that is both efficient and scalable. The suggested scheduling strategy’s success was shown by a detailed experimental study that evaluated several QoS key performance indicators (QoS KPIs) such as throughput, fairness, and buffer state. Ref. [34] presented a resource allocation method for wireless communication systems considering channel transmission quality and data latency. Considering current developments in 5G communication networks, the authors used f-OFDM (filtered-orthogonal frequency division multiplexing) technology in their simulation scenarios. They compared the resource allocation algorithm performance using QoS characteristics, such as average latency, throughput, processing time, loss rate, and fairness index. Ref. [35] developed an LTE downlink channel aware optimized proportional fair scheduler, known as Channel Aware Optimized Proportional Fair (CAOPF), based on CQI. The introduced scheduler’s performance was compared to existing schedulers such as Round Robin (RR) and PF. It achieved good performance results, except the authors did not consider the ultra-dense networks in their environment. Ref. [36] demonstrated channel-aware integrated time and frequency-based downlink LTE scheduling (ITFDS) in mobile ad-hoc networks (MANET) for both real-time and non-real-time applications. The authors made a comparison between their novel approach and the LWDF and PF algorithms. In terms of aggregate throughput, their approach did not outperform the other algorithms. They distributed resources to users in the frequency domain using the most significant LWDF scheduling technique. Ref. [37] developed an enhanced best-CQI scheduling technique to increase the network’s throughput. To test the proposed algorithm’s throughput performance, they compared it to three user scheduling algorithms. The experiment used a line-of-sight (LOS) connection with a carrier frequency of 2.6 GHz to simulate vehicular LTE (LTE-V). In [38] the authors used an enhanced fair earliest due date first scheduling method for multimedia content in the LTE downlink architecture. A unique scheduler is introduced that enables LTE cellular networks to fulfill a QoS by ensuring a certain delay threshold for delay-sensitive services. Considering many criteria, the suggested scheduling technique allocated the existing RBs to the existing UEs. The suggested scheduler operating mechanism considers the expiry date of every packet, the channel condition, the average throughput attained by every UE, and the PLR for each UE. The results obtained were evaluated to determine the performance of the recommended scheduling method. Ref. [12] reported that a queue-optimized scheduler can handle real-time (RT) and non-real-time (NRT) services in the LTE downlink architecture. The suggested scheduler’s first level is based on an improved queue length threshold that is dynamically updated to keep throughput around its average value. The scheduling technique prioritizes users according to their service needs to increase QoS provision. Ref. [39] developed a latency-rate downlink packet scheduler for LTE networks (LR-DPS) for downlink traffic resource rescheduling to meet the input traffic’s maximum delay requirements. The authors established three hierarchical phases for the proposal, and a token bucket restricted the traffic. Determining the time distribution and source rates were part of the next stage to adhere to the constraints. The third step included allocating data to RBs stably to make sure of fairness. The outcomes of simulations involving various types of traffic show that the LR-DPS satisfied the criteria, whereas other eminent schedulers surpassed the specified maximum delay by up to 90%. Ref. [40] proposed an enhanced downlink packet scheduling algorithm for delay-sensitive devices in human-to-human (H2H) and machine-to-machine (M2M) communications over LTE-Advanced networks. This work recommended an energy-efficient, QoS-aware scheduler with reduced scheduling complexity eNodeB for transmission of delay-sensitive data. At the eNodeB, they have devised an enhanced greedy algorithm to distribute resources to UEs to transfer real-time data. The results proved that the suggested scheduling approach significantly enhances cell edge user coverage. They compared this greedy scheduler’s performance to the other two well-known schedulers, the LOG rule, and the EXP rule. Ref. [41] conducted an enhanced joint scheduling (eJS) strategy with improved performance for GBR and non-GBR services in the 5G RAN. eJS attempts to guarantee that accommodated data radio carriers meet minimal data rate standards. As a result, the eJS scheme beat the reference schemes regarding throughput and fairness while meeting a more significant number of GBR DRBs. “Max rate delay urgency first” (MRDUF) was developed as a “hybrid network user satisfaction-based downlink scheduling strategy” by [42]. The MRDUF technique concurrently addresses rate and delay requirements and employs a hybrid strategy consisting of time- and frequency-domain schedulers using two scheduling algorithms, namely “first come, first served (FCFS)” and MT, for the LTE-A downlink environment. According to simulation findings, their suggested method outperforms MT, PF, blind equal throughput (BET), and earliest deadline first (EDF) scheduling strategies.
3. Methods
This paper proposes a channel/QoS aware downlink scheduling algorithm to handle both nRT and RT traffic simultaneously. We suggest novel policies for each traffic and add them together. In the following sections, we first refer to our system model, introduce the weighted add policy for mix RT and nRT traffic, explain each traffic policy, and describe our novel channel/QoS aware scheduler. In addition, we define the performance evaluation method in the last section.
3.1. System Model
This article addresses a wireless cellular network that comprises a single 5G small cell or evolved Node B (eNB) and K mobile users (MUs) within a 5, 10, and 15-m radius. Each user comprises two data feeds, RT and nRT. It is supposed that the system employs OFDM to split a frequency selective broad channel into several smoothed narrow-band sub-channels. The eNB handles the communication procedures between the eNB and the MUs (downlink) and between the MUs and the eNB (uplink).
It correctly checks the instant channel condition of MUs on each RB. An RB is a frequency-time domain assignment of radio resources in an OFDM-based system. For example, in 4G systems, RB comprises 12 subcarriers (SC) spread out 15 kHz apart (resulting in an overall bandwidth of 180 kHz) and has a period of 7 OFDM symbols (the entire period of 1 ms). The eNB collects MU data requests across the uplink streams, determines the kind, quantity, and other essential details about the required data, and then buffers the requests as packets delivered to the MUs. The packet scheduling unit in the eNB determines which RBs will be assigned to the i-th user, 1 ≤ i ≤ K. For highly dense networks, the number of cell users is assumed to be greater than the number of subcarriers. For instance, in a cellular network with 100 subcarriers, the cell may have 120 MUs.
From the BS to every MU, a wireless channel is considered autonomous and identically spread with Rayleigh fading. The Rayleigh fading distribution is a widely employed technique for describing a multipath fading wireless channel in an urban environment with unpredictable user mobility [13].
During LTE downlink transmission, the resource scheduling algorithm at the eNB or 5G small cell allocates available RBs to the MUs that need allocation. For simplicity, we undertook a set of MUs in a single eNB, where MUs = {1, 2, …, K} and subcarriers (SCs) = {1, 2, …, N}. In our suggested model for RT policy, we adjusted the LWDF scheme to reduce the delay component (RT component) and maximize the throughput component (nRT component) using the GWO.
3.2. Joint Weighted Policy
To meet the demand of next-generation users to use mixed RT and nRT traffic simultaneously, we have applied a joint weighted policy developed by [19]. Therefore, two weighting elements, one for RT traffic and another for nRT traffic, were considered (ALWDF (delay-related policy or RT policy) and FTOS (throughput maximization policy or nRT policy)), as seen in Figure 1.
Figure 1.
Joint weighted policy to mixed RT and nRT traffic. Note: Adapted from [19].
Apart from the need to handle both types of traffic concurrently, applying rules in isolation (as seen in Figure 2) or using one policy only to manage the two types of traffic has the following downsides:
Figure 2.
RT and nRT isolation policy. Note: Adapted from [19].
- By focusing only on ensuring the latency QoS, the policy of RT traffic erodes the goal of throughput maximization.
- Rather than focusing on increasing system throughput moderately, the nRT traffic strategy will disregard the delay limitation on RT packets, which increases the likelihood that RT packets will surpass their delay threshold.
3.3. Delay-Related (RT) Policy
In this section, for the delay-related scheduler policy, we manipulate the well-known scheduler LWDF. The new version is called adjusted LWDF (ALWDF).
The LWDF policies are used often in real-time operating systems and wired networks [14]. It is used to keep deadlines from expiring. The LWDF metric is calculated using the system parameter in Equation (1), which shows the probability of a packet being lost because of a deadline expiration.
Here, denotes the HOL packet delay, the time interval between the packet’s arrival and successful transmission, while the delay threshold for user is determined by user applications (online gaming, in this case) [15].
We adjusted the formula of scheme to be:
We minimized the probability of a packet being lost because of a deadline expiration and the packet delay. For example, the value in the old version of LWDF is (0.06 × ), but it will be (0.006 × ), in our proposed method.
The probability of packet loss has increased by substituting the ln function for log. which reduces the chances of a packet being lost.
3.4. Throughput Maximization (nRT) Policy
For nRT in the proposed policy, we proposed a new channel aware scheme called FTOS. We applied the GWO to fairly maximize the throughput for users in the small cell. GWO is a meta-heuristic algorithm which applies the stochastic optimization method for the solution searching process. We choose this method because meta-heuristics may be used in a variety of contexts without affecting the algorithm’s structure. They are easily relevant to various topics because of their predominance of closed-box thinking. For example, a designer must be able to describe his or her challenge in terms of a meta-heuristic. In addition, deterministic optimization or search approaches are inefficient in solving nonlinear problem (NP)-hard problems. Stochastic optimization methods can rapidly discover near-optimal solutions to NP-complex problems in an acceptances time.
Mirjalili et al. developed the GWO algorithm in 2014 [43]. They designed it to mimic gray wolves’ natural hierarchy and social interaction. In a pack of wolves, there are many distinct categories of members, depending on the amount of dominance, containing α, β, δ, and ω. The leading wolf is α; dominance and leadership authority decline from α to ω.
GWO approach categorizes the population of possible solutions to an optimization problem among four categories, illustrates this procedure for a group of six solutions. As shown in Figure 3, the top three optimal solutions are α, β, and δ. The remaining solutions are classified as ω wolves. The algorithm must update the hierarchy before altering the solutions in each iteration [44]. The populations are sorted starting from the smallest to the most significant based on their best fitness value. In a realistic optimization problem, it is difficult to determine the position of the prey (the ideal solution) beforehand. However, it is simple to come up with a solution by approximating the location of the best solution based on the high-performing members of the existing population.
Figure 3.
GWO population arrangement into four categories. Note: Adapted from [44].
The alpha (α), beta (β), and delta (δ) members estimate the optimum solution’s location in the GWO method, while the other individuals change their positions by gaining knowledge from alpha, beta, and delta, respectively [45].
GWO applies to various issues because of their predominant assumption of problems as closed boxes [44], i.e., the GWO considers the input(s) and output(s) of a system, has a few parameters and does not need derivation information during the first search. Thus, we designed its cost function as a single objective function to maximize the instantaneous data rate for users in the small cell with one input variable (Fading exponent (γ)), with the lower pound (lp = 1) and upper pound (up = 3) (range of values for urban microcells) as explained in Table 2. In addition, we changed the GWO’s primary controlling parameter (a) to make it suitable for our problem, as given in Equation (3).
where components of are dropped linearly from 2 to 0 over iterations and are random vectors in the range [0, 1]. We may tune the parameter to produce a variety of exploratory and exploitative search patterns.
Table 2.
GWO’s primary controlling parameters.
By altering the values of A vector about the present location, it is possible to reach various areas around the best search agent (wolf).
In the proposed throughput maximization scheduling policy, we supposed all users are scattered into three groups at near distances from the small cell, so they do not have too much different Channel State Information (CSI). We randomly generated the fading channel statues exponentially at each Transmission Time Interval (TTI) so the optimization agents of search (wolves in this case) search in one dimension search space for the maximum value of instantaneous data rate for every user. For maximizing the instantaneous data rate, we carry out the optimization problem as:
Subject to:
where is the subcarrier bandwidth, is the th user’s instant data rate, is the th user’s distance, γ is the fading exponent, and is the fading channel status, and is the total data rate of the system.
We proposed a novel channel aware scheme called FTOS for the throughput maximization policy. This new scheduler maximizes the user’s throughput using the GWO algorithm to achieve high throughput with a high level of fairness. We can integrate this algorithm with any QoS-aware scheduler. We express its scheduling matric as:
3.5. The Proposed Scheduling Algorithms
The following equation expresses the scheduling metric for our proposed multi-QoS downlink scheduler, called AFTOS:
The weights and are used for trading off between the strictness of a QoS violation and the maximum throughput that may be achieved. Indeed, the weight parameters represent the effect of single policies on the overall policy. For instance, a higher shows that the delay-related scheduling policy will significantly influence the joint policy. Similarly, a giant shows that the throughput maximization policy has a more significant influence on the joint policy. After several simulations, we found that the best trade-off for scaling weights is ( = 0.4 and = 0.6), where + = 1. To guarantee the goals mentioned earlier were met, we verified our new AFTO scheduler in a single cell scenario with varying user loads and network configurations using MATLAB. Figure 4 illustrates the proposed logic flow chart. The AFTOS algorithms’ pseudocode in Algorithm 1 describes the algorithm’s most critical parts (the cost function for FTOS optimization problem, problem, GWO-related parameters, and AFTOS parameters).
Figure 4.
The AFTOS logic flow chart.
| Algorithm 1 AFTOS pseudocode algorithm |
| The cost function related parameters K ← The total number of users in the system; N ← The total number of subcarriers in the system; Bandwidth ← each subcarrier has 15 kHz band; Fading exponen ← from (1)–(3); Set the distance for near users; Set the distance for middle users; Set the distance for far users; Populate the fading status for each user on each subcarrier; For loop Populate the channel status for the scheduling event; End for calculate r as in Equation (6); calculate the condition as in Equation (7); End the cost function |
| GWO algorithm Problem related parameters nVar ← number of variables lb ← The lower bound of input variables ub ← The upper bound of input variables maxIter = 1000; GWO related parameters a = 1; ← This value ranges from 0-to 2 t = 1; ← iteration counter ← random vectors in the range [0,1] wolvesNo = 100; while loop GWO main algorithm End while loop |
| AFTOS parameters w1 = 0.4; ← weighted for delay related w2 = 1 − w1; ← weighted for throughput related delay threshold = 50; ← the delay threshold to drop a packet δi = 10−3; ← The probability of a packet being lost Select the Nk RBs of user k based on Equation (9) |
3.6. Performance Evaluation Methods
We conducted the simulations using MATLAB (2021b, The MathWorks, Inc., Natick, MA, USA) software with optimization toolbox. Five performance measures are examined to compare suggested systems to MT, PF, and modified LWDF (MLWDF) scheduling schemes: system spectrum efficiency, average throughput attained per user, Jain’s fairness index for each scheduler, average latency per user, and packet loss ratio per user. For more accuracy, we administered the same optimization cost function applied to GWO in the proposed scheduler to the Particle Swarm Optimization (PSO) to compare GWO performance with the well-known PSO [46].
We calculated the spectrum efficiency performance statistic by dividing the overall average throughput attained by allocated users throughout the simulation’s scheduling events by the overall number.
By calculating each user’s total throughput in all scheduling events divided by the number of scheduling periods per second for different schemes, we measured the average throughput attained per user.
We quantified fairness performance using Jain’s fairness index, denoted by the variable in Equation (10) [18], to evaluate how each scheduler fairly distributed the resources between users, where is the number of resources assigned to the user . When users get the same resources, we gain the largest value 1, confirming the system’s fairness.
The average delay performance metric measures the delay times experienced by served packets for every user, divided by the overall number of the served packet.
PLR is a performance indicator that measures the ratio of lost packets to total packets to be delivered [13].
To give readers a more clear idea about the algorithms we used for comparison, we added more explanation about them in Table 3.
Table 3.
List of compared algorithms.
For simplicity, Table 4 lists the symbols included in this article.
Table 4.
Symbols included in this article.
4. Simulation Results and Discussion
The simulations involve 1000 scheduling events and 15 MHz, so every subcarrier has a 15-kHz bandwidth. Assume that the power spectral density of additive white Gaussian noise (AWGN) equals one (normalized). The packet streams’ delay threshold is considered being 50 ms. The window size for calculating the average data rate for users is 10 ms. Users are dispersed throughout a 5, 10, and 15-m radius, suited for small urban cell environments. We estimated the number of RBs to be eight (100 SC), while the number of users is 120. Table 5 summarizes the parameters used in the simulations and their default settings for more clearance.
Table 5.
Simulator environment.
Figure 5 denotes the spectrum efficiency attained using MT, PF, MLWDF, PSO, and the suggested algorithm (referred it as GWO in figures for simplicity and clearance) for different scheduling schemes. As shown in Figure 5, the MT scheduler achieved the highest spectrum efficiency because it allocates its resources to users with the best channel condition. The proposed scheduler GWO and PSO have achieved similar results, outperforming the PF and MLWDF. They have increased efficiency with an increase in the number of users, unlike PF and MLWDF.
Figure 5.
Spectrum efficiency for each scheme.
In Figure 6, as we mentioned before, the users in the cell are scattered into three different groups: the first group (1–40), which has the best channel state information (CSI), the second group (41–80) has a good CSI, and the last group has the least CSI. For comparison, we chose randomly one user from each group, users number 9, 66, and 91, respectively, and compared them with different schedulers.
Figure 6.
Throughput for each user per scheduler. Users 1 to 40 are near users, 41 to 80 are middle-distance users, and 81 to 120 are far-distance users.
The figure shows that the MT algorithm provides maximum throughput by selecting the user with the best channel condition and transmitting it across this channel. As a result, it achieves maximum throughput for the first set of users and outperforms the alternative scheduling strategies. Additionally, the suggested algorithm GWO does not attain the peak throughput for the first group of users, but it achieves high throughput contrasted with PSO, PF, and MLWDF algorithms by 12.54%, 35.56%, and 50.90%, respectively. As shown in Figure 6, MT allocated all throughput to users in group one and made the rest of the users starve with zero throughput value. The figure shows that, in the second group, GWO outperforms PSO, PF, and M-LWDF by 8.37%, 142.93%, and 143.67%, respectively. For the last group, GWO exceeded PSO, PF, and MLWDF by 13.88%, 170.61%, and 171.48%, respectively. As PF and MLWDF depend on the CQI, even the second group users experienced very low throughput compared with the first user group. This reflects the other schedulers’ shortcoming, as mentioned in the Introduction section, and thus we compared users 10 and 50 from the first and second groups. The user in the first group outperformed the second one by 155.33% and 149.35% for PF and MLWDF, respectively.
From Figure 6, we note the values achieved by GWO and PSO for each user fluctuate because of the meta-heuristic algorithm’s nature. Sometimes it reaches the near-global maximum value, and sometimes is limited to a local one when an individual comparison between users is conducted. However, when taking the total average of the throughput as in the earlier figure for spectrum efficiency, we find the total is similar for GWO and PSO.
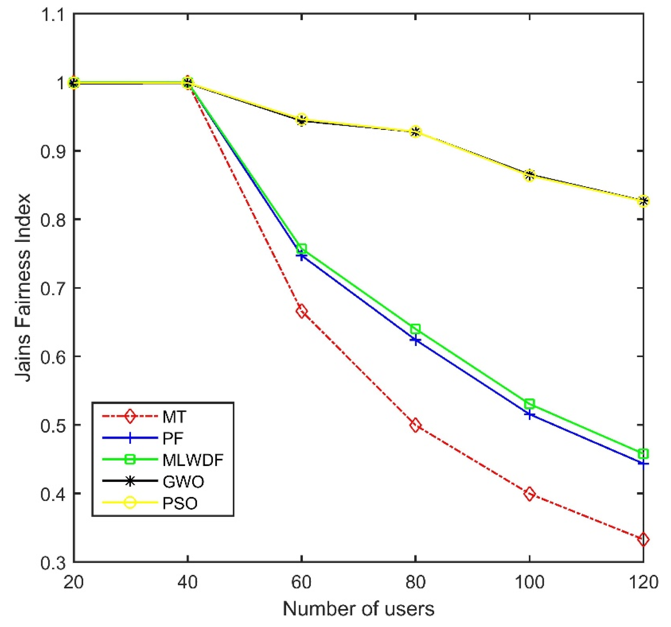
Figure 7 shows how much each scheduler has distributed throughput fairly between users in the cell. As illustrated, MT is the worst because of starving 60% of the cell users. GWO and PSO perform almost equally, as shown in the figure, but GWO outperforms PF and MLWDF by 60.33% and 57.415%, respectively, in the dense system (120 users).
Figure 7.
Jain’s fairness index value for each scheme.
The average packet delay grows significantly as the number of users increases. MT, PF, and MLWDF are depicted in Figure 8. GWO and PSO keep the delay low for users in the cell. As stated in Table 2, the goal service latency is 50 ms. Thus, Figure 8 demonstrates that the suggested scheduling techniques meet the QoS criteria.
Figure 8.
Average packet delay for each user per scheduler. Users 1 to 40 are near users, 41 to 80 are middle-distance users, and 81 to 120 are far-distance users.
Figure 9 illustrates the ratio of the lost packets to the total number of packets for each user. MT achieved the best performance in the first group of users with zero packets lost. MLWDF and PF slightly exceeded GWO and PSO. However, in the second and last groups, GWO and PSO had an excellent performance when compared with MT, PF, and MLWDF.
Figure 9.
PLR for each user per scheduler. Users 1 to 40 are near users, 41 to 80 are middle-distance users, and 81 to 120 are far-distance users.
Experiments have shown that the proposed scheduler AFTOS has achieved excellent spectrum efficiency, average throughput, and fairness. In addition, it offers a minimal packet latency and an acceptable packet loss ratio.
Figure 10 shows the convergence curves of GWO and PSO in different runs to reflect how many iterations each algorithm needs to reach a solution. From the curves, we can also know the value of the best solution in each algorithm. We note from Figure 10a,b that GWO reaches the best solution before PSO, and its success reaches a sub-optimal value better than PSO. We also note from Figure 10c,d that the GWO reaches the best solution before PSO, and its success reaches a sub-optimal value better than PSO. In contrast to Figure 10a,b, we find that PSO outperforms GWO while reaching a better solution. However, GWO is still faster than PSO and reaches the best solution in fewer iterations. From Figure 10e,f, we can also see that GWO has outperformed PSO in reaching a better solution. Nevertheless, PSO reaches the best solution in fewer iterations than GWO. More details and comparisons between GWO and other metaheuristic algorithms can be found on [20,47,48,49].
Figure 10.
The convergence curve for GWO and PSO for multiple run times. (a), Furthermore, (b) are the first-time run. (c), Furthermore, (d) is the second time run. (e), Moreover, (f) is the third time run.
From the results, we conclude that both GWO and PSO effectively achieve the desired results in this problem, and they are very similar in how each of them works, so we can use either to achieve the results mentioned. However, we cannot be 100% certain that any other optimization will lead to the same results because the no-free-lunch (NFL) theorem [50] states that no one optimization is suitable for solving any problem.
5. Conclusions
Scheduling algorithms have a significant role in influencing the system efficiency and user QoS satisfaction of telecommunication networks. Thus, many studies need building systems that can fit the criteria of networks for the next generation. This study suggested three new strategies: FTOS, ALWDF, and AFTOS. FTOS is a channel-aware scheduler with superior performance compared to the well-known PF. It can also integrate with any other QoS scheme. ALWDF is a QoS aware scheduler to minimize the HOL packet delay and the probability of the packet to be lost. By jointly adding FTOS and ALWDF, we developed our next-generation scheduler AFTOS. The aim is to achieve multiple required goals for next-generation wireless communications. The focus of this research is to increase all users’ cell throughputs effectively to show the system efficiency. We minimized the packet delay with an acceptable lost packet ratio, also required for QoS criteria. We developed this design for a 4G small cell that proposes a solution for extending the network environment. The proposed expression and application of optimization algorithms can be used for any orthogonal multiple access (OMA) technology, such as orthogonal frequency division multiple access (OFDMA), and can be easily extended to non-orthogonal multiple access (NOMA) technologies. For future endeavors, the optimization procedure could be expanded to consider other factors, such as power consumption and assigning resources to satisfy the user’s actual needs. Another potential enhancement would be to adapt the suggested method to LTE-Advanced or other 5G standards.
Author Contributions
Conceptualization, H.H.; Formal analysis, H.H.; Funding acquisition, D.H.Y.T.; Investigation, D.H.Y.T.; Methodology, D.H.Y.T.; Project administration, H.H.; Resources, D.H.Y.T.; Supervision, H.H. and A.S.; Validation, A.S.; Writing—original draft, D.H.Y.T.; Writing—review and editing, A.S. All authors have read and agreed to the published version of the manuscript.
Funding
This research received no external funding.
Institutional Review Board Statement
Not applicable.
Informed Consent Statement
Not applicable.
Data Availability Statement
Not applicable.
Conflicts of Interest
The authors declare no conflict of interest.
References
- Masli, A.A.; Ahmed, F.Y.H.; Mansoor, A.M. QoS-Aware Scheduling Algorithm Enabling Video Services in LTE Networks. Computers 2022, 11, 77. [Google Scholar] [CrossRef]
- Mamman, M.; Hanapi, Z.M.; Abdullah, A.; Muhammed, A. Quality of Service Class Identifier (QCI) radio resource allocation algorithm for LTE downlink. PLoS ONE 2019, 14, e0210310. [Google Scholar] [CrossRef]
- Akhtar, T.; Tselios, C.; Politis, I. Radio resource management: Approaches and implementations from 4G to 5G and beyond. Wirel. Netw. 2021, 27, 693–734. [Google Scholar] [CrossRef]
- Hadar, I.; Raviv, L.; Leshem, A. Scheduling for 5G cellular networks with priority and deadline constraints. In Proceedings of the 2018 IEEE International Conference on the Science of Electrical Engineering (ICSEE), Eilat, Israel, 12–14 December 2018; pp. 1–5. [Google Scholar]
- Wu, H.; Caso, G.; Ferlin, S.; Alay, Ö.; Brunstrom, A. Multipath scheduling for 5G networks: Evaluation and outlook. IEEE Commun. Mag. 2021, 59, 44–50. [Google Scholar] [CrossRef]
- Ba, X.; Jin, L.; Li, Z.; Du, J.; Li, S. Multiservice-Based Traffic Scheduling for 5G Access Traffic Steering, Switching and Splitting. Sensors 2022, 22, 3285. [Google Scholar] [CrossRef] [PubMed]
- Trakadas, P.; Nomikos, N.; Michailidis, E.T.; Zahariadis, T.; Facca, F.M.; Breitgand, D.; Rizou, S.; Masip, X.; Gkonis, P. Hybrid clouds for data-intensive, 5G-enabled IoT applications: An overview, key issues and relevant architecture. Sensors 2019, 19, 3591. [Google Scholar] [CrossRef] [PubMed]
- Gkonis, P.K.; Trakadas, P.T.; Kaklamani, D.I. A comprehensive study on simulation techniques for 5g networks: State of the art results, analysis, and future challenges. Electronics 2020, 9, 468. [Google Scholar] [CrossRef]
- Madi, N.K.M.; Hanapi, Z.M.; Othman, M.; Subramaniam, S.K. Delay-based and QoS-aware packet scheduling for RT and NRT multimedia services in LTE downlink systems. EURASIP J. Wirel. Commun. Netw. 2018, 2018, 180. [Google Scholar] [CrossRef]
- Madi, N.K.M.; Hanapi, Z.B.M.; Othman, M.; Subramaniam, S. Two-level QoS-aware frame-based downlink resources allocation for RT/NRT services fairness in LTE networks. Telecommun. Syst. 2017, 66, 357–375. [Google Scholar] [CrossRef]
- Nasralla, M.M.; Rehman, I.U. QCI and QoS Aware Downlink Packet Scheduling Algorithms for Multi-Traffic Classes over 4G and beyond Wireless Networks. In Proceedings of the 2018 International Conference on Innovation and Intelligence for Informatics Computing and Technologies (3ICT), Sakhier, Bahrain, 18–20 November 2018; pp. 1–7. [Google Scholar]
- Elhadad, M.I.; El-Shafai, W.; El-Rabaie, E.S.M.; Abd-Elnaby, M.; El-Samie, F.E.A. Optimized two-level scheduler for video traffic in LTE downlink framework. Int. J. Commun. Syst. 2021, 34, e4704. [Google Scholar] [CrossRef]
- Haci, H.; Abdelbari, A. Throughput enhanced scheduling (TES) scheme for ultra-dense networks. Int. J. Commun. Syst. 2020, 33, e4229. [Google Scholar] [CrossRef]
- Capozzi, F.; Piro, G.; Grieco, L.A.; Boggia, G.; Camarda, P. Downlink packet scheduling in LTE cellular networks: Key design issues and a survey. IEEE Commun. Surv. Tutor. 2013, 15, 678–700. [Google Scholar] [CrossRef]
- Chayon, H.; Dimyati, K.; Ramiah, H.; Reza, A. Enhanced Quality of Service of Cell-Edge User by Extending Modified Largest Weighted Delay First Algorithm in LTE Networks. Symmetry 2017, 9, 81. [Google Scholar] [CrossRef]
- Gatti, R.; Shivashankar. Improved resource allocation scheme for optimizing the performance of cell-edge users in LTE-A system. J. Ambient. Intell. Humaniz. Comput. 2021, 12, 811–819. [Google Scholar] [CrossRef]
- Afif, M.; Hassen, W.B.; Tabbane, S. A resource allocation algorithm for throughput maximization with fairness increase based on virtual PRB in MIMO-OFDMA systems. Wirel. Networks 2019, 25, 1083–1097. [Google Scholar] [CrossRef]
- Ferreira, F.A.; Guardieiro, P.R. A New Channel-Aware Downlink Scheduling Algorithm for Lte-a and 5g Hetnets; 1235 CCIS; Springer: Singapore, 2020. [Google Scholar]
- Haci, H.; Zhu, H.; Wang, J. Novel scheduling for a mixture of real-time and non-real-time traffic. In Proceedings of the 2012 IEEE Global Communications Conference (GLOBECOM), Anaheim, CA, USA, 3–7 December 2012; pp. 4647–4652. [Google Scholar]
- Faris, H.; Aljarah, I.; Al-Betar, M.A.; Mirjalili, S. Grey wolf optimizer: A review of recent variants and applications. Neural Comput. Appl. 2018, 30, 413–435. [Google Scholar] [CrossRef]
- Mamman, M. Downlink scheduling algorithm over LTE networks using genetic algorithm. Adv. Mater. Process. Technol. 2020, 1–12. [Google Scholar] [CrossRef]
- Wu, Q.; Fan, X.; Wei, W.; Woźniak, M. Dynamic scheduling algorithm for delay-sensitive vehicular safety applications in cellular network. Inf. Technol. Control 2020, 49, 161–178. [Google Scholar] [CrossRef]
- Nashaat, H.; Refaat, O.; Zaki, F.W.; Shaalan, I.E. Dragonfly-Based Joint Delay/Energy LTE Downlink Scheduling Algorithm. IEEE Access 2020, 8, 35392–35402. [Google Scholar] [CrossRef]
- Haider, A.; Mohsin, A. Finding a Pareto Optimal Solution for a Multi—Objective Problem of Managing Radio Resources in LTE—A Systems: A QoS Aware Algorithm. Wirel. Pers. Commun. 2019, 107, 1661–1685. [Google Scholar]
- Damara, P. LTE Downlink Scheduling with Sharing Spectrum for Surviving LTE-WiFi System. Int. J. Res. Appl. Sci. Eng. Technol. 2020, 8, 281–287. [Google Scholar] [CrossRef]
- Yin, H.; Guo, X.; Liu, P.; Hei, X.; Gao, Y. Predicting Channel Quality Indicators for 5G Downlink Scheduling in a Deep Learning Approach. arXiv 2020, arXiv:2008.01000. [Google Scholar]
- Robinson, A.; Kunz, T. Downlink Scheduling in LTE with Deep Reinforcement Lea rning, LSTMs and Pointers. In Proceedings of the MILCOM 2021–2021 IEEE Military Communications Conference (MILCOM), San Diego, CA, USA, 29 November 2021–2 December 2021; pp. 763–770. [Google Scholar]
- Almutawa, K.; Sultan, R.; Refaey, A.; Rahman, M.J. An Efficient Downlink-QoS Aware Scheduling Approach for Adopting Wyner-Ziv Code. In Proceedings of the 2021 International Wireless Communications and Mobile Computing (IWCMC), Harbin, China, 28 June 2021–2 July 2021; pp. 1919–1924. [Google Scholar]
- Yaqoob, J.I.A.Y.; Pang, W.L.; Wong, S.K.; Chan, K.Y. Enhanced exponential rule scheduling algorithm for real-time traffic in LTE network. Int. J. Electr. Comput. Eng. 2020, 10, 1993–2002. [Google Scholar] [CrossRef]
- Omiyi, P.E.; Nasralla, M.M.; Rehman, I.U.; Khan, N.; Martini, M.G. An intelligent fuzzy logic-based content and channel aware downlink scheduler for scalable video over ofdma wireless systems. Electron 2020, 9, 1071. [Google Scholar] [CrossRef]
- Ramdev, M.S.; Bajaj, R.; Sidhu, J. Remote Radio Head Scheduling in LTE-Advanced Networks. Wirel. Pers. Commun. 2022, 122, 621–644. [Google Scholar] [CrossRef]
- Elshennawy, N.M. Modified Proportional Fair Scheduling Algorithm for Heterogeneous LTE-A Networks. Int. J. Interact. Mob. Technol. 2020, 14, 22. [Google Scholar] [CrossRef]
- Mamane, A.; Fattah, F.; el Ghazi, M.; Balboul, Y.; el Bekkali, M.; Mazer, S. Proportional fair buffer scheduling algorithm for 5G enhanced mobile broadband. Int. J. Electr. Comput. Eng. 2021, 11, 4165–4173. [Google Scholar] [CrossRef]
- Ferreira, M.V.G.; Vieira, F.H.T. Resource Allocation in f-OFDM Wireless Networks with Delay Estimation Using Service Curve and Envelope Process. IEEE Lat. Am. Trans. 2020, 18, 1222–1229. [Google Scholar] [CrossRef]
- SivasMonikandan, A.; Satheeshubramanian, B.; Babu, S.P.K.; Venkatesan, G.K.D.P.; Arunachalaperumal, C. Channel aware optimized proportional fair scheduler for LTE downlink. Peer-to-Peer Netw. Appl. 2020, 13, 2135–2144. [Google Scholar]
- Tuan, L.M.; Tuan, L.M.; Son, l.; Long, H.V.; Priya, L.R.; Soundar, K.R.; Robinson, Y.H.; Kumar, R. ITFDS: Channel-aware integrated time and frequency-based downlink LTE scheduling in MANET. Sensors 2020, 20, 3394. [Google Scholar] [CrossRef]
- Mahdi, H.; Al-Bander, B.; Alwan, M.H.; Abood, M.S.; Hamdi, M.M. Vehicular Networks Performance Evaluation Based on Downlink Scheduling Algorithms for High-Speed Long Term Evolution—Vehicle. Int. J. Interact. Mob. Technol. 2021, 15, 52–66. [Google Scholar] [CrossRef]
- Elhadad, M.I.; El-Shafai, W.; El-Rabaie, E.S.M.; Abd-Elnaby, M.; El-Samie, F.E.A. Enhanced fair earliest due date first scheduling strategy for multimedia applications in LTE downlink framework. Int. J. Commun. Syst. 2020, 33, e4190. [Google Scholar] [CrossRef]
- Franco, F.M.M.; Foronda, A.; Wille, E.C.G. Latency-Rate Downlink Packet Scheduler for LTE Networks. Adv. Electr. Comput. Eng. 2020, 20, 53–60. [Google Scholar] [CrossRef]
- Radhakrishnan, S.; Neduncheliyan, S.; Thyagharajan, K.K. An improved downlink packet scheduling algorithm or delay sensitive devices in both H2H and M2M communications in LTE-advanced networks. Int. J. Enterp. Netw. Manag. 2020, 11, 94–111. [Google Scholar] [CrossRef]
- Panno, D.; Riolo, S. An enhanced joint scheduling scheme for GBR and non-GBR services in 5G RAN. Wirel. Netw. 2020, 26, 3033–3052. [Google Scholar] [CrossRef]
- Mai, Y.-T.; Yang, C.-T. A Hybrid Network User Satisfaction-Based Downlink Scheduling in LTE-A Network. Math. Probl. Eng. 2022, 2022, 6342802. [Google Scholar] [CrossRef]
- Mirjalili, S.; Mohammad, S.; Lewis, A. Mirjalili, Seyedali Mohammad, Seyed Lewis, Andrew. Adv. Eng. Softw. 2014, 69, 46–61. [Google Scholar] [CrossRef]
- Mirjalili, S.; Aljarah, I.; Mafarja, M.; Heidari, A.A.; Faris, H. Grey Wolf Optimizer: Theory, Literature Review, and Application in Computational Fluid Dynamics Problems. In Studies in Computational Intelligence; Springer: Cham, Switzerland, 2021; Volume 811, pp. 87–105. [Google Scholar]
- Shen, C.; Zhang, K. Two-stage improved Grey Wolf optimization algorithm for feature selection on high-dimensional classification. Complex Intell. Syst. 2021, 8, 2769–2789. [Google Scholar] [CrossRef]
- Wang, D.; Tan, D.; Liu, L. Particle swarm optimization algorithm: An overview. Soft Comput. 2018, 22, 387–408. [Google Scholar] [CrossRef]
- Meidani, K.; Hemmasian, A.P.; Mirjalili, S.; Farimani, A.B. Adaptive grey wolf optimizer. Neural Comput. Appl. 2022, 34, 7711–7731. [Google Scholar] [CrossRef]
- Hou, Y.; Gao, H.; Wang, Z.; Du, C. Improved Grey Wolf Optimization Algorithm and Application. Sensors 2022, 22, 3810. [Google Scholar] [CrossRef] [PubMed]
- Wang, J.; Lin, D.; Zhang, Y.; Huang, S. An adaptively balanced grey wolf optimization algorithm for feature selection on high-dimensional classification. Eng. Appl. Artif. Intell. 2022, 114, 105088. [Google Scholar] [CrossRef]
- Cikan, M.; Kekezoglu, B. Comparison of metaheuristic optimization techniques including Equilibrium optimizer algorithm in power distribution network reconfiguration. Alex. Eng. J. 2022, 61, 991–1031. [Google Scholar] [CrossRef]
Publisher’s Note: MDPI stays neutral with regard to jurisdictional claims in published maps and institutional affiliations. |
© 2022 by the authors. Licensee MDPI, Basel, Switzerland. This article is an open access article distributed under the terms and conditions of the Creative Commons Attribution (CC BY) license (https://creativecommons.org/licenses/by/4.0/).









