The MIMO Radar Transmit Beampattern Matching Design with Sidelobe Suppression
Abstract
1. Introduction
2. Sidelobe Suppression Model
3. Cosine Method for Sidelobe Suppression
- Step 1:
- Make the micro-adjustment to the desired beampattern to obtain a new desired beampattern;
- Step 2:
- Provide a minimum mean square error matching the new desired beampattern and obtain an optimal transmit beampattern;
- Step 3:
- Calculate the MSLR of the transmit beampattern. If it is not meet the MSLR constraint, go back to Step 1.
3.1. Criteria for Micro-Adjustment to the Desired Beampattern
- ;
- ;
- should be continuous and exists first order derivative;
- .
3.2. Cosine Method
3.3. Four Criteria Examination
3.4. Algorithm
- Step 1:
- Let i = 0, ;
- Step 2:
- Use the one-step approach in [27] to obtain the transmit beampattern with minimum mean square error to the desired beampattern ;
- Step 3:
- If , then go to end; otherwise, go to Step 4;
- Step 4:
- Solve , satisfyingand let be the first M items of Fourier expansion, identify the strict monopoly area with in .
- Step 5:
- If , use Equation (10) to obtain ;If , use Equation (11) to obtain ;If , use Equation (12) to obtain ;
- Step 6:
- Implement stretch transformation to , let
- Step 7:
- Let i = i + 1, return to Step 2.
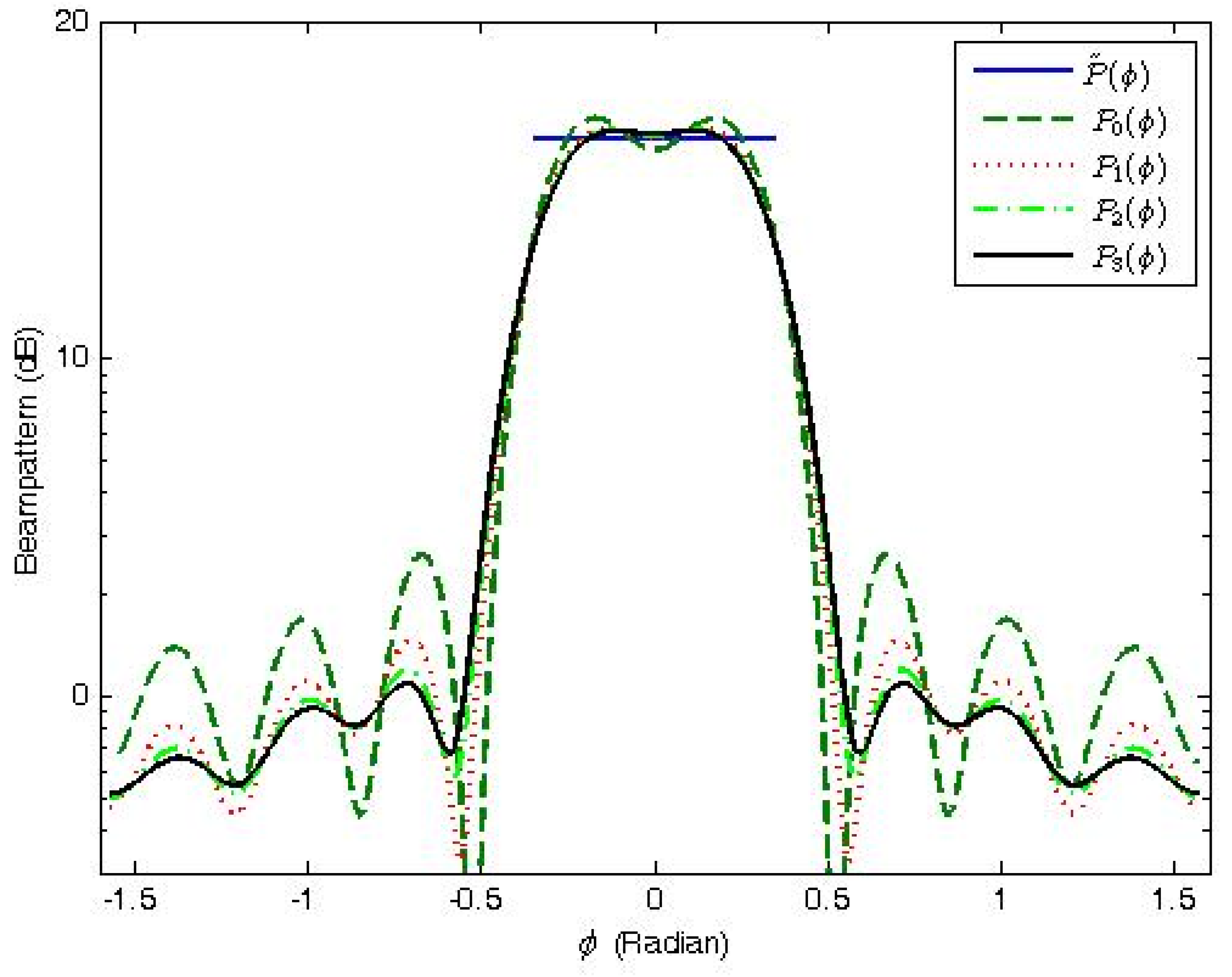
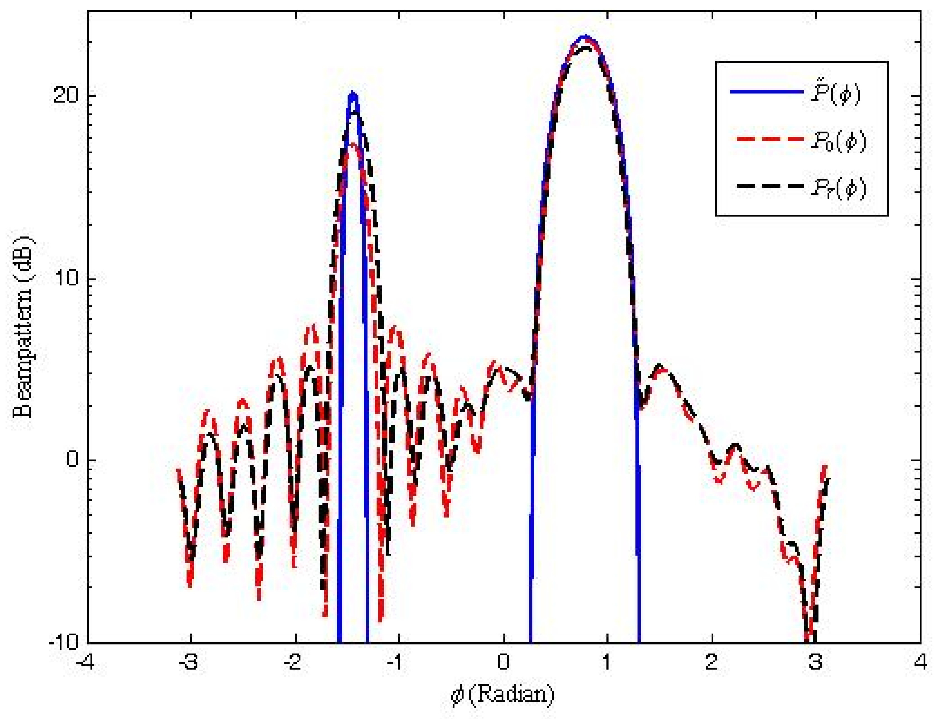
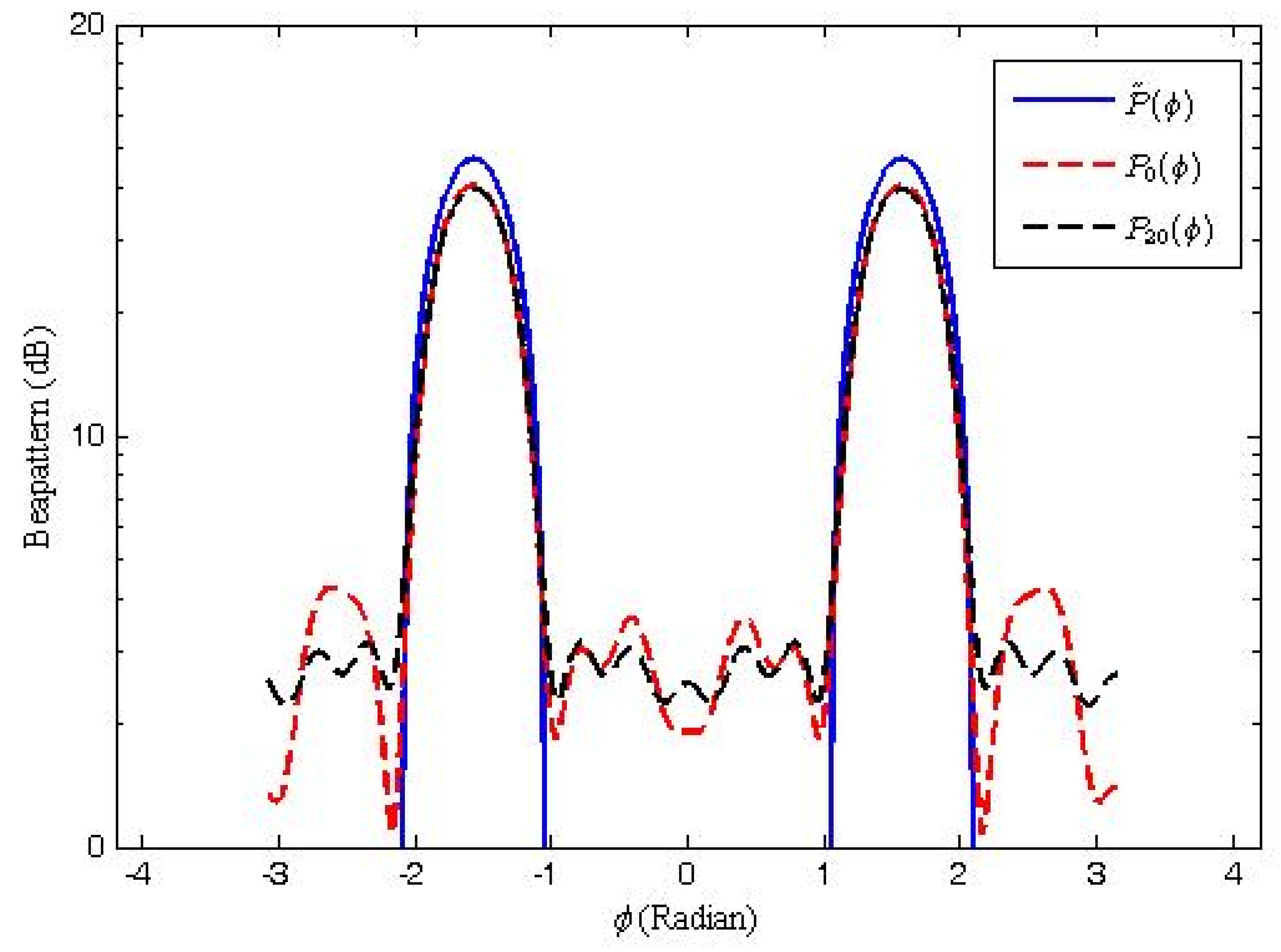
4. Numerical Examples
5. Conclusions
Author Contributions
Funding
Data Availability Statement
Acknowledgments
Conflicts of Interest
References
- Fuhrmann, D.R.; Antonio, G.S. Transmit beamforming for MIMO radar systems using partial signal correlation. In Proceedings of the Conference Record of the Thirty-Eighth Asilomar Conference on Signals, Systems and Computers, Pacific Grove, CA, USA, 1 November 2004; pp. 295–299. [Google Scholar]
- Aittomaki, T.; Koivunen, V. Signal covariance matrix optimization for transmit beamforming in MIMO radars. In Proceedings of the Conference Record of the Forty-First Asilomar Conference on Signals, Systems and Computers, Pacific Grove, CA, USA, 4–7 November 2007; pp. 182–186. [Google Scholar]
- Li, J.; Stoica, P. MIMO Radar with Colocated Antennas. IEEE Signal Process. Mag. 2007, 24, 106–114. [Google Scholar] [CrossRef]
- Stoica, P.; Li, J.; Xie, Y. On probing signal design for MIMO radar. IEEE Trans. Signal Process. 2007, 55, 4151–4161. [Google Scholar] [CrossRef]
- Fuhrmann, D.R.; Antonio, G.S. Transmit beamforming for MIMO radar systems using signal cross-correlation. IEEE Trans. Aerosp. Electron. Syst. 2008, 44, 171–186. [Google Scholar] [CrossRef]
- Stoica, P.; Li, J.; Zhu, X. Waveform synthesis for diversity-based transmit beampattern design. IEEE Trans. Signal Process. 2008, 56, 2593–2598. [Google Scholar] [CrossRef]
- Li, J.; Stoica, P.; Zheng, X. Signal Synthesis and Receiver Design for MIMO Radar Imaging. IEEE Trans. Signal Process. 2008, 56, 3959–3968. [Google Scholar] [CrossRef]
- Hassanien, A.; Vorobyov, S.A. Direction finding for MIMO radar with colocated antennas using transmit beamspace processing. In Proceedings of the 3rd IEEE International Workshop on Computational Advances in Multi-Sensor Adaptive Processing (CAMSAP), Aruba, Netherland Antilles, 13–16 December 2009; IEEE: Piscataway, NJ, USA, 2009; pp. 181–184. [Google Scholar]
- He, H.; Stoica, P.; Li, J. Designing Unimodular Sequence Sets With Good Correlations—Including an Application to MIMO Radar. IEEE Trans. Signal Process. 2009, 57, 4391–4405. [Google Scholar] [CrossRef]
- Roberts, W.; He, H.; Li, J.; Stoica, P. Probing Waveform Synthesis and Receiver Filter Design. IEEE Signal Process. Mag. 2010, 27, 99–112. [Google Scholar] [CrossRef]
- He, H.; Stoica, P.; Li, J. Wideband MIMO Systems: Signal Design for Transmit Beampattern Synthesis. IEEE Trans. Signal Process. 2010, 59, 618–628. [Google Scholar] [CrossRef]
- Khabbazibasmenj, A.; Hassanien, A.; Vorobyov, S.A. Transmit beamspace design for direction finding in colocated MIMO radar with arbitrary receive array. In Proceedings of the IEEE International Conference on Acoustics, Speech and Signal Processing (ICASSP), Prague, Czech Republic, 22–27 May 2011; pp. 2784–2787. [Google Scholar]
- Hassanien, A.; Vorobyov, S.A. Transmit Energy Focusing for DOA Estimation in MIMO Radar with Colocated Antennas. IEEE Trans. Signal Process. 2011, 59, 2669–2682. [Google Scholar] [CrossRef]
- Naghibi, T.; Behnia, F. MIMO Radar Waveform Design in the Presence of Clutter. IEEE Trans. Aerosp. Electron. Syst. 2011, 47, 770–781. [Google Scholar] [CrossRef]
- Ahmed, S.; Thompson, J.S.; Petillot, Y.R.; Mulgrew, B. Unconstrained Synthesis of Covariance Matrix for MIMO Radar Transmit Beampattern. IEEE Trans. Signal Process. 2011, 59, 3837–3849. [Google Scholar] [CrossRef]
- Ahmed, S.; Thompson, J.S.; Petillot, Y.R.; Mulgrew, B. Finite alphabet constant-envelope waveform design for MIMO radar. IEEE Trans. Signal Process. 2011, 59, 5326–5337. [Google Scholar] [CrossRef]
- Friedlander, B. On Transmit Beamforming for MIMO Radar. IEEE Trans. Aerosp. Electron. Syst. 2012, 48, 3376–3388. [Google Scholar] [CrossRef]
- Wilcox, D.; Sellathurai, M. On MIMO Radar Subarrayed Transmit Beamforming. IEEE Trans. Signal Process. 2011, 60, 2076–2081. [Google Scholar] [CrossRef]
- Wang, Y.-C.; Wang, X.; Liu, H.; Luo, Z.-Q. On the Design of Constant Modulus Probing Signals for MIMO Radar. IEEE Trans. Signal Process. 2012, 60, 4432–4438. [Google Scholar] [CrossRef]
- Hua, G.; Abeysekera, S.S. Colocated MIMO radar transmit beamforming using orthogonal waveforms. In Proceedings of the IEEE International Conference on Acoustics, Speech and Signal Processing, Kyoto, Japan, 25–30 March 2012; pp. 2453–2456. [Google Scholar]
- Shadi, K.; Behnia, F. MIMO Radar Beamforming Using Orthogonal Decomposition of Correlation Matrix. Circuits Syst. Signal Process. 2013, 32, 1791–1809. [Google Scholar] [CrossRef]
- Hua, G.; Abeysekera, S.S. MIMO Radar Transmit Beampattern Design With Ripple and Transition Band Control. IEEE Trans. Signal Process. 2013, 61, 2963–2974. [Google Scholar] [CrossRef]
- Gong, P.; Shao, Z.; Tu, G.; Chen, Q. Transmit beampattern design based on convex optimization for MIMO radar systems. Signal Process. 2014, 94, 195–201. [Google Scholar] [CrossRef]
- Lipor, J.; Ahmed, S.; Alouini, M.-S. Fourier-Based Transmit Beampattern Design Using MIMO Radar. IEEE Trans. Signal Process. 2014, 62, 2226–2235. [Google Scholar] [CrossRef]
- Ahmed, S.; Alouini, M.-S. MIMO Radar Transmit Beampattern Design Without Synthesising the Covariance Matrix. IEEE Trans. Signal Process. 2014, 62, 2278–2289. [Google Scholar] [CrossRef]
- Khabbazibasmenj, A.; Hassanien, A.; Vorobyov, S.A.; Morency, M.W. Efficient Transmit Beamspace Design for Search-Free Based DOA Estimation in MIMO Radar. IEEE Trans. Signal Process. 2014, 62, 1490–1500. [Google Scholar] [CrossRef]
- Zhang, X.; He, Z.; Rayman-Bacchus, L.; Yan, J. MIMO Radar Transmit Beampattern Matching Design. IEEE Trans. Signal Process. 2015, 63, 2049–2056. [Google Scholar] [CrossRef]
- Cheng, Z.; He, Z.; Zhang, S.; Li, J. Constant Modulus Waveform Design for MIMO Radar Transmit Beampattern. IEEE Trans. Signal Process. 2017, 65, 4912–4923. [Google Scholar] [CrossRef]
- Fan, W.; Liang, J.; Li, J. Constant modulus MIMO radar waveform design with minimum peak sidelobe transmit beampattern. IEEE Trans. Signal Process. 2018, 66, 4207–4222. [Google Scholar] [CrossRef]
- Yu, X.; Cui, G.; Yang, J.; Kong, L.; Li, J. Wideband MIMO radar waveform design. IEEE Trans. Signal Process. 2019, 67, 3487–3501. [Google Scholar] [CrossRef]
- Cheng, Z.; Liao, B.; He, Z.; Li, J.; Xie, J. Joint Design of the Transmit and Receive Beamforming in MIMO Radar Systems. IEEE Trans. Veh. Technol. 2019, 68, 7919–7930. [Google Scholar] [CrossRef]
- Hong, S.; Dong, Y.; Xie, R.; Ai, Y.; Wang, Y. Constrained Transmit Beampattern Design Using a Correlated LFM-PC Waveform Set in MIMO Radar. Sensors 2020, 20, 773. [Google Scholar] [CrossRef] [PubMed]
- Yu, X.; Qiu, H.; Wei, J.Y.W.; Cui, G. Multi-spectrally constrained MIMO radar beampattern design via sequential convex approximation. IEEE Trans. Aerosp. Electron. Syst. 2022, 58, 2935–2949. [Google Scholar] [CrossRef]
- Shariati, N.; Zachariah, D.; Bengtsson, M. Minimum sidelobe beampattern design for MIMO radar systems: A robust approach. In Proceedings of the 2014 IEEE International Conference on Acoustics, Speech and Signal Processing (ICASSP), Florence, Italy, 4–9 May 2014; pp. 5312–5316. [Google Scholar]
- Ahmed, S.; Alouini, M.-S. MIMO-Radar Waveform Covariance Matrix for High SINR and Low Side-Lobe Levels. IEEE Trans. Signal Process. 2014, 62, 2056–2065. [Google Scholar] [CrossRef]
- Zhou, S.; Liu, H.; Wang, X.; Cao, Y. MIMO radar range-angular-doppler sidelobe suppression using random space-time coding. IEEE Trans. Aerosp. Electron. Syst. 2014, 50, 2047–2060. [Google Scholar] [CrossRef]
- Ma, C.; Yeo, T.S.; Tan, C.S.; Qiang, Y.; Zhang, T. Receiver Design for MIMO Radar Range Sidelobes Suppression. IEEE Trans. Signal Process. 2010, 58, 5469–5474. [Google Scholar] [CrossRef]
- Xu, H.; Blum, R.S.; Wang, J.; Yuan, J. Colocated MIMO radar waveform design for transmit beampattern formation. IEEE Trans. Aerosp. Electron. Syst. 2015, 51, 1558–1568. [Google Scholar] [CrossRef]
- Davis, M.S.; Lanterman, A.D. Minimum integrated sidelobe ratio filters for MIMO radar. IEEE Trans. Aerosp. Electron. Syst. 2015, 51, 405–416. [Google Scholar] [CrossRef]
- Boggess, A.; Narcowich, J. A First Course in Wavelets with Fourier Analysis, 2nd ed.; John Wiley & Sons, Inc.: Hoboken, NJ, USA, 2009. [Google Scholar]





| Sidelobe Peak | MSLR | Mean Square Error | |
|---|---|---|---|
| 2.6285 | 12.334 dB | 24.6343 | |
| 1.4607 | 14.885 dB | 26.7382 | |
| 1.1994 | 15.741 dB | 28.6358 | |
| 1.0913 | 16.152 dB | 29.7273 |
Publisher’s Note: MDPI stays neutral with regard to jurisdictional claims in published maps and institutional affiliations. |
© 2022 by the authors. Licensee MDPI, Basel, Switzerland. This article is an open access article distributed under the terms and conditions of the Creative Commons Attribution (CC BY) license (https://creativecommons.org/licenses/by/4.0/).
Share and Cite
Zhang, X.; He, Z. The MIMO Radar Transmit Beampattern Matching Design with Sidelobe Suppression. Electronics 2022, 11, 3650. https://doi.org/10.3390/electronics11223650
Zhang X, He Z. The MIMO Radar Transmit Beampattern Matching Design with Sidelobe Suppression. Electronics. 2022; 11(22):3650. https://doi.org/10.3390/electronics11223650
Chicago/Turabian StyleZhang, Xiaojun, and Zishu He. 2022. "The MIMO Radar Transmit Beampattern Matching Design with Sidelobe Suppression" Electronics 11, no. 22: 3650. https://doi.org/10.3390/electronics11223650
APA StyleZhang, X., & He, Z. (2022). The MIMO Radar Transmit Beampattern Matching Design with Sidelobe Suppression. Electronics, 11(22), 3650. https://doi.org/10.3390/electronics11223650
