Study on the Law and Mechanism of the Third-Order Intermodulation False Alarm Effect of the Stepped Frequency Ranging Radar
Abstract
1. Introduction
2. Interference Theory Analysis
2.1. Third-Order Intermodulation False Alarm Level Interference Mechanism
2.2. Intermodulation False Alarm Target Characteristics
3. Intermodulation False Alarm Effect Test
3.1. Build the Electromagnetic Radiation Test Platform
3.2. Third-Order Intermodulation False Alarm Signal Stability Test
3.3. Relationship between the Third-Order Intermodulation False Alarm Level and the Radiation Field Strength
4. IMFA-5 Signal Stability Test
5. Conclusions
- The absolute value of the intermodulation false alarm target level is used as a sensitive criterion of the intermodulation false alarm interference of the tested radar.
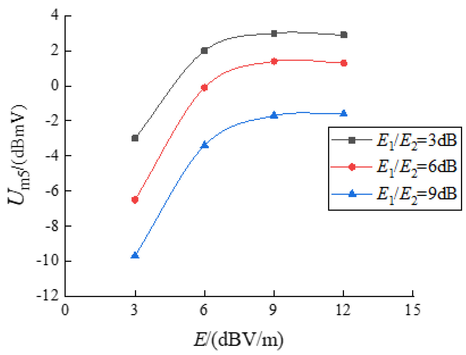
- The law of the IMFA-3 effect outside the radar band is studied, including the change of the single interference field strength and the synchronous change of the two-component field strength. If one interference field strength is constant, the third-order intermodulation signal level increases with the other interfering field strength, showing a trend of increasing and then decreasing. If the interference components change in the same proportion, the third-order intermodulation signal level increases with the increase of the interference field strength, but the rate of increase gradually decreases until it reaches a stable value.
- As the interference field strength continues to increase, the influence of the IMFA-5 signal on the IMFA-3 cannot be ignored. The IMFA-5 interference effect test verifies the correctness of the theoretical analysis.
- The out-of-band single frequency does not generate false alarm signals, but when the out-of-band dual frequency acts simultaneously, the nonlinear generation of the system will produce IMFA signals with a random position and waveform expansion, which affects the accuracy of the detected target level, which can reach a level value of 18 dBmV. Since the EUT is sensitive to the out-of-band IMFA interference, the focus is on the intermodulation of the false alarm modeling and the anti-interference processing in the subsequent study.
6. Discussion
Author Contributions
Funding
Data Availability Statement
Conflicts of Interest
References
- Zhang, Z.; Xue, Y.T.; Ma, R.Q. An easy-implemented confidence filter for signal processing in the complex electromagnetic environment. Microelectron. Reliab. 2018, 88–90, 225–229. [Google Scholar] [CrossRef]
- Liu, S.H.; Wu, Z.C.; Zhang, X.J. Effect of electromagnetic environment and its development trend. Chin. J. Natl. Def. Technol. 2008, 29, 1–6. [Google Scholar]
- Hong, Z.T. Electromagnetic compatibility design of the computer circuits. J. Phys. Conf. Ser. 2018, 976, 19–21. [Google Scholar]
- Kashmoola, M.; Alsaleem, N. Model of Dynamics of the Grouping States of Radio Electronic Means in the Problems of Ensuring Electromagnetic Compatibility. East. Eur. J. Enterp. Technol. 2019, 6, 12–20. [Google Scholar] [CrossRef]
- Zhao, B.; Huang, L.; Zhang, J.H. Single channel SAR deception jamming suppression via dynamic aperture processing. IEEE Sens. J. 2017, 17, 4225–4230. [Google Scholar] [CrossRef]
- Xu, G.; Liu, T.; Ye, Y.; Zhang, X. Hybrid harmonic-intermodulation distortion behavioral model for shortwave power amplifiers. Int. J. RF Microw. Comput. Aided Eng. 2019, 29, e21718. [Google Scholar] [CrossRef]
- Liu, H. Impact of Nonideal Auxiliary Current Profile on Linearity of Microwave Doherty Amplifiers: Theory and Experiments. IEEE Trans. Circuits Syst. 2022, 69, 2325–2338. [Google Scholar] [CrossRef]
- Li, J.X. Evaluation Method for the Intermodulation Interference in an Integrated Shipboard Communication System. Chin. J. Ship Res. 2014, 9, 116–120. [Google Scholar]
- Li, W.; Wei, G.H.; Pan, X.D. Electromagnetic compatibility prediction method under the in-band interference environment. IEEE Trans. Electromagn. Compat. 2018, 60, 520–528. [Google Scholar] [CrossRef]
- Wang, Y.; Wei, G.; Li, W. Mechanism modeling and verification of receiver with in-band dual-frequency blocking jamming. Trans. Beijing Inst. Technol. 2018, 38, 709–714. [Google Scholar]
- Wei, G.; Zheng, J. A Model for Predicting Second-Order Intermodulation Low-Frequency Blocking Effects. IEEE Trans. Electromagn. Compat. 2022, 64, 348–358. [Google Scholar] [CrossRef]
- Zhao, H.Z.; Wei, G.H.; Du, X.; Zheng, J.; Li, M. Analysis of third-order intermodulation blocking effect for satellite navigation receiver. Chin. J. Syst. Eng. Electron. 2020, 44, 1336–1342. [Google Scholar]
- Zhao, K. Dual frequency blocking interference laws with high order nonlinear distortion. Syst. Eng. Electron. 2022, 44, 47–53. [Google Scholar]
- Kang, W.C. Nonlinear interference analysis in radio monitoring receiver. Monit. Detect. 2013, 9, 62–64. [Google Scholar]
- Olivier, K.; Cilliers, J.E. Design and performance of wideband DRFM for radar test and evaluation. Electron. Lett. 2011, 47, 824–825. [Google Scholar] [CrossRef]
- Tang, J.; Cao, X. Simulink Modelling and Simulation for Jamming Using DRFM Based on Continuous Memory. J. Syst. Simul. 2013, 25, 540–543. [Google Scholar]
- Zhao, K.; Wei, G.H.; Pan, X.D. Interference laws of single frequency electromagnetic radiation to radar. Chin. J. Syst. Eng. Electron. 2021, 43, 363–368. [Google Scholar]
- Du, X.; Wei, G.H.; Zhao, K. Research on Dual-Frequency Electromagnetic False Alarm Interference Effect of a Typical Radar. Sensors 2022, 22, 3574. [Google Scholar] [CrossRef]
- Long, T.; Li, D. Design methods for step frequency waveform and the target pick-up algorithm. Chin. J. Syst. Eng. Electron. 2001, 23, 26–31. [Google Scholar]
- Mao, E.K.; Long, T.; Han, Y.Q. Digital signal processing of stepped frequency radar. Chin. J. Acta Aeronaut. Et Astronaut. Sin. 2001, 22, 16–25. [Google Scholar]
- Zhao, K.; Wei, G.H. Characteristics analysis of dual frequency electromagnetic radiation false target for stepped frequency continuous wave radar. Syst. Eng. Electron. 2022, 22, 3574. [Google Scholar]
- GJB8848-2016; Electromagnetic Environmental Effects Test Methods for Systems. Equipment Development Department of the Central Military Commission: Beijing, China, 2016.





| Polynomial | Frequency | Magnitude | Polynomial | Frequency | Magnitude |
|---|---|---|---|---|---|
| a0 | 0 | y0 | a4x4 | f1 − f2 | |
| a1x1 | f1 | 2f1 − 2f2 | |||
| f2 | a5x5 | 2f1 − f2 | |||
| a2x2 | f1 − f2 | 2f2 − f1 | |||
| a3x3 | 2f1 − f2 | 3f1 − 2f2 | |||
| 2f2 − f1 | 3f2 − 2f1 |
| Serial Number | Δf1/GHz | Δf2/GHz | Δf1/GHz | Δf2/GHz |
|---|---|---|---|---|
| −0.18 | −0.36 | −0.36 | −0.72 | |
| RIM3/m | UIM3/(dBmV) | RIM3/m | U IM3/(dBmV) | |
| 1 | 647.2 | 8.1 | 1531.0 | 11.2 |
| 2 | 1243.0 | 7.7 | 977.2 | 11.4 |
| 3 | 720.7 | 7.9 | 636.7 | 11.5 |
| 4 | 380.9 | 7.2 | 1169.0 | 11.2 |
| 5 | 1113.0 | 7.0 | 1214.0 | 11.2 |
| 6 | 1575.0 | 7.8 | 1619.0 | 11.6 |
| 7 | 249.7 | 7.7 | 1316.0 | 11.6 |
| 8 | 1570.0 | 7.2 | 259.4 | 11.3 |
| 9 | 975.7 | 6.4 | 548.9 | 10.7 |
| 10 | 1444.0 | 7.3 | 1444.0 | 11.3 |
| Average | / | 7.4 | / | 11.3 |
| E1 | E2 | RIM5/m | UIM5/dBmV | E1 | E2 | RIM5/m | UIM5/dBmV |
|---|---|---|---|---|---|---|---|
| 12 | 3 | 1360.0 | −2.0 | 12 | 0 | 2942 | −4.5 |
| 9 | 462.7 | 1.2 | 9 | 590.9 | −1.3 | ||
| 6 | 1141.0 | 2.7 | 6 | 751.4 | 0.5 | ||
| 3 | 733.4 | 0.3 | 3 | 894.7 | −2.0 | ||
| 0 | 378.7 | −3.0 | 0 | 3598.0 | −5.2 | ||
| −3 | 464.2 | −6.3 | −3 | / | / | ||
| −6 | 3655.0 | −9.0 | −6 | / | / | ||
| E1 | E2 | RIM5/m | UIM5/dBmV | E1 | E2 | RIM5/m | UIM5/dBmV |
| 12 | −3 | 1320.0 | −7.7 | −3 | 12 | / | / |
| 9 | 319.4 | −3.7 | 9 | / | / | ||
| 6 | 1326.0 | −1.9 | 6 | 1495.0 | −4.5 | ||
| 3 | 773.2 | −5.5 | 3 | 3244.0 | −7.4 | ||
| E1 | E2 | RIM5/m | UIM5/dBmV | E1 | E2 | Rm5/m | UIM5/dBmV |
| 0 | 0 | 2648.0 | −7.0 | 3 | −6 | 3118.0 | −8.2 |
| 0 | 3 | 1490.0 | −3.7 | 3 | −3 | 948.7 | −6.5 |
| 0 | 6 | 1214.0 | −2.6 | 3 | 0 | 832.4 | −3.4 |
| 3 | 3 | / | / | 3 | 3 | 1231.0 | 0.0 |
| 3 | 6 | / | / | 3 | 6 | 1455.0 | 1.4 |
| 3 | 9 | / | / | 3 | 9 | 1447.0 | −0.1 |
| E1/E2(dB) | E1/(dBV/m) | E2/(dBV/m) | RIM5/m | UIM5/dBmV |
|---|---|---|---|---|
| 3 | 11 | 8 | 753 | 2.9 |
| 9 | 6 | 689.2 | 3 | |
| 6 | 3 | 583.4 | 2 | |
| 3 | 0 | 620.9 | −3 | |
| 6 | 12 | 6 | 1036 | 1.3 |
| 9 | 3 | 900.7 | 1.4 | |
| 6 | 0 | 848.9 | −0.1 | |
| 3 | −3 | 3465 | −6.5 | |
| 9 | 12 | 3 | 1320 | −1.6 |
| 9 | 0 | 1148 | −1.7 | |
| 6 | −3 | 702.7 | −3.4 | |
| 3 | −6 | 3076 | −9.7 |
Publisher’s Note: MDPI stays neutral with regard to jurisdictional claims in published maps and institutional affiliations. |
© 2022 by the authors. Licensee MDPI, Basel, Switzerland. This article is an open access article distributed under the terms and conditions of the Creative Commons Attribution (CC BY) license (https://creativecommons.org/licenses/by/4.0/).
Share and Cite
Du, X.; Wei, G.; Pan, X.; Wan, H.; Zhao, H. Study on the Law and Mechanism of the Third-Order Intermodulation False Alarm Effect of the Stepped Frequency Ranging Radar. Electronics 2022, 11, 3722. https://doi.org/10.3390/electronics11223722
Du X, Wei G, Pan X, Wan H, Zhao H. Study on the Law and Mechanism of the Third-Order Intermodulation False Alarm Effect of the Stepped Frequency Ranging Radar. Electronics. 2022; 11(22):3722. https://doi.org/10.3390/electronics11223722
Chicago/Turabian StyleDu, Xue, Guanghui Wei, Xiaodong Pan, Haojiang Wan, and Hongze Zhao. 2022. "Study on the Law and Mechanism of the Third-Order Intermodulation False Alarm Effect of the Stepped Frequency Ranging Radar" Electronics 11, no. 22: 3722. https://doi.org/10.3390/electronics11223722
APA StyleDu, X., Wei, G., Pan, X., Wan, H., & Zhao, H. (2022). Study on the Law and Mechanism of the Third-Order Intermodulation False Alarm Effect of the Stepped Frequency Ranging Radar. Electronics, 11(22), 3722. https://doi.org/10.3390/electronics11223722

