Enhancement of Direct Power Control by Using Artificial Neural Network for a Doubly Fed Induction Generator-Based WECS: An Experimental Validation
Abstract
1. Introduction
- Experimental validation of the designed intelligent DPC strategy.
- Minimization of reactive and active powers ripples, mainly caused by the parametric uncertainties of DFIG and the nonlinearities due to the nature of the controller (powers estimators, hysteresis comparators), as noticed by Aroussi in [27].
- Improve the current quality of the DFIG-WT by using the intelligent DPC method.
- Comparing study between backstepping control, traditional and intelligent DPC techniques.
- Improve dynamic response for both torque and power.
- Overcoming the disadvantages and problems of the DPC.
2. WT System
- Voltage equations:
- Flux equations:
- Power equations:
3. DPC Strategy for RSC
4. Backstepping Control for RSC
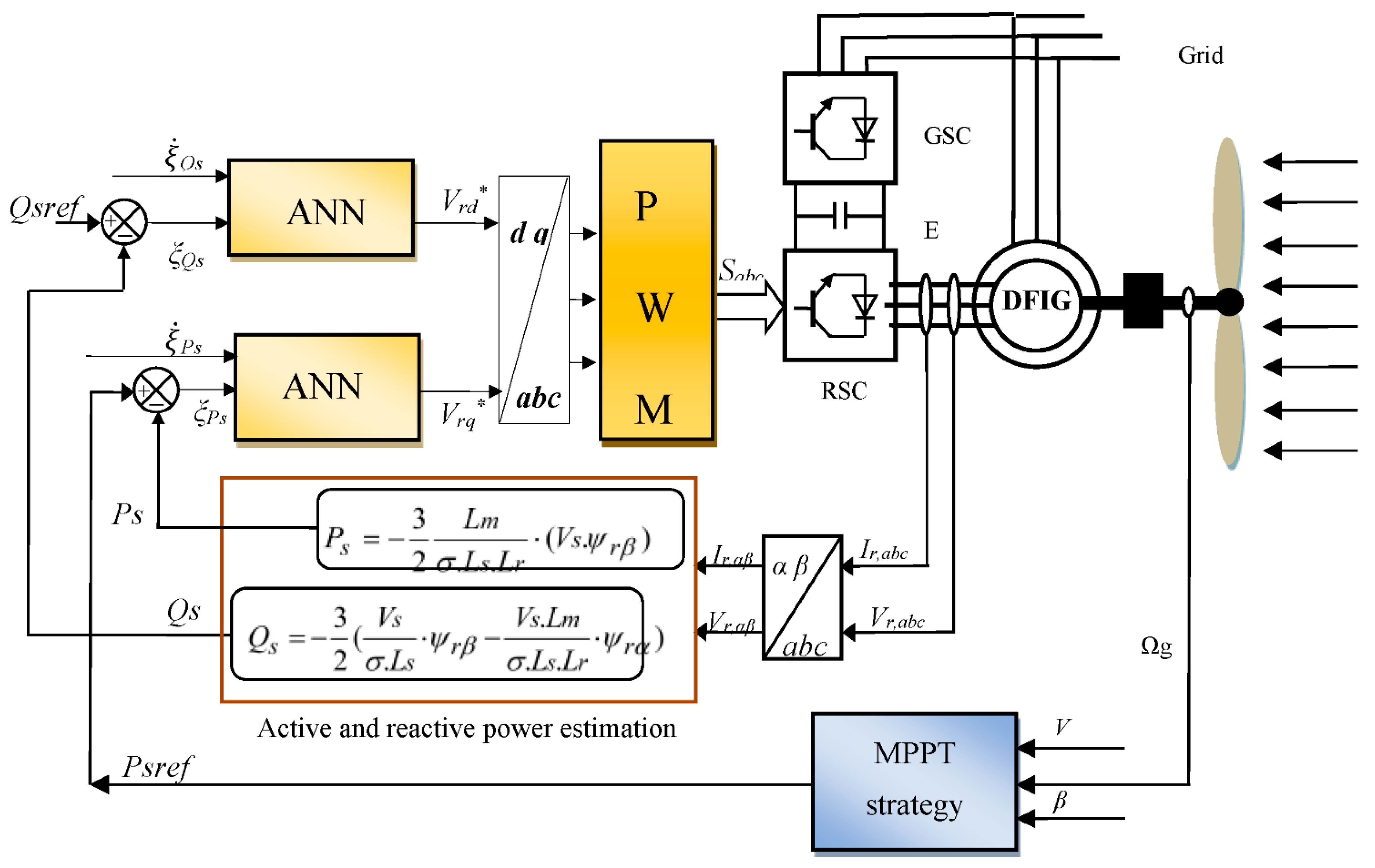
5. Intelligent DPC Strategy for RSC
- The proposed intelligent DPC strategy overcomes the artificial nonlinearities due to hysteresis switching operations, which required an infinite commutation frequency, which is still at the present impossible.
- Data have been collected from a genetic algorithm optimized controller and then used for training purposes, which ensures data accuracy with the optimal dynamic of the system.
- The use of an ANN controller and PWN strategy can be qualified as a novel combination according to the existingliterature.
- A new intelligent DPC strategy of DFIG is presented and compared to traditional DPC strategy and backstepping control.
- The intelligent strategy is robust/simple, and its implementation is technologically well-mastered.
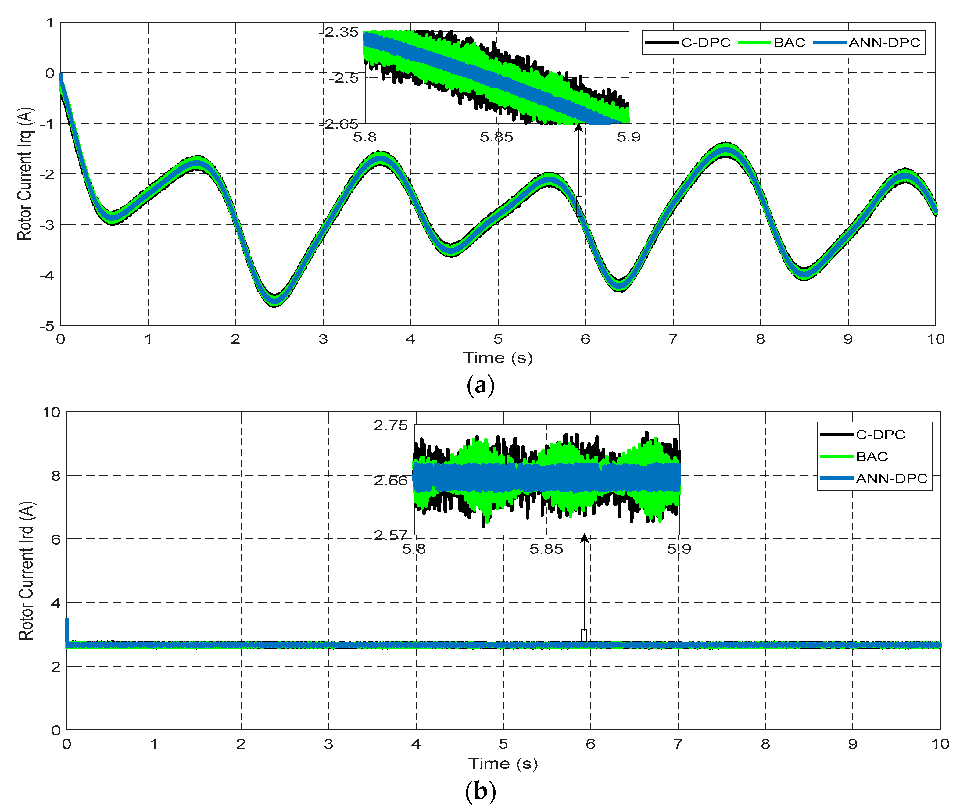
6. Results
6.1. Realistic Wind Speed Scenario (Al Hoceima City)
6.2. Step Wind Scenario (Robustness Test)
- Dividing resistances 𝑅𝑠 and 𝑅𝑟 by 2, (−50% of nominal Rs);
- Dividing inductances Ls, Lr, and Msr by 2;
- Steps reactive and active power are imposed as reference to evaluate the system response under rapid variation of operating point.
7. Implementation of the Proposed Strategy
8. Conclusions
Author Contributions
Funding
Conflicts of Interest
Appendix A
| Parameters of WT and Generator | |||
|---|---|---|---|
| Parameters | Value | Parameters | Value |
| Number of blades | 3 | Irn (A) | 8.5 |
| R (m) | 1 | p | 2 |
| G | 2 | fs (Hz) | 50 |
| (N·m·s/rad) | 0.0027 | Rs (Ω) | 1.18 |
| (kg·m2) | 0.04 | Rr (Ω) | 1.66 |
| Pn (kW) | 1.5 | Ls (H) | 0.20 |
| Vs (V) | 220/380 | Lr (H) | 0.18 |
| Isn (A) | 5.2 | M (H) | 0.17 |
References
- Bai, H.; Aoues, Y.; Cherfils, J.-M.; Lemosse, D. Design of an active damping system for vibration control of wind turbine towers. Infrastructures 2021, 6, 162. [Google Scholar] [CrossRef]
- Chehaidia, S.E.; Kherfane, H.; Cherif, H.; Boukhezzar, B.; Kadi, L.; Chojaa, H.; Abderrezak, A. Robust nonlinear terminal integral sliding mode torque control for wind turbines considering uncertainties. IFAC-PapersOnLine 2022, 55, 228–233. [Google Scholar] [CrossRef]
- Chehaidia, S.E.; Abderezzak, A.; Kherfane, H.; Guersi, N.; Cherif, H.; Boukhezzar, B. Fuzzy gain scheduling of PI torque controller to capture the maximum power from variable speed wind turbines. In Proceedings of the 2020 IEEE 2nd International Conference on Electronics, Control, Optimization and Computer Science (ICECOCS), Kenitra, Morocco, 2–3 December 2020. [Google Scholar]
- Benbouhenni, H.; Bizon, N. Improved rotor flux and torque control based on the third-order sliding mode scheme applied to the asynchronous generator for the single-rotor wind turbine. Mathematics 2021, 9, 2297. [Google Scholar] [CrossRef]
- Prasad, R.; Padhy, N.P. Synergistic frequency regulation control mechanism for DFIG wind turbines with optimal pitch dynamics. IEEE Trans. Power Syst. 2020, 35, 3181–3191. [Google Scholar] [CrossRef]
- Alhato, M.M.; Ibrahim, M.N.; Rezk, H.; Bouallègue, S. An enhanced dc-link voltage response for wind-driven doubly fed induction generator using adaptive fuzzy extended state observer and sliding mode control. Mathematics 2021, 9, 963. [Google Scholar]
- Chehaidia, S.E.; Abderezzak, A.; Kherfane, H.; Boukhezzar, B.; Cherif, H. An Improved Machine Learning Techniques Fusion Algorithm for Controls Advanced Research Turbine (CART) Power Coefficient Estimation. UPB Sci. Bull. C 2020, 82, 279–292. [Google Scholar]
- Bektache, A.; Boukhezzar, B. Nonlinear predictive control of a DFIG-based wind turbine for power capture optimization. Int. J. Electr. Power Energy Syst. 2018, 101, 92–102. [Google Scholar]
- Saad, M.M.M.; Mohd, S.; Zulkafli, M.F.; Samiran, N.A.; Didane, D.H. CFD Simulation Study on the Performance of a Modified Ram Air Turbine (RAT) for Power Generation in Aircrafts. Fluids 2021, 6, 391. [Google Scholar] [CrossRef]
- Habib, B.; Nicu, B. Advanced direct vector control method for optimizing the operation of a double-powered induction generator-based dual-rotor wind turbine system. Mathematics 2021, 9, 2403. [Google Scholar]
- Liu, Y.; Guo, G.; Wang, X.; Wang, H.; Wang, L. Sub-Synchronous Oscillation Suppression Strategy Based on Impedance Modeling by Attaching Virtual Resistance Controllers for Doubly-Fed Induction Generator. Electronics 2022, 11, 2272. [Google Scholar] [CrossRef]
- Ibrahim, Y.; Rashad, A.; Kamel, S.; Mosaad, M.I. Performance of PMSG-Wind Power Plant During Three Phase Faults with ANN Based Control of STATCOM. In Proceedings of the 2021 IEEE International Conference on Automation/XXIV Congress of the Chilean Association of Automatic Control (ICA-ACCA), Online, 22–26 March 2021. [Google Scholar]
- Kim, J.; Caire, G.; Molisch, A.F. Quality-aware streaming and scheduling for device-to-device video delivery. IEEE/ACM Trans. Netw. 2015, 24, 2319–2331. [Google Scholar]
- Singh, P.D.; Gao, S. An Isolated Hydro Power Generation using Parallel Asynchronous Generators at Variable Turbine Inputs using AC-DC-AC Converter. In Proceedings of the 2018 8th IEEE India International Conference on Power Electronics (IICPE), Jaipur, India, 13–15 December 2018; pp. 1–6. [Google Scholar] [CrossRef]
- Gawande, S.P.; Porate, K.B.; Thakre, K.L.; Bodhe, G.L. Synchronization of Synchronous Generator and Induction Generator for Voltage & Frequency Stability Using STATCOM. In Proceedings of the 2010 3rd International Conference on Emerging Trends in Engineering and Technology, Goa, India, 9–21 November 2010; pp. 407–412. [Google Scholar] [CrossRef]
- Liu, Y.; Ou, J.; Noe, M. A Large-Scale Superconducting DC Wind Generator Considering Concentrated/Distributed Armature Winding. IEEE Trans. Appl. Supercond. 2017, 27, 1–5. [Google Scholar] [CrossRef]
- Hete, R.R.; Mishra, S.K.; Dash, R.; Jyotheeswara Reddy, K.; Subburaj, V.; Chittathuru, D. Design and Analysis of DFIG-STATCOM Coordinated P2P Grid Connected System Using RMSProp. Sustainability 2022, 14, 15105. [Google Scholar] [CrossRef]
- Prasad, R.M.; Mulla, M.A. Mathematical Modeling and Position-Sensorless Algorithm for Stator-Side Field-Oriented Control of Rotor-Tied DFIG in Rotor Flux Reference Frame. IEEE Trans. Energy Convers. 2020, 35, 631–639. [Google Scholar] [CrossRef]
- Tian, P.; Hao, Z.; Li, Z. Doubly-Fed Induction Generator Coordination Control Strategy Compatible with Feeder Automation. Electronics 2019, 9, 18. [Google Scholar] [CrossRef]
- Taoussi, M.; Bossoufi, B.; Bouderbala, M.; Motahhir, S.; Alkhammash, E.H.; Masud, M.; Zinelaabidine, N.; Karim, M. Implementation and Validation of Hybrid Control for a DFIG Wind Turbine Using an FPGA Controller Board. Electronics 2021, 10, 3154. [Google Scholar] [CrossRef]
- Uppal, A.A.; Fernandes, M.C.; Vinha, S.; Fontes, F.A. Cascade Control of the Ground Station Module of an Airborne Wind Energy System. Energies 2021, 14, 8337. [Google Scholar]
- Sahri, Y.; Tamalouzt, S.; LalouniBelaid, S.; Bacha, S.; Ullah, N.; Ahamdi, A.A.A.; Alzaed, A.N. Advanced Fuzzy 12 DTC Control of Doubly Fed Induction Generator for Optimal Power Extraction in Wind Turbine System under Random Wind Conditions. Sustainability 2021, 13, 11593. [Google Scholar] [CrossRef]
- Benbouhenni, H.; Dris, A.; Lemdani, S. Indirect active and reactive powers control of doubly fed induction generator fed by three-level adaptive-network-based fuzzy inference system–pulse width modulation converter with a robust method based on super twisting algorithms. Electr. Eng. Electromechanics 2021, 4, 31–38. [Google Scholar] [CrossRef]
- Palahalli, H.; Hemmati, M.; Gruosso, G. Analysis and Design of a Smart Controller for Managing Penetration of Renewable Energy Including Cybersecurity Issues. Electronics 2022, 11, 1861. [Google Scholar] [CrossRef]
- Wang, Z.; Sun, K.; Ma, S.; Sun, L.; Gao, W.; Dong, Z. Improved Linear Quadratic Regulator Lateral Path Tracking Approach Based on a Real-Time Updated Algorithm with Fuzzy Control and Cosine Similarity for Autonomous Vehicles. Electronics 2022, 11, 3703. [Google Scholar] [CrossRef]
- Jnayah, S.; Moussa, I.; Khedher, A. IM Fed by Three-Level Inverter under DTC Strategy Combined with Sliding Mode Theory. Electronics 2022, 11, 3656. [Google Scholar] [CrossRef]
- El Idrissi, A.; Derouich, A.; Mahfoud, S.; El Ouanjli, N.; Chantoufi, A.; Al-Sumaiti, A.S.; Mossa, M.A. Bearing Fault Diagnosis for an Induction Motor Controlled by an Artificial Neural Network—Direct Torque Control Using the Hilbert Transform. Mathematics 2022, 10, 4258. [Google Scholar] [CrossRef]
- Sung, G.-M.; Tung, L.-F.; Huang, C.-C.; Huang, H.-Y. Modified Predictive Direct Torque Control ASIC with Multistage Hysteresis and Fuzzy Controller for a Three-Phase Induction Motor Drive. Electronics 2022, 11, 1802. [Google Scholar] [CrossRef]
- Mossa, M.A.; Echeikh, H.; Diab, A.A.Z.; Quynh, N.V. Effective direct power control for a sensor-less doubly fed induction generator with a losses minimization criterion. Electronics 2020, 9, 1269. [Google Scholar]
- de Marchi, R.A.; Dainez, P.S.; Von Zuben, F.J.; Bim, E. A multilayer perceptron controller applied to the direct power control of a doubly fed induction generator. IEEE Trans. Sustain. Energy 2014, 5, 498–506. [Google Scholar]
- Elgbaily, M.; Anayi, F.; Alshbib, M.M. A Combined Control Scheme of Direct Torque Control and Field-Oriented Control Algorithms for Three-Phase Induction Motor: Experimental Validation. Mathematics 2022, 10, 3842. [Google Scholar] [CrossRef]
- Kong, H.; He, J.; Liu, Y.; Cheng, P.; Ma, J. Improved Direct Power Control of Doubly Fed Induction Generator Without Phase-Locked Loop. In Proceedings of the 2020 IEEE Sustainable Power and Energy Conference (iSPEC), Chengdu, China, 23–25 November 2020; pp. 199–204. [Google Scholar] [CrossRef]
- Yousefi-Talouki, A.; Zalzar, S.; Pouresmaeil, E. Direct Power Control of Matrix Converter-Fed DFIG with Fixed Switching Frequency. Sustainability 2019, 11, 2604. [Google Scholar] [CrossRef]
- Mohamed, S.A.; Tolba, M.A.; Eisa, A.A.; El-Rifaie, A.M. Comprehensive modeling and control of grid-connected hybrid energy sources using MPPT controller. Energies 2021, 14, 5142. [Google Scholar] [CrossRef]
- Noguchi, T.; Tomiki, H.; Kondo, S.; Takahashi, I. Direct power control of PWM converter without power-source voltage sensors. IEEE Trans. Ind. Appl. 1998, 34, 473–479. [Google Scholar] [CrossRef]
- Malinowski, M. Sensorless control strategies for three-phase PWM rectifiers. Ph.D. Thesis, Warsaw University of Technology, Warsaw, Poland, 2001. [Google Scholar]
- Aroussi, H.A.; Ziani, E.; Bouderbala, M.; Bossoufi, B. Enhancement of the direct power control applied to DFIG-WECS. Int. J. Electr. Comput. Eng. 2020, 10, 35. [Google Scholar]
- Li, S.; Wang, H.; Tian, Y.; Aitouch, A.; Klein, J. Direct power control of DFIG wind turbine systems based on an intelligent proportional-integral sliding mode control. ISA Trans. 2016, 64, 431–439. [Google Scholar] [CrossRef] [PubMed]
- Datta, R.; Ranganathan, V. Direct power control of grid-connected wound rotor induction machine without rotor position sensors. IEEE Trans. Power Electron. 2001, 16, 390–399. [Google Scholar]
- Malinowski, M.; Jasinski, M.; Kazmierkowski, M.P. Simple direct power control of three-phase PWM rectifier using space-vector modulation (DPC-SVM). IEEE Trans. Ind. Electron. 2004, 51, 447–454. [Google Scholar] [CrossRef]
- Antoniewicz, P.; Kazmierkowski, M.P. Virtual-flux-based predictive direct power control of AC/DC converters with online inductance estimation. IEEE Trans. Ind. Electron. 2008, 55, 4381–4390. [Google Scholar] [CrossRef]
- Tremblay, E.; Atayde, S.; Chandra, A. Comparative study of control strategies for the doubly fed induction generator in wind energy conversion systems: A DSP-based implementation approach. IEEE Trans. Sustain. Energy 2011, 2, 288–299. [Google Scholar]
- Djeriri, Y.; Meroufel, A.; Massoum, A.; Boudjema, Z. A comparative study between field oriented control strategy and direct power control strategy for DFIG. J. Electr. Eng. 2014, 14, 9. [Google Scholar]
- Mazen Alhato, M.; Bouallègue, S.; Rezk, H. Modeling and performance improvement of direct power control of doubly-fed induction generator based wind turbine through second-order sliding mode control approach. Mathematics 2020, 8, 2012. [Google Scholar]
- Habib, B.; Nicu, B. Terminal synergetic control for direct active and reactive powers in asynchronous generator-based dual-rotor wind power systems. Electronics 2021, 10, 1880. [Google Scholar]
- Xiong, L.; Li, P.; Li, H.; Wang, J. Sliding Mode Control of DFIG Wind Turbines with a Fast Exponential Reaching Law. Energies 2017, 10, 1788. [Google Scholar] [CrossRef]
- Pura, P.; Iwański, G. Rotor Current Feedback Based Direct Power Control of a Doubly Fed Induction Generator Operating with Unbalanced Grid. Energies 2021, 14, 3289. [Google Scholar] [CrossRef]
- Ahmad, S.; Mekhilef, S.; Mokhlis, H.; Karimi, M.; Pourdaryaei, A.; Ahmed, T.; Jhuma, U.K.; Afzal, S. Fuzzy Logic-Based Direct Power Control Method for PV Inverter of Grid-Tied AC Microgrid without Phase-Locked Loop. Electronics 2021, 10, 3095. [Google Scholar] [CrossRef]
- Cheng, P.; Wu, C.; Ning, F.; He, J. Voltage Modulated DPC Strategy of DFIG Using Extended Power Theory under Unbalanced Grid Voltage Conditions. Energies 2020, 13, 6077. [Google Scholar] [CrossRef]
- Han, Y.; Ma, R. Adaptive-Gain Second-Order Sliding Mode Direct Power Control for Wind-Turbine-Driven DFIG under Balanced and Unbalanced Grid Voltage. Energies 2019, 12, 3886. [Google Scholar] [CrossRef]
- Mahdhi, H.B.; Azza, H.B.; Jemli, M. Direct Power Control of a PMSG in Wind Power Conversion System under Faulty Rectifier Conditions. In Proceedings of the 2019 19th International Conference on Sciences and Techniques of Automatic Control and Computer Engineering (STA), Sousse, Tunisia, 24–26 March 2019; pp. 394–398. [Google Scholar] [CrossRef]
- Wang, X.; Sun, D.; Zhu, Z.Q. Resonant-Based Backstepping Direct Power Control Strategy for DFIG Under Both Balanced and Unbalanced Grid Conditions. IEEE Trans. Ind. Appl. 2017, 53, 4821–4830. [Google Scholar] [CrossRef]
- Shang, L.; Hu, J. Sliding-Mode-Based Direct Power Control of Grid-Connected Wind-Turbine-Driven Doubly Fed Induction Generators Under Unbalanced Grid Voltage Conditions. IEEE Trans. Energy Convers. 2012, 27, 362–373. [Google Scholar] [CrossRef]
- Pichan, M.; Rastegar, H.; Monfared, M. Fuzzy-based direct power control of doubly fed induction generator-based wind energy conversion systems. In Proceedings of the 2012 2nd International eConference on Computer and Knowledge Engineering (ICCKE), Fujian, China, 21–23 November 2012; pp. 66–70. [Google Scholar] [CrossRef]
- Mohammadi, J.; Vaez-Zadeh, S.; Afsharnia, S.; Daryabeigi, E. A Combined Vector and Direct Power Control for DFIG-Based Wind Turbines. IEEE Trans. Sustain. Energy 2014, 5, 767–775. [Google Scholar] [CrossRef]
- Dzung, P.Q.; Bao, A.N.; Lee, H.H. New artificial neural network based direct virtual torque control and direct power control for DFIG in wind energy systems. In Proceedings of the 2011 IEEE Ninth International Conference on Power Electronics and Drive Systems, Singapore, 5–8 December 2011; pp. 219–227. [Google Scholar] [CrossRef]
- Ngamroo, I. Review of DFIG wind turbine impact on power system dynamic performances. IEEJ Trans. Electr. Electron. Eng. 2017, 12, 301–311. [Google Scholar] [CrossRef]
- Domínguez-García, J.L.; Gomis-Bellmunt, O.; Bianchi, F.D.; Sumper, A. Power oscillation damping supported by wind power: A review. Renew. Sustain. Energy Rev. 2012, 16, 4994–5006. [Google Scholar] [CrossRef]
- Yessef, M.; Bossoufi, B.; Taoussi, M.; Motahhir, S.; Lagrioui, A.; Chojaa, H.; Lee, S.; Kang, B.-G.; Abouhawwash, M. Improving the Maximum Power Extraction from Wind Turbines Using a Second-Generation CRONE Controller. Energies 2022, 15, 3644. [Google Scholar]
- Chehaidia, S.E.; Kherfane, H.; Cherif, H.; Abderrezak, A.; Chojaa, H.; Kadi, L.; Boukhezzar, B.; Taoussi, M. An Improved Supervised Fuzzy PI Collective Pitch Angle Control for Wind Turbine Load Mitigation. In Digital Technologies and Applications; Springer International Publishing: Cham, Switzerland, 2022. [Google Scholar]
- Zhu, E.; Du, Y.; Song, W.; Gao, H. Altitude Control of Powered Parafoil Using Fractional Sliding-Mode Backstepping Control Combined with Extended State Observer. Appl. Sci. 2022, 12, 12069. [Google Scholar] [CrossRef]
- Brandić, I.; Pezo, L.; Bilandžija, N.; Peter, A.; Šurić, J.; Voća, N. Artificial Neural Network as a Tool for Estimation of the Higher Heating Value of Miscanthus Based on Ultimate Analysis. Mathematics 2022, 10, 3732. [Google Scholar] [CrossRef]
- Jain, A.; Singh, J.; Kumar, S.; Florin-Emilian, Ț.; Traian Candin, M.; Chithaluru, P. Improved Recurrent Neural Network Schema for Validating Digital Signatures in VANET. Mathematics 2022, 10, 3895. [Google Scholar] [CrossRef]
- Iqbal, A.; Khan, M.R. Sensorless control of a vector controlled three-phase induction motor drive using artificial neural network. In Proceedings of the 2010 Joint International Conference on Power Electronics, Drives and Energy Systems & 2010 Power India, New Delhi, India, 20–23 December 2010; pp. 1–5. [Google Scholar] [CrossRef]
- Cherif, H.; Benakcha, A.; Laib, I.; Chehaidia, S.E.; Menacer, A.; Soudan, B.; Olabi, A. Early detection and localization of stator inter-turn faults based on discrete wavelet energy ratio and neural networks in induction motor. Energy 2020, 212, 118684. [Google Scholar] [CrossRef]
- Habib, B.; Boudjema, Z.; Belaidi, A. Power ripple reduction of DPC DFIG drive using ANN controller. Acta Electrotech. Inform. 2020, 20, 15–22. [Google Scholar]
- Boudjema, Z.; Meroufel, A.; Djerriri, Y.; Bounadja, E. Fuzzy sliding mode control of a doubly fed induction generator for wind energy conversion. Carpathian J. Electron. Comput. Eng. 2013, 6, 7. [Google Scholar]
- Ayrir, W.; Ourahou, M.; El Hassouni, B.; Haddi, A. Direct torque control improvement of a variable speed DFIG based on a fuzzy inference system. Math. Comput. Simul. 2020, 167, 308–324. [Google Scholar] [CrossRef]
- Boudjema, Z.; Taleb, R.; Djeriri, Y.; Yahdou, A. A novel direct torque control using second order continuous sliding mode of a doubly fed induction generator for a wind energy conversion system. Turk. J. Electr. Eng. Comput. Sci. 2017, 25, 965–975. [Google Scholar]
- Amrane, F.; Chaiba, A. A novel direct power control for grid-connected doubly fed induction generator based on hybrid arti ficial intelligent c ontrol with space vector modulation. Rev. Roum. Sci. Techn. 2018, 61, 263–268. [Google Scholar]
- Alhato, M.M.; Bouallègue, S. Direct power control optimization for doubly fed induction generator based wind turbine systems. Math. Comput. Appl. 2019, 24, 77. [Google Scholar] [CrossRef]
- Mahfoud, S.; Derouich, A.; El Ouanjli, N.; EL Mahfoud, M. Enhancement of the Direct Torque Control by using Artificial Neuron Network for a Doubly Fed Induction Motor. Intell. Syst. Appl. 2022, 13, 200060. [Google Scholar] [CrossRef]



























| ∆Ps | ∆Qs | Sector | |||||
|---|---|---|---|---|---|---|---|
| 1 | 2 | 3 | 4 | 5 | 6 | ||
| 1 | 0 | V6 (101) | V7 (111) | V1 (100) | V0 (000) | V2 (110) | V7 (111) |
| 1 | V7 (111) | V7 (111) | V0 (000) | V0 (000) | V7 (111) | V7 (111) | |
| 0 | 0 | V6 (101) | V1 (100) | V1 (100) | V2 (110) | V2 (110) | V3 (010) |
| 1 | V1 (100) | V2 (110) | V2 (110) | V3 (010) | V3 (010) | V4 (011) | |
| ANN Parameters | Value/Methods | |
|---|---|---|
| ANN-Ps | ANN-Qs | |
| Neural network | Multi-Layer Perceptron network | |
| MLP training process | Levenberg Marquardt algorithm | |
| Proposed structure | 2-5-5-5-1 | 2-5-5-5-1 |
| Number of iterations | 100 | 100 |
| Input layer (two neurons) | and | and |
| Output layer (one neuron) | ||
| Activation functions | Tansig | Tansig |
| Adaption learning function | Trainlm | Trainlm |
| DPC Strategy | Intelligent DPC Technique | Backstepping Control | |
|---|---|---|---|
| Simplicity | Yes | Yes | No |
| Switching table | Yes | No | No |
| Hysteresis controller | Yes | No | No |
| Nonlinear control | No | Yes | Yes |
| Linear control | Yes | No | No |
| Current quality | Low | High | Medium |
| Power ripple | High | Low | Medium |
| Robustness | Low | High | High |
| Sectors estimation | Yes | ||
| Power estimation | Yes | Yes | Yes |
| MPPT technique | Yes | Yes | Yes |
| References | Ps/Qs | Ps/Qs | Ps/Qs |
| Response dynamic | Low | Fast | Fast |
| Total harmonic distortion of current | High | Medium | Medium |
| Steady-state performance | High | Medium | Medium |
| Implementation | Easy | Easy | Difficult |
| Affected by changing system parameters | High | Medium | High |
| Performance | DPC | Backstepping Control | Intelligent DPC Strategy | Improvement (%) |
|---|---|---|---|---|
| Response time (s) | 0.401 | 0.37 | 0.21 | 43.24 |
| Rise time (s) | 0.251 | 0.184 | 0.125 | 32.06 |
| THD of the Current (%) | 2.62 | 2.45 | 2.22 | 9.38 |
| Overshoot (%) | Important (≈18%) | Medium (≈9%) | Neglected (≈5%) | 44.44 |
| Set-point tracking | Medium | good | Very good | / |
| Precision | Medium | High | High | / |
| References | Strategies | THD (%) |
|---|---|---|
| [66] | DPC-PI | 2.59 |
| [67] | SMC | 3.05 |
| [68] | Fuzzy DTC | 2.40 |
| [69] | DTC strategy | 2.57 |
| [70] | FOC based on type 2 fuzzy logic | 1.14 |
| [71] | DPC control using L-filter | 10.79 |
| DPC control using LCL-filter | 4.05 | |
| [72] | DTC control | 7.83 |
| DTC with neural algorithm | 3.26 | |
| Proposed Strategy | DPC-ANN | 2.22 |
Publisher’s Note: MDPI stays neutral with regard to jurisdictional claims in published maps and institutional affiliations. |
© 2022 by the authors. Licensee MDPI, Basel, Switzerland. This article is an open access article distributed under the terms and conditions of the Creative Commons Attribution (CC BY) license (https://creativecommons.org/licenses/by/4.0/).
Share and Cite
Chojaa, H.; Derouich, A.; Chehaidia, S.E.; Zamzoum, O.; Taoussi, M.; Benbouhenni, H.; Mahfoud, S. Enhancement of Direct Power Control by Using Artificial Neural Network for a Doubly Fed Induction Generator-Based WECS: An Experimental Validation. Electronics 2022, 11, 4106. https://doi.org/10.3390/electronics11244106
Chojaa H, Derouich A, Chehaidia SE, Zamzoum O, Taoussi M, Benbouhenni H, Mahfoud S. Enhancement of Direct Power Control by Using Artificial Neural Network for a Doubly Fed Induction Generator-Based WECS: An Experimental Validation. Electronics. 2022; 11(24):4106. https://doi.org/10.3390/electronics11244106
Chicago/Turabian StyleChojaa, Hamid, Aziz Derouich, Seif Eddine Chehaidia, Othmane Zamzoum, Mohammed Taoussi, Habib Benbouhenni, and Said Mahfoud. 2022. "Enhancement of Direct Power Control by Using Artificial Neural Network for a Doubly Fed Induction Generator-Based WECS: An Experimental Validation" Electronics 11, no. 24: 4106. https://doi.org/10.3390/electronics11244106
APA StyleChojaa, H., Derouich, A., Chehaidia, S. E., Zamzoum, O., Taoussi, M., Benbouhenni, H., & Mahfoud, S. (2022). Enhancement of Direct Power Control by Using Artificial Neural Network for a Doubly Fed Induction Generator-Based WECS: An Experimental Validation. Electronics, 11(24), 4106. https://doi.org/10.3390/electronics11244106

