Artificial Visual System for Orientation Detection
Abstract
:1. Introduction
2. Methods
2.1. Dendritic Neuron Model
2.2. Local Planar Orientation-Detective Neuron
2.3. Global Planar Orientation Detection
- One-neuron scheme: we assume that there is only one local planar orientation-detective neuron available and the local planar orientation-detective neuron is used to scan every region for and over the two-dimensional receptive field (), and at every position scans two adjacent positions at one direction, covering four directions in total, thus yielding local planar orientation information;
- Multi-neuron scheme: we assume, for simplicity, that there are four local planar orientation-detective neurons, and that they are used to scan every region for and over the two-dimensional receptive field (), thus yielding pieces of local planar orientation information;
- Neuron-array scheme: we assume, for simplicity, that there are four local planar orientation-detective neurons that are arrayed in (, and ), and that the arrayed neurons slide over the two-dimensional receptive field () without overlapping, thus yielding pieces of local planar orientation information;
- Full-neuron scheme: we assume that every input corresponding to the region () of a two-dimensional receptive field () has its own local planar orientation-detective neuron. That is to say that there are local planar orientation-detective neurons. Thus, within the local receptive field, the local planar orientation-detective neurons can extract elementary local planar orientation information. The local planar orientation information is then used to judge the global planar orientation. In order to help the understanding of the mechanism with which the system performs planar orientation detection, we used a simple two-dimensional () image of a bar in 45 degrees, as shown in Figure 4. Without the loss of generality, we use the four-neuron scheme in which the four local planar orientation-detective neurons scan every position from (1, 1) to (5, 5) over the two-dimensional receptive field (), and yield the local planar orientation of the positions.
2.4. Artificial Visual System (AVS)
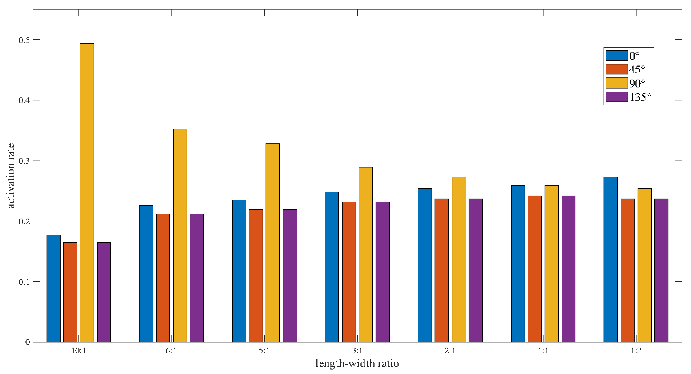
3. Results
4. Conclusions
Author Contributions
Funding
Acknowledgments
Conflicts of Interest
Abbreviations
| AVS | Artificial Visual System |
| CNN | Convolutional neural network |
| ANN | Artificial neural network |
| LFDN | Local feature-detective neuron |
| GFDN | Global feature-detective neuron |
References
- Hubel, D.H.; Wiesel, T.N. Receptive fields, binocular interaction and functional architecture in the cat’s visual cortex. J. Physiol. 1962, 160, 106–154. [Google Scholar] [CrossRef] [PubMed]
- Hubel, D.H.; Wiesel, T.N. Receptive fields of single neurones in the cat’s striate cortex. J. Physiol. 1959, 148, 574–591. [Google Scholar] [CrossRef] [PubMed]
- Gilbert, C.D.; Li, W. Adult visual cortical plasticity. Neuron 2012, 75, 250–264. [Google Scholar] [CrossRef] [Green Version]
- Wilson, D.E.; Whitney, D.E.; Scholl, B.; Fitzpatrick, D. Orientation selectivity and the functional clustering of synaptic inputs in primary visual cortex. Nat. Neurosci. 2016, 19, 1003–1009. [Google Scholar] [CrossRef]
- Roth, Z.N.; Heeger, D.J.; Merriam, E.P. Stimulus vignetting and orientation selectivity in human visual cortex. Elife 2018, 7, e37241. [Google Scholar] [CrossRef]
- Li, M.; Song, X.M.; Xu, T.; Hu, D.; Li, C.Y. Subdomains within orientation columns of primary visual cortex. Sci. Adv. 2019, 5, eaaw0807. [Google Scholar] [CrossRef] [Green Version]
- Stephen, G. Cortical Dynamics of Figure-Ground Separation in Response to 2D Pictures and 3D Scenes: How V2 Combines Border Ownership, Stereoscopic Cues, and Gestalt Grouping Rules. Front. Psychol. 2016, 6, 2054. [Google Scholar]
- Tang, S.; Lee, T.S.; Li, M.; Zhang, Y.; Jiang, H. Complex Pattern Selectivity in Macaque Primary Visual Cortex Revealed by Large-Scale Two-Photon Imaging. Curr. Biol. 2017, 28, 38–48. [Google Scholar] [CrossRef]
- Tang, Z.; Tamura, H.; Kuratu, M.; Ishizuka, O.; Tanno, K. A model of the neuron based on dendrite mechanisms. Electron. Commun. Japan Part III Fundam. Electron. Sci. 2001, 84, 11–24. [Google Scholar] [CrossRef]
- Todo, Y.; Tamura, H.; Yamashita, K.; Tang, Z. Unsupervised learnable neuron model with nonlinear interaction on dendrites. Neural Netw. 2014, 60, 96–103. [Google Scholar] [CrossRef]
- Todo, Y.; Tang, Z.; Todo, H.; Ji, J.; Yamashita, K. Neurons with multiplicative interactions of nonlinear synapses. Int. J. Neural Syst. 2019, 29, 1950012. [Google Scholar] [CrossRef]
- Hassoun, M.H. Fundamentals of Artificial Neural Networks; MIT Press: Cambridge, MA, USA, 1995. [Google Scholar]
- LeCun, Y.; Bottou, L.; Bengio, Y.; Haffner, P. Gradient-based learning applied to document recognition. Proc. IEEE 1998, 86, 2278–2324. [Google Scholar] [CrossRef] [Green Version]
- Al-Shayea, Q.K. Artificial neural networks in medical diagnosis. Int. J. Comput. Sci. Issues 2011, 8, 150–154. [Google Scholar]
- Khashei, M.; Bijari, M. An artificial neural network (p, d, q) model for timeseries forecasting. Expert Syst. Appl. 2010, 37, 479–489. [Google Scholar] [CrossRef]
- McCulloch, W.S.; Pitts, W. A logical calculus of the ideas immanent in nervous activity. Bull. Math. Biophys. 1943, 5, 115–133. [Google Scholar] [CrossRef]
- London, M.; Häusser, M. Dendritic computation. Annu. Rev. Neurosci. 2005, 28, 503–532. [Google Scholar] [CrossRef] [Green Version]
- Agmon-Snir, H.; Carr, C.E.; Rinzel, J. The role of dendrites in auditory coincidence detection. Nature 1998, 393, 268–272. [Google Scholar] [CrossRef] [PubMed]
- Anderson, J.; Binzegger, T.; Kahana, O.; Martin, K.; Segev, I. Dendritic asymmetry cannot account for directional responses of neurons in visual cortex. Nat. Neurosci. 1999, 2, 820–824. [Google Scholar] [CrossRef]
- Artola, A.; Bröcher, S.; Singer, W. Different voltage-dependent thresholds for inducing long-term depression and long-term potentiation in slices of rat visual cortex. Nature 1990, 347, 69–72. [Google Scholar] [CrossRef]
- Euler, T.; Detwiler, P.B.; Denk, W. Directionally selective calcium signals in dendrites of starburst amacrine cells. Nature 2002, 418, 845–852. [Google Scholar] [CrossRef]
- Magee, J.C. Dendritic integration of excitatory synaptic input. Nat. Rev. Neurosci. 2000, 1, 181–190. [Google Scholar] [CrossRef] [PubMed]
- Single, S.; Borst, A. Dendritic integration and its role in computing image velocity. Science 1998, 281, 1848–1850. [Google Scholar] [CrossRef] [PubMed] [Green Version]
- Crandall, S.R. Dendritic Properties of Inhibitory Thalamic Neurons: Implications in Sub-Cortical Sensory Processing; University of Illinois at Urbana-Champaign: Champaign, IL, USA, 2012. [Google Scholar]
- Dringenberg, H.C.; Hamze, B.; Wilson, A.; Speechley, W.; Kuo, M.C. Heterosynaptic facilitation of in vivo thalamocortical long-term potentiation in the adult rat visual cortex by acetylcholine. Cereb. Cortex 2007, 17, 839–848. [Google Scholar] [CrossRef]
- Koch, C.; Poggio, T.; Torre, V. Nonlinear interactions in a dendritic tree: Localization, timing, and role in information processing. Proc. Natl. Acad. Sci. USA 1983, 80, 2799–2802. [Google Scholar] [CrossRef] [PubMed] [Green Version]
- Koch, C.; Poggio, T.; Torre, V. Retinal ganglion cells: A functional interpretation of dendritic morphology. Philos. Trans. R. Soc. London. B Biol. Sci. 1982, 298, 227–263. [Google Scholar] [PubMed]
- Engelbrecht, A.P. Computational Intelligence: An Introduction; John Wiley & Sons: Hoboken, NJ, USA, 2007. [Google Scholar]
- Bi, G.Q.; Poo, M.M. Synaptic modifications in cultured hippocampal neurons: Dependence on spike timing, synaptic strength, and postsynaptic cell type. J. Neurosci. 1998, 18, 10464–10472. [Google Scholar] [CrossRef] [PubMed]
- Fortier, P.A.; Bray, C. Influence of asymmetric attenuation of single and paired dendritic inputs on summation of synaptic potentials and initiation of action potentials. Neuroscience 2013, 236, 195–209. [Google Scholar] [CrossRef]
- Holtmaat, A.; Svoboda, K. Experience-dependent structural synaptic plasticity in the mammalian brain. Nat. Rev. Neurosci. 2009, 10, 647–658. [Google Scholar] [CrossRef]
- Taylor, W.R.; He, S.; Levick, W.R.; Vaney, D.I. Dendritic computation of direction selectivity by retinal ganglion cells. Science 2000, 289, 2347–2350. [Google Scholar] [CrossRef]
- Segev, I.; Rall, W. Excitable dendrites and spines: Earlier theoretical insights elucidate recent direct observations. Trends Neurosci. 1998, 21, 453–460. [Google Scholar] [CrossRef]
- Ji, J.; Gao, S.; Cheng, J.; Tang, Z.; Todo, Y. An approximate logic neuron model with a dendritic structure. Neurocomputing 2016, 173, 1775–1783. [Google Scholar] [CrossRef]
- Jiang, T.; Gao, S.; Wang, D.; Ji, J.; Todo, Y.; Tang, Z. A neuron model with synaptic nonlinearities in a dendritic tree for liver disorders. IEEJ Trans. Electr. Electron. Eng. 2017, 12, 105–115. [Google Scholar] [CrossRef]
- Zhou, T.; Gao, S.; Wang, J.; Chu, C.; Todo, Y.; Tang, Z. Financial time series prediction using a dendritic neuron model. Knowl.-Based Syst. 2016, 105, 214–224. [Google Scholar] [CrossRef]
- Sekiya, Y.; Aoyama, T.; Hiroki, T.; Zheng, T. Learningpossibility that neuron model can recognize depth-rotation in three dimension. In Proceedings of the 1st International Conference on Control Automation and Systems, Tokyo, Japan, 25 July 2001; p. 149. [Google Scholar]
- Kepecs, A.; Wang, X.J.; Lisman, J. Bursting neurons signal input slope. J. Neurosci. 2002, 22, 9053–9062. [Google Scholar] [CrossRef] [PubMed] [Green Version]











| Noises | 0 Noise | 1 Noise | 5 Noises | 10 Noises | 25 Noises | 50 Noises | 100 Noises | 150 Noises |
|---|---|---|---|---|---|---|---|---|
| CNN | 99.85% | 97.89% | 59.28% | 51.42% | 38.04% | 35.42% | 30.68% | 29.38% |
| AVS | 100% | 100% | 100% | 100% | 100% | 100% | 100% | 100% |
Publisher’s Note: MDPI stays neutral with regard to jurisdictional claims in published maps and institutional affiliations. |
© 2022 by the authors. Licensee MDPI, Basel, Switzerland. This article is an open access article distributed under the terms and conditions of the Creative Commons Attribution (CC BY) license (https://creativecommons.org/licenses/by/4.0/).
Share and Cite
Ye, J.; Todo, Y.; Tang, Z.; Li, B.; Zhang, Y. Artificial Visual System for Orientation Detection. Electronics 2022, 11, 568. https://doi.org/10.3390/electronics11040568
Ye J, Todo Y, Tang Z, Li B, Zhang Y. Artificial Visual System for Orientation Detection. Electronics. 2022; 11(4):568. https://doi.org/10.3390/electronics11040568
Chicago/Turabian StyleYe, Jiazhen, Yuki Todo, Zheng Tang, Bin Li, and Yu Zhang. 2022. "Artificial Visual System for Orientation Detection" Electronics 11, no. 4: 568. https://doi.org/10.3390/electronics11040568
APA StyleYe, J., Todo, Y., Tang, Z., Li, B., & Zhang, Y. (2022). Artificial Visual System for Orientation Detection. Electronics, 11(4), 568. https://doi.org/10.3390/electronics11040568

