A Tunable Constant-Absolute-Bandwidth Bandpass Filter with Switchable Ability
Abstract
1. Introduction
2. Filter Design and Analysis
2.1. Analysis of CSR
2.2. Coupling Matrix Analysis
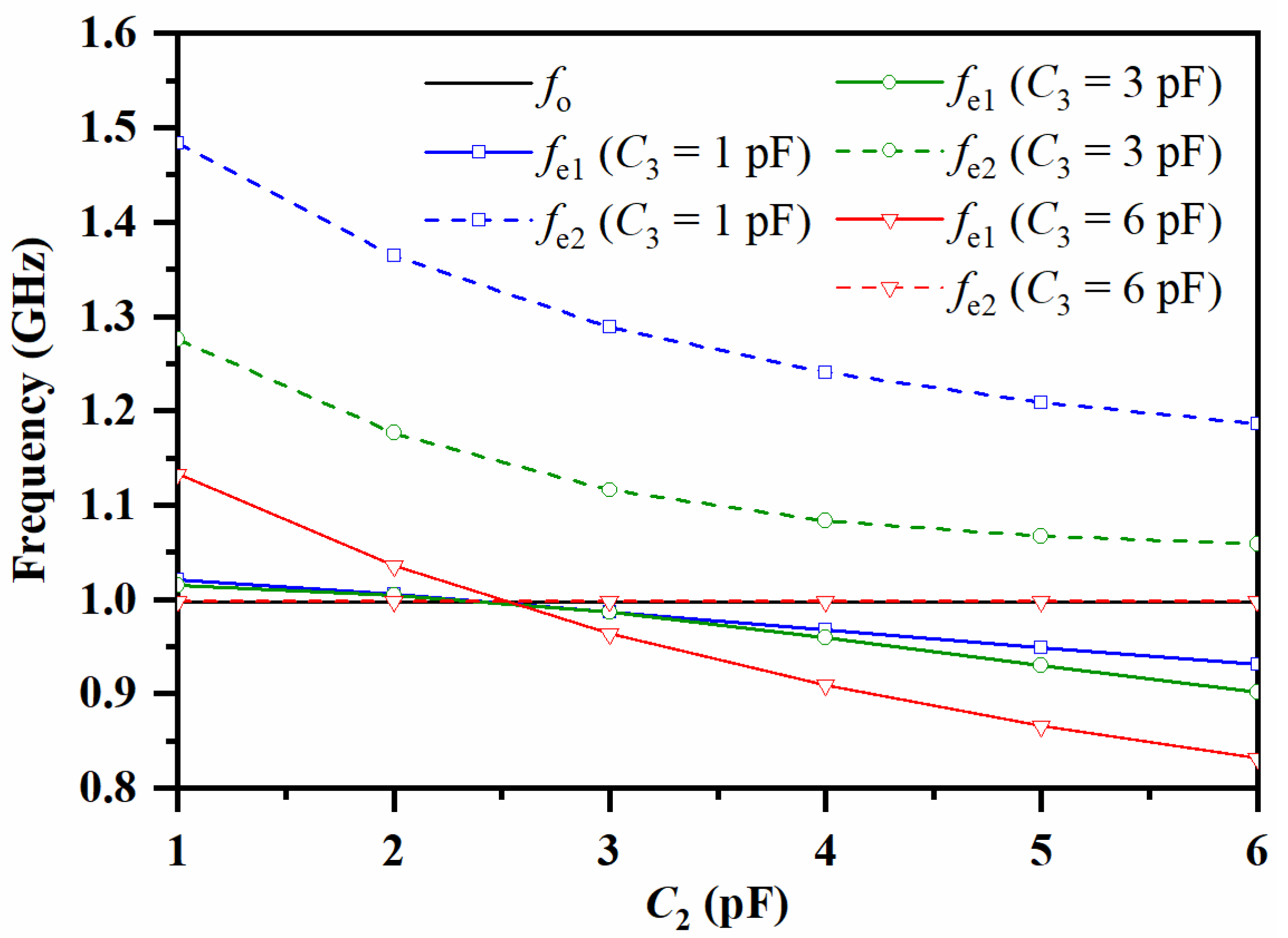
2.3. Analysis of TZs
2.4. Schematic Diagram of the Filter and the External Quality Factor
3. Experimental Verification
4. Conclusions
Author Contributions
Funding
Conflicts of Interest
References
- Brito-Brito, Z.; Llamas-Garro, I.; Pradell, L. Selectivity-tuned bandpass filter. Electron Lett. 2009, 45, 984–985. [Google Scholar] [CrossRef]
- Miller, A.; Hong, J. Wideband bandpass filter with reconfigurable bandwidth. IEEE Microw. Wireless Compon. Lett. 2010, 20, 28–30. [Google Scholar] [CrossRef]
- Chen, J.X.; Ma, Y.; Cai, J.; Zhou, L.H.; Bao, Z.H.; Che, W. Novel frequency-agile bandpass filter with wide tuning range and spurious suppression. IEEE Trans. Ind. Electron. 2015, 62, 6428–6435. [Google Scholar] [CrossRef]
- Qin, W.; Cai, J.; Li, Y.; Chen, J. Wideband tunable bandpass filter using optimized varactor-loaded SIRs. IEEE Microw. Wireless Compon. Lett. 2017, 7, 812–814. [Google Scholar] [CrossRef]
- Cheng, T.; Tam, K. A wideband bandpass filter with reconfigurable bandwidth based on cross-shaped resonator. IEEE Microw. Wireless Compon. Lett. 2017, 27, 909–911. [Google Scholar] [CrossRef]
- Cheng, F.; Li, X.T.; Lu, P.; Huang, K. A microstrip bandpass filter with 2 independently tunable transmission zeros. Microw. Opt. Technol. Lett. 2020, 62, 1951–1956. [Google Scholar] [CrossRef]
- Fan, M.; Song, K.; Fan, Y. Reconfigurable bandpass filter with wide-range bandwidth and frequency control. IEEE Trans. Circuits Syst. II Exp. Briefs 2021, 68, 1758–1762. [Google Scholar] [CrossRef]
- Sun, J.S.; Kaneda, N.; Baeyens, Y.; Itoh, T.; Chen, Y.K. Multilayer planar tunable filter with very wide tuning bandwidth. IEEE Trans. Microw. Theory Tech. 2011, 59, 2864–2871. [Google Scholar] [CrossRef]
- Guyette, A.C. Intrinsically switched varactor-tuned filters and filter banks. IEEE Trans. Microw. Theory Tech. 2012, 60, 1044–1056. [Google Scholar] [CrossRef]
- Cho, Y.H.; Rebeiz, G.M. Tunable 4-pole noncontiguous 0.7–2.1-GHz bandpass filters based on dual zero-value couplings. IEEE Trans. Microw. Theory Tech. 2015, 63, 1579–1586. [Google Scholar] [CrossRef]
- Lin, F.; Rais-Zadeh, M. Continuously tunable 0.55–1.9-GHz bandpass filter with a constant bandwidth using switchable varactor-tuned resonators. IEEE Trans. Microw. Theory Tech. 2017, 65, 792–803. [Google Scholar] [CrossRef]
- Zhang, Y.; Cai, J.; Chen, J. Design of novel reconfigurable filter with simultaneously tunable and switchable passband. IEEE Access 2019, 7, 59708–59715. [Google Scholar] [CrossRef]
- Yang, T.; Rebeiz, G.M. Tunable 1.25-2.1-GHz 4-pole bandpass filter with intrinsic transmission zero tuning. IEEE Trans. Microw. Theory Tech. 2015, 63, 1569–1578. [Google Scholar] [CrossRef]
- Psychogiou, D.; Gómez-García, R.; Peroulis, D. Tune-all RF planar duplexers with intrinsically switched channels. IEEE Microw. Wireless Compon. Lett. 2017, 27, 350–352. [Google Scholar] [CrossRef]
- Psychogiou, D.; Gómez-García, R.; Peroulis, D. Fully-reconfigurable bandpass/bandstop filters and their coupling-matrix representation. IEEE Microw. Wireless Compon. Lett. 2016, 26, 22–24. [Google Scholar] [CrossRef]
- Gómez-García, R.; Muñoz-Ferreras, J.; Psychogiou, D. Dual-behavior resonator-based fully reconfigurable input reflectionless bandpass filters. IEEE Microw. Wireless Compon. Lett. 2019, 29, 35–37. [Google Scholar] [CrossRef]
- Serrano, A.L.C.; Correra, F.S.; Vuong, T.P.; Ferrari, P. Synthesis methodology applied to a tunable patch filter with independent frequency and bandwidth control. IEEE Trans. Microw. Theory Tech. 2012, 60, 484–493. [Google Scholar] [CrossRef]
- Lu, D.; Tang, X.; Barker, N.S.; Yan, T. Synthesis-applied highly selective tunable dual-mode BPF with element-variable coupling matrix. IEEE Trans. Microw. Theory Tech. 2018, 66, 1804–1816. [Google Scholar] [CrossRef]
- Chi, P.L.; Yang, T.; Tsai, T.Y. A fully tunable two-pole bandpass filter. IEEE Microw. Wireless Compon. Lett. 2015, 25, 292–294. [Google Scholar] [CrossRef]
- Kumar, N.; Singh, Y.K. Compact constant bandwidth tunable wideband BPF with second harmonic suppression. IEEE Microw. Wireless Compon. Lett. 2016, 26, 870–872. [Google Scholar] [CrossRef]
- Chen, C.F.; Wang, G.Y.; Li, J.J. Microstrip switchable and fully tunable bandpass filter with continuous frequency tuning range. IEEE Microw. Wireless Compon. Lett. 2018, 28, 500–502. [Google Scholar] [CrossRef]
- Zhang, X.Y.; Xue, Q.; Chan, C.H.; Hu, B.J. Low-loss frequency-agile bandpass filters with controllable bandwidth and suppressed second harmonic. IEEE Trans. Microw. Theory Tech. 2010, 58, 1557–1564. [Google Scholar] [CrossRef]
- Cai, J.; Chen, J.X.; Zhang, X.F.; Yang, Y.J.; Bao, Z.H. Electrically varactor-tuned bandpass filter with constant bandwidth and self-adaptive transmission zeros. IET Microw. Antennas Propag. 2017, 11, 1542–1548. [Google Scholar] [CrossRef]
- Jung, M.; Min, B.W. A widely tunable compact bandpass filter based on a switched varactor tuned resonator. IEEE Access 2019, 7, 95178–95185. [Google Scholar] [CrossRef]
- Hookari, M.; Roshani, S.; Roshani, S. Design of a low pass filter using rhombus-shaped resonators with an analytical LC equivalent circuit. Turk. J. Electr. Eng. Comp. Sci. 2020, 28, 865–874. [Google Scholar] [CrossRef]
- Tang, W.; Hong, J.S. Varactor-tuned dual-mode bandpass filters. IEEE Trans. Microw. Theory Tech. 2010, 58, 2213–2219. [Google Scholar] [CrossRef]
- Lu, D.; Tang, X.; Barker, N.S.; Feng, Y. Single-band and switchable dual-/single-band tunable BPFs with predefined tuning range, bandwidth, and selectivity. IEEE Trans. Microw. Theory Tech. 2018, 66, 1215–1227. [Google Scholar] [CrossRef]
- Cameron, R.J. Advanced coupling matrix synthesis techniques for microwave filters. IEEE Trans. Microw. Theory Tech. 2003, 51, 1–10. [Google Scholar] [CrossRef]
- Ma, Y.L.; Che, W.; Chen, J.X.; Feng, W. High selectivity balanced bandpass filter with tunable bandwidth using stub-loaded resonator. Prog. Electromagn. Res. Lett. 2015, 55, 89–95. [Google Scholar] [CrossRef]













| Parameter | Value (mm) | Parameter | Value (mm) |
|---|---|---|---|
| l1 | 31.6 | w1 | 0.5 |
| l2 | 33.6 | w2 | 1.5 |
| l3 | 19.2 | w3 | 1.5 |
| l4 | 28.8 | w4 | 0.5 |
| s | 0.18 | w5 | 1.1 |
| Ref No. | Filter Order | Number of Control Voltages | IL in Passband (dB) | Off-State | Isolation in Off-State (dB) | Size |
|---|---|---|---|---|---|---|
| [20] | 2 | 3 | 1.2–2.3 | No | - | 0.0042 |
| [23] | 2 | 1 | 1.34–2.92 | No | - | 0.0224 |
| [12] | 2 | 3 | 2.52–4.08 | Yes | >43 | 0.0183 |
| [17] | 2 | 2 | 1–3 | Yes | >10 | 0.0121 |
| [18] | 2 | 4 | ≤3.8 | Yes | >20 | 0.0211 |
| This work | 3 | 3 | 2.2–2.5 | Yes | >27 | 0.0162 |
Publisher’s Note: MDPI stays neutral with regard to jurisdictional claims in published maps and institutional affiliations. |
© 2022 by the authors. Licensee MDPI, Basel, Switzerland. This article is an open access article distributed under the terms and conditions of the Creative Commons Attribution (CC BY) license (https://creativecommons.org/licenses/by/4.0/).
Share and Cite
Du, T.; Wei, D.; Zhang, P.; Guan, B.; Gu, Y. A Tunable Constant-Absolute-Bandwidth Bandpass Filter with Switchable Ability. Electronics 2022, 11, 1047. https://doi.org/10.3390/electronics11071047
Du T, Wei D, Zhang P, Guan B, Gu Y. A Tunable Constant-Absolute-Bandwidth Bandpass Filter with Switchable Ability. Electronics. 2022; 11(7):1047. https://doi.org/10.3390/electronics11071047
Chicago/Turabian StyleDu, Tiejun, Dujuan Wei, Pengquan Zhang, Boran Guan, and Yue Gu. 2022. "A Tunable Constant-Absolute-Bandwidth Bandpass Filter with Switchable Ability" Electronics 11, no. 7: 1047. https://doi.org/10.3390/electronics11071047
APA StyleDu, T., Wei, D., Zhang, P., Guan, B., & Gu, Y. (2022). A Tunable Constant-Absolute-Bandwidth Bandpass Filter with Switchable Ability. Electronics, 11(7), 1047. https://doi.org/10.3390/electronics11071047

