Benefits of Monthly Storage Rates in Shared Storage for Energetic Communities †
Abstract
1. Introduction
1.1. Related Studies
1.2. Lack of Research
1.3. Scope of This Work
- What are the benefits of a monthly adaptation in storage size for households and storage operators? The first objective of this article focused on the added value of CES in comparison to HES. While HES operators deal with the issue of required storage size over a long period, community storage operators can offer storage capacity to their customers in a much more targeted way. This offers on the one hand the possibility of changing clients’ storage rates across the months, depending on their needs. On the other hand, however, additional revenue generated by a secondary use of the available storage space is only possible after a certain period of time has elapsed. As a result, market potential is determined for a monthly fixed storage rate based on households’ self-consumption optimisation. There are indicators to show the benefit of monthly storage rates for both the households and the storage operators. These include the self-sufficiency rate (SSR), the self-consumption rate (SCR) and the potential storage share for SU on a monthly and daily basis.
- How much storage is needed for different types of households for self-consumption optimisation on a monthly basis? The main purpose of CES is to temporarily store the locally-generated PV energy, optimising all the households’ self-sufficiency in the district. Within the scope of the work, a multiple linear regression model was used to determine the storage space required for various types of HHs in a CES on a monthly basis. The annual storage space was also determined in order to compare the monthly and yearly storage rate. The idea was to estimate the monthly storage rate required by the HHs from the annual household consumption and the nominal power of the PV system. If electric vehicle charging station (EVCS) or heat pump (HP) are installed, both variables were also taken into account when determining the relevant storage rate. The results obtained for monthly HH storage rate can be used to reliably determine the size of CES for a variety of communities.
2. Method
2.1. Household’s Storage Rate‘s Calculation
2.1.1. Data
2.1.2. Generation and Consumption Profiles
2.1.3. Storage Rate‘s Calculation
- Yearly Storage Rate () The yearly storage rate is shown as a comparative value and represents the mean value of the daily storage rates. It is determined as the mean value of the daily storage rate of a year Y.
- Monthly Storage Rate (): The monthly storage rate represents the target of the contribution and is determined as the average storage rate per month m. Based on the daily storage rate of the households, the monthly storage rate can be determined from the relevant daily storage space by determining the mean value of all days in a month.
- Daily Storage Rate (): The daily storage rate represents the highest flexibility, but is difficult to realise for the storage operator. It has been already determined in (1) and subsequently used as a reference.
2.2. Determination of Added Value for Households and Storage Operators
2.2.1. Added Value for Households
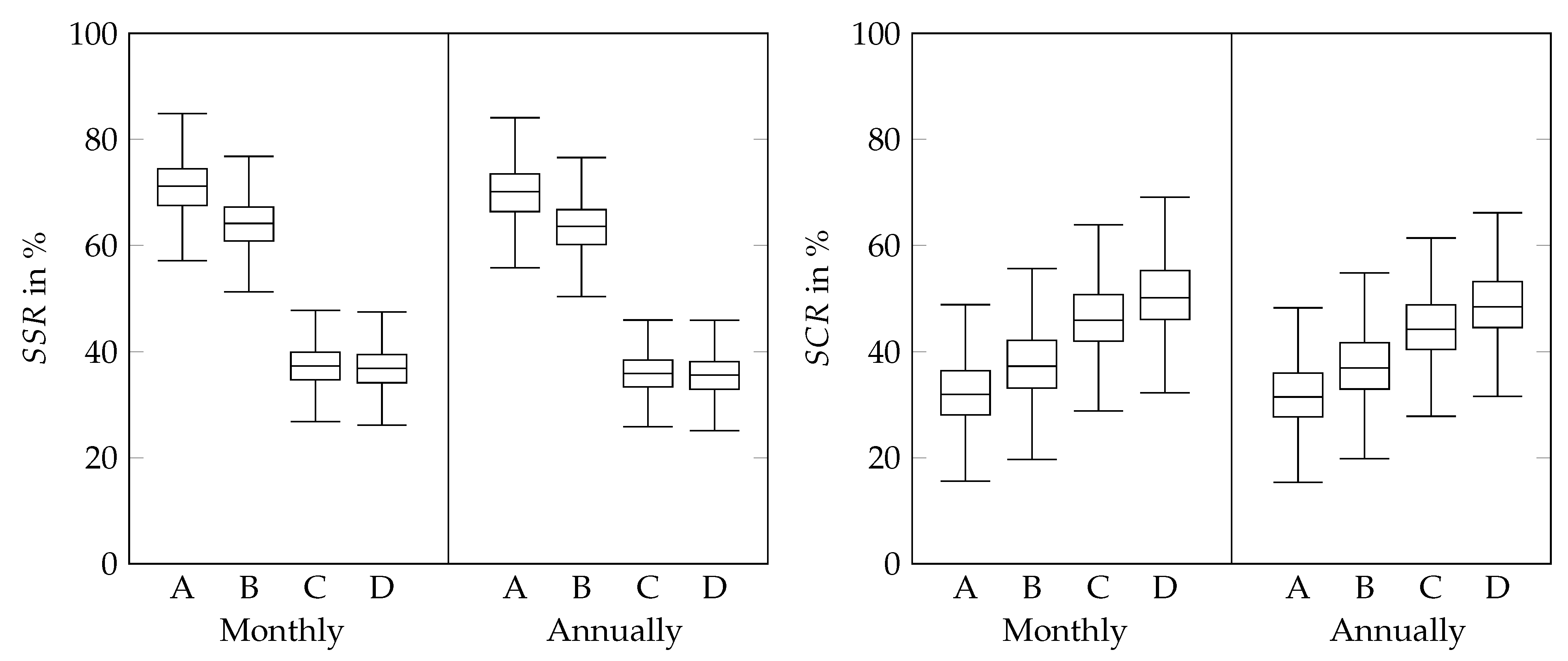
- Self-Sufficiency Rate (): The degree of self-sufficiency describes the amount of self-consumption in relation to total electricity consumption.
- Self-Consumption Rate (): The degree of self-consumption describes the amount of self-consumption in relation to total electricity generation.
2.2.2. Added Value for Storage Operators
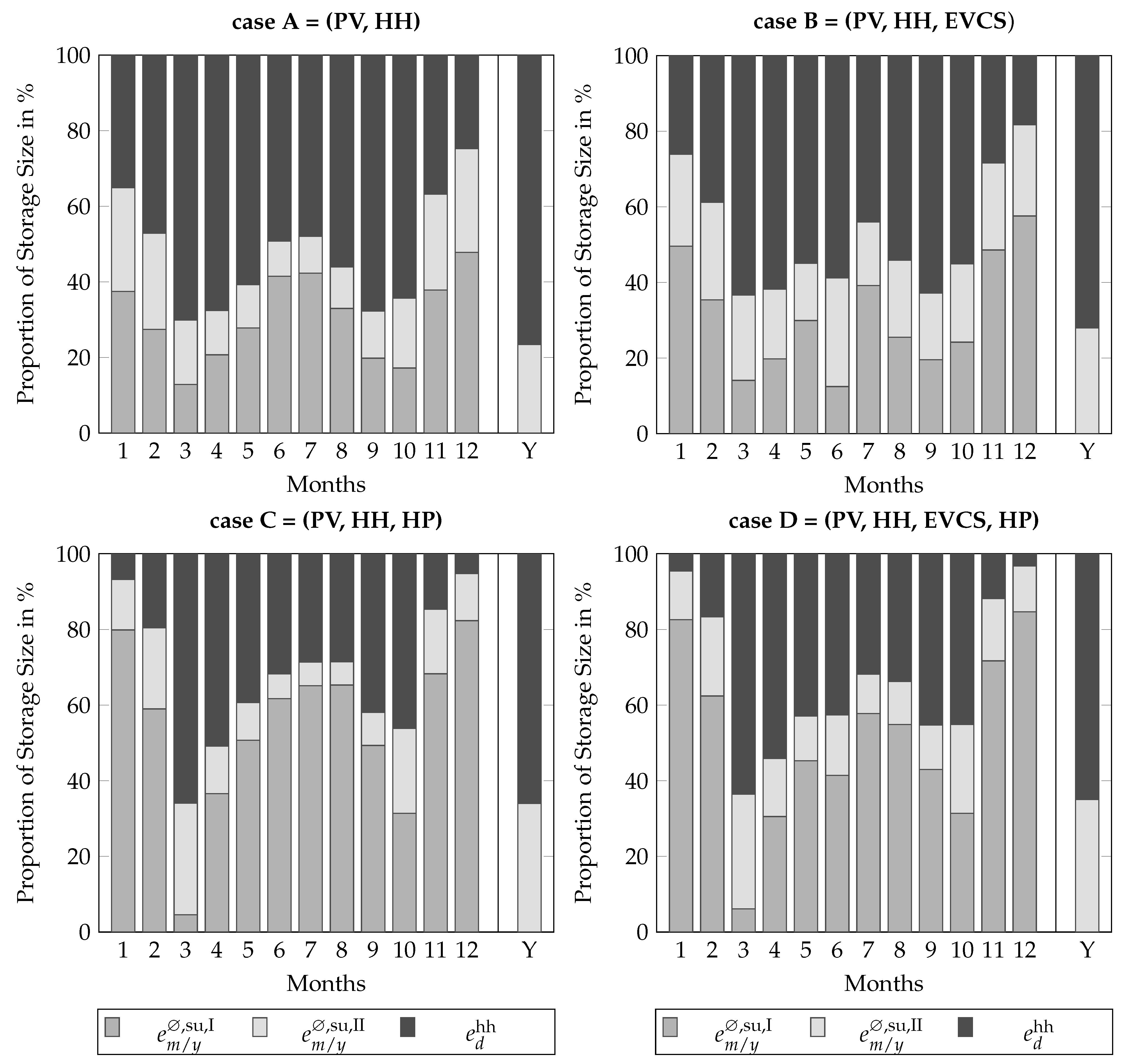
- Monthly Secondary Use Potential (SU,I): Denotes the share that is not used by HHs because of the monthly storage rate. Equation (7) determines the available storage per month for SU,I. To do this, it is important to know the month with the highest storage rate for HHs’ self-consumption. Afterwards, can be calculated in each month m as the maximum monthly storage space minus the actual one. Note that the annual amount of is zero, because there are no monthly variations.
- Daily Secondary Use Potential (SU,II): Denotes the exceeded proportion of the daily storage rate. It can be determined by the storage rate in each day according to (8). Daily storage space is identified from the difference between the locked storage space or and actual storage rate . The excess storage space is zero if the household exhausts its available storage rate on that day. If the resident requires less storage (due to low PV feed-in or low consumption), the exceed proposition is available for the storage operator and can be used.
2.3. Determination of Storage Rate Using Multiple Linear Regression Coefficients
3. Results and Discussion
3.1. Monthly and Annual Household’s Storage Rate‘s Calculation
3.2. Determination of Added Value for Households and Storage Operators
3.2.1. Determination of Added Value for Households
3.2.2. Determination of Added Value for Storage Operators
3.3. Multiple Linear Regressors for Household’s Storage Rate’s Calculation
3.3.1. Yearly Storage Calculation
3.3.2. Monthly Storage Calculation
3.3.3. Evaluation and Comparison of Regression Results
4. Conclusions
Author Contributions
Funding
Data Availability Statement
Acknowledgments
Conflicts of Interest
Abbreviations
| CES | Community energy storages | ||
| EMS | Energy management system | ||
| EV | Electric vehicle | ||
| EVCS | Electric vehicle charging station | ||
| HES | Home energy storages | ||
| HH | Household | ||
| HP | Heat pump | ||
| MILP | Mixed integer linear programming | ||
| PCR | Primary control reserve | ||
| PV | Photovoltaic | ||
| PVGIS | Photovoltaic geographical information system | ||
| RL | Reinforcement learning | ||
| SCR | Self consumption rate | ||
| SIMSES | Simulation of stationary energy storage system | ||
| SOC | State of charge | ||
| SSR | Self sufficiency rate | ||
| SU | Secondary use | ||
| Variables | |||
| Regressor [in p.u.] | |||
| Estimated regressor | |||
| e | Energy [in kWh] | ||
| Estimated energy [in kWh] | |||
| p | Power [in kWh] | ||
| Self-sufficiency rate [in %] | |||
| Self-consumption rate [in %] | |||
| y | Dependent variable for multiple linear regression [in p.u.] | ||
| Independent variable [in p.u.] | |||
| Residuum [in p.u.] | |||
| Time step [in min] | |||
| Indices | |||
| t | Time | ||
| Day | |||
| Month | |||
| Year | |||
| c | Consumption | ||
| dc | Direct consumption | ||
| evcs | Electric vehicle charging station | ||
| hh | Houshold | ||
| p | Production | ||
| pv | photovoltaic | ||
| r | Rated | ||
| su | Secondary use | ||
References
- Verband der Elektrotechnik Elektronik Informationstechnik e.V. (VDE). VDE Study: “The Cellular Approach”; VDE/ETG Publication: Frankfurt, Germany, 2015. [Google Scholar]
- Bayer, J.; Bögl, J.; Benz, T. Zellulares Energiesystem–Ein Beitrag zur Konkretisierung des Zellularen Ansatzes mit Handlungs-Empfehlungen; VDE-Technical Report; VDE-Energietechnische Gesellschaft (ETG): Frankfurt, Germany, 2019. [Google Scholar]
- Wawer, T.; Griese, K.; Halstrup, D.; Ortmann, M. Community Electricity Storage: Current Challenges and Business Models in Germany. Z. Energ. 2008, 42, 225–234. [Google Scholar] [CrossRef]
- Marczinkowski, H.M.; Østergaard, P.A. Residential versus communal combination of photovoltaic and battery in Smart Energy Systems. Energy 2018, 152, 466–475. [Google Scholar] [CrossRef]
- Knoeffel, J.; Herrmann, B. Technisch-Ökonomische Bewertung von Quartierspeichern; Working Paper ESQUIRE Project; Esquire: Berlin, Germany, 2021; Available online: https://www.esquire-projekt.de/fileadmin/esquire/Datein/Knoefel_Herrmann_2021_Technisch_oekonomische_Bewertung_von_Quartierspeichern.pdf (accessed on 1 March 2023).
- Meisenzahl, K.; Waffenschmidt, E. District Battery for Optimized Use of Photovoltaic Energy. In Proceedings of the 14th International Renewable Energy Storage Conference 2020 (IRES 2020), Online, 25–26 May 2020. [Google Scholar] [CrossRef]
- Wiesenthal, J.; Schnabel, F. Multi-use of Community Energy Storage. In Proceedings of the 15th International Renewable Energy Storage Conference 2021 (IRES 2021), Online, 16–18 March 2021. [Google Scholar] [CrossRef]
- Englberger, S.; Jossen, A.; Hesse, H. Unlocking the Potential of Battery Storage with the Dynamic Stacking of Multiple Applications. Cell Rep. Phys. Sci. 2020, 1, 100238. [Google Scholar] [CrossRef]
- Elkazaz, M.; Sumner, M.; Naghiyev, E.; Hua, Z.; Thomas, D.W.P. Techno-economic sizing of a community battery to provide community energy billing and additional ancillary services. Sustain. Energy Grids Netw. 2021, 26, 100439. [Google Scholar] [CrossRef]
- Dong, S.; Kremers, E.; Brucoli, M.; Rothman, R.; Brown, S. Improving the feasibility of household and community energy storage: A techno-enviro-economic study for the UK. Renew. Sustain. Energy Rev. 2020, 1310, 110009. [Google Scholar] [CrossRef]
- Englberger, S.; Hesse, H.; Hanselmann, N.; Jossen, A. SimSES Multi-Use: A simulation tool for multiple storage system applications. In Proceedings of the 2019 16th International Conference on the European Energy Market (EEM), Ljubljana, Slovenia, 18–20 September 2019. [Google Scholar] [CrossRef]
- Nourai, A.; Schafer, C. Changing the electricity game. IEEE Power Energy Mag. 2009, 7, 42–47. [Google Scholar] [CrossRef]
- Sardi, J.; Mithulananthan, N.; Gallagher, M.; Hung, D.Q. Multiple community energy storage planning in distribution networks using a cost-benefit analysis. Appl. Energy 2017, 190, 453–463. [Google Scholar] [CrossRef]
- Zhu, W.; Garrett, D.; Butkowski, J.; Wang, Y. Overview of distributive energy storage systems for residential communities. In Proceedings of the 2012 IEEE Energytech, Cleveland, OH, USA, 29–31 May 2012; pp. 1–6. [Google Scholar] [CrossRef]
- Parra, D.; Walker, G.; Gillott, M. Modeling of PV generation, battery and hydrogen storage to investigate the benefits of energy storage for single dwelling. Sustain. Cities Soc. 2014, 10, 1–10. [Google Scholar] [CrossRef]
- Van der Stelt, S.; AlSkaif, T.; Van Sark, W. Techno-economic analysis of household and community energy storage for residential prosumers with smart appliances. Appl. Energy 2018, 209, 266–267. [Google Scholar] [CrossRef]
- Mignoni, N.; Scarabaggio, P.; Carli, R.; Dotoli, M. Control frameworks for transactive energy storage services in energy communities. Control. Eng. Pract. 2023, 130, 105364. [Google Scholar] [CrossRef]
- Dai, R.; Esmaeilbeigi, R.; Charkhgard, H. The Utilization of Shared Energy Storage in Energy Systems: A Comprehensive Review. IEEE Trans. Smart Grid 2021, 12, 3163–3174. [Google Scholar] [CrossRef]
- Venkatesan, K.; Govindarajan, U. Optimal power flow control of hybrid renewable energy system with energy storage: A WOANN strategy. J. Renew. Sustain. Energy 2019, 11, 015501. [Google Scholar] [CrossRef]
- Zeh, A.; Müller, M.; Naumann, M.; Hesse, H.C.; Jossen, A.; Witzmann, R. Fundamentals of Using Battery Energy Storage Systems to Provide Primary Control Reserves in Germany. Batteries 2016, 2, 29. [Google Scholar] [CrossRef]
- Schnabel, F.; Kreidel, K. Ökonomische Rahmenbedingungen für Quartierspeicher; Working Paper ESQUIRE Project; Esquire: Berlin, Germany, 2018; Available online: https://www.esquire-projekt.de/fileadmin/esquire/Datein/Schnabel_Arbeitspapier_%C3%B6konom._Rahmenbedingungen_Esquire.pdf (accessed on 1 March 2023).
- HTW Berlin: Unabhängigkeitsrechner. Available online: https://solar.htw-berlin.de/rechner/unabhaengigkeitsrechner/ (accessed on 28 February 2023).
- SENEC. Available online: https://www.speicher-rechnen.de/ (accessed on 28 February 2023).
- HagerEnergy GmbH Osnabrück: E3/DC System Calculator. Available online: https://www.e3dc.com/konfigurator/ (accessed on 28 February 2023).
- VARTA AG: Heimspeichersysteme Berechnungstool. Available online: https://www.varta-ag.com/de/konsument/produktkategorien/energiespeicher/berechnungstool (accessed on 28 February 2023).
- Hesse, H.C.; Martins, R.; Musilek, P.; Naumann, M.; Truong, C.N.; Jossen, A. Economic Optimization of Component Sizing for Residential Battery Storage Systems. Energies 2017, 10, 835. [Google Scholar] [CrossRef]
- Khezri, R.; Mahmoudi, A.; Aki, H. Optimal planning of solar photovoltaic and battery storage systems for grid-connected residential sector. Review, challenges and new perspectives. Renew. Sustain. Energy Rev. 2022, 153, 111763. [Google Scholar] [CrossRef]
- Orth, N.; Weniger, J.; Meissner, L. Empfehlungen zur Auslegung von Solarstromspeichern: Welche Faustformeln helfen bei der Wahl der passenden Batteriekapazität in Einfamilienhäusern mit Photovoltaikanlagen? Sonnenenergie 2022, 2, 16–17. [Google Scholar]
- Waffenschmidt, E.; Paulzen, T.; Stankiewicz, A. Common Battery Storage for an Area with Residential Houses. In Proceedings of the 13th International Renewable Energy Storage Conference 2019 (IRES 2019), Düsseldorf, Germany, 12–15 March 2019. [Google Scholar]
- Barbour, E.; Parra, D.; Awwad, Z.; González, M.C. Community energy storage: A smart choice for the smart grid? Appl. Energy 2018, 212, 489–497. [Google Scholar] [CrossRef]
- Guan, C.; Wang, Y.; Lin, X.; Nazarian, S.; Pedram, M. Reinforcement learning-based control of residential energy storage systems for electric bill minimization. In Proceedings of the 2015 12th Annual IEEE Consumer Communications and Networking Conference (CCNC), Las Vegas, NV, USA, 9–12 January 2015; pp. 637–642. [Google Scholar] [CrossRef]
- Long, C.; Wu, J.; Zhang, C.; Cheng, M.; Al-Wakeel, A. Feasibility of Peer-to-Peer Energy Trading in Low Voltage Electrical Distribution Networks. Energy Procedia 2017, 105, 2227–2232. [Google Scholar] [CrossRef]
- Cai, W.; Kordabad, A.; Gros, S. Energy management in residential microgrid using model predictive control-based reinforcement learning and Shapley value. Eng. Appl. Artif. Intell. 2023, 119, 105793. [Google Scholar] [CrossRef]
- AlSkaif, T.; Luna, A.C.; Zapata, M.G.; Guerrero, J.M.; Bellalta, B. Reputation-based joint scheduling of households appliances and storage in a microgrid with a shared battery. Energy Build. 2017, 138, 228–239. [Google Scholar] [CrossRef]
- Böhringer, M.; Kharrat, A.; Hanson, J.; Petermann, D.; Büchau, N.; Hein, C.; Baumann, S.; Preusche, C. Dimensioning of Community Energy Storages for Multi-Use Purposes using Households’ Storage Requirements. In Proceedings of the 57th International Universities Power Engineering Conference (UPEC), Istanbul, Turkey, 30 August–2 September 2022. [Google Scholar] [CrossRef]
- Tjaden, T.; Bergner, J.; Weniger, J.; Quaschning, V. Repräsentative Elektrische Lastprofile für Wohngebäude in Deutschland auf 1-sekündiger Datenbasis. Available online: https://pvspeicher.htw-berlin.de/veroeffentlichungen/daten/lastprofile/ (accessed on 28 February 2023).
- Huld, T.; Müller, R.; Gambardella, A. A new solar radiation database for estimating PV performance in Europe and Africa. Sol. Energy 2012, 86, 1803–1815. [Google Scholar] [CrossRef]
- Meinecke, S.; Sarajlić, D.; Drauz, S.R.; Klettke, A.; Lauven, L.-P.; Rehtanz, C.; Moser, A.; Braun, M. SimBench—A Benchmark Dataset of Electric Power Systems to Compare Innovative Solutions Based on Power Flow Analysis. Energies 2020, 13, 3290. [Google Scholar] [CrossRef]
- Böhringer, M.; Kharrat, A.; Steppan, R.; Schweinsberg, C.; Niersbach, B.; Hanson, J. Flexible Urban Medium Voltage Networks in the Darmstadt Energy Laboratory for Technology in Application (DELTA). Int. Etg Congr. 2023; accepted. [Google Scholar]
- Toutenburg, T.; Schomaker, M.; Wißmann, M. Arbeitsbuch zur Deskriptiven und Induktiven Statistik, 2nd ed.; Springer: Berlin/Heidelberg, Germany, 2009; pp. 227–241. [Google Scholar] [CrossRef]
- ENTEGA AG: Selbst Erzeugten Solarstrom Clever Zwischenspeichern. Der ENTEGA Quartierspeicher in Groß-Umstadt Macht es Möglich. Available online: https://www.entega.ag/fileadmin/downloads/quartierspeicher/ENTEGA-Quartierspeicher-komplett.pdf (accessed on 28 February 2023).






| Case | A | B | C | D | Source | Variable |
|---|---|---|---|---|---|---|
| PV | X | X | X | X | [37] | |
| HH | X | X | X | X | [36] | |
| EVCS | − | X | − | X | [38] | |
| HP | − | − | X | X | [38] |
| Case | hh 1 | hh 2 | ||||||
|---|---|---|---|---|---|---|---|---|
| A | B | C | D | A | B | C | D | |
| 73.57% | 68.08% | 36.68% | 36.68% | 74.87% | 63.67% | 37.60% | 37.18% | |
| 27.56% | 32.04% | 43.22% | 46.77% | 26.77% | 37.33% | 41.71% | 46.45% | |
| 72.90% | 67.76% | 35.33% | 35.44% | 73.39% | 63.16% | 36.16% | 35.44% | |
| 27.31% | 31.89% | 41.65% | 45.19% | 26.43% | 37.03% | 40.12% | 44.86% | |
| Case | HH 1 | HH 2 | ||||||
|---|---|---|---|---|---|---|---|---|
| A | B | C | D | A | B | C | D | |
| 24.70% | 25.32% | 53.47% | 49.97% | 22.77% | 29.25% | 52.29% | 47.44% | |
| 15.64% | 18.95% | 13.35% | 14.78% | 12.79% | 18.52% | 13.10% | 15.41% | |
| − | − | − | − | − | − | − | − | |
| 22.31% | 26.11% | 34.50% | 34.91% | 18.77% | 27.33% | 33.15% | 34.38% | |
| Case | A = (HH, PV) | B = (HH, PV, EVCS) | C = (HH, PV, HP) | D = (HH, PV, EVCS, HP) | ||||||||
|---|---|---|---|---|---|---|---|---|---|---|---|---|
| y | ||||||||||||
| Year | 0.870 | 0.123 | 0.790 | 0.158 | 0.221 | 0.534 | 0.283 | 0.282 | 0.801 | 0.107 | 0.331 | 0.182 |
| Case | A = (HH, PV) | B = (HH, PV, EVCS) | C = (HH, PV, HP) | D = (HH, PV, EVCS, HP) | ||||||||
|---|---|---|---|---|---|---|---|---|---|---|---|---|
| m | ||||||||||||
| Jan. | 0.435 | 0.284 | 0.326 | 0.332 | 0.061 | 0.084 | 0.451 | −0.119 | 0.835 | 0.067 | 0.043 | −0.136 |
| Feb. | 0.693 | 0.228 | 0.562 | 0.290 | 0.135 | −0.155 | 0.637 | 0.176 | 0.953 | 0.097 | 0.069 | 0.116 |
| Mar. | 1.121 | 0.118 | 0.991 | 0.184 | 0.251 | − | 0.666 | 1.037 | 1.157 | 0.115 | 0.150 | 0.948 |
| Apr. | 1.158 | 0.047 | 1.100 | 0.073 | 0.266 | 1.012 | 0.115 | 0.530 | 1.201 | 0.031 | 0.235 | 0.500 |
| May | 1.162 | − | 1.126 | 0.016 | 0.205 | 1.059 | 0.047 | 0.329 | 1.134 | 0.013 | 0.195 | 0.318 |
| Jun. | 0.978 | − | 0.966 | − | 0.579 | 1.027 | −0.025 | 0.232 | 0.988 | − | 0.568 | 0.210 |
| Jul. | 0.971 | − | 0.960 | − | 0.239 | 0.972 | − | 0.174 | 0.966 | − | 0.238 | 0.168 |
| Aug. | 0.994 | 0.045 | 0.957 | 0.051 | 0.338 | 1.008 | 0.036 | 0.106 | 1.042 | 0.010 | 0.335 | 0.097 |
| Sep. | 1.131 | 0.070 | 1.027 | 0.115 | 0.267 | 1.004 | 0.128 | 0.295 | 1.223 | 0.020 | 0.245 | 0.271 |
| Oct. | 0.934 | 0.179 | 0.825 | 0.230 | 0.176 | 0.387 | 0.440 | 0.601 | 1.147 | 0.069 | 0.130 | 0.556 |
| Nov. | 0.521 | 0.241 | 0.410 | 0.292 | 0.072 | − | 0.490 | 0.091 | 0.843 | 0.071 | 0.038 | 0.057 |
| Dec. | 0.313 | 0.275 | 0.227 | 0.313 | 0.061 | − | 0.422 | −0.084 | 0.719 | 0.060 | 0.042 | −0.102 |
Disclaimer/Publisher’s Note: The statements, opinions and data contained in all publications are solely those of the individual author(s) and contributor(s) and not of MDPI and/or the editor(s). MDPI and/or the editor(s) disclaim responsibility for any injury to people or property resulting from any ideas, methods, instructions or products referred to in the content. |
© 2023 by the authors. Licensee MDPI, Basel, Switzerland. This article is an open access article distributed under the terms and conditions of the Creative Commons Attribution (CC BY) license (https://creativecommons.org/licenses/by/4.0/).
Share and Cite
Böhringer, M.; Kharrat, A.; Hanson, J. Benefits of Monthly Storage Rates in Shared Storage for Energetic Communities. Electronics 2023, 12, 2222. https://doi.org/10.3390/electronics12102222
Böhringer M, Kharrat A, Hanson J. Benefits of Monthly Storage Rates in Shared Storage for Energetic Communities. Electronics. 2023; 12(10):2222. https://doi.org/10.3390/electronics12102222
Chicago/Turabian StyleBöhringer, Marcel, Achraf Kharrat, and Jutta Hanson. 2023. "Benefits of Monthly Storage Rates in Shared Storage for Energetic Communities" Electronics 12, no. 10: 2222. https://doi.org/10.3390/electronics12102222
APA StyleBöhringer, M., Kharrat, A., & Hanson, J. (2023). Benefits of Monthly Storage Rates in Shared Storage for Energetic Communities. Electronics, 12(10), 2222. https://doi.org/10.3390/electronics12102222

