Cuk PFC Converter Based on Variable Inductor
Abstract
1. Introduction
2. Operating Principle of the Conventional Cuk PFC
3. Operation Principle and Performance Analysis of Cuk PFC Converter Based on Variable Inductor
3.1. Operation Principle
3.2. Range of Inductor Variation
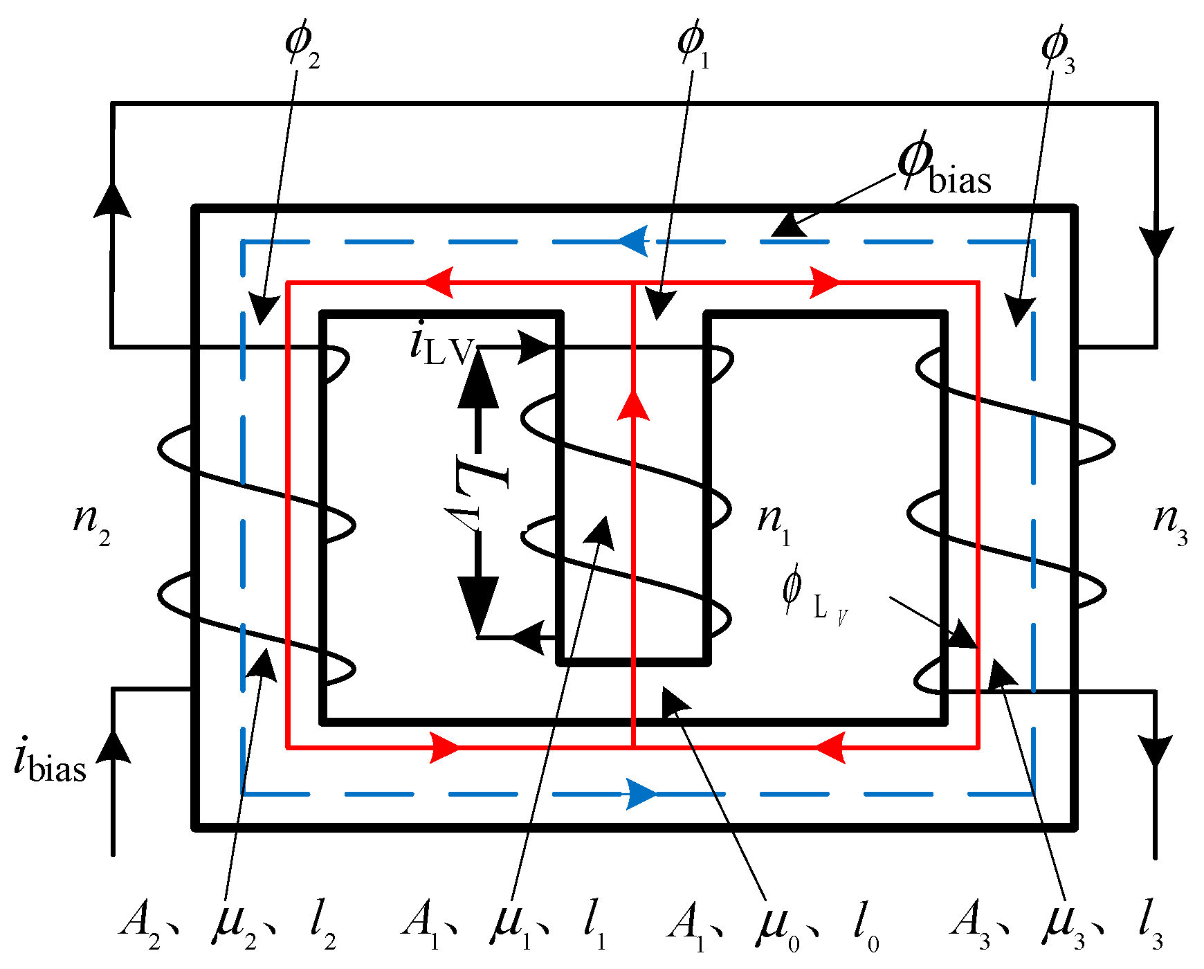
3.3. Operating Principle of Variable Inductor
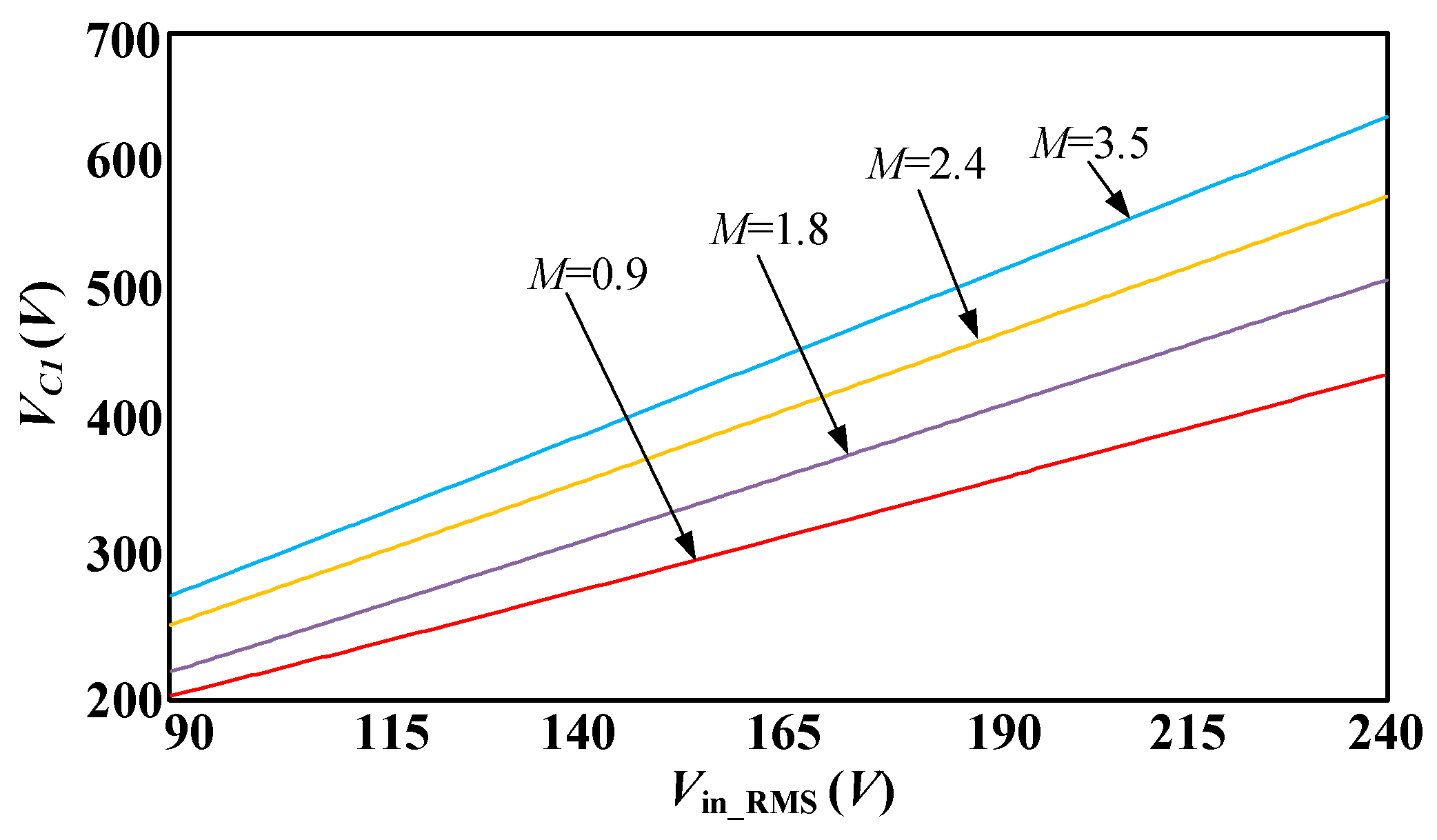
3.4. The Voltage of Intermediate Capacitor
3.5. Peak Current of Input Inductor
3.6. Conditions of Both Input and Output Inductors Operating in DCM
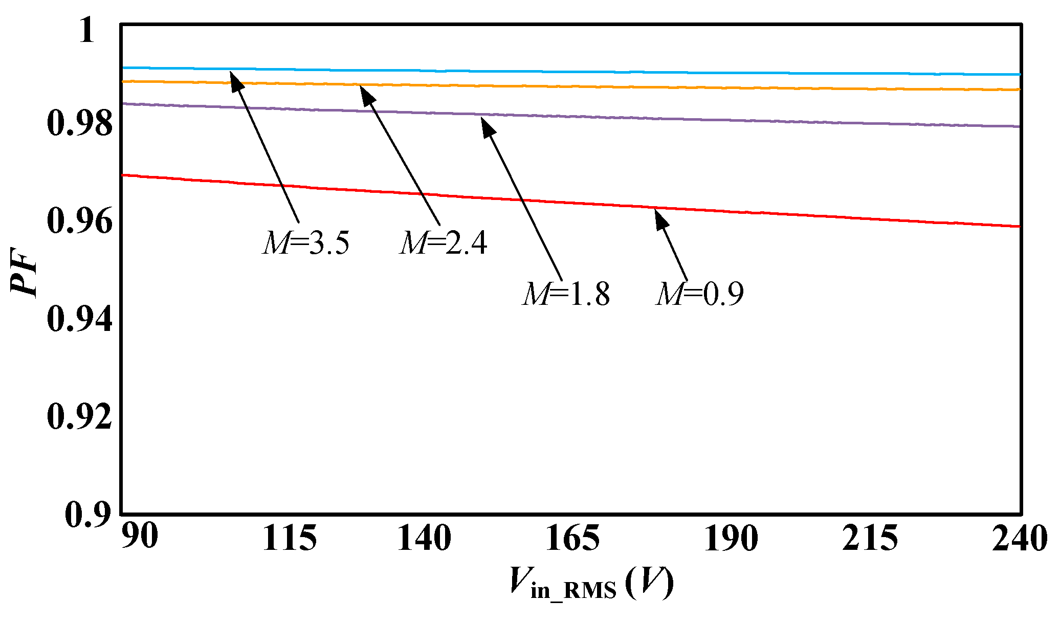
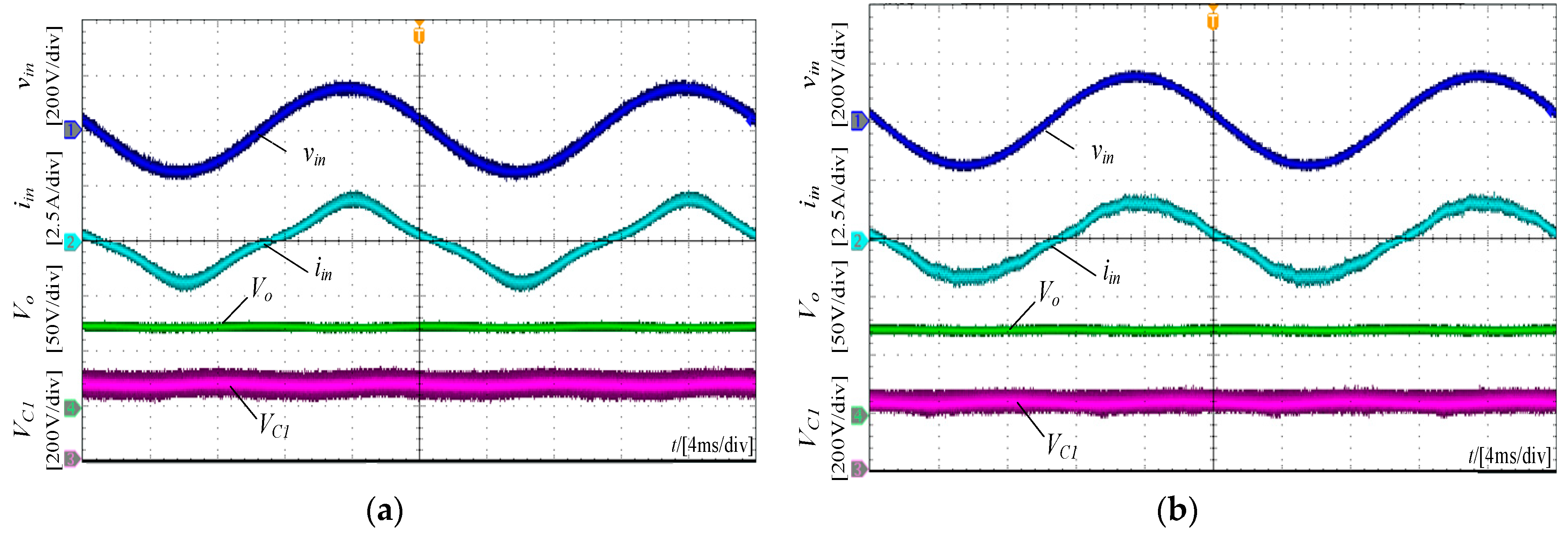
4. Experimental Results
5. Conclusions
Author Contributions
Funding
Data Availability Statement
Conflicts of Interest
References
- Qi, W.; Li, S.; Tan, S.; Hui, S. Design considerations for voltage sensorless control of a PFC single-phase rectifier without electrolytic capacitors. IEEE Trans. Ind. Electron. 2020, 67, 1878–1889. [Google Scholar] [CrossRef]
- Yao, K.; Li, J.; Shao, F.; Zhang, B. Parallel fixed switching frequency CRM and DCM Boost PFC converter with high power factor. IEEE Trans. Power Electron. 2022, 37, 3247–3258. [Google Scholar] [CrossRef]
- Baek, J.; Kim, J.; Lee, J.; Park, M.; Moon, G. A new standby structure integrated with Boost PFC converter for server power supply. IEEE Trans. Power Electron. 2019, 34, 5283–5293. [Google Scholar] [CrossRef]
- Luo, H.; Xu, J.; Luo, Y.; Sha, J. A digital pulse train controlled high power factor DCM Boost PFC converter over a universal input voltage range. IEEE Trans. Ind. Electron. 2019, 66, 2814–2824. [Google Scholar] [CrossRef]
- Cui, Y.; Han, H.; Liu, Y.; Xu, G.; Su, M.; Xie, S. An efficiency-improved single-phase PFC rectifier with active power decoupling. IEEE Trans. Power Electron. 2022, 37, 10784–10796. [Google Scholar] [CrossRef]
- Chen, Z.; Xu, J.; Liu, X.; Davari, P.; Wang, H. High power factor bridgeless integrated Buck-type PFC converter with wide output voltage range. IEEE Trans. Power Electron. 2022, 37, 12577–12590. [Google Scholar] [CrossRef]
- Liu, X.; Wan, Y.; He, M.; Zhou, Q.; Meng, X. Buck-type single-switch integrated PFC converter with low total harmonic distortion. IEEE Trans. Ind. Electron. 2021, 68, 6859–6870. [Google Scholar] [CrossRef]
- Liu, X.; Li, X.; Zhou, Q.; Xu, J. Single-inductor dual-output Buck–Boost power factor correction converter. IEEE Trans. Power Electron. 2015, 62, 943–952. [Google Scholar] [CrossRef]
- Bang, T.; Park, J. Development of a ZVT-PWM Buck cascaded Buck–Boost PFC converter of 2 kW with the widest range of input voltage. IEEE Trans. Ind. Electron. 2018, 65, 2090–2099. [Google Scholar] [CrossRef]
- Brkovic, M.; Cuk, S. Automatic current shaper with fast output regulation and soft-switching. In Proceedings of the Intelec 93: 15th International Telecommunications Energy Conference, Paris, France, 27–30 September 1993; pp. 379–386. [Google Scholar]
- Bodetto, M.; Aroudi, A.; Cid-Pastor, A.; Calvente, J.; Martínez, L. Design of AC–DC PFC high-order converters with regulated output current for low-power applications. IEEE Trans. Power Electron. 2016, 31, 2012–2025. [Google Scholar] [CrossRef]
- Ananthapadmanabha, B.; Maurya, R.; Arya, S. Improved power quality switched inductor Cuk converter for battery charging applications. IEEE Trans. Power Electron. 2018, 33, 9412–9423. [Google Scholar] [CrossRef]
- Soares, G.; Almeida, P.; Pinto, D.; Braga, H. A single-stage high efficiency long-life off-line LED driver based on the DCM Cuk converter. In Proceedings of the IECON 2012—38th Annual Conference on IEEE Industrial Electronics Society, Montreal, QC, Canada, 25–28 October 2012; pp. 4509–4514. [Google Scholar]
- Pathare, P.; Panchade, V. Power quality improvement of BLDC motor drive using Cuk PFC converter. In Proceedings of the 2020 IEEE International Conference on Computing, Power and Communication Technologies (GUCON), Greater Noida, India, 2–4 October 2020; pp. 177–181. [Google Scholar]
- Pandey, R.; Singh, B. A Power-Factor-Corrected LLC resonant converter for electric vehicle charger using Cuk converter. IEEE Trans. Ind. Appl. 2019, 55, 6278–6286. [Google Scholar] [CrossRef]
- Liu, Y.; Zhang, H.; Wang, H.; Dan, H.; Su, M.; Pan, X. Peak and valley current control for Cuk PFC converter to reduce capacitance. IEEE Trans. Power Electron. 2022, 37, 313–321. [Google Scholar] [CrossRef]
- Yang, H.; Chiang, W.; Chen, C. Implementation of bridgeless Cuk power factor corrector with positive output voltage. IEEE Trans. Ind. Appl. 2015, 51, 3325–3333. [Google Scholar] [CrossRef]
- Lin, X.; Jin, Z.; Wang, F.; Luo, J. A novel bridgeless Cuk PFC converter with further reduced conduction losses and simple circuit structure. IEEE Trans. Ind. Electron. 2021, 68, 10699–10708. [Google Scholar] [CrossRef]
- Dutta, S.; Gangavarapu, S.; Rathore, A.; Singh, R.; Mishra, S.; Khadkikar, V. Novel single-phase Cuk-derived bridgeless PFC converter for on-board EV charger with reduced number of components. IEEE Trans. Ind. Appl. 2022, 58, 3999–4010. [Google Scholar] [CrossRef]
- Perdigo, M.; Alonso, J.; Dalla Costa, M. Using magnetic regulators for the optimization of universal ballasts. IEEE Trans. Power Electron. 2008, 23, 3126–3134. [Google Scholar] [CrossRef]
- Alonso, J.; Perdigao, M.; Dalla Costa, M.; Zhang, S.; Wang, Y. Analysis and experimentation of the quad-U variable inductor for power electronics applications. IET Power Electron. 2018, 11, 2330–2337. [Google Scholar] [CrossRef]
- Perdigao, M.; Menke, M.; Seidel, A.; Pinto, R.; Alonso, J. A review on variable inductors and variable transformers: Applications to lighting drivers. IEEE Trans. Ind. Appl. 2016, 52, 531–547. [Google Scholar] [CrossRef]
- Medini, D.; Yaakov, S. A current-controlled variable-inductor for high frequency resonant power circuits. In Proceedings of the IEEE Applied Power Electronics Conference and Exposition, Orlando, FL, USA, 13–17 February 1994; pp. 219–225. [Google Scholar]
- Alonso, J.; Perdigao, M.; Abdelmessih, G.; Dalla Costa, M.; Wang, Y. SPICE modeling of variable inductors and its application to single inductor LED driver design. IEEE Trans. Ind. Appl. 2017, 64, 5894–5903. [Google Scholar] [CrossRef]
- Alonso, J.; Martinez, G.; Perdigao, M. A systematic approach to modeling complex magnetic devices using SPICE: Application to Variable Inductors. IEEE Trans. Power Electron. 2016, 31, 7735–7746. [Google Scholar] [CrossRef]
- Alonso, J.; Martinez, G.; Perdigao, M. Modeling magnetic devices using SPICE: Application to variable inductors. In Proceedings of the 2016 IEEE Applied Power Electronics Conference and Exposition (APEC), Long Beach, CA, USA, 20–24 March 2016; pp. 1115–1122. [Google Scholar]
- Saeed, S.; Garcia, J.; Perdigao, M.; Costa, V.; Baptista, B.; Mendes, A. Improved inductance calculation in variable power inductors by adjustment of the reluctance model through magnetic path analysis. IEEE Trans. Ind. Appl. 2021, 57, 1572–1587. [Google Scholar] [CrossRef]
- Perdigao, M.; Trovao, J.; Alonso, J.; Saraiva, E. Large-signal characterization of power inductors in EV bidirectional DC–DC converters focused on core size optimization. IEEE Trans. Ind. Electron. 2015, 62, 3042–3051. [Google Scholar] [CrossRef]
- Beraki, M.; Trovao, J.; Perdigao, M.; Dubois, M. Variable inductor based bidirectional DC–DC converter for electric vehicles. IEEE Trans. Veh. Technol. 2017, 66, 8764–8772. [Google Scholar] [CrossRef]
- Zhu, X. High-efficiency WPT system for CC/CV charging based on double-half-bridge inverter topology with variable inductors. IEEE Trans. Power Electron. 2022, 37, 2437–2448. [Google Scholar] [CrossRef]
- Martins, M.; Perdigao, M.; Mendes, M.; Pinto, R.; Alonso, J. Analysis, Design, and Experimentation of a dimmable resonant-switched-capacitor LED driver with variable inductor control. IEEE Trans. Power Electron. 2017, 32, 3051–3062. [Google Scholar] [CrossRef]
- Alonso, J.; Costa, M.; Rico-Secades, M. Investigation of a new control strategy for electronic ballasts based on variable inductor. IEEE Trans. Ind. Electron. 2008, 55, 3–10. [Google Scholar] [CrossRef]
- Wei, Y.; Luo, Q.; Woldegiorgis, D. Analysis of a magnetically controlled single stage LLC resonant converter. In Proceedings of the 2020 IEEE Applied Power Electronics Conference and Exposition (APEC), Orleans, LA, USA, 15–19 March 2020; pp. 1257–1263. [Google Scholar]
- Wei, Y.; Luo, Q.; Alonso, J. A magnetically controlled single-stage AC–DC converter. IEEE Trans. Power Electron. 2020, 35, 8872–8877. [Google Scholar] [CrossRef]
- Zhang, Z.; Yao, K.; Ma, C. All-fixed switching frequency control of CRM Boost PFC converter based on variable inductor in a wide input voltage range. In Proceedings of the 2019 IEEE Energy Conversion Congress and Exposition (ECCE), Baltimore, MD, USA, 29 September–3 October 2019; pp. 1434–1441. [Google Scholar]
- Yao, K.; Zhang, Z.; Yang, J. Quasi-fixed switching frequency control of CRM Boost PFC converter based on variable inductor in wide input voltage range. IEEE Trans. Power Electron. 2020, 36, 1814–1827. [Google Scholar] [CrossRef]
- Yao, Y.; Liu, J.; Zhu, D.; Jin, Z. High power factor CRM Boost PFC converter with optimum switching frequency variation range control based on variable inductor. IEEE Trans. Power Electron. 2021, 36, 11019–11025. [Google Scholar] [CrossRef]
- Hidalgo, H.; Vázquez, N.; Orosco, R.; Huerta-Ávila, H.; Pinto, S.; Estrada, L. Floating interleaved Boost converter with zero-ripple input current using variable inductor. Technologies 2023, 11, 21. [Google Scholar] [CrossRef]
- Choi, S.; Shin, J.; Imaoka, J.; Yamamoto, M. Voltage-controlled variable inductor for fixed-frequency critical conduction mode operation. IEEE Trans. Ind. Electron. 2023, 70, 5707–5716. [Google Scholar] [CrossRef]






















| Symbol | Design Parameter | Value |
|---|---|---|
| Vin_RMS | RMS input voltage | 90~240 V |
| fL | Grid frequency | 50 Hz |
| Vo | Rated output voltage | 72 V |
| Io | Rated output current | 1.5 A |
| fs | Switch frequency | 67 kHz |
| n1: n2: n3 | n1: n2: n3 (EI40 core) | 24:95:95 |
| LV | Variable inductor (proposed Cuk PFC) | 75 μH~410 μH |
| L1 | Input inductor (conventional Cuk PFC) | 75 μH |
| L2 | Output inductor | 180 μH |
| C1 | Intermediate capacitor | 200 μF |
| Co | Output capacitors | 200 μF |
| D1, D2 | Diodes | STTH12R06FP |
| S1 | Main switch | FCP190N60 |
| S2 | Time-multiplexing output control switches | FDD86367 |
Disclaimer/Publisher’s Note: The statements, opinions and data contained in all publications are solely those of the individual author(s) and contributor(s) and not of MDPI and/or the editor(s). MDPI and/or the editor(s) disclaim responsibility for any injury to people or property resulting from any ideas, methods, instructions or products referred to in the content. |
© 2023 by the authors. Licensee MDPI, Basel, Switzerland. This article is an open access article distributed under the terms and conditions of the Creative Commons Attribution (CC BY) license (https://creativecommons.org/licenses/by/4.0/).
Share and Cite
Yan, T.; Chen, T.; Huang, A.; Chen, W.; Cao, T. Cuk PFC Converter Based on Variable Inductor. Electronics 2023, 12, 2245. https://doi.org/10.3390/electronics12102245
Yan T, Chen T, Huang A, Chen W, Cao T. Cuk PFC Converter Based on Variable Inductor. Electronics. 2023; 12(10):2245. https://doi.org/10.3390/electronics12102245
Chicago/Turabian StyleYan, Tiesheng, Tong Chen, Ao Huang, Wenyuan Chen, and Taiqiang Cao. 2023. "Cuk PFC Converter Based on Variable Inductor" Electronics 12, no. 10: 2245. https://doi.org/10.3390/electronics12102245
APA StyleYan, T., Chen, T., Huang, A., Chen, W., & Cao, T. (2023). Cuk PFC Converter Based on Variable Inductor. Electronics, 12(10), 2245. https://doi.org/10.3390/electronics12102245
