HD/FD Cooperative NOMA under UAV Deployment for a Novel Disaster-Management Model
Abstract
1. Introduction
Related Works and Contributions
- A UAV-HDR/FDR-NOMA system model is developed in the downlink where the direct connectivity between the active BS and the far user located in the disaster-affected region does not exist.
- A UAV is deployed which works in dual mode, i.e., as a near user to receive its own signal from the active BS, such as for video surveillance in the disaster-affected region, and as an HD/FD relay to transfer the signal for the far-user from the same BS via UAV.
- The generalized outage probability and throughput performance expressions are derived over the WD fading channel. In addition, self-loop interference is also incorporated for the same performance aspect.
- The optimal locations of the UAV from the BS in the UAV-HDR/FDR-NOMA systems under different fading conditions over the WD channel are determined with the help of numerical simulations analysis of derived expressions in order to obtain either the maximum far-user throughput or fair throughput by both users.
- Finally, the analytical results are validated by running numerical simulations and compared with conventional downlink OMA systems.
2. The System Model
3. System Performance
3.1. Outage Probability
3.1.1. Outage Probability of U1
3.1.2. Outage Probability of U2
3.2. Throughput
3.2.1. Throughput Analysis for UAV-FDR-NOMA
3.2.2. Throughput Analysis for UAV-HDR-NOMA
4. Simulations and Performance Evaluation Results
4.1. Comparison between UAV-HDR/FDR-Based NOMA and OMA over Special Case of Weibull Fading for B=2 (Rayleigh Fading)
4.2. Comparison between UAV-HDR/FDR Based-NOMA and OMA in Various Fading Conditions over Weibull Fading
4.2.1. UAV-HDR Based-NOMA and OMA
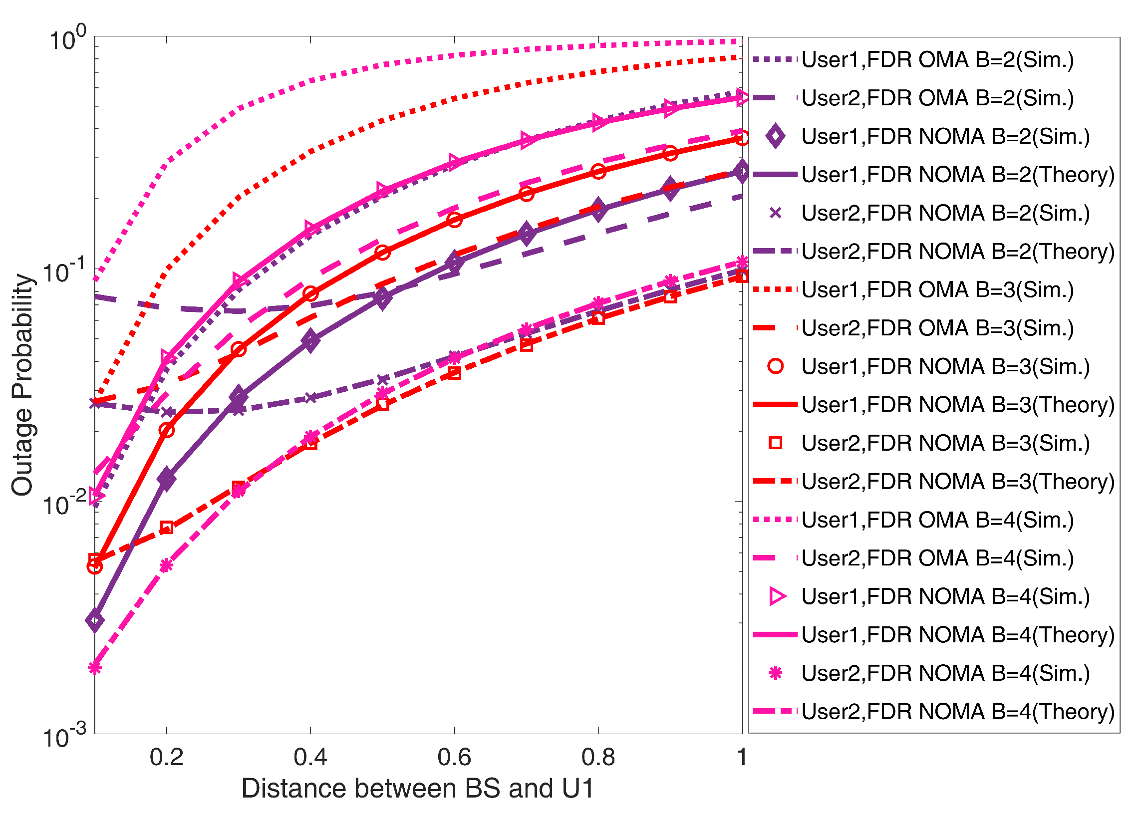
4.2.2. UAV-FDR Based-NOMA and OMA
4.2.3. UAV-HDR/FDR-Based NOMA and OMA
5. Conclusions
Author Contributions
Funding
Institutional Review Board Statement
Informed Consent Statement
Acknowledgments
Conflicts of Interest
Appendix A. Proof of Theorem 1
Appendix B. Proof of Theorem 2
Appendix C. Proof of Corollary 2
References
- Hein, D.; Bayer, S.; Berger, R.; Kraft, T.; Lesmeister, D. An integrated rapid mapping system for disaster management. Int. Arch. Photogramm. Remote. Sens. Spat. Inf. Sci.-Isprs Arch. 2017, 42, 499–504. [Google Scholar] [CrossRef]
- Li, S.; Derakhshani, M.; Lambotharan, S.; Hanzo, L. Outage probability analysis for the multi-carrier NOMA downlink relying on statistical CSI. IEEE Trans. Commun. 2020, 68, 3572–3587. [Google Scholar] [CrossRef]
- Zhan, P.; Yu, K.; Swindlehurst, A.L. Wireless relay communications with unmanned aerial vehicles: Performance and optimization. IEEE Trans. Aerosp. Electron. Syst. 2011, 47, 2068–2085. [Google Scholar] [CrossRef]
- Zeng, Y.; Zhang, R.; Lim, T.J. Wireless communications with unmanned aerial vehicles: Opportunities and challenges. IEEE Commun. Mag. 2016, 54, 36–42. [Google Scholar] [CrossRef]
- Hentati, A.I.; Fourati, L.C.; Rezgui, J. Cooperative UAVs framework for Mobile Target Search and tracking. Comput. Electr. Eng. 2022, 101, 107992. [Google Scholar] [CrossRef]
- Erdelj, M.; Natalizio, E. UAV-assisted disaster management: Applications and open issues. In Proceedings of the 2016 International Conference on Computing, Networking and Communications (ICNC), Kauai, HI, USA, 15–18 February 2016; pp. 1–5. [Google Scholar]
- Wang, Y.; Su, Z.; Zhang, N.; Fang, D. Disaster relief wireless networks: Challenges and solutions. IEEE Wirel. Commun. 2021, 28, 148–155. [Google Scholar] [CrossRef]
- Luo, C.; Miao, W.; Ullah, H.; McClean, S.; Parr, G.; Min, G. Unmanned aerial vehicles for disaster management. In Geological Disaster Monitoring Based on Sensor Networks; Springer: Berlin/Heidelberg, Germany, 2019; pp. 83–107. [Google Scholar]
- Matracia, M.; Kishk, M.A.; Alouini, M.S. On the topological aspects of UAV-assisted post-disaster wireless communication networks. IEEE Commun. Mag. 2021, 59, 59–64. [Google Scholar] [CrossRef]
- Erdelj, M.; Król, M.; Natalizio, E. Wireless sensor networks and multi-UAV systems for natural disaster management. Comput. Netw. 2017, 124, 72–86. [Google Scholar] [CrossRef]
- Nguyen, L.D.; Nguyen, K.K.; Kortun, A.; Duong, T.Q. Real-time deployment and resource allocation for distributed UAV systems in disaster relief. In Proceedings of the 2019 IEEE 20th International Workshop on Signal Processing Advances in Wireless Communications (SPAWC), Cannes, France, 2–5 July 2019; pp. 1–5. [Google Scholar]
- Al-Hourani, A.; Kandeepan, S.; Lardner, S. Optimal LAP altitude for maximum coverage. IEEE Wirel. Commun. Lett. 2014, 3, 569–572. [Google Scholar] [CrossRef]
- Mozaffari, M.; Saad, W.; Bennis, M.; Debbah, M. Drone small cells in the clouds: Design, deployment and performance analysis. In Proceedings of the 2015 IEEE Global Communications Conference (GLOBECOM), San Diego, CA, USA, 6–10 December 2015; pp. 1–6. [Google Scholar]
- Duc, C.H.; Nguyen, S.Q.; Le, C.B.; Khanh, N.T.V. Performance Evaluation of UAV-Based NOMA Networks with Hardware Impairment. Electronics 2021, 11, 94. [Google Scholar] [CrossRef]
- Qin, X.; Wu, X.; Xiong, M.; Liu, Y.; Zhang, Y. Multi-UAV Clustered NOMA for Covert Communications: Joint Resource Allocation and Trajectory Optimization. Electronics 2022, 11, 4056. [Google Scholar] [CrossRef]
- Saif, A.; Dimyati, K.; Noordin, K.A.; Alsamhi, S.H.; Hawbani, A. Multi-UAV and SAR collaboration model for disaster management in B5G networks. Internet Technol. Lett. 2021, e310. [Google Scholar] [CrossRef]
- Trotta, A.; Andreagiovanni, F.D.; Di Felice, M.; Natalizio, E.; Chowdhury, K.R. When UAVs ride a bus: Towards energy-efficient city-scale video surveillance. In Proceedings of the IEEE Infocom 2018-IEEE Conference on Computer Communications, Honolulu, HI, USA, 15–19 April 2018; pp. 1043–1051. [Google Scholar]
- Han, S.I.; Baek, J. Optimal UAV Deployment and Resource Management in UAV Relay Networks. Sensors 2021, 21, 6878. [Google Scholar] [CrossRef] [PubMed]
- Shakhatreh, H.; Alenezi, A.; Sawalmeh, A.; Almutiry, M.; Malkawi, W. Efficient placement of an aerial relay drone for throughput maximization. Wirel. Commun. Mob. Comput. 2021, 2021, 11. [Google Scholar] [CrossRef]
- Mozaffari, M.; Saad, W.; Bennis, M.; Debbah, M. Efficient deployment of multiple unmanned aerial vehicles for optimal wireless coverage. IEEE Commun. Lett. 2016, 20, 1647–1650. [Google Scholar] [CrossRef]
- ur Rahman, S.; Kim, G.H.; Cho, Y.Z.; Khan, A. Positioning of UAVs for throughput maximization in software-defined disaster area UAV communication networks. J. Commun. Netw. 2018, 20, 452–463. [Google Scholar] [CrossRef]
- Elnabty, I.A.; Fahmy, Y.; Kafafy, M. A survey on UAV placement optimization for UAV-assisted communication in 5G and beyond networks. Phys. Commun. 2022, 51, 101564. [Google Scholar] [CrossRef]
- Duong, T.Q.; Kim, K.J.; Kaleem, Z.; Bui, M.P.; Vo, N.S. UAV caching in 6G networks: A Survey on models, techniques, and applications. Phys. Commun. 2022, 51, 101532. [Google Scholar] [CrossRef]
- Ding, Z.; Liu, Y.; Choi, J.; Sun, Q.; Elkashlan, M.; Chih-Lin, I.; Poor, H.V. Application of non-orthogonal multiple access in LTE and 5G networks. IEEE Commun. Mag. 2017, 55, 185–191. [Google Scholar] [CrossRef]
- Shimojo, T.; Umesh, A.; Fujishima, D.; Minokuchi, A. Special articles on 5G technologies toward 2020 deployment. NTT DOCOMO Tech. J. 2016, 17, 50–59. [Google Scholar]
- Kim, J.B.; Lee, I.H. Non-orthogonal multiple access in coordinated direct and relay transmission. IEEE Commun. Lett. 2015, 19, 2037–2040. [Google Scholar] [CrossRef]
- Al-Abbasi, Z.Q.; Farhan, L.; Alhumaima, R.S. Multiple-Intelligent Reflective Surfaces (Multi-IRSs)-Based NOMA System. Electronics 2022, 11, 4045. [Google Scholar] [CrossRef]
- Ding, Z.; Peng, M.; Poor, H.V. Cooperative non-orthogonal multiple access in 5G systems. IEEE Commun. Lett. 2015, 19, 1462–1465. [Google Scholar] [CrossRef]
- Wang, L.; Hu, B.; Chen, S.; Cui, J. UAV-enabled reliable mobile relaying based on downlink NOMA. IEEE Access 2020, 8, 25237–25248. [Google Scholar] [CrossRef]
- Zhang, J.; Zheng, X.; Pan, G.; Xie, Y. On secrecy analysis of UAV-enabled relaying NOMA systems. Phys. Commun. 2021, 45, 101263. [Google Scholar] [CrossRef]
- Nguyen, L.M.D.; Vo, V.N.; So-In, C.; Dang, V.H. Throughput analysis and optimization for NOMA Multi-UAV assisted disaster communication using CMA-ES. Wirel. Netw. 2021, 27, 4889–4902. [Google Scholar] [CrossRef]
- Liu, M.; Yang, J.; Gui, G. DSF-NOMA: UAV-assisted emergency communication technology in a heterogeneous Internet of Things. IEEE Internet Things J. 2019, 6, 5508–5519. [Google Scholar] [CrossRef]
- Zhai, D.; Li, H.; Tang, X.; Zhang, R.; Ding, Z.; Yu, F.R. Height optimization and resource allocation for NOMA enhanced UAV-aided relay networks. IEEE Trans. Commun. 2020, 69, 962–975. [Google Scholar] [CrossRef]
- Barick, S.; Singhal, C. Multi-UAV Assisted IoT NOMA Uplink Communication System for Disaster Scenario. IEEE Access 2022, 10, 34058–34068. [Google Scholar] [CrossRef]
- Do, N.T.; Da Costa, D.B.; Duong, T.Q.; An, B. A BNBF user selection scheme for NOMA-based cooperative relaying systems with SWIPT. IEEE Commun. Lett. 2016, 21, 664–667. [Google Scholar] [CrossRef]
- Men, J.; Ge, J.; Zhang, C. Performance analysis of nonorthogonal multiple access for relaying networks over Nakagami-m fading channels. IEEE Trans. Veh. Technol. 2016, 66, 1200–1208. [Google Scholar] [CrossRef]
- Ju, H.; Oh, E.; Hong, D. Improving efficiency of resource usage in two-hop full duplex relay systems based on resource sharing and interference cancellation. IEEE Trans. Wirel. Commun. 2009, 8, 3933–3938. [Google Scholar]
- Wei, S.; Li, J.; Chen, W.; Zheng, L.; Su, H. Design of generalized analog network coding for a multiple-access relay channel. IEEE Trans. Commun. 2014, 63, 170–185. [Google Scholar] [CrossRef]
- Zhang, L.; Liu, J.; Xiao, M.; Wu, G.; Liang, Y.C.; Li, S. Performance analysis and optimization in downlink NOMA systems with cooperative full-duplex relaying. IEEE J. Sel. Areas Commun. 2017, 35, 2398–2412. [Google Scholar] [CrossRef]
- Zheng, H.E.T.; Madhukumar, A.; Sirigina, R.P.; Krishna, A.K. An outage probability analysis of full-duplex NOMA in UAV communications. In Proceedings of the 2019 IEEE Wireless Communications and Networking Conference (WCNC), Marrakesh, Morocco, 15–18 April 2019; pp. 1–5. [Google Scholar]
- Aswathi, V.; Babu, A.V. Non-orthogonal multiple access in full-duplex-based coordinated direct and relay transmission (CDRT) system: Performance analysis and optimization. EURASIP J. Wirel. Commun. Netw. 2020, 2020, 1–27. [Google Scholar]
- Nguyen, A.N.; Vo, V.N.; So-In, C.; Ha, D.B. System performance analysis for an energy harvesting IoT system using a DF/AF uav-enabled relay with downlink NOMA under nakagami-m fading. Sensors 2021, 21, 285. [Google Scholar] [CrossRef] [PubMed]
- Khuwaja, A.A.; Chen, Y.; Zhao, N.; Alouini, M.S.; Dobbins, P. A survey of channel modeling for UAV communications. IEEE Commun. Surv. Tutorials 2018, 20, 2804–2821. [Google Scholar] [CrossRef]
- Yan, C.; Fu, L.; Zhang, J.; Wang, J. A comprehensive survey on UAV communication channel modeling. IEEE Access 2019, 7, 107769–107792. [Google Scholar] [CrossRef]
- Cheng, J.; Tellambura, C.; Beaulieu, N.C. Performance analysis of digital modulations on Weibull fading channels. In Proceedings of the 2003 IEEE 58th Vehicular Technology Conference, VTC 2003-Fall (IEEE Cat. No. 03CH37484), Orlando, FL, USA, 6–9 October 2003; Volume 1, pp. 236–240. [Google Scholar]
- Hashemi, H. The indoor radio propagation channel. Proc. IEEE 1993, 81, 943–968. [Google Scholar] [CrossRef]
- Tzeremes, G.; Christodoulou, C. Use of Weibull distribution for describing outdoor multipath fading. In Proceedings of the IEEE Antennas and Propagation Society International Symposium (IEEE Cat. No. 02CH37313), San Antonio, TX, USA, 16–21 June 2002; Volume 1, pp. 232–235. [Google Scholar]
- Li, X.; Li, J.; Li, L. Performance analysis of impaired SWIPT NOMA relaying networks over imperfect Weibull channels. IEEE Syst. J. 2019, 14, 669–672. [Google Scholar] [CrossRef]
- Gupta, M.; Anandpushparaj, J.; Muthuchidambaranathan, P.; Jayakody, D.N.K. Outage performance comparison of dual-hop half/full duplex wireless UAV system over weibull fading channel. In Proceedings of the 2020 International Conference on Wireless Communications Signal Processing and Networking (WiSPNET), Chennai, India, 4–6 August 2020; pp. 177–181. [Google Scholar]
- Jeganathan, A.; Mitali, G.; Jayakody, D.N.K.; Muthuchidambaranathan, P. Outage and throughput performance of half/full-duplex UAV-assisted co-operative relay networks over Weibull fading channel. Wirel. Pers. Commun. 2021, 120, 2389–2407. [Google Scholar] [CrossRef]
- Chiaraviglio, L.; D’Andreagiovanni, F.; Liu, W.; Gutierrez, J.A.; Blefari-Melazzi, N.; Choo, K.K.R.; Alouini, M.S. Multi-area throughput and energy optimization of UAV-aided cellular networks powered by solar panels and grid. IEEE Trans. Mob. Comput. 2020, 20, 2427–2444. [Google Scholar] [CrossRef]
- Bello, A.B.; Navarro, F.; Raposo, J.; Miranda, M.; Zazo, A.; Álvarez, M. Fixed-Wing UAV Flight Operation under Harsh Weather Conditions: A Case Study in Livingston Island Glaciers, Antarctica. Drones 2022, 6, 384. [Google Scholar] [CrossRef]
- Ding, Z.; Yang, Z.; Fan, P.; Poor, H.V. On the performance of non-orthogonal multiple access in 5G systems with randomly deployed users. IEEE Signal Process. Lett. 2014, 21, 1501–1505. [Google Scholar] [CrossRef]
- Kumar, R.; Kumar, S. Sum rate DL/UL performance of co-operative NOMA systems over Weibull fading channel. J. Mob. Multimed. 2021, 17, 361–384. [Google Scholar] [CrossRef]
- Riihonen, T.; Werner, S.; Wichman, R. Hybrid full-duplex/half-duplex relaying with transmit power adaptation. IEEE Trans. Wirel. Commun. 2011, 10, 3074–3085. [Google Scholar] [CrossRef]
- Yue, X.; Liu, Y.; Kang, S.; Nallanathan, A.; Ding, Z. Exploiting full/half-duplex user relaying in NOMA systems. IEEE Trans. Commun. 2017, 66, 560–575. [Google Scholar] [CrossRef]
- Liu, Y.; Ding, Z.; Elkashlan, M.; Poor, H.V. Cooperative non-orthogonal multiple access with simultaneous wireless information and power transfer. IEEE J. Sel. Areas Commun. 2016, 34, 938–953. [Google Scholar] [CrossRef]
- Zhong, C.; Suraweera, H.A.; Zheng, G.; Krikidis, I.; Zhang, Z. Wireless information and power transfer with full duplex relaying. IEEE Trans. Commun. 2014, 62, 3447–3461. [Google Scholar] [CrossRef]










Disclaimer/Publisher’s Note: The statements, opinions and data contained in all publications are solely those of the individual author(s) and contributor(s) and not of MDPI and/or the editor(s). MDPI and/or the editor(s) disclaim responsibility for any injury to people or property resulting from any ideas, methods, instructions or products referred to in the content. |
© 2023 by the authors. Licensee MDPI, Basel, Switzerland. This article is an open access article distributed under the terms and conditions of the Creative Commons Attribution (CC BY) license (https://creativecommons.org/licenses/by/4.0/).
Share and Cite
Kumar, R.; Kumar, S. HD/FD Cooperative NOMA under UAV Deployment for a Novel Disaster-Management Model. Electronics 2023, 12, 513. https://doi.org/10.3390/electronics12030513
Kumar R, Kumar S. HD/FD Cooperative NOMA under UAV Deployment for a Novel Disaster-Management Model. Electronics. 2023; 12(3):513. https://doi.org/10.3390/electronics12030513
Chicago/Turabian StyleKumar, Rampravesh, and Sanjay Kumar. 2023. "HD/FD Cooperative NOMA under UAV Deployment for a Novel Disaster-Management Model" Electronics 12, no. 3: 513. https://doi.org/10.3390/electronics12030513
APA StyleKumar, R., & Kumar, S. (2023). HD/FD Cooperative NOMA under UAV Deployment for a Novel Disaster-Management Model. Electronics, 12(3), 513. https://doi.org/10.3390/electronics12030513

