Design of Predefined Time Convergent Sliding Mode Control for a Nonlinear PMLM Position System
Abstract
1. Introduction
- A predefined time sliding surface of the tracking error is designed, and we also theoretically prove that the tracking error found at the sliding surface converges to the equilibrium point within a prescribed time. Furthermore, its derivative is bounded, which gives the tracking error superior information. A Lyapunov-based stability criterion with predefined time convergence is elaborated and proved theoretically. The results depict the predefined convergence time, which is independent of the initial value and the parameters of the controlled system.
- A robust predefined SMC law is designed and proven theoretically. We utilize the predefined sliding function to capture the control input variables, which simplifies the complexity of the designed controller. It is shown that the trajectory tracking error of the closed-loop system has a convergent nature within a predefined time. Moreover, the trajectory satisfies the performance, and it is worth noting that its derivative is bounded.
- We have designed a predefined robust control law to approximate the uncertain part of the PMLM, i.e., friction and ripple forces. The presented scheme in this paper has a wide range of applications. Our proposed PreDSMC only needs the trajectory tracking error of the PMLM and its derivative information to realize the high-precision trajectory tracking control of the system. It is independent of the initial conditions and model parameters of the system, which is why it is called a robust controller.
2. Problem Formulation
PMLM Model Representation
3. Predefined Time Sliding Surface Design
- (1)
- At the time , ;
- (2)
- When , and has , then the nonlinear system (2) is globally predefined time stable.
3.1. Predefined Time Error Convergence Criterion
- (1)
- If the initial value of the tracking error is , then will converge to zero within the predefined time, and the convergence time
- (2)
- If the initial value of the tracking error is , then at that the time that converges to zero is , that is, when is the trajectory tracking error .
3.2. Predefined Time Convergence Stability
- (1)
- If , the system is stable at the global predefined time and converges to the equilibrium point.
- (2)
- If , then and it indicates that the system state is always at the equilibrium point.
4. Design of Predefined Time Control Law
5. Numerical Simulation Analysis
5.1. PMLM Simulation
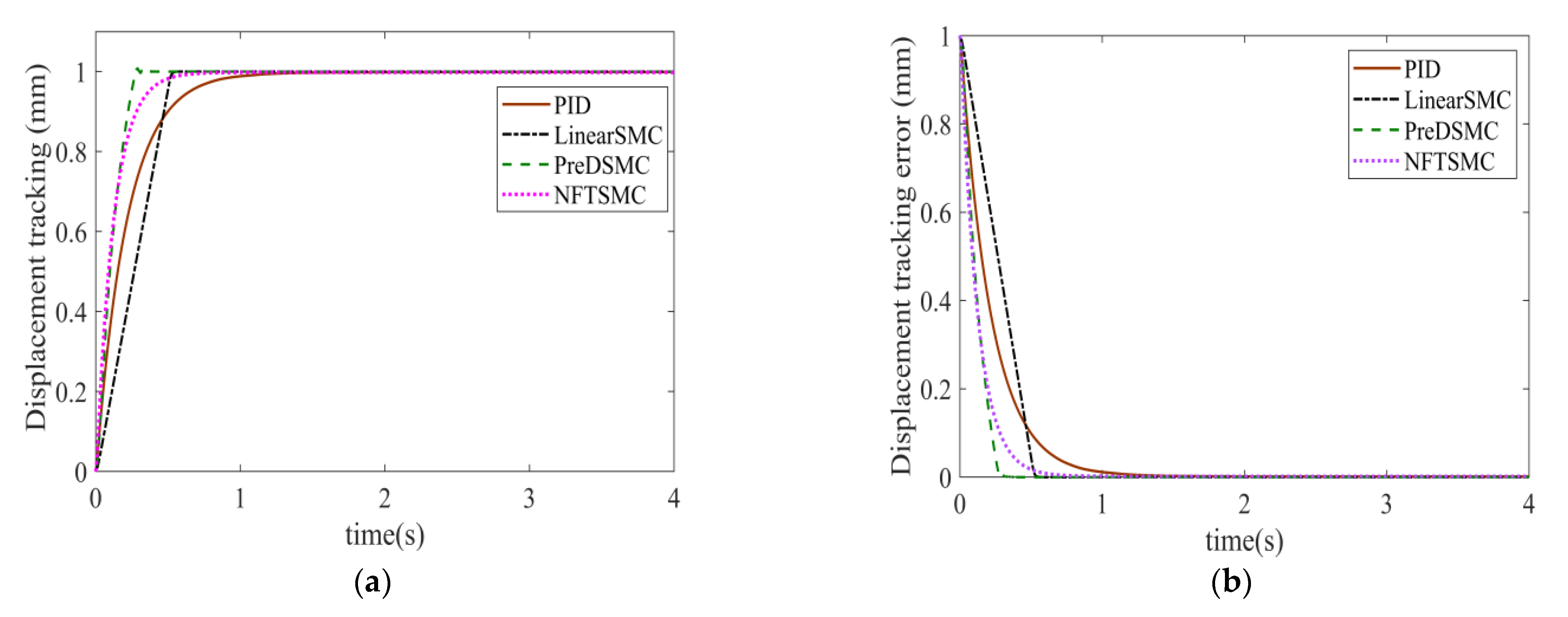
5.2. Step Tracking Response of PMLM Displacement
5.3. Sinusoidal Tracking Response of PMLM Displacement
6. Conclusions
Author Contributions
Funding
Data Availability Statement
Conflicts of Interest
Nomenclature
| Notation | Description |
| Position and speed of PMLM | |
| Output of system | |
| Input voltage | |
| Resistance | |
| Motor mass | |
| Force constant | |
| Back electromotive force | |
| Friction force | |
| Ripple force | |
| Load | |
| Viscous friction coefficient | |
| Lubrication parameters | |
| Minimum value of Coulomb friction | |
| Static friction | |
| , | Angular velocity and amplitude of ripple force |
| Intermediate variable of system | |
| Reference trajectory | |
| Position error and speed error | |
| Sliding mode surface | |
| , | Predefined time |
| Parameter of sliding mode surface | |
| Convergence time | |
| Lyapunov function | |
| Parameters of Lyapunov function |
References
- Kim, J.; Choi, S.; Cho, K.; Nam, K. Position estimation using linear hall sensors for permanent magnet linear motor systems. IEEE Trans. Ind. Electron. 2016, 63, 7644–7652. [Google Scholar] [CrossRef]
- Liu, X.; Wu, Q.; Zhen, S.; Zhao, H.; Li, C.; Chen, Y.-H. Robust constraint-following control for permanent magnet linear motor with optimal design: A fuzzy approach. Inf. Sci. 2022, 600, 362–376. [Google Scholar] [CrossRef]
- Chen, S.-L.; Tan, K.K.; Huang, S.; Teo, C.S. Modeling and compensation of ripples and friction in permanent-magnet linear motor using a hysteretic relay. IEEE/ASME Trans. Mechatron. 2009, 15, 586–594. [Google Scholar] [CrossRef]
- Tan, K.; Huang, S.; Lee, T. Robust adaptive numerical compensation for friction and force ripple in permanent-magnet linear motors. IEEE Trans. Magn. 2002, 38, 221–228. [Google Scholar] [CrossRef]
- Lu, Q.; Zhang, X.; Chen, Y.; Huang, X.; Ye, Y.; Zhu, Z. Modeling and investigation of thermal characteristics of a water-cooled permanent-magnet linear motor. IEEE Trans. Ind. Appl. 2014, 51, 2086–2096. [Google Scholar] [CrossRef]
- Cao, R.; Cheng, M.; Zhang, B. Speed control of complementary and modular linear flux-switching permanent-magnet motor. IEEE Trans. Ind. Electron. 2015, 62, 4056–4064. [Google Scholar] [CrossRef]
- Utkin, V.I. Sliding Modes in Control and Optimization; Springer Science & Business Media: Berlin/Heidelberg, Germany, 2013. [Google Scholar]
- Edwards, C.; Colet, E.F.; Fridman, L.; Colet, E.F.; Fridman, L.M. Advances in Variable Structure and Sliding Mode Control; Springer: Berlin/Heidelberg, Germany, 2006; Volume 334. [Google Scholar]
- Mou, F.; Wu, D.; Dong, Y. Disturbance rejection sliding mode control for robots and learning design. Intell. Serv. Robot. 2021, 14, 251–269. [Google Scholar] [CrossRef]
- Dong, H.; Yang, X.; Basin, M.V. Practical Tracking of Permanent Magnet Linear Motor Via Logarithmic Sliding Mode Control. IEEE/ASME Trans. Mechatron. 2022, 27, 4112–4121. [Google Scholar] [CrossRef]
- Cao, W.; Lan, Q.; Ma, T. Second-Order Sliding Mode Controller Design for Motion Control of PMLM System. In Advances in Guidance, Navigation and Control; Springer: Singapore, 2022; pp. 2097–2107. [Google Scholar]
- Sepestanaki, M.A.; Barhaghtalab, M.H.; Mobayen, S.; Jalilvand, A.; Fekih, A.; Skruch, P. Chattering-Free Terminal Sliding Mode Control Based on Adaptive Barrier Function for Chaotic Systems With Unknown Uncertainties. IEEE Access 2022, 10, 103469–103484. [Google Scholar] [CrossRef]
- Wang, H.; Hu, Y.; Ye, M.; Zhang, J.; Cao, Z.; Zheng, J.; Man, Z. Real-Time Control Systems with Applications in Mechatronics. In Handbook of Real-Time Computing; Springer: Singapore, 2022; pp. 605–640. [Google Scholar]
- Hou, M.; Wang, Y.; Han, Y. Data-driven discrete terminal sliding mode decoupling control method with prescribed performance. J. Frankl. Inst. 2021, 358, 6612–6633. [Google Scholar] [CrossRef]
- Weng, Y.; Gao, X. Data-driven robust output tracking control for gas collector pressure system of coke ovens. IEEE Trans. Ind. Electron. 2016, 64, 4187–4198. [Google Scholar] [CrossRef]
- Chen, W.-H.; Yang, J.; Guo, L.; Li, S. Disturbance-observer-based control and related methods—An overview. IEEE Trans. Ind. Electron. 2015, 63, 1083–1095. [Google Scholar] [CrossRef]
- Liu, S.; Liu, Y.; Wang, N. Nonlinear disturbance observer-based backstepping finite-time sliding mode tracking control of underwater vehicles with system uncertainties and external disturbances. Nonlinear Dyn. 2017, 88, 465–476. [Google Scholar] [CrossRef]
- Sun, H.; Li, S.; Sun, C. Finite time integral sliding mode control of hypersonic vehicles. Nonlinear Dyn. 2013, 73, 229–244. [Google Scholar] [CrossRef]
- Yang, Z.; Ding, Q.; Sun, X.; Lu, C.; Zhu, H. Speed sensorless control of a bearingless induction motor based on sliding mode observer and phase-locked loop. ISA Trans. 2022, 123, 346–356. [Google Scholar] [CrossRef]
- Zhou, M.; Cheng, S.; Xu, W.; Feng, Y.; Su, H. Control and Observation of Induction Motors Based on Full-Order Terminal Sliding-Mode Technique. In Advances in Control Techniques for Smart Grid Applications; Springer: Singapore, 2022; pp. 327–363. [Google Scholar]
- Liao, K.; Xu, W.; Bai, L.; Gong, Y.; Ismail, M.M.; Boldea, I. Improved Position Sensorless Piston Stroke Control Method for Linear Oscillatory Machine via an Hybrid Terminal Sliding-Mode Observer. IEEE Trans. Power Electron. 2022, 37, 14186–14197. [Google Scholar] [CrossRef]
- Du, H.; Qian, C.; Yang, S.; Li, S. Recursive design of finite-time convergent observers for a class of time-varying nonlinear systems. Automatica 2013, 49, 601–609. [Google Scholar] [CrossRef]
- Chen, L.; Liu, Z.; Dang, Q.; Zhao, W.; Wang, G. Robust trajectory tracking control for a quadrotor using recursive sliding mode control and nonlinear extended state observer. Aerosp. Sci. Technol. 2022, 128, 107749. [Google Scholar] [CrossRef]
- Zhang, L.; Yang, J. Continuous nonsingular terminal sliding mode control for nonlinear systems subject to mismatched terms. Asian J. Control 2022, 24, 885–894. [Google Scholar] [CrossRef]
- Chen, W.; Du, H.; Chen, C.-C. Stability and Robustness Analysis of Finite-Time Consensus Algorithm for Second-Order Multiagent Systems Under Sampled-Data Control. IEEE Trans. Syst. Man Cybern. Syst. 2022, 1–8. [Google Scholar] [CrossRef]
- Du, H.; Jiang, C.; Wen, G.; Zhu, W.; Cheng, Y. Current sharing control for parallel DC–DC buck converters based on finite-time control technique. IEEE Trans. Ind. Inform. 2018, 15, 2186–2198. [Google Scholar] [CrossRef]
- Du, H.; Zhai, J.; Chen, M.Z.; Zhu, W. Robustness analysis of a continuous higher order finite-time control system under sampled-data control. IEEE Trans. Autom. Control 2018, 64, 2488–2494. [Google Scholar] [CrossRef]
- Jin, M.; Lee, J.; Chang, P.H.; Choi, C. Practical nonsingular terminal sliding-mode control of robot manipulators for high-accuracy tracking control. IEEE Trans. Ind. Electron. 2009, 56, 3593–3601. [Google Scholar]
- Mobayen, S.; Alattas, K.A.; Assawinchaichote, W. Adaptive continuous barrier function terminal sliding mode control technique for disturbed robotic manipulator. IEEE Trans. Circuits Syst. I Regul. Pap. 2021, 68, 4403–4412. [Google Scholar] [CrossRef]
- Sai, H.; Xu, Z.; Xia, C.; Sun, X. Approximate continuous fixed-time terminal sliding mode control with prescribed performance for uncertain robotic manipulators. Nonlinear Dyn. 2022, 110, 431–448. [Google Scholar] [CrossRef]
- Kaufmann, E.; Mboumi, E. Positive solutions of a boundary value problem for a nonlinear fractional differential equation. Electron. J. Qual. Theory Differ. Equ. 2008, 2008, 1–11. [Google Scholar] [CrossRef]
- Khan, A.; Nigar, U. Sliding mode disturbance observer control based on adaptive hybrid projective compound combination synchronization in fractional-order chaotic systems. J. Control Autom. Electr. Syst. 2020, 31, 885–899. [Google Scholar] [CrossRef]
- Liu, S.; Zhang, L.; Niu, B.; Zhao, X.; Ahmad, A.M. Adaptive neural finite-time hierarchical sliding mode control of uncertain under-actuated switched nonlinear systems with backlash-like hysteresis. Inf. Sci. 2022, 599, 147–169. [Google Scholar] [CrossRef]
- Bertrand, N.; Sabatier, J.; Briat, O.; Vinassa, J.-M. Embedded fractional nonlinear supercapacitor model and its parametric estimation method. IEEE Trans. Ind. Electron. 2010, 57, 3991–4000. [Google Scholar]
- Martynyuk, V.; Ortigueira, M. Fractional model of an electrochemical capacitor. Signal Process. 2015, 107, 355–360. [Google Scholar] [CrossRef]
- Islam, M.M.; Siffat, S.A.; Ahmad, I.; Liaquat, M.; Khan, S.A. Adaptive nonlinear control of unified model of fuel cell, battery, ultracapacitor and induction motor based hybrid electric vehicles. IEEE Access 2021, 9, 57486–57509. [Google Scholar] [CrossRef]
- Thounthong, P.; Tricoli, P.; Davat, B. Performance investigation of linear and nonlinear controls for a fuel cell/supercapacitor hybrid power plant. Int. J. Electr. Power Energy Syst. 2014, 54, 454–464. [Google Scholar] [CrossRef]
- Penas, R.; Balmes, E.; Gaudin, A. A unified non-linear system model view of hyperelasticity, viscoelasticity and hysteresis exhibited by rubber. Mech. Syst. Signal Process. 2022, 170, 108793. [Google Scholar] [CrossRef]
- Şengül, Y. Nonlinear viscoelasticity of strain rate type: An overview. Proc. R. Soc. A 2021, 477, 20200715. [Google Scholar] [CrossRef]
- Bezerra, J.I.; Molter, A.; Rafikov, M.; Frighetto, D.F. Biological control of the chaotic sugarcane borer-parasitoid agroecosystem. Ecol. Model. 2021, 450, 109564. [Google Scholar] [CrossRef]
- Sabir, Z.; Baleanu, D.; Ali, M.R.; Sadat, R. A novel computing stochastic algorithm to solve the nonlinear singular periodic boundary value problems. Int. J. Comput. Math. 2022, 99, 2091–2104. [Google Scholar] [CrossRef]
- Aslmostafa, E.; Mirzaei, M.J.; Asadollahi, M.; Badamchizadeh, M.A. Stabilization problem for a class of nonlinear MIMO systems based on prescribed-time sliding mode control. Arab. J. Sci. Eng. 2022, 47, 15083–15094. [Google Scholar] [CrossRef]
- Liang, C.-D.; Ge, M.-F.; Liu, Z.-W.; Zhan, X.-S.; Park, J.H. Predefined-time stabilization of TS fuzzy systems: A novel integral sliding mode based approach. IEEE Trans. Fuzzy Syst. 2022, 30, 4423–4433. [Google Scholar] [CrossRef]
- Liang, C.-D.; Ge, M.-F.; Liu, Z.-W.; Ling, G.; Zhao, X.-W. A novel sliding surface design for predefined-time stabilization of Euler–Lagrange systems. Nonlinear Dyn. 2021, 106, 445–458. [Google Scholar] [CrossRef]
- Meng, X.; Gao, C.; Jiang, B.; Wu, Z. Finite-time Synchronization of Variable-order Fractional Uncertain Coupled Systems via Adaptive Sliding Mode Control. Int. J. Control Autom. Syst. 2022, 20, 1535–1543. [Google Scholar] [CrossRef]
- Aslmostafa, E.; Mirzaei, M.J.; Asadollahi, M.; Badamchizadeh, M.A. Synchronization problem for a class of multi-input multi-output systems with terminal sliding mode control based on finite-time disturbance observer: Application to chameleon chaotic system. Chaos Solitons Fractals 2021, 150, 111191. [Google Scholar] [CrossRef]
- Mobayen, S.; Tchier, F. Nonsingular fast terminal sliding-mode stabilizer for a class of uncertain nonlinear systems based on disturbance observer. Sci. Iranica. Trans. D Comput. Sci. Eng. Electr. 2017, 24, 1410–1418. [Google Scholar] [CrossRef]
- Roy, P.; Roy, B.K. Sliding mode control versus fractional-order sliding mode control: Applied to a magnetic levitation system. J. Control Autom. Electr. Syst. 2020, 31, 597–606. [Google Scholar] [CrossRef]
- Ni, J.; Liu, L.; Liu, C.; Hu, X. Fractional order fixed-time nonsingular terminal sliding mode synchronization and control of fractional order chaotic systems. Nonlinear Dyn. 2017, 89, 2065–2083. [Google Scholar] [CrossRef]
- Tian, Y.; Cai, Y.; Deng, Y. A fast nonsingular terminal sliding mode control method for nonlinear systems with fixed-time stability guarantees. IEEE Access 2020, 8, 60444–60454. [Google Scholar] [CrossRef]
- Xie, S.; Chen, Q.; He, X. Predefined-time approximation-free attitude constraint control of rigid spacecraft. IEEE Trans. Aerosp. Electron. Syst. 2022, 1–11. [Google Scholar] [CrossRef]
- Pan, Y.; Ji, W.; Liang, H. Adaptive Predefined-time Control for Lü Chaotic Systems via Backstepping Approach. IEEE Trans. Circuits Syst. Express Briefs 2022, 69, 5064–5068. [Google Scholar] [CrossRef]
- Mazhar, N.; Malik, F.M.; Raza, A.; Khan, R. Predefined-time control of nonlinear systems: A sigmoid function based sliding manifold design approach. Alex. Eng. J. 2022, 61, 6831–6841. [Google Scholar] [CrossRef]
- Abdel Hameed, M.; Hassaballah, M.; Hosney, M.E.; Alqahtani, A. An AI-Enabled Internet of Things Based Autism Care System for Improving Cognitive Ability of Children with Autism Spectrum Disorders. Comput. Intell. Neurosci. 2022, 2022, 2247675. [Google Scholar] [CrossRef]
- Xiong, X.; Pal, A.K.; Liu, Z.; Kamal, S.; Huang, R.; Lou, Y. Discrete-time adaptive super-twisting observer with predefined arbitrary convergence time. IEEE Trans. Circuits Syst. II Express Briefs 2020, 68, 2057–2061. [Google Scholar] [CrossRef]
- Gómez-Gutiérrez, D. On the design of nonautonomous fixed-time controllers with a predefined upper bound of the settling time. Int. J. Robust Nonlinear Control 2020, 30, 3871–3885. [Google Scholar] [CrossRef]
- Pal, A.K.; Kamal, S.; Nagar, S.K.; Bandyopadhyay, B.; Fridman, L. Design of controllers with arbitrary convergence time. Automatica 2020, 112, 108710. [Google Scholar] [CrossRef]
- Sánchez-Torres, J.D.; Gómez-Gutiérrez, D.; López, E.; Loukianov, A.G. A class of predefined-time stable dynamical systems. IMA J. Math. Control Inf. 2018, 35, i1–i29. [Google Scholar] [CrossRef]
- Sánchez-Torres, J.D.; Muñoz-Vázquez, A.J.; Defoort, M.; Jiménez-Rodríguez, E.; Loukianov, A.G. A class of predefined-time controllers for uncertain second-order systems. Eur. J. Control 2020, 53, 52–58. [Google Scholar] [CrossRef]
- Moulay, E.; Léchappé, V.; Bernuau, E.; Defoort, M.; Plestan, F. Fixed-time sliding mode control with mismatched disturbances. Automatica 2022, 136, 110009. [Google Scholar] [CrossRef]
- Nian, W.; Chen, H.; Ding, D. A New Non-Singular Terminal Sliding Mode Control and Its Application to Chaos Suppression in Interconnected Power System. Int. J. Adv. Netw. Monit. Control. 2018, 3, 5–12. [Google Scholar] [CrossRef]
- Wang, L.; Liu, X.; Cao, J.; Hu, X. Fixed-time containment control for nonlinear multi-agent systems with external disturbances. IEEE Trans. Circuits Syst. II: Express Briefs 2021, 69, 459–463. [Google Scholar] [CrossRef]
- Jiménez-Rodríguez, E.; Muñoz-Vázquez, A.J.; Sánchez-Torres, J.D.; Defoort, M.; Loukianov, A.G. A Lyapunov-like characterization of predefined-time stability. IEEE Trans. Autom. Control 2020, 65, 4922–4927. [Google Scholar] [CrossRef]
- Sánchez-Torres, J.D.; Defoort, M.; Muñoz-Vázquez, A.J. Predefined-time stabilisation of a class of nonholonomic systems. Int. J. Control 2020, 93, 2941–2948. [Google Scholar] [CrossRef]
- Liu, B.; Hou, M.; Wu, C.; Wang, W.; Wu, Z.; Huang, B. Predefined-time backstepping control for a nonlinear strict-feedback system. Int. J. Robust Nonlinear Control 2021, 31, 3354–3372. [Google Scholar] [CrossRef]
- Muñoz-Vázquez, A.J.; Fernández-Anaya, G.; Sánchez-Torres, J.D.; Meléndez-Vázquez, F. Predefined-time control of distributed-order systems. Nonlinear Dyn. 2021, 103, 2689–2700. [Google Scholar] [CrossRef]
- Feng, Y.; Yu, X.; Man, Z. Non-singular terminal sliding mode control of rigid manipulators. Automatica 2002, 38, 2159–2167. [Google Scholar] [CrossRef]
- Jie, W.; Yudong, Z.; Yulong, B.; Kim, H.H.; Lee, M.C. Trajectory tracking control using fractional-order terminal sliding mode control with sliding perturbation observer for a 7-DOF robot manipulator. IEEE/ASME Trans. Mechatron. 2020, 25, 1886–1893. [Google Scholar] [CrossRef]
- Cruz-Ortiz, D.; Chairez, I.; Poznyak, A. Non-singular terminal sliding-mode control for a manipulator robot using a barrier Lyapunov function. ISA Trans. 2022, 121, 268–283. [Google Scholar] [CrossRef]
- Sun, G.; Wu, L.; Kuang, Z.; Ma, Z.; Liu, J. Practical tracking control of linear motor via fractional-order sliding mode. Automatica 2018, 94, 221–235. [Google Scholar] [CrossRef]
- Sun, G.; Ma, Z.; Yu, J. Discrete-time fractional order terminal sliding mode tracking control for linear motor. IEEE Trans. Ind. Electron. 2017, 65, 3386–3394. [Google Scholar] [CrossRef]
- Yang, C.; Che, Z.; Zhou, L. Composite feedforward compensation for force ripple in permanent magnet linear synchronous motors. J. Shanghai Jiaotong Univ. 2019, 24, 782–788. [Google Scholar] [CrossRef]
- Liu, W.; Chen, S.; Huang, H. Adaptive nonsingular fast terminal sliding mode control for permanent magnet synchronous motor based on disturbance observer. IEEE Access 2019, 7, 153791–153798. [Google Scholar] [CrossRef]
- Shengquan, L.; Juan, L.; Yongwei, T.; Yanqiu, S.; Wei, C. Model-based model predictive control for a direct-driven permanent magnet synchronous generator with internal and external disturbances. Trans. Inst. Meas. Control 2020, 42, 586–597. [Google Scholar] [CrossRef]
- Ting, C.S.; Chang, Y.N.; Shi, B.W.; Lieu, J.F. Adaptive backstepping control for permanent magnet linear synchronous motor servo drive. IET Electr. Power Appl. 2015, 9, 265–279. [Google Scholar] [CrossRef]
- Hui, Y.; Chi, R.; Huang, B.; Hou, Z. Extended state observer-based data-driven iterative learning control for permanent magnet linear motor with initial shifts and disturbances. IEEE Trans. Syst. Man Cybern. Syst. 2019, 51, 1881–1891. [Google Scholar] [CrossRef]
- Zhu, J.; Pan, Y.; Huang, T.; Luan, C.; Li, K. Research on Controlled Characteristic of the Novel Electromagnetic Recuperator. In Proceedings of the 2019 IEEE 3rd Information Technology, Networking, Electronic and Automation Control Conference (ITNEC), Chengdu, China, 15–17 March 2019; 2019; pp. 1980–1984. [Google Scholar]
- Zhao, Y.; Li, Y.; Lu, Q. An Accurate No-Load Analytical Model of Flat Linear Permanent Magnet Synchronous Machine Accounting for End Effects. IEEE Trans. Magn. 2022, 59, 8100111. [Google Scholar] [CrossRef]
- Du, H.; Chen, X.; Wen, G.; Yu, X.; Lü, J. Discrete-time fast terminal sliding mode control for permanent magnet linear motor. IEEE Trans. Ind. Electron. 2018, 65, 9916–9927. [Google Scholar] [CrossRef]
- Fu, D.; Zhao, X.; Zhu, J. A novel robust super-twisting nonsingular terminal sliding mode controller for permanent magnet linear synchronous motors. IEEE Trans. Power Electron. 2021, 37, 2936–2945. [Google Scholar] [CrossRef]
- Wang, L.; Zhao, J.; Zheng, Z. Robust Speed Tracking Control of Permanent Magnet Synchronous Linear Motor Based on a Discrete-Time Sliding Mode Load Thrust Observer. IEEE Trans. Ind. Appl. 2022, 58, 4758–4767. [Google Scholar] [CrossRef]
- Li, J.; Du, H.; Cheng, Y.; Wen, G.; Chen, X.; Jiang, C. Position tracking control for permanent magnet linear motor via fast nonsingular terminal sliding mode control. Nonlinear Dyn. 2019, 97, 2595–2605. [Google Scholar] [CrossRef]
- Gao, W.; Chen, X.; Du, H.; Bai, S. Position tracking control for permanent magnet linear motor via continuous-time fast terminal sliding mode control. J. Control. Sci. Eng. 2018, 2018, 3813624. [Google Scholar] [CrossRef]
- Zhang, J.; Wang, H.; Cao, Z.; Zheng, J.; Yu, M.; Yazdani, A.; Shahnia, F. Fast nonsingular terminal sliding mode control for permanent-magnet linear motor via ELM. Neural Comput. Appl. 2020, 32, 14447–14457. [Google Scholar] [CrossRef]






| Parameter | Symbol | Value | Unit |
|---|---|---|---|
| Motor mass | 5.4 | Kg | |
| Resistance | 16.8 | Ω | |
| Force constant | 130 | ||
| Back electromotive force | 123 | V/(rad/s) | |
| Friction force | 10 | N | |
| 20 | |||
| 10 | |||
| 0.1 | |||
| Ripple force | 8.5 | N | |
| 314 | |||
| 4.25 | |||
| 314 | |||
| 2 | |||
| 314 |
Disclaimer/Publisher’s Note: The statements, opinions and data contained in all publications are solely those of the individual author(s) and contributor(s) and not of MDPI and/or the editor(s). MDPI and/or the editor(s) disclaim responsibility for any injury to people or property resulting from any ideas, methods, instructions or products referred to in the content. |
© 2023 by the authors. Licensee MDPI, Basel, Switzerland. This article is an open access article distributed under the terms and conditions of the Creative Commons Attribution (CC BY) license (https://creativecommons.org/licenses/by/4.0/).
Share and Cite
Riaz, S.; Yin, C.-W.; Qi, R.; Li, B.; Ali, S.; Shehzad, K. Design of Predefined Time Convergent Sliding Mode Control for a Nonlinear PMLM Position System. Electronics 2023, 12, 813. https://doi.org/10.3390/electronics12040813
Riaz S, Yin C-W, Qi R, Li B, Ali S, Shehzad K. Design of Predefined Time Convergent Sliding Mode Control for a Nonlinear PMLM Position System. Electronics. 2023; 12(4):813. https://doi.org/10.3390/electronics12040813
Chicago/Turabian StyleRiaz, Saleem, Chun-Wu Yin, Rong Qi, Bingqiang Li, Sadia Ali, and Khurram Shehzad. 2023. "Design of Predefined Time Convergent Sliding Mode Control for a Nonlinear PMLM Position System" Electronics 12, no. 4: 813. https://doi.org/10.3390/electronics12040813
APA StyleRiaz, S., Yin, C.-W., Qi, R., Li, B., Ali, S., & Shehzad, K. (2023). Design of Predefined Time Convergent Sliding Mode Control for a Nonlinear PMLM Position System. Electronics, 12(4), 813. https://doi.org/10.3390/electronics12040813

