Robust State Estimation Using the Maximum Correntropy Cubature Kalman Filter with Adaptive Cauchy-Kernel Size
Abstract
:1. Introduction
2. Problem Formulation
2.1. Maximum Correntropy Criterion and Cauchy Kernel Function
2.2. Cauchy Kernel-Based Maximum Correntropy Cubature Kalman Filter
2.2.1. Time Update
2.2.2. Measurement Update
3. Adaptive Cauchy-Kernel Maximum Correntropy Cubature Kalman Filter
3.1. Adaptive Kernel Bandwidth Adjustment Strategy
3.2. Adaptive Cauchy-Kernel Maximum Correntropy Cubature Kalman Filter
4. Illustrative Examples
4.1. Simulation Scenarios and Performance Metrics
4.2. Gaussian Noise Test
4.3. Non-Gaussian Noise Test
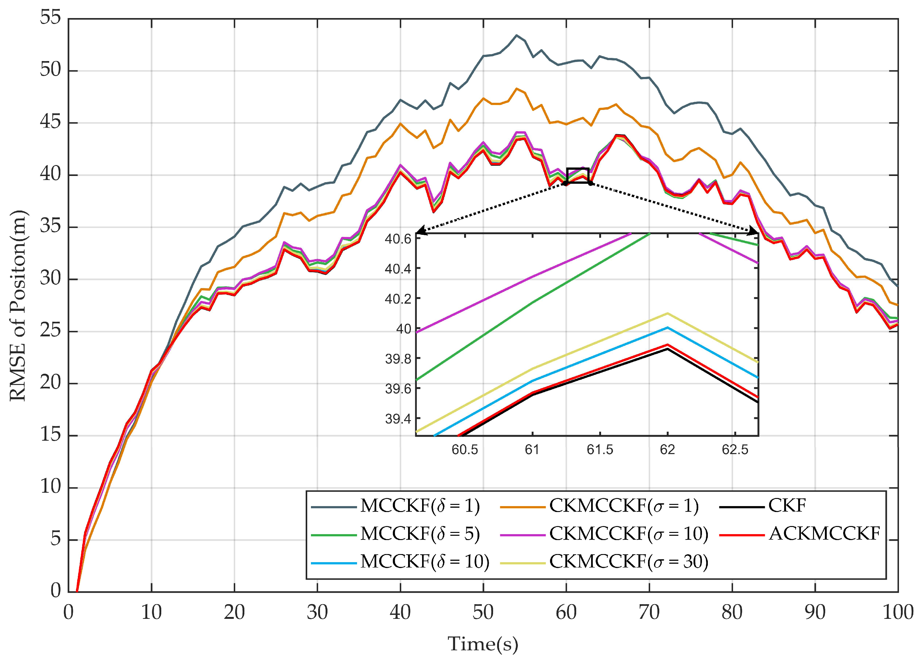
4.4. Observation Outliers Test
5. Conclusions
Author Contributions
Funding
Data Availability Statement
Conflicts of Interest
References
- Sang, X.Y.; Li, J.C.; Yuan, Z.H.; Yu, X.J.; Zhang, J.Q.; Zhang, J.R.; Yang, P.F. Invariant Cubature Kalman Filtering-Based Visual-Inertial Odometry for Robot Pose Estimation. IEEE Sens. J. 2022, 22, 23413–23422. [Google Scholar] [CrossRef]
- Wang, Y.; Yang, Z.W.; Wang, Y.Q.; Li, Z.W.; Dinavahi, V.; Liang, J. Resilient Dynamic State Estimation for Power System Using Cauchy-Kernel-Based Maximum Correntropy Cubature Kalman Filter. IEEE Trans. Instrum. Meas. 2023, 72, 3268445. [Google Scholar] [CrossRef]
- Dantas, D.T.; Neto, J.A.D.; Manassero, G., Jr. Transient current protection for transmission lines based on the Kalman filter measurement residual. Int. J. Electr. Power Energy Syst. 2023, 154, 109471. [Google Scholar] [CrossRef]
- Huang, C.Y.; Xu, Z.; Xue, Z.J.; Zhang, Z.H.; Liu, Z.Y.; Wang, X.Y.; Li, L. Transfer Case Clutch Modeling and EKF-UIO Based Torque Estimation Method for On-Demand 4WD Vehicles. IEEE Trans. Veh. Technol. 2023, 72, 458–468. [Google Scholar] [CrossRef]
- Montañez, O.J.; Suarez, M.J.; Fernandez, E.A. Application of Data Sensor Fusion Using Extended Kalman Filter Algorithm for Identification and Tracking of Moving Targets from LiDAR-Radar Data. Remote Sens. 2023, 15, 3396. [Google Scholar] [CrossRef]
- Ye, X.Z.; Wang, J.; Wu, D.J.; Zhang, Y.; Li, B. A Novel Adaptive Robust Cubature Kalman Filter for Maneuvering Target Tracking with Model Uncertainty and Abnormal Measurement Noises. Sensors 2023, 23, 6966. [Google Scholar] [CrossRef]
- Julier, S.J.; Uhlmann, J.K. Unscented filtering and nonlinear estimation. Proc. IEEE 2004, 92, 401–422. [Google Scholar] [CrossRef]
- Arasaratnam, I.; Haykin, S. Cubature Kalman Filters. IEEE Trans. Autom. Control 2009, 54, 1254–1269. [Google Scholar] [CrossRef]
- Li, L.Q.; Sun, Y.C.; Liu, Z.X. Maximum Fuzzy Correntropy Kalman Filter and Its Application to Bearings-Only Maneuvering Target Tracking. Int. J. Fuzzy Syst. 2021, 23, 405–418. [Google Scholar] [CrossRef]
- Bilik, I.; Tabrikian, J. MMSE-Based Filtering in Presence of Non-Gaussian System and Measurement Noise. IEEE Trans. Aerosp. Electron. Syst. 2010, 46, 1153–1170. [Google Scholar] [CrossRef]
- Shan, C.; Zhou, W.; Jiang, Z.; Shan, H. A new Gaussian approximate filter with colored non-stationary heavy-tailed measurement noise. Digit. Signal Process. 2022, 122, 103358. [Google Scholar] [CrossRef]
- Abbassi, N.; Benboudjema, D.; Derrode, S.; Pieczynski, W. Optimal Filter Approximations in Conditionally Gaussian Pairwise Markov Switching Models. IEEE Trans. Autom. Control 2015, 60, 1104–1109. [Google Scholar] [CrossRef]
- Yap, G.L.C. Optimal Filter Approximations for Latent Long Memory Stochastic Volatility. Comput. Econ. 2019, 56, 547–568. [Google Scholar] [CrossRef]
- Simon, D. A game theory approach to constrained minimax state estimation. IEEE Trans. Signal Process. 2006, 54, 405–412. [Google Scholar] [CrossRef]
- Wang, X.; Cui, N.; Guo, J. Huber-based unscented filtering and its application to vision-based relative navigation. IET Radar Sonar Navig. 2010, 4, 134–141. [Google Scholar] [CrossRef]
- Chang, L.; Hu, B.; Chang, G.; Li, A. Huber-based novel robust unscented Kalman filter. IET Sci. Meas. Technol. 2012, 6, 502–509. [Google Scholar] [CrossRef]
- Liu, J.; Cai, B.G.; Wang, J. Cooperative Localization of Connected Vehicles: Integrating GNSS With DSRC Using a Robust Cubature Kalman Filter. IEEE Trans. Intell. Transp. Syst. 2017, 18, 2111–2125. [Google Scholar] [CrossRef]
- Chen, B.D.; Liu, X.; Zhao, H.Q.; Principe, J.C. Maximum correntropy Kalman filter. Automatica 2017, 76, 70–77. [Google Scholar] [CrossRef]
- Liu, X.; Chen, B.D.; Xu, B.; Wu, Z.Z.; Honeine, P. Maximum correntropy unscented filter. Int. J. Syst. Sci. 2017, 48, 1607–1615. [Google Scholar] [CrossRef]
- Liu, X.; Qu, H.; Zhao, J.H.; Yue, P.C. Maximum correntropy square-root cubature Kalman filter with application to SINS/GPS integrated systems. Isa Trans. 2018, 80, 195–202. [Google Scholar] [CrossRef]
- Wang, H.W.; Zhang, W.; Zuo, J.Y.; Wang, H.P. Outlier-robust Kalman filters with mixture correntropy. J. Frankl. Inst.-Eng. Appl. Math. 2020, 357, 5058–5072. [Google Scholar] [CrossRef]
- Li, S.L.; Li, L.J.; Shi, D.W.; Zou, W.L.; Duan, P.; Shi, L. Multi-Kernel Maximum Correntropy Kalman Filter for Orientation Estimation. IEEE Robot. Autom. Lett. 2022, 7, 6693–6700. [Google Scholar] [CrossRef]
- Dang, L.J.; Chen, B.D.; Huang, Y.L.; Zhang, Y.G.; Zhao, H.Q. Cubature Kalman Filter Under Minimum Error Entropy With Fiducial Points for INS/GPS Integration. IEEE-Caa J. Autom. Sin. 2022, 9, 450–465. [Google Scholar] [CrossRef]
- Zhao, H.Q.; Tian, B.Y.; Chen, B.D. Robust stable iterated unscented Kalman filter based on maximum correntropy criterion. Automatica 2022, 142, 110410. [Google Scholar] [CrossRef]
- Shi, W.; Xiong, K.; Wang, S. The Kernel Recursive Generalized Cauchy Kernel Loss Algorithm. In Proceedings of the 2019 6th International Conference on Information, Cybernetics, and Computational Social Systems (ICCSS), Chongqing, China, 27–30 September 2019; pp. 253–257. [Google Scholar]
- Wang, J.Q.; Lyu, D.H.; He, Z.M.; Zhou, H.Y.; Wang, D.Y. Cauchy kernel-based maximum correntropy Kalman filter. Int. J. Syst. Sci. 2020, 51, 3523–3538. [Google Scholar] [CrossRef]
- Meng, Q.W.; Li, X.Y. Minimum Cauchy Kernel Loss Based Robust Cubature Kalman Filter and Its Low Complexity Cost Version With Application on INS/OD Integrated Navigation System. IEEE Sens. J. 2022, 22, 9534–9542. [Google Scholar] [CrossRef]
- Wang, G.Q.; Zhang, Y.G.; Wang, X.D. Iterated maximum correntropy unscented Kalman filters for non-Gaussian systems. Signal Process. 2019, 163, 87–94. [Google Scholar] [CrossRef]
- Zhao, J.B.; Mili, L. A Robust Generalized-Maximum Likelihood Unscented Kalman Filter for Power System Dynamic State Estimation. IEEE J. Sel. Top. Signal Process. 2018, 12, 578–592. [Google Scholar] [CrossRef]
- Wang, G.Q.; Li, N.; Zhang, Y.G. Maximum correntropy unscented Kalman and information filters for non-Gaussian measurement noise. J. Frankl. Inst.-Eng. Appl. Math. 2017, 354, 8659–8677. [Google Scholar] [CrossRef]
- Song, H.F.; Ding, D.R.; Dong, H.L.; Yi, X.J. Distributed filtering based on Cauchy-kernel-based maximum correntropy subject to randomly occurring cyber-attacks. Automatica 2022, 135, 110004. [Google Scholar] [CrossRef]
- Shen, B.; Wang, X.L.; Zou, L. Maximum Correntropy Kalman Filtering for Non-Gaussian Systems With State Saturations and Stochastic Nonlinearities. IEEE-CAA J. Autom. Sin. 2023, 10, 1223–1233. [Google Scholar] [CrossRef]
- Fakoorian, S.; Mohammadi, A.; Azimi, V.; Simon, D. Robust Kalman-Type Filter for Non-Gaussian Noise: Performance Analysis With Unknown Noise Covariances. J. Dyn. Syst. Meas. Control 2019, 141, 091011. [Google Scholar] [CrossRef]
- Li, M.Z.; Jing, Z.L.; Zhu, H.Y.; Song, Y.R. Multi-sensor measurement fusion based on minimum mixture error entropy with non-Gaussian measurement noise. Digit. Signal Process. 2022, 123, 103377. [Google Scholar] [CrossRef]
- Ghorbani, E.; Cha, Y.-J. An iterated cubature unscented Kalman filter for large-DoF systems identification with noisy data. J. Sound Vib. 2018, 420, 21–34. [Google Scholar] [CrossRef]
- Kulikova, M.V. Gradient-Based Parameter Estimation in Pairwise Linear Gaussian System. IEEE Trans. Autom. Control 2017, 62, 1511–1517. [Google Scholar] [CrossRef]
- Zhang, G.; Lan, J.; Le, Z.; He, F.; Li, S. Filtering in Pairwise Markov Model With Student’s t Non-Stationary Noise With Application to Target Tracking. IEEE Trans. Signal Process. 2021, 69, 1627–1641. [Google Scholar] [CrossRef]
- Lehmann, F.; Pieczynski, W. Reduced-Dimension Filtering in Triplet Markov Models. IEEE Trans. Autom. Control 2022, 67, 605–617. [Google Scholar] [CrossRef]
- Zhang, G.; Zhang, X.; Zeng, L.; Dai, S.; Zhang, M.; Lian, F. Filtering in Triplet Markov Chain Model in the Presence of Non-Gaussian Noise with Application to Target Tracking. Remote Sens. 2023, 15, 5543. [Google Scholar] [CrossRef]








| Parameter | Corresponding Value |
|---|---|
| Discrete sampling period | T = 1 s |
| Turning rate | |
| Initial process noise covariance matrix | |
| Initial measurement noise covariance matrix | |
| Initial true state and estimation | |
| Initial state covariance matrix |
| Filters | ARMSE of Position (m) | ARMSE of Velocity (m/s) |
|---|---|---|
| CKF | 33.43 | 4.91 |
| MC-CKF () | 46.29 | 5.53 |
| MC-CKF () | 39.50 | 5.18 |
| MC-CKF () | 34.51 | 4.96 |
| MC-CKF () | 33.78 | 4.92 |
| MC-CKF () | 33.52 | 4.91 |
| CKMC-CKF () | 36.56 | 5.09 |
| CKMC-CKF () | 34.57 | 4.97 |
| CKMC-CKF () | 33.68 | 4.92 |
| CKMC-CKF () | 33.52 | 4.91 |
| CKMC-CKF () | 33.44 | 4.91 |
| ACKMC-CKF () | 33.45 | 4.91 |
| Filters | ARMSE of Position (m) | ARMSE of Velocity (m/s) |
|---|---|---|
| CKF | 90.19 | 8.45 |
| ) | 57.02 | 6.16 |
| ) | 68.75 | 6.92 |
| ) | 74.02 | 7.29 |
| ) | 57.11 | 6.15 |
| ) | 58.13 | 6.22 |
| ) | 61.58 | 6.45 |
| ) | 41.42 | 5.33 |
| ) | 40.33 | 5.27 |
Disclaimer/Publisher’s Note: The statements, opinions and data contained in all publications are solely those of the individual author(s) and contributor(s) and not of MDPI and/or the editor(s). MDPI and/or the editor(s) disclaim responsibility for any injury to people or property resulting from any ideas, methods, instructions or products referred to in the content. |
© 2023 by the authors. Licensee MDPI, Basel, Switzerland. This article is an open access article distributed under the terms and conditions of the Creative Commons Attribution (CC BY) license (https://creativecommons.org/licenses/by/4.0/).
Share and Cite
Ye, X.; Lu, S.; Wang, J.; Wu, D.; Zhang, Y. Robust State Estimation Using the Maximum Correntropy Cubature Kalman Filter with Adaptive Cauchy-Kernel Size. Electronics 2024, 13, 114. https://doi.org/10.3390/electronics13010114
Ye X, Lu S, Wang J, Wu D, Zhang Y. Robust State Estimation Using the Maximum Correntropy Cubature Kalman Filter with Adaptive Cauchy-Kernel Size. Electronics. 2024; 13(1):114. https://doi.org/10.3390/electronics13010114
Chicago/Turabian StyleYe, Xiangzhou, Siyu Lu, Jian Wang, Dongjie Wu, and Yong Zhang. 2024. "Robust State Estimation Using the Maximum Correntropy Cubature Kalman Filter with Adaptive Cauchy-Kernel Size" Electronics 13, no. 1: 114. https://doi.org/10.3390/electronics13010114
APA StyleYe, X., Lu, S., Wang, J., Wu, D., & Zhang, Y. (2024). Robust State Estimation Using the Maximum Correntropy Cubature Kalman Filter with Adaptive Cauchy-Kernel Size. Electronics, 13(1), 114. https://doi.org/10.3390/electronics13010114
