Parameter Optimization of Josephson Parametric Amplifiers Using a Heuristic Search Algorithm for Axion Haloscope Search
Abstract
1. Introduction
2. Materials and Methods
2.1. Flux-Driven JPA
2.2. Nelder–Mead Algorithm
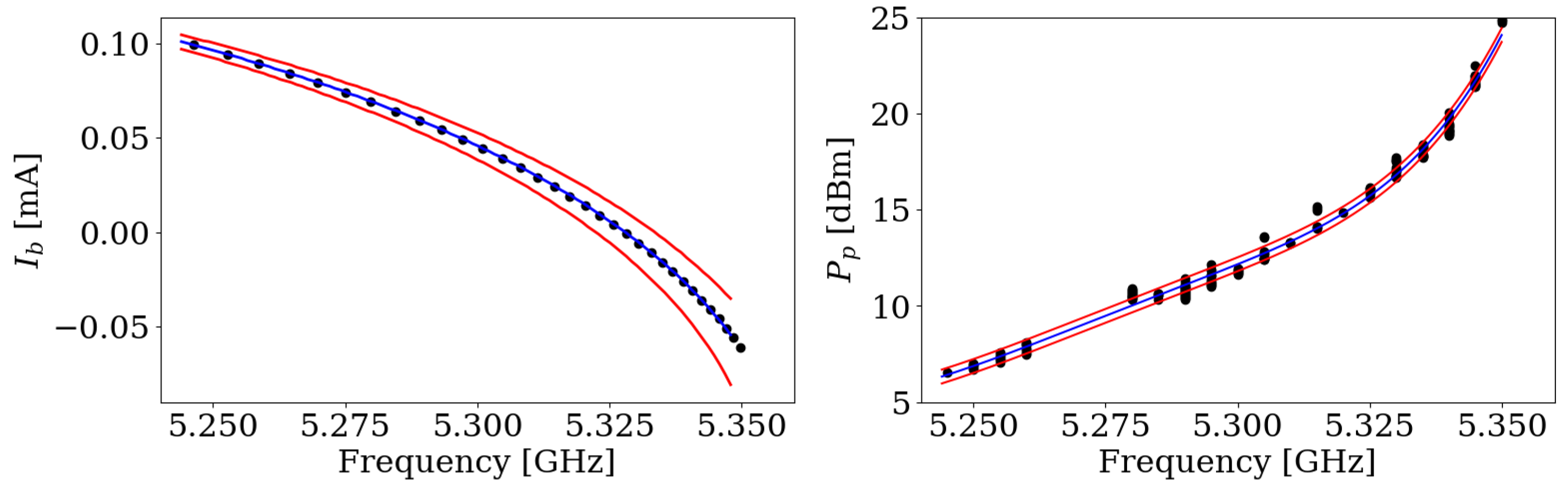
2.3. Measurement Setup and Calibration
2.4. JPA Saturation
2.5. Noise Visibility Ratio
3. Results
3.1. JPA Parameterization
3.2. JPA Characterization
4. Discussion and Conclusions
Author Contributions
Funding
Data Availability Statement
Conflicts of Interest
Abbreviations
| DR | Dilution refrigerator | 
| HEMT | High electron mobility transistor | 
| JPA | Josephson parametric amplifier | 
| MXC | Mixing-chamber plate | 
| NM | Nelder–Mead | 
| NVR | Noise Visibility Ratio | 
| QCD | Quantum chromodynamics | 
| VNA | Vector network analyzer | 
References
- Peccei, R.D.; Quinn, H.R. CP Conservation in the Presence of Pseudoparticles. Phys. Rev. Lett. 1977, 38, 1440–1443. [Google Scholar] [CrossRef]
- Weinberg, S. A New Light Boson? Phys. Rev. Lett. 1978, 40, 223–226. [Google Scholar] [CrossRef]
- Wilczek, F. Problem of Strong P and T Invariance in the Presence of Instantons. Phys. Rev. Lett. 1978, 40, 279–282. [Google Scholar] [CrossRef]
- Kim, J.E. Weak-Interaction Singlet and Strong CP Invariance. Phys. Rev. Lett. 1979, 43, 103–107. [Google Scholar] [CrossRef]
- Shifman, M.; Vainshtein, A.; Zakharov, V. Can confinement ensure natural CP invariance of strong interactions? Nucl. Phys. B 1980, 166, 493–506. [Google Scholar] [CrossRef]
- Zhitnitsky, A.R. On Possible Suppression of the Axion Hadron Interactions. Sov. J. Nucl. Phys. 1980, 31, 260. (In Russian) [Google Scholar]
- Dine, M.; Fischler, W.; Srednicki, M. A simple solution to the strong CP problem with a harmless axion. Phys. Lett. B 1981, 104, 199–202. [Google Scholar] [CrossRef]
- Preskill, J.; Wise, M.B.; Wilczek, F. Cosmology of the invisible axion. Phys. Lett. B 1983, 120, 127–132. [Google Scholar] [CrossRef]
- Abbott, L.; Sikivie, P. A cosmological bound on the invisible axion. Phys. Lett. B 1983, 120, 133–136. [Google Scholar] [CrossRef]
- Dine, M.; Fischler, W. The not-so-harmless axion. Phys. Lett. B 1983, 120, 137–141. [Google Scholar] [CrossRef]
- Chadha-Day, F.; Ellis, J.; Marsh, D.J.E. Axion dark matter: What is it and why now? Sci. Adv. 2022, 8, eabj3618. [Google Scholar] [CrossRef] [PubMed]
- Ringwald, A. Review on Axions. arXiv 2024, arXiv:abs/2404.09036. [Google Scholar]
- Sikivie, P. Experimental Tests of the “Invisible” Axion. Phys. Rev. Lett. 1983, 51, 1415–1417. [Google Scholar] [CrossRef]
- Kim, D.; Jeong, J.; Youn, S.; Kim, Y.; Semertzidis, Y.K. Revisiting the detection rate for axion haloscopes. J. Cosmol. Astropart. Phys. 2020, 2020, 066. [Google Scholar] [CrossRef]
- Johnson, J.B. Thermal Agitation of Electricity in Conductors. Phys. Rev. 1928, 32, 97–109. [Google Scholar] [CrossRef]
- Nyquist, H. Thermal Agitation of Electric Charge in Conductors. Phys. Rev. 1928, 32, 110–113. [Google Scholar] [CrossRef]
- Callen, H.B.; Welton, T.A. Irreversibility and Generalized Noise. Phys. Rev. 1951, 83, 34–40. [Google Scholar] [CrossRef]
- Friis, H. Noise Figures of Radio Receivers. Proc. IRE 1944, 32, 419–422. [Google Scholar] [CrossRef]
- Yamamoto, T.; Inomata, K.; Watanabe, M.; Matsuba, K.; Miyazaki, T.; Oliver, W.D.; Nakamura, Y.; Tsai, J.S. Flux-driven Josephson parametric amplifier. Appl. Phys. Lett. 2008, 93, 042510. [Google Scholar] [CrossRef]
- Du, N.; Force, N.; Khatiwada, R.; Lentz, E.; Ottens, R.; Rosenberg, L.J.; Rybka, G.; Carosi, G.; Woollett, N.; Bowring, D.; et al. Search for Invisible Axion Dark Matter with the Axion Dark Matter Experiment. Phys. Rev. Lett. 2018, 120, 151301. [Google Scholar] [CrossRef]
- Braine, T.; Cervantes, R.; Crisosto, N.; Du, N.; Kimes, S.; Rosenberg, L.J.; Rybka, G.; Yang, J.; Bowring, D.; Chou, A.S.; et al. Extended Search for the Invisible Axion with the Axion Dark Matter Experiment. Phys. Rev. Lett. 2020, 124, 101303. [Google Scholar] [CrossRef] [PubMed]
- Backes, K.M.; Palken, D.A.; Kenany, S.A.; Brubaker, B.M.; Cahn, S.B.; Droster, A.; Hilton, G.C.; Ghosh, S.; Jackson, H.; Lamoreaux, S.K.; et al. A quantum enhanced search for dark matter axions. Nature 2021, 590, 238–242. [Google Scholar] [CrossRef] [PubMed]
- Bartram, C.; Braine, T.; Burns, E.; Cervantes, R.; Crisosto, N.; Du, N.; Korandla, H.; Leum, G.; Mohapatra, P.; Nitta, T.; et al. Search for Invisible Axion Dark Matter in the 3.3–4.2 μeV Mass Range. Phys. Rev. Lett. 2021, 127, 261803. [Google Scholar] [CrossRef] [PubMed]
- Zhong, L.; Al Kenany, S.; Backes, K.M.; Brubaker, B.M.; Cahn, S.B.; Carosi, G.; Gurevich, Y.V.; Kindel, W.F.; Lamoreaux, S.K.; Lehnert, K.W.; et al. Results from phase 1 of the HAYSTAC microwave cavity axion experiment. Phys. Rev. D 2018, 97, 092001. [Google Scholar] [CrossRef]
- Yi, A.K.; Ahn, S.; Kutlu, Ç.; Kim, J.; Ko, B.R.; Ivanov, B.I.; Byun, H.; van Loo, A.F.; Park, S.; Jeong, J.; et al. Axion Dark Matter Search around 4.55 μeV with Dine-Fischler-Srednicki-Zhitnitskii Sensitivity. Phys. Rev. Lett. 2023, 130, 071002. [Google Scholar] [CrossRef] [PubMed]
- Kim, J.; Kwon, O.; Kutlu, Ç.; Chung, W.; Matlashov, A.; Uchaikin, S.; van Loo, A.F.; Nakamura, Y.; Oh, S.; Byun, H.; et al. Near-Quantum-Noise Axion Dark Matter Search at CAPP around 9.5 μeV. Phys. Rev. Lett. 2023, 130, 091602. [Google Scholar] [CrossRef] [PubMed]
- Castellanos-Beltran, M.A.; Irwin, K.D.; Hilton, G.C.; Vale, L.R.; Lehnert, K.W. Amplification and squeezing of quantum noise with a tunable Josephson metamaterial. Nat. Phys. 2008, 4, 929–931. [Google Scholar] [CrossRef]
- Teufel, J.D.; Donner, T.; Castellanos-Beltran, M.A.; Harlow, J.W.; Lehnert, K.W. Nanomechanical motion measured with an imprecision below that at the standard quantum limit. Nat. Nanotechnol. 2009, 4, 820–823. [Google Scholar] [CrossRef]
- Vijay, R.; Slichter, D.H.; Siddiqi, I. Observation of Quantum Jumps in a Superconducting Artificial Atom. Phys. Rev. Lett. 2011, 106, 110502. [Google Scholar] [CrossRef] [PubMed]
- Mallet, F.; Castellanos-Beltran, M.A.; Ku, H.S.; Glancy, S.; Knill, E.; Irwin, K.D.; Hilton, G.C.; Vale, L.R.; Lehnert, K.W. Quantum State Tomography of an Itinerant Squeezed Microwave Field. Phys. Rev. Lett. 2011, 106, 220502. [Google Scholar] [CrossRef]
- Eichler, C.; Bozyigit, D.; Lang, C.; Baur, M.; Steffen, L.; Fink, J.M.; Filipp, S.; Wallraff, A. Observation of Two-Mode Squeezing in the Microwave Frequency Domain. Phys. Rev. Lett. 2011, 107, 113601. [Google Scholar] [CrossRef] [PubMed]
- Menzel, E.P.; Di Candia, R.; Deppe, F.; Eder, P.; Zhong, L.; Ihmig, M.; Haeberlein, M.; Baust, A.; Hoffmann, E.; Ballester, D.; et al. Path Entanglement of Continuous-Variable Quantum Microwaves. Phys. Rev. Lett. 2012, 109, 250502. [Google Scholar] [CrossRef] [PubMed]
- Lin, Z.R.; Inomata, K.; Koshino, K.; Oliver, W.D.; Nakamura, Y.; Tsai, J.S.; Yamamoto, T. Josephson parametric phase-locked oscillator and its application to dispersive readout of superconducting qubits. Nat. Commun. 2014, 5, 4480. [Google Scholar] [CrossRef]
- Khatiwada, R.; Bowring, D.; Chou, A.S.; Sonnenschein, A.; Wester, W.; Mitchell, D.V.; Braine, T.; Bartram, C.; Cervantes, R.; Crisosto, N.; et al. Axion Dark Matter Experiment: Detailed design and operations. Rev. Sci. Instrum. 2021, 92, 124502. [Google Scholar] [CrossRef] [PubMed]
- Nelder, J.A.; Mead, R. A Simplex Method for Function Minimization. Comput. J. 1965, 7, 308–313. [Google Scholar] [CrossRef]
- Kim, Y.; Jeong, J.; Youn, S.; Bae, S.; Lee, K.; van Loo, A.F.; Nakamura, Y.; Oh, S.; Seong, T.; Uchaikin, S.; et al. Experimental search for invisible axions as a test of axion cosmology around 22 μeV. arXiv 2023, arXiv:2312.11003. [Google Scholar]
- Kutlu, Ç.; van Loo, A.F.; Uchaikin, S.V.; Matlashov, A.N.; Lee, D.; Oh, S.; Kim, J.; Chung, W.; Nakamura, Y.; Semertzidis, Y.K. Characterization of a flux-driven Josephson parametric amplifier with near quantum-limited added noise for axion search experiments. Supercond. Sci. Technol. 2021, 34, 085013. [Google Scholar] [CrossRef]
- Tinkham, M. Introduction to Superconductivity; Dover Publications: Mineola, NY, USA, 2004. [Google Scholar]
- Clarke, J.; Braginski, A.I. The SQUID Handbook; Wiley-VCH GmbH: Weinheim, Germany, 2004. [Google Scholar]
- Roy, A.; Devoret, M. Introduction to parametric amplification of quantum signals with Josephson circuits. Comptes Rendus Phys. 2016, 17, 740–755. [Google Scholar] [CrossRef]
- Uchaikin, S.V.; Ivanov, B.I.; Kim, J.; Kutlu, Ç.; van Loo, A.F.; Nakamura, Y.; Oh, S.; Gkika, V.; Matlashov, A.; Chung, W.; et al. CAPP Axion Search Experiments with Quantum Noise Limited Amplifiers. JPS Conf. Proc. 2023, 38, 011201. [Google Scholar] [CrossRef]
- Sliwa, K.M.; Hatridge, M.; Narla, A.; Shankar, S.; Frunzio, L.; Schoelkopf, R.J.; Devoret, M.H. Reconfigurable Josephson Circulator/Directional Amplifier. Phys. Rev. X 2015, 5, 041020. [Google Scholar] [CrossRef]
- Wallquist, M.; Shumeiko, V.S.; Wendin, G. Selective coupling of superconducting charge qubits mediated by a tunable stripline cavity. Phys. Rev. B 2006, 74, 224506. [Google Scholar] [CrossRef]









| Method | Pros | Cons | Char. Time [s] | 
|---|---|---|---|
| Pre-scanned [25,34] | Comprehensive | Unreliable in changing environments | a | 
| Target gain [24,26] | In-situ, time-efficient | Suboptimal solutions | b | 
| Nelder–Mead [36] | In-situ, optimal solutions | Heuristic | b | 
| Disclaimer/Publisher’s Note: The statements, opinions and data contained in all publications are solely those of the individual author(s) and contributor(s) and not of MDPI and/or the editor(s). MDPI and/or the editor(s) disclaim responsibility for any injury to people or property resulting from any ideas, methods, instructions or products referred to in the content. | 
© 2024 by the authors. Licensee MDPI, Basel, Switzerland. This article is an open access article distributed under the terms and conditions of the Creative Commons Attribution (CC BY) license (https://creativecommons.org/licenses/by/4.0/).
Share and Cite
Kim, Y.; Jeong, J.; Youn, S.; Bae, S.; van Loo, A.F.; Nakamura, Y.; Uchaikin, S.; Semertzidis, Y.K. Parameter Optimization of Josephson Parametric Amplifiers Using a Heuristic Search Algorithm for Axion Haloscope Search. Electronics 2024, 13, 2127. https://doi.org/10.3390/electronics13112127
Kim Y, Jeong J, Youn S, Bae S, van Loo AF, Nakamura Y, Uchaikin S, Semertzidis YK. Parameter Optimization of Josephson Parametric Amplifiers Using a Heuristic Search Algorithm for Axion Haloscope Search. Electronics. 2024; 13(11):2127. https://doi.org/10.3390/electronics13112127
Chicago/Turabian StyleKim, Younggeun, Junu Jeong, Sungwoo Youn, Sungjae Bae, Arjan F. van Loo, Yasunobu Nakamura, Sergey Uchaikin, and Yannis K. Semertzidis. 2024. "Parameter Optimization of Josephson Parametric Amplifiers Using a Heuristic Search Algorithm for Axion Haloscope Search" Electronics 13, no. 11: 2127. https://doi.org/10.3390/electronics13112127
APA StyleKim, Y., Jeong, J., Youn, S., Bae, S., van Loo, A. F., Nakamura, Y., Uchaikin, S., & Semertzidis, Y. K. (2024). Parameter Optimization of Josephson Parametric Amplifiers Using a Heuristic Search Algorithm for Axion Haloscope Search. Electronics, 13(11), 2127. https://doi.org/10.3390/electronics13112127
 
        



 
       