An Optimal SVD Filtering Method for Measurement Accuracy Improvement against Harmonic Disturbance in Grid-Connected Inverters
Abstract
1. Introduction
1.1. A Review of SVD-Based Noise Detection and Suppression Methods
1.2. New Contributions in This Work
2. The Principle of Singular Value Filtering
3. The Proposed Optimal Singular Value Filtering Method
3.1. The Principle of Optimal SVD Filtering Method
3.2. The Effects of Reconstruction Order
- (1)
- Select the initial sample number N, and construct the sample matrix with the optimal dimension :
- (2)
- Perform singular value decomposition for the sample matrix H in (20), where the diagonal matrix is used to calculate the singular value difference spectrum as (21)Given the threshold parameter , the set containing spectral components greater than is built. And the reconstruction order should satisfy (22)where means the subscript i of ; and means taking the largest i value of all subscripts as the estimate of the reconstruction order .
- (3)
- Then, increase the number of sample points to 2N, and repeat steps 1–3. If the obtained reconstruction order changes, the number of sample points can be increased to 4N, until the reconstruction order obtained by each calculation is constant.
3.3. Filtering Error Analysis
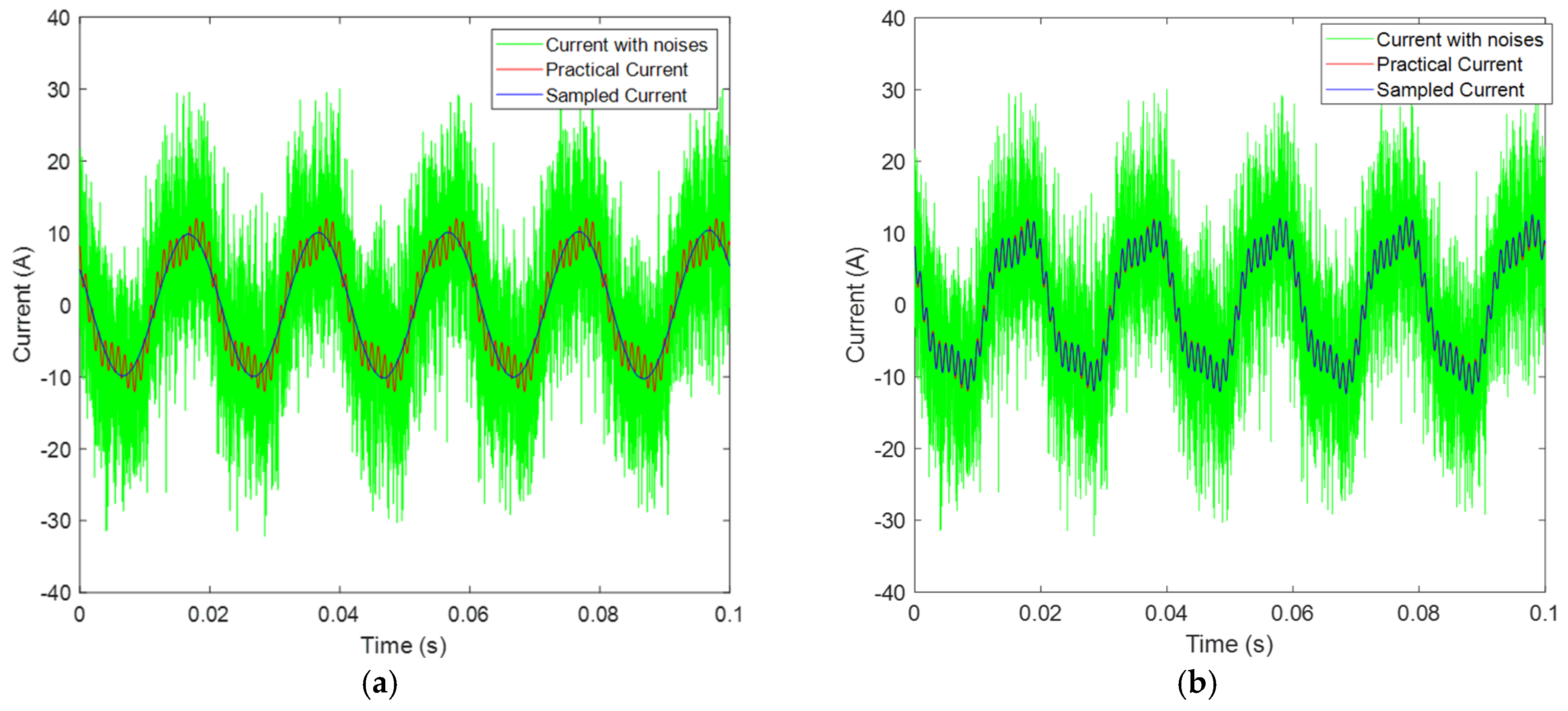
4. Case Study
4.1. Case I: Filtering Performance in Grid-Connected Inverters
4.2. Case II: The Analysis for Reconstruction Order
4.3. The Effect Analysis of Different Noise Strengths
4.4. The Performance Analysis of Grid-Connected Inverters with Current Variation
5. Conclusions
Author Contributions
Funding
Data Availability Statement
Conflicts of Interest
References
- Charalambous, C.A.; Demetriou, A.; Lazari, A.L.; Nikolaidis, A.I. Effects of electromagnetic interference on underground pipelines caused by the operation of high voltage AC traction systems: The impact of harmonics. IEEE Trans. Power Deliv. 2018, 33, 2664–2672. [Google Scholar] [CrossRef]
- Almutairi, M.S.; Hadjiloucas, S. Harmonics mitigation based on the minimization of non-linearity current in a power system. Designs 2019, 3, 29. [Google Scholar] [CrossRef]
- Eroğlu, H.; Cuce, E.; Cuce, P.M.; Gul, F.; Iskenderoğlu, A. Harmonic problems in renewable and sustainable energy systems: A comprehensive review. Sustain. Energy Technol. Assess. 2021, 48, 101566. [Google Scholar] [CrossRef]
- Shaik, A.G.; Mahela, O.P. Power quality assessment and event detection in hybrid power system. Electr. Power Syst. Res. 2018, 161, 26–44. [Google Scholar] [CrossRef]
- Mishra, M. Power quality disturbance detection and classification using signal processing and soft computing techniques: A comprehensive review. Int. Trans. Electr. Energy Syst. 2019, 29, e12008. [Google Scholar] [CrossRef]
- Fisher, M.E.; Sharaf, A.M. A continuous frequency optimization technique for power system harmonic filter design. Eng. Optim. 1994, 23, 71–86. [Google Scholar] [CrossRef]
- Wang, Y.; Wang, X.; Chen, Z.; Blaabjerg, F. Small-signal stability analysis of inverter-fed power systems using component connection method. IEEE Trans. Smart Grid 2017, 9, 5301–5310. [Google Scholar] [CrossRef]
- Ding, H.; Wang, J.T.; Lu, L.Q.; Pan, J.W. Parameter optimization of toroidal tuned liquid column dampers for suppressing multi-directional harmonic vibration of structures. Eng. Optim. 2022, 54, 1–19. [Google Scholar] [CrossRef]
- Wang, Y.; Wang, X.; Blaabjerg, F.; Chen, Z. Harmonic instability assessment using state-space modeling and par-ticipation analysis in inverter-fed power systems. IEEE Trans. Ind. Electron. 2016, 64, 806–816. [Google Scholar] [CrossRef]
- Cai, J.; Wang, M.Y.; Xia, Q.; Luo, Y. Optimal design of a tapping-mode atomic force microscopy cantilever probe with resonance harmonics assignment. Eng. Optim. 2017, 49, 43–59. [Google Scholar] [CrossRef]
- Arranz-Gimon, A.; Zorita-Lamadrid, A.; Morinigo-Sotelo, D.; Duque-Perez, O. A review of total harmonic distortion factors for the measurement of harmonic and interharmonic pollution in modern power systems. Energies 2021, 14, 6467. [Google Scholar] [CrossRef]
- George, J.W. Power Systems Harmonics Fundamentals, Analysis and Filter Design; Springer: Berlin/Heidelberg, Germany, 2001. [Google Scholar]
- Wang, Y.; Li, Q.; Zhou, F.; Zhou, Y.; Mu, X. A new method with Hilbert transform and slip-SVD-based noise-suppression algorithm for noisy power quality monitoring. IEEE Trans. Instrum. Meas. 2018, 68, 987–1001. [Google Scholar] [CrossRef]
- Canciello, G.; Cavallo, A.; Cucuzzella, M.; Ferrara, A. Fuzzy scheduling of robust controllers for islanded DC microgrids applications. Int. J. Dyn. Control 2019, 7, 690–700. [Google Scholar] [CrossRef]
- Canciello, G.; Cavallo, A.; Guida, B. Robust control of aeronautical electrical generators for energy management applications. Int. J. Aerosp. Eng. 2017, 2017, 1745154. [Google Scholar] [CrossRef]
- Qiu, Y.; Wang, Y.; Tian, Y.; Chen, Z. An Intelligent Stability Prediction Method of Grid-Connected Inverter Considering Time-varying Parameters. IEEE Trans. Ind. Appl. 2024, 60, 3685–3697. [Google Scholar] [CrossRef]
- Santos, E.; Khosravy, M.; Lima, M.A.; Cerqueira, A.S.; Duque, C.A. ESPRIT associated with filter bank for power-line harmonics, sub-harmonics and inter-harmonics parameters estimation. Int. J. Electr. Power Energy Syst. 2020, 118, 105731. [Google Scholar] [CrossRef]
- Gnaciński, P.; Pepliński, M.; Murawski, L.; Szeleziński, A. Vibration of induction machine supplied with voltage containing subharmonics and interharmonics. IEEE Trans. Energy Convers. 2019, 34, 1928–1937. [Google Scholar] [CrossRef]
- Sangwongwanich, A.; Yang, Y.; Sera, D.; Soltani, H.; Blaabjerg, F. Analysis and modeling of interharmonics from grid-connected photovoltaic systems. IEEE Trans. Power Electron. 2018, 33, 8353–8364. [Google Scholar] [CrossRef]
- Lopez, A.R.; López-Núñez, O.A.; Pérez-Zúñiga, R.; Gómez Radilla, J.; Martínez-García, M.; López-Osorio, M.A.; Ortiz-Torres, G.; Mena-Enriquez, M.G.; Ramos-Martinez, M.; Mixteco-Sánchez, J.C.; et al. Total Harmonic Distortion Reduction in Multilevel Inverters through the Utilization of the Moth–Flame Optimization Algorithm. Appl. Sci. 2023, 13, 12060. [Google Scholar] [CrossRef]
- Khoshbin, F.; Bonakdari, H.; Ashraf Talesh, S.H.; Ebtehaj, I.; Zaji, A.H.; Azimi, H. Adaptive neuro-fuzzy inference system multi-objective optimization using the genetic algorithm/singular value decomposition method for modelling the discharge coefficient in rectangular sharp-crested side weirs. Eng. Optim. 2016, 48, 933–948. [Google Scholar] [CrossRef]
- Wang, C.; Zhang, H.; Ma, P. Wind power forecasting based on singular spectrum analysis and a new hybrid Laguerre neural network. Appl. Energy 2020, 259, 114139. [Google Scholar] [CrossRef]
- Jiang, J.; Zhang, R.; Wu, Y.; Chang, C.; Jiang, Y. A fault diagnosis method for electric vehicle power lithium battery based on wavelet packet decomposition. J. Energy Storage 2022, 56, 105909. [Google Scholar] [CrossRef]
- Zhong, J.; Bi, X.; Shu, Q.; Chen, M.; Zhou, D.; Zhang, D. Partial discharge signal denoising based on singular value decomposition and empirical wavelet transform. IEEE Trans. Instrum. Meas. 2020, 69, 8866–8873. [Google Scholar] [CrossRef]
- Bi, T.; Wang, S.; Jia, K. Single pole-to-ground fault location method for MMC-HVDC system using active pulse. IET Gener. Transm. Distrib. 2018, 12, 272–278. [Google Scholar] [CrossRef]
- Rodríguez-Cabero, A.; Roldán-Pérez, J.; Prodanovic, M. Virtual impedance design considerations for virtual synchronous machines in weak grids. IEEE J. Emerg. Sel. Top. Power Electron. 2019, 8, 1477–1489. [Google Scholar] [CrossRef]
- Chaitanya, B.K.; Yadav, A.; Pazoki, M. An intelligent detection of high-impedance faults for distribution lines integrated with distributed generators. IEEE Syst. J. 2019, 14, 870–879. [Google Scholar] [CrossRef]
- Zhao, X.; Ye, B. Similarity of signal processing effect between Hankel matrix-based SVD and wavelet transform and its mechanism analysis. Mech. Syst. Signal Process. 2009, 23, 1062–1075. [Google Scholar] [CrossRef]
- Zhao, X.; Ye, B. Selection of effective singular values using difference spectrum and its application to fault diagnosis of headstock. Mech. Syst. Signal Process. 2011, 25, 1617–1631. [Google Scholar] [CrossRef]
- Kanjilal, P.P.; Palit, S.; Saha, G. Fetal ECG extraction from single-channel maternal ECG using singular value decomposition. IEEE Trans. Biomed. Eng. 1997, 44, 51–59. [Google Scholar] [CrossRef]
- Jianwei, Z.; Huokun, L. Noise Reduction Technology of Random Vibration Signal Based on Singular Entropy Theory. In Proceedings of the 2009 Second International Symposium on Information Science and Engineering, Shanghai, China, 26–28 December 2009; IEEE: Piscataway, NJ, USA, 2009; pp. 32–35. [Google Scholar]
- Guo, M.; Li, W.; Yang, Q.; Zhao, X.; Tang, Y. Amplitude filtering characteristics of singular value decomposition and its application to fault diagnosis of rotating machinery. Measurement 2020, 154, 107444. [Google Scholar] [CrossRef]









| Reference | Adopted SVD Filtering Method | Applied Object | Effectiveness |
|---|---|---|---|
| [26] | SVD with Hankel matrix | Signal processing and noise reduction in vibration signals | Highly effective in signal decomposition, noise reduction, and singularity detection compared to wavelet transform |
| [27] | SVD with difference spectrum | Fault diagnosis in mechanical systems, specifically headstock | Highly effective in isolating fault-induced modulation features and noise reduction |
| [28] | SVD with singular value ratio spectrum | Extraction of fetal ECG from maternal ECG signal | Highly effective in separating maternal and fetal ECG components in real-time applications, despite noise interference |
| [29] | SVD with singular entropy theory | Noise reduction in structural vibration signals | Highly effective in improving signal-to-noise ratio |
| [30] | SVD with amplitude filtering characteristics | Fault diagnosis in rotating machinery, focusing on rotor vibrations | Highly effective in extracting key signal components and filtering noise, with zero-phase shift and high accuracy in identifying faults |
| This work | Optimal SVD filtering with Hankel matrix and reconstruction order optimization | Grid-connected inverters with harmonic disturbances | Highly effective in reducing harmonic and oscillation noise, improving signal sampling accuracy under severe noise conditions |
Disclaimer/Publisher’s Note: The statements, opinions and data contained in all publications are solely those of the individual author(s) and contributor(s) and not of MDPI and/or the editor(s). MDPI and/or the editor(s) disclaim responsibility for any injury to people or property resulting from any ideas, methods, instructions or products referred to in the content. |
© 2024 by the authors. Licensee MDPI, Basel, Switzerland. This article is an open access article distributed under the terms and conditions of the Creative Commons Attribution (CC BY) license (https://creativecommons.org/licenses/by/4.0/).
Share and Cite
Song, H.; Wang, Y.; Sun, X.-E. An Optimal SVD Filtering Method for Measurement Accuracy Improvement against Harmonic Disturbance in Grid-Connected Inverters. Electronics 2024, 13, 4087. https://doi.org/10.3390/electronics13204087
Song H, Wang Y, Sun X-E. An Optimal SVD Filtering Method for Measurement Accuracy Improvement against Harmonic Disturbance in Grid-Connected Inverters. Electronics. 2024; 13(20):4087. https://doi.org/10.3390/electronics13204087
Chicago/Turabian StyleSong, Hua, Yanbo Wang, and Xiang-E Sun. 2024. "An Optimal SVD Filtering Method for Measurement Accuracy Improvement against Harmonic Disturbance in Grid-Connected Inverters" Electronics 13, no. 20: 4087. https://doi.org/10.3390/electronics13204087
APA StyleSong, H., Wang, Y., & Sun, X.-E. (2024). An Optimal SVD Filtering Method for Measurement Accuracy Improvement against Harmonic Disturbance in Grid-Connected Inverters. Electronics, 13(20), 4087. https://doi.org/10.3390/electronics13204087

