Disturbance Observer-Based Tracking Controller for n-Link Flexible-Joint Robots Subject to Time-Varying State Constraints
Abstract
1. Introduction
- (I)
- (II)
- The proposed method is easier to implement. Compared with the BLF-based method [33], the proposed state-constrained method removes the feasibility conditions, which broadens the range of acceptable initial values and relaxes the requirements for control parameters.
- (III)
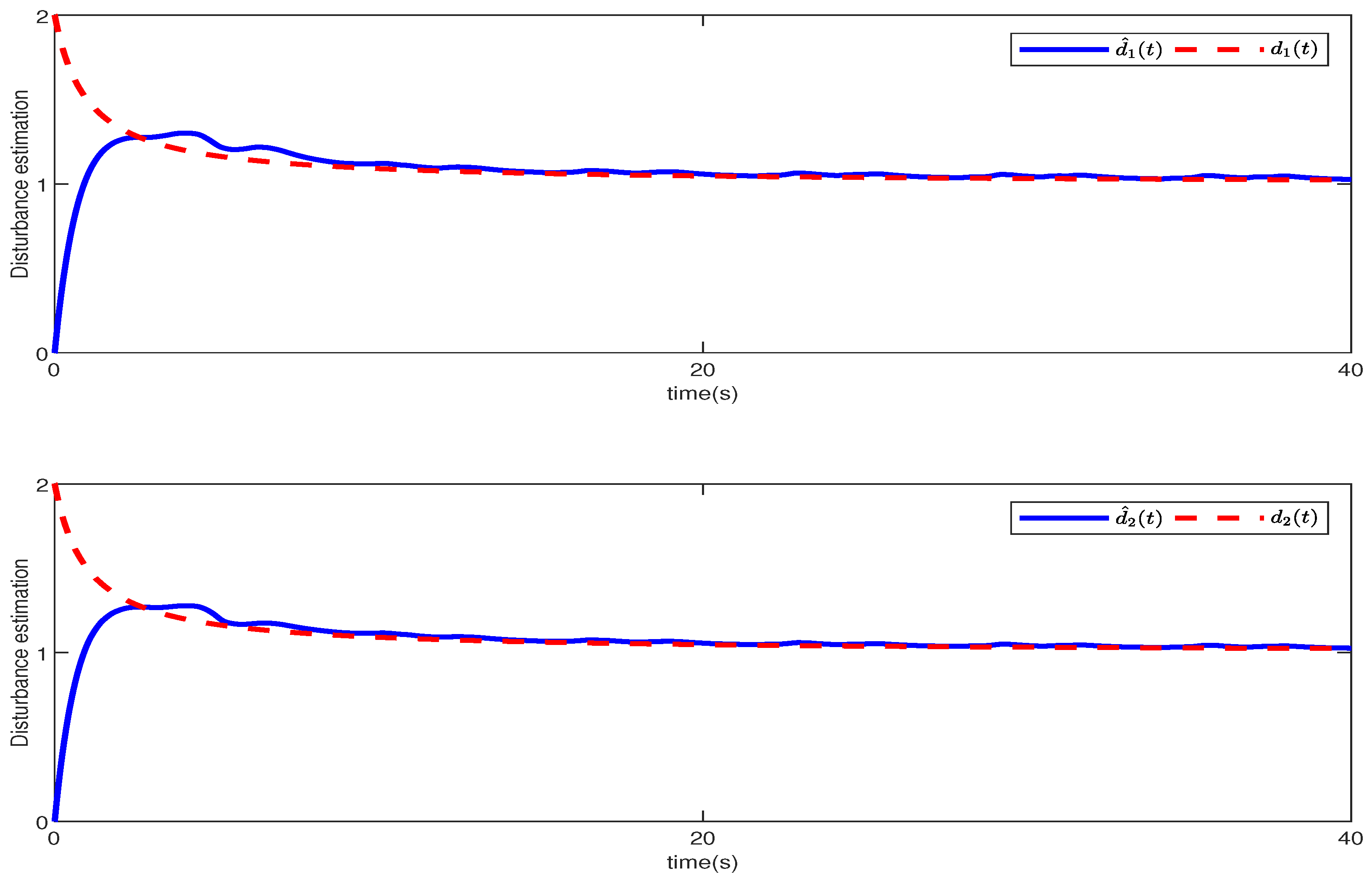
- To address the issue of external disturbances, an NDO is incorporated for the real-time estimation of disturbances. In the controller design phase, filter techniques are employed to efficiently mitigate the problem of differential explosion resulting from the repeated differentiation of virtual control inputs.
- (IV)
- Through simulation results, we demonstrate the effectiveness and robustness of the proposed method. The proposed method ensures the effective control performance, and enhances the system’s anti-disturbance capability. In addition, the system states do not violate the constraints under the design control strategy. And the tracking error can be made arbitrarily small by properly adjusting the design parameters.
2. Problem Formulation and Preliminaries
Problem Formulation
3. Controller Design and Stability Analysis
3.1. System Transformation
3.2. Controller Design
3.3. Stability Analysis
- (i)
- The states of the resulting closed-loop system are bounded and do not violate the constraints for all t.
- (ii)
- For any given , there exist proper design parameters such that the tracking error satisfies as , and the error signal can be made arbitrarily small.
4. Simulation Results
5. Conclusions
Author Contributions
Funding
Institutional Review Board Statement
Data Availability Statement
Conflicts of Interest
References
- Wang, H.; Zhang, Y.; Zhao, Z.; Tang, X.; Yang, J.; Chen, I.-M. Finite-time disturbance observer-based trajectory tracking control for flexible-joint robots. Nonlinear Dyn. 2021, 106, 459–471. [Google Scholar] [CrossRef]
- Ding, B.; Li, X.; Li, C.; Li, Y.; Chen, S.-C. A Survey on the mechanical design for piezo-actuated compliant micro-positioning stages. Rev. Sci. Instrum. 2023, 94, 10. [Google Scholar] [CrossRef]
- Zhang, Q.; Zhao, X. Inverse dynamics modeling and simulation analysis of multi-flexible-body spatial parallel manipulators. Electronics 2023, 12, 2038. [Google Scholar] [CrossRef]
- Jerbi, H.; Al-Darraji, I.; Tsaramirsis, G.; Kchaou, M.; Abbassi, R.; AlShammari, O. Fuzzy Luenberger observer design for nonlinear flexible joint robot manipulator. Electronics 2022, 11, 1569. [Google Scholar] [CrossRef]
- Pană, C.; Vladu, C.; Pătraşcu-Pană, D.; Besnea, F.; Cismaru, Ç.; Trăşculescu, A.; Reşceanu, I.; Bîzdoacă, N. Position control for hybrid infinite-continuous hyper-redundant robot. Proc. MATEC Web Conf. 2021, 343, 08009. [Google Scholar] [CrossRef]
- Liu, Y.; Song, B.; Zhou, X.; Gao, Y.; Chen, T. An adaptive torque observer based on fuzzy inference for flexible joint application. Machines 2023, 11, 794. [Google Scholar] [CrossRef]
- Krikochoritis, T.E.; Tzafestas, S.G. Control of flexible joint robots using neural networks. IMA J. Math. Control Inf. 2001, 18, 269–280. [Google Scholar] [CrossRef]
- Yoo, S.J.; Choi, Y.H. Adaptive output feedback control of flexible-joint robots using neural networks: Dynamic surface design approach. IEEE Trans. Neural Netw. 2008, 19, 1712–1726. [Google Scholar]
- Yoo, S.J.; Park, J.B.; Choi, Y.H. Adaptive dynamic surface control of flexible-joint robots using self-recurrent wavelet neural networks. IEEE Trans. Syst. Man Cybern. B Cybern. 2006, 36, 1342–1355. [Google Scholar] [CrossRef]
- Zhang, Y.; Lei, Y.; Zhang, T.; Song, R.; Li, Y.; Du, F. Robust command-filtered control with prescribed performance for flexible-joint robots. IEEE Trans. Instrum. Meas. 2023, 72, 7506013. [Google Scholar] [CrossRef]
- Yan, Y.-L.; Ding, L.; Ren, T.; Liu, F.-C. Research on backstepping control of flexible joint manipulator with state constraint. In Proceedings of the 2023 9th International Conference on Control, Automation and Robotics, Beijing, China, 21–23 April 2023; pp. 30–35. [Google Scholar]
- Spong, M.; Khorasani, K.; Kokotovic, P. An integral manifold approach to the feedback control of flexible joint robots. IEEE Trans. Robot. Autom. 1987, 3, 291–300. [Google Scholar] [CrossRef]
- Moallem, M.; Khorasani, K.; Patel, R.V. Tip position tracking of flexible multi-link manipulators: An integral manifold approach. In Proceedings of the IEEE International Conference on Robotics and Automation, Minneapolis, MN, USA, 22–28 April 1996; Volume 3, pp. 2432–2437. [Google Scholar]
- Arefi, M.M.; Navid, V.; Behrouz, H.; Davoodi, M. Command filtered backstepping control of constrained flexible joint robotic manipulator. IET Contr. Theory Appl. 2023, 17, 2506–2518. [Google Scholar] [CrossRef]
- Yang, K.; Zhao, L. Command-filter-based backstepping control for flexible joint manipulator systems with full-state constrains. Int J. Control Autom. Syst. 2022, 20, 2231–2238. [Google Scholar] [CrossRef]
- Malki, H.A.; Misir, D.; Feigenspan, D.; Chen, G. Fuzzy PID control of a flexible-joint robot arm with uncertainties from time-varying loads. IEEE Trans. Control Syst. Technol. 1997, 5, 371–378. [Google Scholar] [CrossRef]
- Akyuz, I.H.; Yolacan, E.; Ertunc, H.M.; Bingul, Z. PID and state feedback control of a single-link flexible joint robot manipulator. In Proceedings of the 2011 IEEE International Conference on Mechatronics, Istanbul, Turkey, 13–15 April 2011; pp. 409–414. [Google Scholar]
- Wang, H.M.; Zhang, Z.Z.; Tang, X.L.; Zhao, Z.H.; Yan, Y.D. Continuous output feedback sliding mode control for underactuated flexible-joint robot. J. Frankl. Inst. 2022, 359, 7847–7865. [Google Scholar] [CrossRef]
- Khan, R.F.; Rsetam, K.; Cao, Z.; Man, Z. Singular perturbation-based adaptive integral sliding mode control for flexible joint robots. IEEE Trans. Ind. Electron. 2023, 70, 10516–10525. [Google Scholar] [CrossRef]
- Kang, S.; Liu, P.X.; Wang, H. Adaptive fuzzy finite-time command filtering control for flexible-joint robot systems against multiple actuator constraints. IEEE Trans. Circuits Syst. II-Express Briefs 2023, 70, 4554–4558. [Google Scholar] [CrossRef]
- Zhu, Y.; Liu, J.; Wang, Q.G. Command filtering-based adaptive fuzzy control of flexible-joint robots with time-varying full-state constraints. IEEE Trans. Circuits Syst. II-Express Briefs 2024, 71, 682–686. [Google Scholar] [CrossRef]
- Li, T.; Li, Z.; Wang, D.; Chen, C.L.P. Output-feedback adaptive neural control for stochastic nonlinear time-varying delay systems with unknown control directions. IEEE Trans. Neural Netw. Learn. Syst. 2015, 26, 1188–1201. [Google Scholar] [CrossRef]
- Liu, Z.; Lai, G.; Zhang, Y.; Chen, X.; Chen, C.L.P. Adaptive neural control for a class of nonlinear time-varying delay systems with unknown hysteresis. IEEE Trans. Neural Netw. Learn. Syst. 2014, 25, 2129–2140. [Google Scholar]
- Diao, S.Z.; Sun, W.; Su, S.F. Neural-based adaptive event-triggered tracking control for flexible-joint robots with random noises. Int. J. Robust Nonlinear Control 2022, 32, 2722–2740. [Google Scholar] [CrossRef]
- Yang, X.; Sun, W.; Dong, H.; Wu, X. Adaptive prescribed performance fuzzy Control for n-Link flexible-joint robots under event-triggered mechanism. Int. J. Fuzzy Syst. 2023, 25, 1019–1033. [Google Scholar] [CrossRef]
- Guo, Y.; Hou, Z.; Liu, S.; Jin, S. Data-driven model-free adaptive predictive control for a class of MIMO nonlinear discrete-time systems with stability analysis. IEEE Access 2019, 7, 102852–102866. [Google Scholar] [CrossRef]
- Luo, W.; Lu, P.; Liu, H.; Du, C. Event-triggered networked predictive output tracking control of cyber-physical systems with model uncertainty and communication constraints. IEEE Trans. Circuits Syst. II-Express Briefs 2023, 70, 2166–2170. [Google Scholar] [CrossRef]
- Lv, M.; Yu, W.; Baldi, S. The set-invariance paradigm in fuzzy adaptive DSC design of large-scale nonlinear input-constrained systems. IEEE Trans. Syst. Man Cybern.-Syst. 2021, 51, 1035–1045. [Google Scholar] [CrossRef]
- Nguyen, A.T.; Rath, J.; Guerra, T.M.; Palhares, R.; Zhang, H. Robust set-invariance based fuzzy output tracking control for vehicle autonomous driving under uncertain lateral forces and steering constraints. IEEE Trans. Intell. Transp. Syst. 2021, 22, 5849–5860. [Google Scholar] [CrossRef]
- Liu, Y.J.; Li, J.; Tong, S.; Chen, C.L.P. Neural network control-based adaptive learning design for nonlinear systems with full-state constraints. IEEE Trans. Neural Netw. Learn. Syst. 2016, 27, 1562–1571. [Google Scholar] [CrossRef]
- Liu, L.; Cui, Y.; Liu, Y.J.; Tong, S. Adaptive event-triggered output feedback control for nonlinear switched systems based on full state constraints. IEEE Trans. Circuits Syst. II-Express Briefs 2022, 69, 3779–3783. [Google Scholar] [CrossRef]
- Liu, A.; Li, H. Stabilization of delayed boolean control networks with state constraints: A barrier Lyapunov function method. IEEE Trans. Circuits Syst. II-Express Briefs 2021, 68, 2553–2557. [Google Scholar] [CrossRef]
- Sun, W.; Su, S.F.; Xia, J.; Nguyen, V.-T. Adaptive fuzzy tracking control of flexible-joint robots with full-state constraints. IEEE Trans. Syst. Man Cybern. Syst. 2019, 49, 2201–2209. [Google Scholar] [CrossRef]
- Feng, Y.; Kong, L.; Zhang, Z.; Liu, R.; Cheng, G.; Yu, X. Event-triggered finite-time control for a constrained robotic manipulator with flexible joints. Int. J. Robust Nonlinear Control 2023, 33, 6031–6051. [Google Scholar] [CrossRef]
- Tian, L.R.; Gao, Y.; Zhang, Z.C. Disturbance-observer-based tracking controller for a flexible-joint robotic manipulator with full-state constraints. Proc. Inst. Mech. Eng. Part I J. Syst. Control. Eng. 2022, 236, 1166–1175. [Google Scholar] [CrossRef]
- Chen, W.H.; Ballance, D.J.; Gawthrop, P.J.; O’Reilly, J. A nonlinear disturbance observer for robotic manipulators. IEEE Trans. Ind. Electron. 2000, 47, 932–938. [Google Scholar] [CrossRef]
- Ma, H.; Ren, H.; Zhou, Q.; Li, H.; Wang, Z. Observer-based neural control of n-link flexible-joint robots. IEEE Trans. Neural Netw. Learn. Syst. 2024, 35, 5295–5305. [Google Scholar] [CrossRef] [PubMed]
- Sun, T.R.; Cheng, L.; Wang, W.Q.; Pan, Y. Semiglobal exponential control of Euler-Lagrange systems using a sliding-mode disturbance observer. Automatica 2020, 112, 108677. [Google Scholar] [CrossRef]
- Wen, Q.; Yang, X.; Huang, C.; Zeng, J.; Yuan, Z.; Liu, P.X. Disturbance observer-based neural network integral sliding mode control for a constrained flexible joint robotic manipulator. Int. J. Control Autom. Syst. 2023, 21, 1243–1257. [Google Scholar] [CrossRef]
- Diao, S.; Sun, W.; Su, S.-F.; Xia, J. Adaptive fuzzy event-triggered control for single-link flexible-joint robots with actuator failures. IEEE Trans. Cybern. 2022, 52, 7231–7241. [Google Scholar] [CrossRef] [PubMed]
- Cao, Y.; Song, Y.D.; Wen, C.Y. A unified event-triggered control approach for uncertain pure-feedback systems with or without state constraints. IEEE Trans. Syst. Man Cybern. Syst. 2021, 51, 1262–1271. [Google Scholar] [CrossRef] [PubMed]
- Ding, B.; Li, Y. Hysteresis compensation and sliding mode control with perturbation estimation for piezoelectric actuators. Micromachines 2018, 9, 241. [Google Scholar] [CrossRef]
- Ling, S.; Wang, H.; Liu, P.X. Adaptive fuzzy tracking control of flexible-joint robots based on command filtering. IEEE Trans. Ind. Electron. 2019, 67, 4046–4055. [Google Scholar] [CrossRef]
- Feng, Y.A.; Zhang, H.; Gu, C. The prescribed-time sliding mode control for underactuated bridge crane. Electronics 2024, 13, 219. [Google Scholar] [CrossRef]
- Yu, Z.A.; Niu, W.Q. Flatness-based backstepping antisway control of underactuated crane systems under wind disturbance. Electronics 2023, 12, 244. [Google Scholar] [CrossRef]
- Abbasimoshaei, A.; Chinnakkonda Ravi, A.K.; Kern, T.A. Development of a new control system for a rehabilitation robot using electrical impedance tomography and artificial intelligence. Biomimetics 2023, 8, 420. [Google Scholar] [CrossRef] [PubMed]







| Variables/Parameters | Meaning | Value | Unit | 
|---|---|---|---|
| mass of rod 1 | 1 | kg | |
| mass of rod 2 | 1 | kg | |
| length of rod 1 | 1 | m | |
| length of rod 2 | 1 | m | |
| joint flexibility of rod 1 | 1 | ||
| joint flexibility of rod 2 | 1 | ||
| damping factor of rod 1 | 0.1 | none | |
| damping factor of rod 2 | 0.1 | none | |
| joint stiffness of rod 1 | 100 | ||
| joint stiffness of rod 2 | 100 | ||
| g | gravitational acceleration | 9.8 | 
| Disclaimer/Publisher’s Note: The statements, opinions and data contained in all publications are solely those of the individual author(s) and contributor(s) and not of MDPI and/or the editor(s). MDPI and/or the editor(s) disclaim responsibility for any injury to people or property resulting from any ideas, methods, instructions or products referred to in the content. | 
© 2024 by the authors. Licensee MDPI, Basel, Switzerland. This article is an open access article distributed under the terms and conditions of the Creative Commons Attribution (CC BY) license (https://creativecommons.org/licenses/by/4.0/).
Share and Cite
Zhang, Z.; Hu, X.; Huang, P. Disturbance Observer-Based Tracking Controller for n-Link Flexible-Joint Robots Subject to Time-Varying State Constraints. Electronics 2024, 13, 1773. https://doi.org/10.3390/electronics13091773
Zhang Z, Hu X, Huang P. Disturbance Observer-Based Tracking Controller for n-Link Flexible-Joint Robots Subject to Time-Varying State Constraints. Electronics. 2024; 13(9):1773. https://doi.org/10.3390/electronics13091773
Chicago/Turabian StyleZhang, Zhongcai, Xueli Hu, and Peng Huang. 2024. "Disturbance Observer-Based Tracking Controller for n-Link Flexible-Joint Robots Subject to Time-Varying State Constraints" Electronics 13, no. 9: 1773. https://doi.org/10.3390/electronics13091773
APA StyleZhang, Z., Hu, X., & Huang, P. (2024). Disturbance Observer-Based Tracking Controller for n-Link Flexible-Joint Robots Subject to Time-Varying State Constraints. Electronics, 13(9), 1773. https://doi.org/10.3390/electronics13091773
 
        

 
       