Dual-Domain Superposition for Maritime Relay Communications: A Flexible-Coded Transmission Design Towards Spectrum–Reliability Synergy
Abstract
1. Introduction
- We utilize log-normally distributed Rician factors to characterize maritime channel quality and rigorously evaluate the performance of the proposed scheme in TWRNs exhibiting asymmetric fading conditions across the two links.
- We introduce a novel co-design framework based on BMST and PNC, achieving simultaneous improvements in both bit error rate (BER) performance and spectral efficiency. Furthermore, we incorporate a class of fixed-length multi-rate codes into the BMST-PNC system to address heterogeneous channel conditions while allocating code rates through channel capacity analysis.
- We propose a novel iterative decoding and computing (DC) algorithm that sequentially executes iterative decoding prior to network coding operations. Benchmark evaluations demonstrate that the proposed DC algorithm achieves a 2.9 dB gain over a conventional computing and decoding (CD) algorithm at a BER of . Furthermore, through targeted unilateral optimization, the DC algorithm attains an additional 0.2 dB coding gain under asymmetric fading conditions, demonstrating remarkable robustness across heterogeneous channel environments.
2. System Model and Channel Description
2.1. System Model


2.2. Maritime Wireless Channels
3. Physical-Layer Network Coding Based on Block Markov Superposition Transmission
3.1. Encoding Algorithm
| Algorithm 1: Encoding algorithm for node , | ||||
| Initialization: | ||||
| Set for all . | ||||
| for to do | ||||
| if then | ||||
| Split into: | ||||
| ||||
| Combine to form an RSPC codeword ; | ||||
| else | ||||
| Set and ; // Termination | ||||
| end | ||||
| for to m do | ||||
| Calculate ; | ||||
| end | ||||
| Calculate the t-th block . | ||||
| end | ||||
3.2. Iterative Decoding and Computing Algorithm
| Algorithm 2: Message update algorithm |
Input: Provide and the a priori messages as inputs, where and ; Output: For , output the extrinsic messages calculated by |
| Algorithm 3: The decoding process for BMST-RSPC system at Time t | ||||
| Input: | ||||
| ||||
| Iteration: | ||||
| for to do | ||||
| for to t do | ||||
| Process messages through vertices in order: ; | ||||
| // Forward Pass | ||||
| end | ||||
| for to do | ||||
| Process messages through vertices in order: ; | ||||
| // Backward Pass | ||||
| end | ||||
| Termination Check: | ||||
| ||||
| end | ||||
| Output: | ||||
| ||||
| Algorithm 4: Iterative decoding and computing algorithm for BMST-RSPC-PNC system | ||||||
| Initialization: For , | ||||||
| ||||||
| Iterative decoding: | ||||||
| for to do | ||||||
| if then | ||||||
| Initialize messages over edges within/connecting to the t-th decoding layer using uniform distribution and compute the likelihood function according to (8); | ||||||
| end | ||||||
| for to do | ||||||
| for todo | ||||||
| PNC Mapper: Update extrinsic messages from to via using Algorithm 2, and forward messages to Decoder 1; | ||||||
| Decoder 1: Execute sliding-window decoding per Algorithm 3, and then feed back messages from to via to PNC mapper; | ||||||
| PNC Mapper: Update extrinsic messages from to via using Algorithm 2, and forward messages to Decoder 2; | ||||||
| Decoder 2: Execute sliding-window decoding per Algorithm 3, and then feed back messages from to via to PNC mapper. | ||||||
| end | ||||||
| end | ||||||
| Computing: Calculate the estimated network-coded packet according to (2). | ||||||
| end | ||||||
3.3. Capacity Analysis
3.4. Genie-Aided Lower Bound Analysis
4. Simulation Results and Discussion
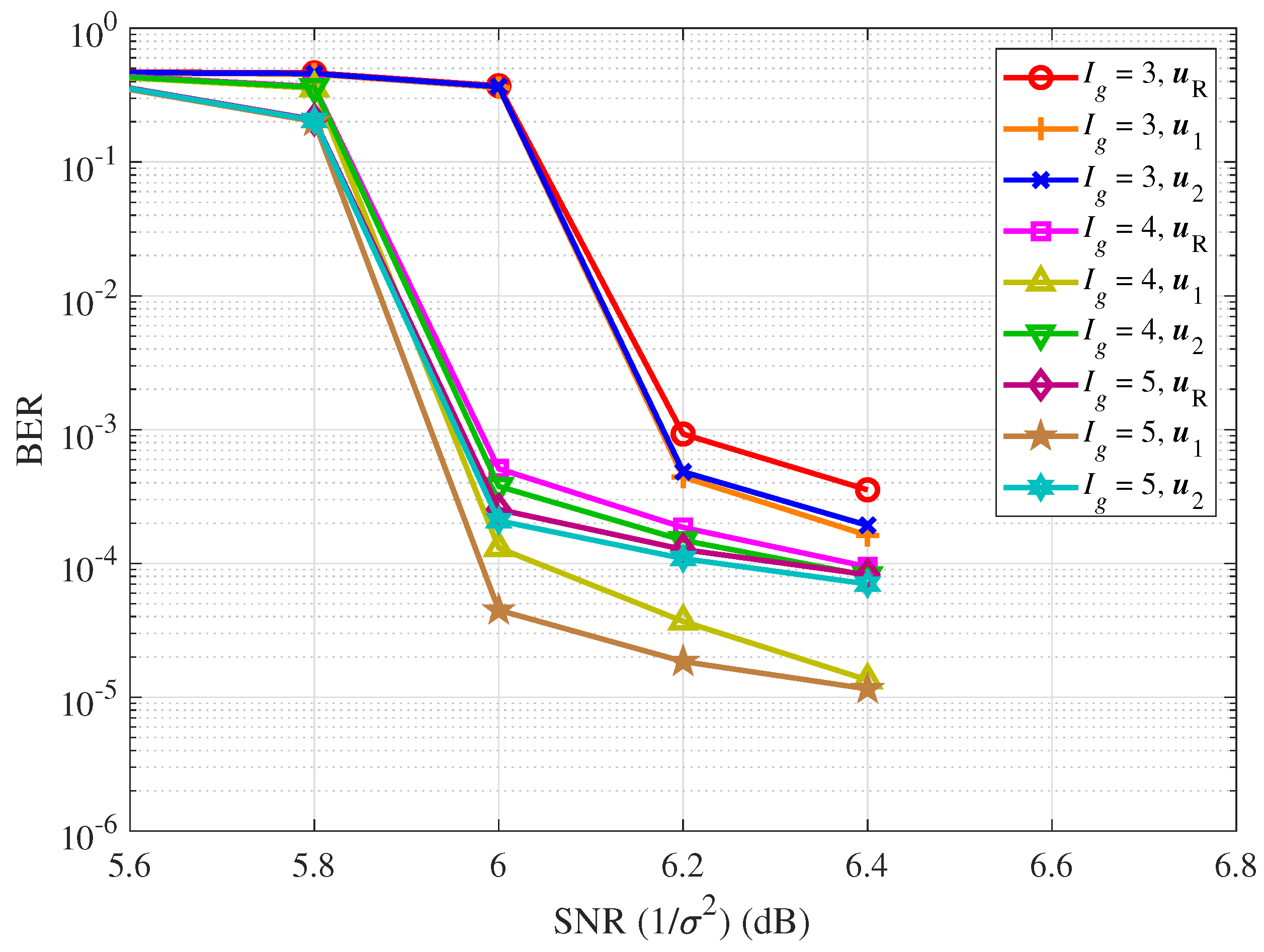
4.1. The Impact of Iteration Count on Performance

4.2. The Impact of Different Algorithms on System Performance
4.3. The Impact of Different Optimization Approaches on System Performance
5. Conclusions
Author Contributions
Funding
Data Availability Statement
Conflicts of Interest
References
- Wei, T.; Feng, W.; Chen, Y.; Wang, C.X.; Ge, N.; Lu, J. Hybrid Satellite-Terrestrial Communication Networks for the Maritime Internet of Things: Key Technologies, Opportunities, and Challenges. IEEE Internet Things J. 2021, 8, 8910–8934. [Google Scholar] [CrossRef]
- Rinaldi, F.; Määttänen, H.-L.; Torsner, J.; Pizzi, S.; Andreev, S.; Iera, A.; Koucheryavy, Y.; Araniti, G. Non-Terrestrial Networks in 5G & Beyond: A Survey. IEEE Access 2020, 8, 165178–165200. [Google Scholar] [CrossRef]
- Suraci, C.; Pizzi, S.; Montori, F.; Di Felice, M.; Araniti, G. 6G to Take the Digital Divide by Storm: Key Technologies and Trends to Bridge the Gap. Future Internet 2022, 14, 189. [Google Scholar] [CrossRef]
- You, X.; Wang, C.-X.; Huang, J.; Gao, X.; Zhang, Z.; Wang, M.; Huang, Y.; Zhang, C.; Jiang, Y.; Wang, J.; et al. Towards 6G Wireless Communication Networks: Vision, Enabling Technologies, and New Paradigm Shifts. Sci. China Inf. Sci. 2021, 64, 1–76. [Google Scholar] [CrossRef]
- Mudra, G.; Cui, H.; Johnstone, M.N. Survey: An Overview of Lightweight RFID Authentication Protocols Suitable for the Maritime Internet of Things. Electronics 2023, 12, 2990. [Google Scholar] [CrossRef]
- Xia, M.; Zhu, Y.; Chen, E.; Xing, C.; Yang, T.; Wen, W. The State of the Art and Challenges of Marine Communications. Sci. China Inf. Sci. 2017, 47, 677–695. [Google Scholar] [CrossRef]
- Jo, S.W.; Shim, W. LTE-Maritime: High-Speed Maritime Wireless Communication Based on LTE Technology. IEEE Access 2019, 7, 53172–53181. [Google Scholar] [CrossRef]
- Li, X.; Feng, W.; Wang, J.; Chen, Y.; Ge, N.; Wang, C.X. Enabling 5G on the Ocean: A Hybrid Satellite-UAV-Terrestrial Network Solution. IEEE Wirel. Commun. 2020, 27, 116–121. [Google Scholar] [CrossRef]
- Lee, J.-H.; Choi, J.; Lee, W.-H.; Choi, J.W.; Kim, S.C. Measurement and Analysis on Land-to-Ship Offshore Wireless Channel in 2.4 GHz. IEEE Wirel. Commun. Lett. 2017, 6, 222–225. [Google Scholar] [CrossRef]
- Wang, W.; Raulefs, R.; Jost, T. Fading Characteristics of Ship-to-Land Propagation Channel at 5.2 GHz. In Proceedings of the OCEANS 2016, Shanghai, China, 10–13 April 2016; pp. 1–7. [Google Scholar] [CrossRef]
- Reyes-Guerrero, J.C.; Mariscal, L.A. Experimental Broadband Channel Characterization in a Sea Port Environment at 5.8 GHz. IEEE J. Ocean. Eng. 2016, 41, 509–514. [Google Scholar] [CrossRef]
- Couillard, D.; Dahman, G.; GrandMaison, M.; Poitau, G.; Gagnon, F. Robust Broadband Maritime Communications: Theoretical and Experimental Validation. Radio Sci. 2018, 53, 749–760. [Google Scholar] [CrossRef]
- Zhou, M.; Hoang, V.D.; Harada, H.; Pathmasuntharam, J.S.; Wang, H.; Kong, P.Y.; Ang, C.W.; Ge, Y.; Wen, S. TRITON: High-Speed Maritime Wireless Mesh Network. IEEE Wirel. Commun. 2013, 20, 134–142. [Google Scholar] [CrossRef]
- Fang, T.; Wang, J.-H.; Cha, J.; Jeong, I.; Ahn, C.J. A Study on Performance Improvement of Maritime Wireless Communication Using Dynamic Power Control with Tethered Balloons. Electronics 2025, 14, 1277. [Google Scholar] [CrossRef]
- Teixeira, F.B.; Oliveira, T.; Lopes, M.; Leocádio, C.; Salazar, P.; Ruela, J.; Campos, R.; Ricardo, M. Enabling Broadband Internet Access Offshore Using Tethered Balloons: The BLUECOM+ Experience. In Proceedings of the OCEANS 2017, Aberdeen, UK, 19–22 June 2017; pp. 1–7. [Google Scholar] [CrossRef]
- Feng, W.; Wang, J.; Chen, Y.; Wang, X.; Ge, N.; Lu, J. UAV-Aided MIMO Communications for 5G Internet of Things. IEEE Internet Things J. 2019, 6, 1731–1740. [Google Scholar] [CrossRef]
- Li, X.; Feng, W.; Chen, Y.; Wang, C.-X.; Ge, N. Maritime Coverage Enhancement Using UAVs Coordinated With Hybrid Satellite-Terrestrial Networks. IEEE Trans. Commun. 2020, 68, 2355–2369. [Google Scholar] [CrossRef]
- Xu, Y. Quality of Service Provisions for Maritime Communications Based on Cellular Networks. IEEE Access 2017, 5, 23881–23890. [Google Scholar] [CrossRef]
- Wei, T.; Feng, W.; Wang, J.; Ge, N.; Lu, J. Exploiting the Shipping Lane Information for Energy-Efficient Maritime Communications. IEEE Trans. Veh. Technol. 2019, 68, 7204–7208. [Google Scholar] [CrossRef]
- Shi, Y.; Ma, X. Performance Analysis of Land-to-Ship Marine Communication Based on Block Markov Superposition Transmission and Spatial Modulation. In Proceedings of the 2018 10th International Conference on Wireless Communications and Signal Processing (WCSP), Shanghai, China, 18–20 October 2018; pp. 1–6. [Google Scholar] [CrossRef]
- Ma, X.; Liang, C.; Huang, K.; Zhuang, Q. Block Markov Superposition Transmission: Construction of Big Convolutional Codes From Short Codes. IEEE Trans. Inf. Theory 2015, 61, 3150–3163. [Google Scholar] [CrossRef]
- Shi, Y.; Cai, S.; Ma, X. Application of Block Markov Superposition Transmission to Physical-Layer Network Coding for Maritime Communications. Phys. Commun. 2019, 36, 100833. [Google Scholar] [CrossRef]
- Shi, Y.; Zheng, L.; Lin, W.; Ma, X. Spatial-Modulated Physical-Layer Network Coding Based on Block Markov Superposition Transmission for Maritime Relay Communications. China Commun. 2020, 17, 26–35. [Google Scholar] [CrossRef]
- Liu, X.; Xu, J.; Zheng, K.; Zhang, G.; Liu, J.; Shiratori, N. Throughput Maximization with an AoI Constraint in Energy Harvesting D2D-Enabled Cellular Networks: An MSRA-TD3 Approach. IEEE Trans. Wirel. Commun. 2025, 24, 1448–1466. [Google Scholar] [CrossRef]
- Yin, L.; Jiang, C.; Jiang, C.; Qian, Y. Collaborative Spectrum Managements and Sharing in Coordinated Space, Terrestrial and Ocean Networks. IEEE Netw. 2020, 34, 182–187. [Google Scholar] [CrossRef]
- Zhang, S.; Liew, S.C.; Lam, P.P. Hot Topic: Physical-Layer Network Coding. In Proceedings of the Twelfth Annual International Conference on Mobile Computing and Networking (MobiCom ’06), Los Angeles, CA, USA, 23–29 September 2006; pp. 358–365. [Google Scholar] [CrossRef]
- Liew, S.C.; Zhang, S.; Lu, L. Physical-Layer Network Coding: Tutorial, Survey, and Beyond. Phys. Commun. 2013, 6, 4–42. [Google Scholar] [CrossRef]
- Yu, Q.; Li, Y.; Meng, W.; Xiang, W. Uniquely Decodable Codes for Physical-Layer Network Coding in Wireless Cooperative Communications. IEEE Syst. J. 2019, 13, 3956–3967. [Google Scholar] [CrossRef]
- Zhao, S.; Ma, X.; Bai, B. Decoding and Computing Algorithms for Linear Superposition LDPC Coded Systems. arXiv 2014, arXiv:1405.2597. [Google Scholar]
- Yang, Q.; Liew, S.C. Optimal Decoding of Convolutional-Coded Physical-Layer Network Coding. In Proceedings of the 2014 IEEE Wireless Communications and Networking Conference (WCNC), Istanbul, Turkey, 6–9 April 2014; pp. 364–369. [Google Scholar] [CrossRef]
- Wang, J.; Zhou, H.; Li, Y.; Sun, Q.; Wu, Y.; Jin, S.; Quek, T.Q.; Xu, C. Wireless Channel Models for Maritime Communications. IEEE Access 2018, 6, 68070–68088. [Google Scholar] [CrossRef]
- Liu, Y.; Xiong, K.; Lu, Y.; Ni, Q.; Fan, P.; Letaief, K.B. UAV-Aided Wireless Power Transfer and Data Collection in Rician Fading. IEEE J. Sel. Areas Commun. 2021, 39, 3097–3113. [Google Scholar] [CrossRef]
- Hu, J.; Ma, X.; Liang, C. Block Markov Superposition Transmission of Repetition and Single-Parity-Check Codes. IEEE Commun. Lett. 2015, 19, 131–134. [Google Scholar] [CrossRef]
- Zhang, S.; Liew, S.C. Channel Coding and Decoding in a Relay System Operated with Physical-Layer Network Coding. IEEE J. Sel. Areas Commun. 2009, 27, 788–796. [Google Scholar] [CrossRef]
- Ma, X.; Liang, C.; Huang, K.; Zhuang, Q. Obtaining Extra Coding Gain for Short Codes by Block Markov Superposition Transmission. In Proceedings of the 2013 IEEE International Symposium on Information Theory (ISIT), Istanbul, Turkey, 7–12 July 2013; pp. 2054–2058. [Google Scholar] [CrossRef]
- Huang, K.; Ma, X. Performance Analysis of Block Markov Superposition Transmission of Short Codes. IEEE J. Sel. Areas Commun. 2016, 34, 362–374. [Google Scholar] [CrossRef]







| Parameter | Value |
|---|---|
| The mean | 10.0 dB |
| The standard deviation | 0.0 dB |
| The mean | 3.0 dB |
| The standard deviation | 0.0 dB |
| The decoding delay d | 20 |
| Maximum iteration number | 18 |
| Entropy threshold |
Disclaimer/Publisher’s Note: The statements, opinions and data contained in all publications are solely those of the individual author(s) and contributor(s) and not of MDPI and/or the editor(s). MDPI and/or the editor(s) disclaim responsibility for any injury to people or property resulting from any ideas, methods, instructions or products referred to in the content. |
© 2025 by the authors. Licensee MDPI, Basel, Switzerland. This article is an open access article distributed under the terms and conditions of the Creative Commons Attribution (CC BY) license (https://creativecommons.org/licenses/by/4.0/).
Share and Cite
Shi, Y.; Tian, Y. Dual-Domain Superposition for Maritime Relay Communications: A Flexible-Coded Transmission Design Towards Spectrum–Reliability Synergy. Electronics 2025, 14, 2019. https://doi.org/10.3390/electronics14102019
Shi Y, Tian Y. Dual-Domain Superposition for Maritime Relay Communications: A Flexible-Coded Transmission Design Towards Spectrum–Reliability Synergy. Electronics. 2025; 14(10):2019. https://doi.org/10.3390/electronics14102019
Chicago/Turabian StyleShi, Yao, and Yanzhao Tian. 2025. "Dual-Domain Superposition for Maritime Relay Communications: A Flexible-Coded Transmission Design Towards Spectrum–Reliability Synergy" Electronics 14, no. 10: 2019. https://doi.org/10.3390/electronics14102019
APA StyleShi, Y., & Tian, Y. (2025). Dual-Domain Superposition for Maritime Relay Communications: A Flexible-Coded Transmission Design Towards Spectrum–Reliability Synergy. Electronics, 14(10), 2019. https://doi.org/10.3390/electronics14102019

