Robust Synchronization Error Estimation Under Multipath Fading in Distributed SAR
Abstract
1. Introduction
- To the best of our knowledge, this is the first time that the reciprocity of the synchronization link being broken by multipath fading has been observed in a distributed TomoSAR experiment. We have provided an in-depth analysis of this phenomenon in this paper.
- We have proposed a robust method for phase synchronization in multipath fading environments. This method is based on the principle of error propagation and has been validated through the experiment.
2. System Models
2.1. Multi-Node Synchronization Scheme
2.2. Synchronization Phase Measurement Principle
2.3. Multipath Fading Effects
3. Synchronization Link Non-Reciprocal Suppression Method
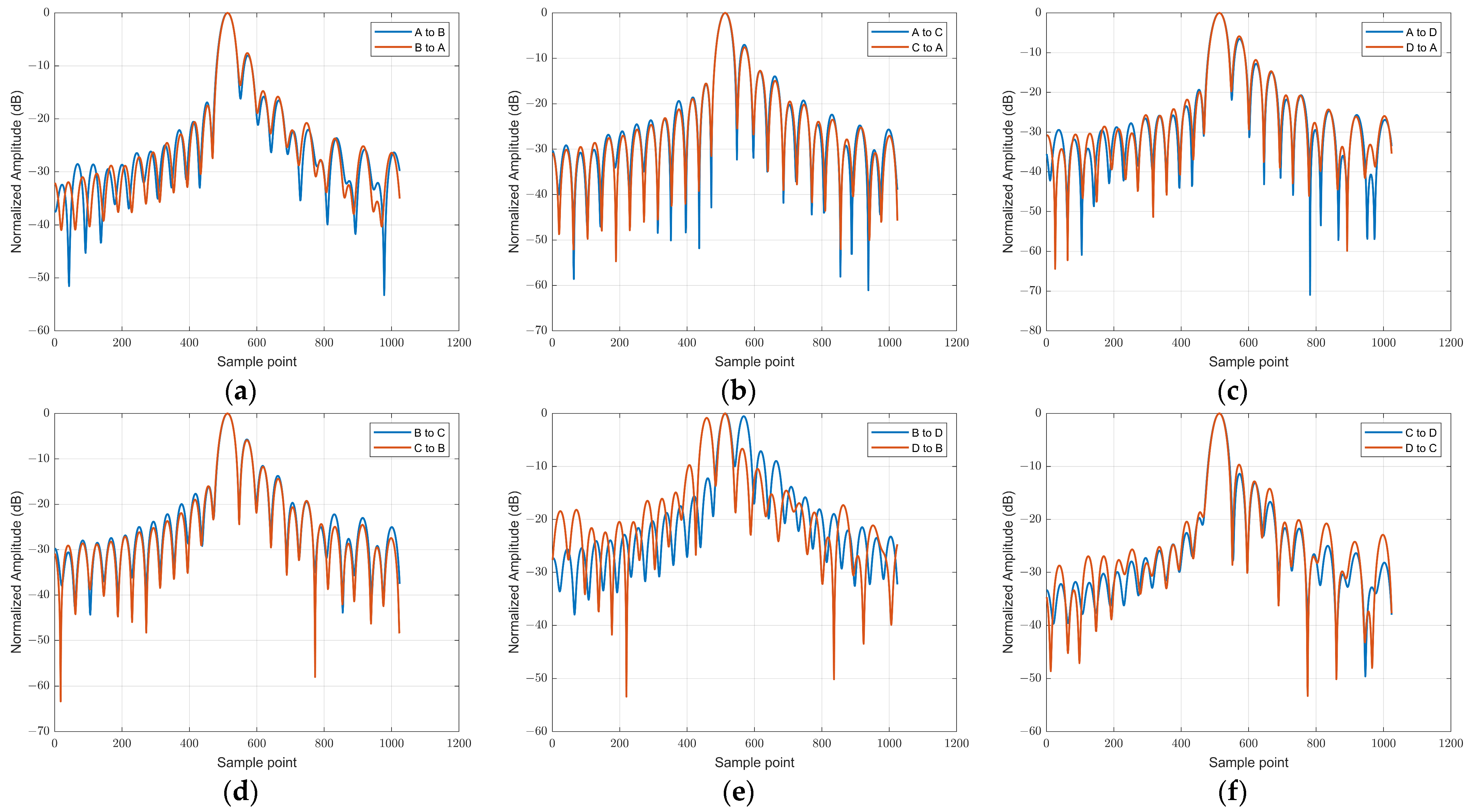
4. Experiment
4.1. System
4.2. Non-Reciprocal Synchronization Link
4.3. Results
5. Conclusions
Author Contributions
Funding
Data Availability Statement
Conflicts of Interest
Appendix A
References
- Nanzer, J.A.; Mghabghab, S.R.; Ellison, S.M.; Schlegel, A. Distributed Phased Arrays: Challenges and Recent Advances. IEEE Trans. Microw. Theory Tech. 2021, 69, 4893–4907. [Google Scholar] [CrossRef]
- Grathwohl, A.; Stelzig, M.; Kanz, J.; Fenske, P.; Benedikter, A.; Knill, C.; Ullmann, I.; Hajnsek, I.; Moreira, A.; Krieger, G.; et al. Taking a Look Beneath the Surface: Multicopter UAV-Based Ground-Penetrating Imaging Radars. IEEE Microw. Mag. 2022, 23, 32–46. [Google Scholar] [CrossRef]
- Fei, Z.; Wang, X.; Wu, N.; Huang, J.; Zhang, J.A. Air-Ground Integrated Sensing and Communications: Opportunities and Challenges. IEEE Commun. Mag. 2023, 61, 55–61. [Google Scholar] [CrossRef]
- Qian, J.; Wang, J.; Jin, S. Configurable virtual MIMO via UAV swarm: Channel modeling and spatial correlation analysis. China Commun. 2022, 19, 133–145. [Google Scholar] [CrossRef]
- Lin, Q.; Li, S.; Yu, W. Review on Phase Synchronization Methods for Spaceborne Multistatic Synthetic Aperture Radar. Sensors 2024, 24, 3122. [Google Scholar] [CrossRef] [PubMed]
- Wang, Y.; Ding, Z.; Li, L.; Liu, M.; Ma, X.; Sun, Y.; Zeng, T.; Long, T. First Demonstration of Single-Pass Distributed SAR Tomographic Imaging With a P-Band UAV SAR Prototype. IEEE Trans. Geosci. Remote Sens. 2022, 60, 5238618. [Google Scholar] [CrossRef]
- Hawkins, B.; Anderson, M.; Prager, S.; Chung, S.-I.; Lavalle, M. Experiments with Small UAS to Support SAR Tomographic Mission Formulation. In Proceedings of the 2021 IEEE International Geoscience and Remote Sensing Symposium IGARSS, Brussels, Belgium, 11–16 July 2021; pp. 643–646. [Google Scholar]
- Zhang, F.; Liang, X.; Wu, Y.; Lv, X. 3D surface reconstruction of layover areas in continuous terrain for multi-baseline SAR interferometry using a curve model. Int. J. Remote Sens. 2015, 36, 2093–2112. [Google Scholar] [CrossRef]
- Nanzer, J.A.; Schmid, R.L.; Comberiate, T.M.; Hodkin, J.E. Open-Loop Coherent Distributed Arrays. IEEE Trans. Microw. Theory Tech. 2017, 65, 1662–1672. [Google Scholar] [CrossRef]
- Prager, S.; Haynes, M.S.; Moghaddam, M. Wireless Subnanosecond RF Synchronization for Distributed Ultrawideband Software-Defined Radar Networks. IEEE Trans. Microw. Theory Tech. 2020, 68, 4787–4804. [Google Scholar] [CrossRef]
- Mghabghab, S.; Ouassal, H.; Nanzer, J. Wireless Frequency Synchronization for Coherent Distributed Antenna Arrays. In Proceedings of the 2019 IEEE International Symposium on Antennas and Propagation and USNC-URSI Radio Science Meeting, Atlanta, GA, USA, 7–12 July 2019; pp. 1575–1576. [Google Scholar]
- Mghabghab, S.R.; Ellison, S.M.; Nanzer, J.A. Open-Loop Distributed Beamforming Using Wireless Phase and Frequency Synchronization. IEEE Microw. Wirel. Compon. Lett. 2022, 32, 234–237. [Google Scholar] [CrossRef]
- Ouassal, H.; Rocco, T.; Yan, M.; Nanzer, J.A. Decentralized Frequency Synchronization in Distributed Antenna Arrays With Quantized Frequency States and Directed Communications. IEEE Trans. Antennas Propag. 2020, 68, 5280–5288. [Google Scholar] [CrossRef]
- Gross, J.N.; Gu, Y.; Rhudy, M.B. Robust UAV Relative Navigation With DGPS, INS, and Peer-to-Peer Radio Ranging. IEEE Trans. Autom. Sci. Eng. 2015, 12, 935–944. [Google Scholar] [CrossRef]
- Xiong, J.; Cheong, J.W.; Xiong, Z.; Dempster, A.G.; List, M.; Wöske, F.; Rievers, B. Carrier-Phase-Based Multi-Vehicle Cooperative Positioning Using V2V Sensors. IEEE Trans. Veh. Technol. 2020, 69, 9528–9541. [Google Scholar] [CrossRef]
- Xu, H.; Zhang, J.; Tang, P.; Tian, L.; Wang, Q.; Liu, G. An Empirical Study on Channel Reciprocity in TDD and FDD Systems. IEEE Open J. Veh. Technol. 2024, 5, 108–124. [Google Scholar] [CrossRef]
- Zhang, Z.; Zhang, Y.; Zhang, J.; Gao, F. Adversarial training-aided time-varying channel prediction for TDD/FDD systems. China Commun. 2023, 20, 100–115. [Google Scholar] [CrossRef]
- Bigler, L.; Lin, H.P.; Jeng, S.S.; Xu, G. Experimental direction of arrival and spatial signature measurements at 900 MHz for smart antenna systems. In Proceedings of the 1995 IEEE 45th Vehicular Technology Conference. Countdown to the Wireless Twenty-First Century, Chicago, IL, USA, 25–28 July 1995; Volume 51, pp. 55–58. [Google Scholar]
- Gonzalez, J.H.; Bachmann, M.; Krieger, G.; Fiedler, H. Development of the TanDEM-X Calibration Concept: Analysis of Systematic Errors. IEEE Trans. Geosci. Remote Sens. 2010, 48, 716–726. [Google Scholar] [CrossRef]
- Liang, D.; Zhang, H.; Liu, K.; Liu, D.; Wang, R. Phase Synchronization Techniques for Bistatic and Multistatic Synthetic Aperture Radar: Accounting for frequency offset. IEEE Geosci. Remote Sens. Mag. 2022, 10, 153–167. [Google Scholar] [CrossRef]
- Breit, H.; Younis, M.; Niedermeier, A.; Grigorov, C.; Fritz, T. Bistatic Synchronization and Processing of TanDEM-X Data. In Proceedings of the IEEE International Geoscience & Remote Sensing Symposium, Vancouver, BC, Canada, 24–29 July 2011. [Google Scholar]
- Zhu, J.; Pan, J.; Qiu, X. Analysis and experimental validation of key technologies for unmanned aerial vehicle-borne bistatic interferometric synthetic aperture radar. J. Radars 2023, 12, 832–848. [Google Scholar] [CrossRef]
- Cai, Y.; Li, J.; Yang, Q.; Liang, D.; Liu, K.; Zhang, H.; Lu, P.; Wang, R. First Demonstration of RFI Mitigation in the Phase Synchronization of LT-1 Bistatic SAR. IEEE Trans. Geosci. Remote Sens. 2023, 61, 5217319. [Google Scholar] [CrossRef]
- Li, X.; Zhang, F.; Li, Y.; Guo, Q.; Wan, Y.; Bu, X.; Liu, Y.; Liang, X. An Elevation Ambiguity Resolution Method Based on Segmentation and Reorganization of TomoSAR Point Cloud in 3D Mountain Reconstruction. Remote Sens. 2021, 13, 5118. [Google Scholar] [CrossRef]
- Saarnisaari, H. TLS-ESPRIT in a time delay estimation. In Proceedings of the 1997 IEEE 47th Vehicular Technology Conference. Technology in Motion, Phoenix, AZ, USA, 4–7 May 1997; pp. 1619–1623. [Google Scholar]
- Fuchs, J.J. Multipath time-delay detection and estimation. IEEE Trans. Signal Process. 1999, 47, 237–243. [Google Scholar] [CrossRef]
- Bhaskar, B.N.; Tang, G.; Recht, B. Atomic Norm Denoising With Applications to Line Spectral Estimation. IEEE Trans. Signal Process. 2013, 61, 5987–5999. [Google Scholar] [CrossRef]
- Chi, Y.; Ferreira Da Costa, M. Harnessing Sparsity Over the Continuum: Atomic norm minimization for superresolution. IEEE Signal Process. Mag. 2020, 37, 39–57. [Google Scholar] [CrossRef]
- Low, Z.N.; Cheong, J.H.; Law, C.L.; Ng, W.T.; Lee, Y.J. Pulse detection algorithm for line-of-sight (LOS) UWB ranging applications. IEEE Antennas Wirel. Propag. Lett. 2005, 4, 63–67. [Google Scholar] [CrossRef]
- Kaplan, E.D.; Hegarty, C. Understanding GPS/GNSS: Principles and Applications; Artech: Morristown, NJ, USA, 2017. [Google Scholar]
- Jameson, I. Time Delay Estimation; Defence Science and Technology Organisation: Canberra, Australia, 2006.
- Younis, M.; Metzig, R.; Krieger, G. Performance Prediction of a Phase Synchronization Link for Bistatic SAR. IEEE Geosci. Remote Sens. Lett. 2006, 3, 429–433. [Google Scholar] [CrossRef]
- Krieger, G.; Younis, M. Impact of oscillator noise in bistatic and multistatic SAR. IEEE Geosci. Remote Sens. Lett. 2006, 3, 424–428. [Google Scholar] [CrossRef]
- Younis, M.; Metzig, R.; Krieger, G.; Bachmann, M.; Klein, R. Performance Prediction and Verification for the Synchronization Link of TanDEM-X. In Proceedings of the 2007 IEEE International Geoscience and Remote Sensing Symposium, Barcelona, Spain, 23–28 July 2007; pp. 5206–5209. [Google Scholar]
- Riley, W.J. Handbook of Frequency Stability Analysis; National Institute of Standards and Technology: Gaithersburg, MD, USA, 2008.
- Rubiola, E.; Vernotte, F. The Companion of Enrico’s Chart for Phase Noise and Two-Sample Variances. IEEE Trans. Microw. Theory Tech. 2023, 71, 2996–3025. [Google Scholar] [CrossRef]
- Tse, D.; Viswanath, P. Fundamentals of Wireless Communication; Cambridge University Press: Cambridge, UK, 2005. [Google Scholar]
- Deák, L.; Fülöp, T. Reciprocity in quantum, electromagnetic and other wave scattering. Ann. Phys. 2012, 327, 1050–1077. [Google Scholar] [CrossRef]
- Astola, J.; Kuosmanen, P. Fundamentals of Nonlinear Digital Filtering, 1st ed.; CRC Press: Boca Raton, FL, USA, 1997. [Google Scholar]
- Kay, S.M. Fundamentals of Statistical Signal Processing: Estimation Theory; Prentice-Hall, Inc.: Saddle River, NJ, USA, 1993. [Google Scholar]
- Merkl, B. The Future of the Operating Room: Surgical Preplanning and Navigation Using High Accuracy Ultra-Wideband Positioning and Advanced Bone Measurement. Ph.D. Thesis, University of Tennessee, Knoxville, TN, USA, 2008. [Google Scholar]
















| Parameter | Value | Parameter | Value |
|---|---|---|---|
| Path number | 2 | Sample rate | 500 MHz |
| Bandwidth | 400 MHz | Pulse duration | 2 μs |
| LOS time delay | 0 ns | Multipath delay | 0.5 ns |
| LOS amplitude | 1 (dimensionless) | Multipath component amplitude | −0.95 (dimensionless) |
| Parameter | Value |
|---|---|
| Carrier frequency | 6.8 GHz |
| Signal bandwidth | 400 MHz |
| Pulse width | 1 μs |
| Sync rate | 500 Hz |
| Rotation speed of rotors during flight | 4100–4300 revolutions per minute (RPM) |
| UAV flight speed | 5 m/s |
| Flight height | 300 m |
| UAV rotor blade length | 0.15 m |
| Links | Minimum Modified Allan Variance (MVAR) | Minimum MVAR Corresponding (s) | STD of First-Order Difference in Phase (deg) | STD of WPM Noise (at s) (deg) |
|---|---|---|---|---|
| Link AB | 5.98 × 10−23 | 0.096 | 1.04 | 0.63 |
| Link AC | 8.54 × 10−23 | 0.042 | 3.88 | 0.65 |
| Link AD | 9.76 × 10−23 | 0.042 | 0.89 | 0.54 |
| Link BC | 4.97 × 10−23 | 0.042 | 4.14 | 0.70 |
| Link BD | 2.14 × 10−21 | 1.434 | 13.35 | 12.83 |
| Link CD | 6.41 × 10−23 | 0.035 | 3.52 | 0.53 |
| Link B→C→D | 5.18 × 10−23 | 0.051 | 1.29 | 0.70 |
| Link B→A→D | 5.05 × 10−23 | 0.051 | 1.24 | 0.64 |
| Link B→C→A→D | 5.18 × 10−23 | 0.054 | 1.30 | 0.72 |
| Link B→A→C→D | 5.35 × 10−23 | 0.058 | 1.38 | 0.77 |
| Methods | Minimum Modified Allan Variance (MVAR) | Minimum MVAR Corresponding (s) | STD of First-Order Difference in Phase (deg) | STD of WPM (at s) (deg) |
|---|---|---|---|---|
| Max-peak detection | 2.14 × 10−21 | 1.08 | 13.35 | 12.84 |
| ESPRIT | 1.73 × 10−21 | 0.96 | 14.33 | 13.68 |
| First-peak 0.5 dB | 2.40 × 10−21 | 0.95 | 13.64 | 13.21 |
| First-peak 1 dB | 1.86 × 10−21 | 0.85 | 13.51 | 12.72 |
| First-peak 2 dB | 3.44 × 10−21 | 1.10 | 13.23 | 13.43 |
| First-peak 3 dB | 4.24 × 10−21 | 0.88 | 13.51 | 13.78 |
| Proposed method | 4.81 × 10−23 | 0.05 | 1.21 | 0.61 |
| Link AB | 5.98 × 10−23 | 0.096 | 1.04 | 0.63 |
| Methods | Azimuth IRW (m) | Azimuth PSLR (dB) | Azimuth ISLR (dB) | |
|---|---|---|---|---|
| Corner reflector A | Unprocessed | 0.48 | −14.08 | −5.71 |
| Processed | 0.31 | −10.63 | −6.20 | |
| Scatter B | Unprocessed | 0.82 | −2.84 | 0.76 |
| Processed | 0.37 | −11.44 | −4.42 | |
Disclaimer/Publisher’s Note: The statements, opinions and data contained in all publications are solely those of the individual author(s) and contributor(s) and not of MDPI and/or the editor(s). MDPI and/or the editor(s) disclaim responsibility for any injury to people or property resulting from any ideas, methods, instructions or products referred to in the content. |
© 2025 by the authors. Licensee MDPI, Basel, Switzerland. This article is an open access article distributed under the terms and conditions of the Creative Commons Attribution (CC BY) license (https://creativecommons.org/licenses/by/4.0/).
Share and Cite
Xin, J.; Liang, X.; Jiang, Z.; Li, H.; Dai, Y.; Wang, H.; Zhang, Y.; Bu, X. Robust Synchronization Error Estimation Under Multipath Fading in Distributed SAR. Electronics 2025, 14, 983. https://doi.org/10.3390/electronics14050983
Xin J, Liang X, Jiang Z, Li H, Dai Y, Wang H, Zhang Y, Bu X. Robust Synchronization Error Estimation Under Multipath Fading in Distributed SAR. Electronics. 2025; 14(5):983. https://doi.org/10.3390/electronics14050983
Chicago/Turabian StyleXin, Jihao, Xingdong Liang, Zhiyu Jiang, Hang Li, Yujie Dai, Huan Wang, Yuan Zhang, and Xiangxi Bu. 2025. "Robust Synchronization Error Estimation Under Multipath Fading in Distributed SAR" Electronics 14, no. 5: 983. https://doi.org/10.3390/electronics14050983
APA StyleXin, J., Liang, X., Jiang, Z., Li, H., Dai, Y., Wang, H., Zhang, Y., & Bu, X. (2025). Robust Synchronization Error Estimation Under Multipath Fading in Distributed SAR. Electronics, 14(5), 983. https://doi.org/10.3390/electronics14050983

