Abstract
The paper investigates consensus problem of heterogeneous multi-agent systems including agents with first- and second-order integrators in the presence of disturbance and communication time delays under Markov switching topologies. Based on current messages, outdated information stored in memory and communication time delay information from neighbors, a more general kind of distributed consensus algorithm is proposed, which is faster consensus convergence. By applying stochastic stability analysis, model transformation techniques and graph theory, sufficient conditions of mean square consensus and consensus are obtained, respectively. Finally, simulation examples are given to illustrate the effectiveness of obtained theoretical results.
1. Introduction
In recent years, coordination control of multi-agent systems has become an interesting and attractive topic in control community. Moreover, consensus problem is a basic and critical issue of coordination control.
At present, there have been many results on consensus reported in literatures [1,2,3,4,5,6,7,8,9,10,11,12,13,14,15,16,17,18,19,20,21,22,23,24,25,26,27]. In [1], authors provided consensus preliminary work of multi-agent systems, where several basic consensus algorithms were established and convergence analysis was also carried out. Then, consensus problems were taken into account for continuous- and discrete-time multi-agent systems in [2] and some useful graph lemmas were introduced. Based on sampled data approach, consensus protocols with sampled interval for the second-order multi-agent systems were proposed in [3]. In order to accelerate consensus convergence, outdated and current positions information was utilized to design controllers for the first-order multi-agent systems in [4]. Moreover, in the context of complex environment, agents have to be separated into small groups to execute different tasks. Then, we say that it is group consensus. By use of models transformation, it is shown that group consensus of heterogeneous multi-agent systems was addressed in [5]. Furthermore, asynchronous group consensus was achieved if the union graph had a spanning tree in [6].
It is well known that time delay widely exists in practical networks. Form the viewpoint of systems stability, researchers mainly focus on time delays how much impact on networks [7,8,9,10,11,12]. For example, when time delay was changing in [7], average consensus could be reached if there were balanced and connected communication graphs. In [8], output consensus problem was discussed for discrete-time multi-agent systems including output time delays. By applying Laplace transformation approaches, authors in [9] were concerned with consensus analysis of high-order multi-agent systems with different time delays. Since there was input time delays in [10], a kind of group consensus algorithms were proposed for heterogeneous multi-agent systems and stability analysis of closed loop system was discussed in frequency domain. Moreover, due to external disturbance, H infinity control for multi-agent systems with time delays was investigated in [11]. Furthermore, authors in [12] dealt with H infinity consensus problem by applying periodic sampled data approach and graph theory under switching leader-follower topologies. Additionally, other results of networks can be found in [13,14,15,16,17,18,19,20], to name a few.
Since there are some factors like packet dropouts or limited communication distance in practical systems, communication links between agents may be dynamically different, which leads to stochastic switching topologies. Moreover, if they satisfy the property of a Markov chain, it is worth studying consensus problems of multi-agent systems [21,22,23,24,25,26,27]. For example, assume that some of transition probabilities were unknown for Markov jump systems, authors in [21] adopted two methods to realize H infinity performance by use of Finsler’s Lemma and iterative theory, respectively. In view of an active leader, authors in [22] applied sampled data method to derive necessary and sufficient consensus conditions for discrete-time multi-agent systems under switching topologies driven by a Markov chain. Based on event-triggered idea, the filter was design for discrete-time systems in [23] and made the estimated signal satisfy H infinity performance with disturbance. Moreover, by using systems transformations, mean square consensus problems were turned to be stability analysis of closed-loop systems with stochastic switching signals in [24]. Furthermore, if communication link failures occurred, consensus problems with and without leader of heterogeneous multi-agent systems were studied in [25]. In [26], authors modeled dynamics of the second-order multi-agent systems with input controller. In [27], mean square consensus with saturation was considered. Based on consensus idea, controller laws for network were proposed in [28] for realistic cases. In addition, sleep scheduling method in [29] and separation of time scale in [30] were adopted to deal with network problems, respectively.
The main contribution of the paper is summarized as follows. (1) Compared with literatures [1,2,3,4,5,6,7], a more general kind of consensus algorithms is proposed based on three types of output messages. However, proposed algorithms in the paper are different from ones with output information in the literature [8,17,18,19,20]. (2) In contrast to similar algorithms in literatures [11,16], proposed consensus algorithms are faster consensus convergence, which is shown by simulation example in Section 4. (3) Based on model transformation techniques and graph theory, mean square consensus is changed to be the problem of stochastic stability of closed-loop systems. Moreover, continuous-time heterogeneous multi-agent systems were discussed under the fixed topology in [11], while we investigate consensus of discrete-time cases under directed Markovian switching topologies.
2. Graph Theory
Before we give the main results, fundamental graph theory used in the article is introduced ahead. Suppose that there are agents, which consists first-order agents and second-order agents. We use to express the graph corresponding to communication topology, where is a collection of communication edges and is the adjacency matrix. Note that if there exists communication information exchange from the ith agent to the jth agent, we define ; otherwise . Moreover, if messages transmission is directional for any two agents, is called a directed graph. Then, Laplacian matrix is defined with for and with .
In the graph , if a node could not receive any information from others but could transfer messages to at least a node, it is called the root node. The directed graph has a spanning tree if there exists at least a path from the root node to others.
3. Main results
3.1. Mean Square Consensus of Heterogeneous Multi-Agent Systems without Disturbance
The dynamical equations of the first-order agents are modeled as follows:
where , , represent position, input control and output of the ith agent, respectively. And is a constant, is the set of vectors, denotes external disturbance, is the set of square-integrable functions, is a constant, is a constant coefficient, is a sampling time.
The dynamics of the second-order agents are considered as follows
where , , denote the ith agent’s position, velocity, input control, respectively. And , denote the ith agent’s output, and are constants, and are external disturbances. is the same to the one in (1).
In some practical situations, information of positions and velocities could not be directly obtained at some times. However, output messages are easily measured. Then, based on output and , consensus algorithms with communication time delays are proposed as follows
where is communication time delay among agents, , , , , , are constants and for . Moreover, and denote received messages of the ith agent from the jth agent at time , and are the outdated information stored in memory of the ith agent at time , is current output of the ith agent.
Replacing and in (7) by ones in (2), (5), (6), we have
Remark 1.
In [1,2,3,4,5,6,7], authors used positions and velocities to design consensus algorithms. In order to overcome the difficulty of directly obtaining the above information at certain times, consensus algorithms with output information are proposed in this paper, which are different from those with output signals in [8,17,18,19,20]. Moreover, authors in [4] applied history information to make agents converge much faster. Mainly inspired by the idea in [4], we utilize outdated data to construct consensus algorithms. And (7) is made up of three parts, which is time delay messages of the jth agent, outdated memory and current information of the ith agent.
Remark 2.
Note that authors directly used position information to design controllers and behavior of every agent was identical in literature [4], while output information is utilized to construct algorithms and dynamic of every agent is different in this paper. In addition, directed stochastic switching topologies are consider in the paper.
The estimated signal is denoted byas follows
whereandare constant matrices,,,,are identical to ones in (11).
Definition 1.
[24] Under the proposed algorithms (7), systems (1), (3), (4) reach mean square consensus without disturbance if
Definition 2.
[12,21,23,31]consensus problem investigated in this paper is to design the consensus algorithm (7), such that the following conditions are satisfied
- (1)
- Under the consensus algorithm (7), systems (1), (3), (4) reach mean square consensus with;
- (2)
- Under zero initial condition, for any nonzero, the following inequality holds for
Lemma 1.
[2,3] The Laplacian matrixhas exactly one zero eigenvalues and all other eigenvalues have positive real parts, if and only if the directed graph associated withhas a spanning tree.
Set In order to express clearly, we divide into the form , where , , , is the set of dimensional matrices. Moreover, is denoted by with .
Then, combining (1)–(6) with (7) yields
where
, , , , , , , . And is an identity matrix with appropriate dimensions. is a suitable dimensional matrix (or vector) from the context with every element being zero.
We let . It follows from (10) that
where , , .
Together (4) with (8), it implies
where , .
Changing (11) and (12) into a matrix form results in
Set . Rewriting the above equation yields
where
Considering the case that communication switching topologies satisfy property of the Markov chain, (13) can be expressed as follows
where is a switching signal driven by a Markov chain, which takes vales in the set with being a positive number. Then, we use to represent the transition probability matrix with where denotes the transition rate from the topology associated with graph to the one corresponding to graph and satisfies for .
After above models transformations, mean square consensus problems of systems (1), (3), (4) turns to be stability analysis of system (14).
Theorem 1.
Assume that each communication graph contains a directed spanning tree for . When , if there exist positive definite matrices , for constants , , , , , and , such that the following inequalities hold
Then, under the proposed consensus algorithm (7), systems (1), (3), (4) can reach mean square consensus.
Proof.
Choose the Lyapunov function modified based on ones in [21,23,31]
where , are positive definite matrices. Taking difference of (16) in the stochastic process sense, we have
From condition (15), we can see . Thus, we obtain . In view of , and are derived. Since every communication graph has a spanning tree, according to Lemma 1, has only one zero eigenvalue, which implies . Then, there exists an invertible matrix to make the following transformation,
where is a Jordan normal matrix for with .
Noting (17), we have
From above analysis, we can see . It is obvious that is a nonsingular matrix. Due to with nonsingular matrices and , it implies . Furthermore, we have for and for . Therefore, using Definition 1, under the proposed consensus algorithm (7), we say systems (1), (3), (4) can reach mean square consensus. □
Next, we will discuss less messages needed than one in (7) to construct consensus algorithms. Then, if we only use time delay messages of , and outdated information , (7) is turned to be
Moreover, consensus algorithms in [16] is a specific one of (18). In addition, if we only use output information related with position and current messages, (7) is changed to be
Then, we can see that (19) is more general consensus algorithm than one in [11]. Moreover, algorithms (18) and (19) are specific cases of (7). However, (7) needs more output information than algorithms (18) and (19), which leads to complicated controller. And Section 4 gives a convergence comparison of (7), (18), (19) by simulation examples. Thus, we obtain that consensus convergence in (7) is faster than ones in (18) and (19). Thus, there is a trade-off between faster convergence of (7) and simpler controllers of (18) and (19).
Remark 3.
Theorem 1 extends the results in [5,25] to the one with communication time delays under Markovian switching topologies.
3.2. Consensus of Heterogeneous Multi-Agent Systems with Disturbance
In the section, we will discuss consensus with disturbance . Under switching topologies driven by a Markov chain, (9) can be rewritten
where , is identical to the one in (14).
Theorem 2.
Assume that each communication graph contains a directed spanning tree. If there exist constants , , , , , , , , , , and , constant matrices , , positive definite matrices , , such the following linear matrix inequalities hold
where Thus, under the consensus algorithm (7), systems (1), (3), (4) can solve consensus problem.
Proof.
Choose the Lyapunov function as the one in (16). Then, calculating difference of (16) with , we have
Observing (20) and condition (21), we have
where
Recalling the zero initial condition of and following a similar method in [23], we have
From above analysis, we derive . According to Definition 2, under the algorithm (7), systems (1), (3), (4) solve consensus problem. □
Remark 4.
In [11], consensus problems of continuous-time multi-agent systems were investigated. However, we focus on the case of discrete-time multi-agent systems.
4. Simulations
In this section, consider a multi-agent system consisting of four multi-agents, where agents 1–2 have first-order integrators and agents 3–4 are second-order integrators. The communication information flows jumped between graphs associated with switching topologies. The graph is shown in Figure 1. And assume that the transition probability matrix is as follows
Figure 1.
Two directed graphs, (a) graph and (b) graph .
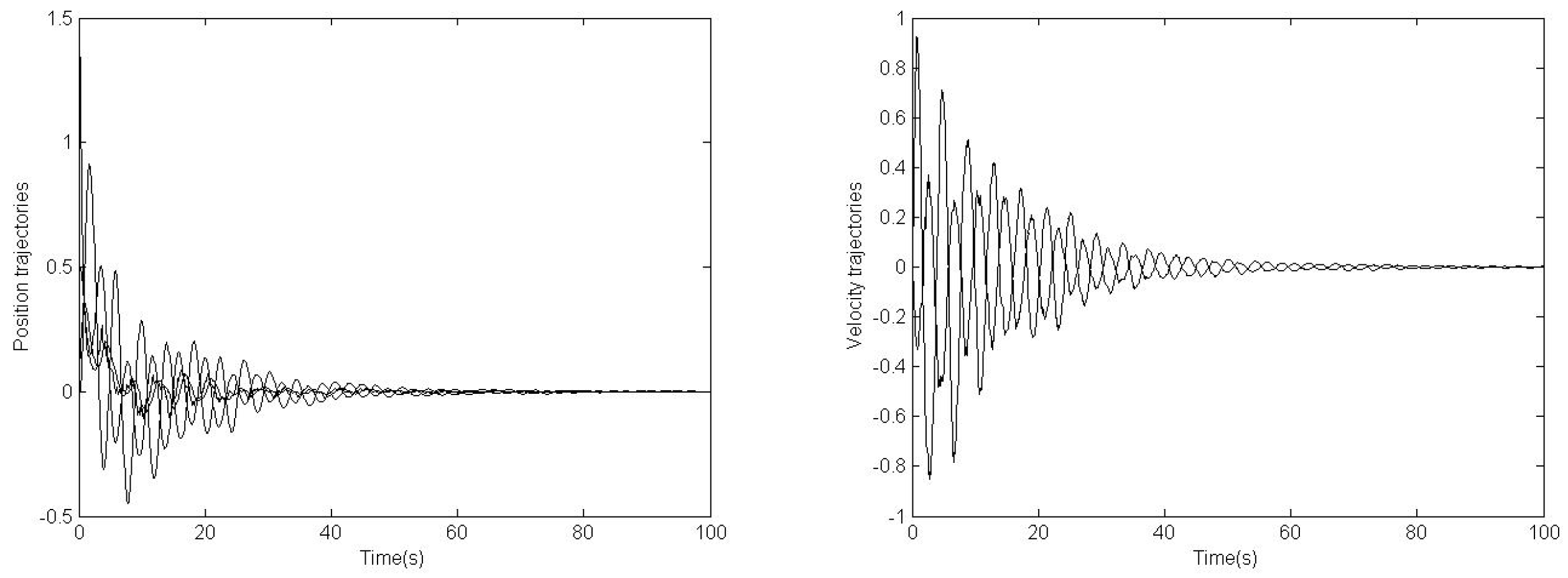
If there exists the information flow from the ith agent to the jth agent, we set ; otherwise it is zero. Choose , , , , , , , for . When , linear matrix inequality in (15) is feasible checked by Matlab tools. According to Theorem 1, systems (1), (3), (4) achieve mean square consensus. Figure 2, Figure 3 and Figure 4 show trajectories of position and velocity in systems (1), (3), (4) by applying consensus algorithms (7), (18), (19), respectively. From these pictures, we can see that consensus convergence of (7) is faster than ones in (18) and (19).
Figure 2.
Trajectories of systems (1), (3), (4) with consensus algorithm (7).
Figure 3.
Trajectories of systems (1), (3), (4) with consensus algorithm (18).
Figure 4.
Trajectories of systems (1), (3), (4) with consensus algorithm (19).
For the case of , we select , , , , , , , . By verification of Matlab tools, linear matrix inequality in (21) is feasible. According to Theorem 2, systems (1), (3), (4) solve consensus problem. Figure 5 gives the picture of the estimated signal .
Figure 5.
Picture of the estimated signal .
5. Conclusions
In this paper, consensus problem of heterogeneous multi-agent system including the first- and second-order agents under Markov switching topologies with external interference. And consensus algorithms with communication time delay via output are proposed. By using stochastic stability theory, linear matrix inequality technique and graph theory, sufficient consensus conditions are derived. Finally, we give simulation examples to demonstrate the effectiveness of proposed results in this paper.
In addition, if we choose inappropriate parameters , , , , and so on, consensus convergence of proposed algorithms (7) may not outperform compared with other algorithms. Thus, our future work is to find range of appropriate parameters in consensus algorithms by theoretical analysis of convergence.
Author Contributions
G.M. and G.L. conceived the ideas of theory and wrote the paper. T.L. and Y.L. checked and corrected the paper.
Funding
This work was funded by National Key R&D Program of China under grant 2018YFC1405703, by the Six Talent Peaks Project in Jiangsu Province under grants 2015-DZXX-013 and by Jiangsu provincial university innovation team plan, National Natural Science Foundation of PR China under grants 61503189, 71503136, 51875293, by Qing Lan Project.
Conflicts of Interest
The authors declare no conflict of interest.
References
- Olfati-saber, R.; Murray, R. Consensus problems in networks of agents with switching topology and time-delays. IEEE Trans. Autom. Control 2003, 48, 988–1002. [Google Scholar] [CrossRef]
- Ren, W.; Beard, R. Consensus seeking in multi-agent systems under dynamically changing interaction topologies. IEEE Trans. Autom. Control 2005, 50, 645–667. [Google Scholar]
- Ma, Q.; Xu, S.; Lewis, F. Second-order consensus for directed multi-agent systems with sampled data. Int. J. Robust Nonlinear Control 2014, 24, 2560–2573. [Google Scholar] [CrossRef]
- Cao, Y.; Ren, W.; Chen, Y. Multi-agent consensus using both current and outdated states. In Proceedings of the International Federation of Automatic Control, Seoul, Korea, 6–11 July 2008. [Google Scholar]
- Feng, Y.; Zheng, W. Group consensus control for discrete-time heterogeneous first- and second-order multi-agent systems. IET Control Theory Appl. 2018, 12, 753–756. [Google Scholar] [CrossRef]
- Shi, L.; Shao, J.; Cao, M.; Xia, H. Asynchronous group consensus for discrete-time heterogeneous multi-agent systems under dynamically changing interaction topologies. Inf. Sci. 2018, 463, 282–293. [Google Scholar] [CrossRef]
- Lin, P.; Jia, Y. Average consensus in networks of multi-agents with both switching topology and coupling time-delay. Phys. A 2008, 387, 303–313. [Google Scholar]
- Xu, X.; Liu, L.; Feng, G. Consensus of discrete-time linear multiagent systems with communication, input and output delays. IEEE Trans. Autom. Control 2018, 63, 492–497. [Google Scholar] [CrossRef]
- Tian, Y.; Zhang, Y. High-order consensus of heterogeneous multi-agent systems with unknown communication delays. Automatica 2012, 48, 1205–1212. [Google Scholar] [CrossRef]
- Wen, G.; Yu, Y.; Peng, Z.; Wang, H. Dynamical group consensus of heterogeneous multi-agent systems with input time delays. Neurocomputing 2016, 175, 278–286. [Google Scholar] [CrossRef]
- Wang, B.; Sun, Y. H∞ consensus for heterogeneous multi-agent systems with time delay. In Proceedings of the 14th International Conference on Automation and Systems, Kintex, Korea, 22–25 October 2014. [Google Scholar]
- Zhang, D.; Xu, Z.; Wang, Q.; Zhao, Y. Leader-follower H∞ consensus of linear multi-agent systems with aperiodic sampling and switching connected topologies. ISA Trans. 2017, 68, 150–159. [Google Scholar] [CrossRef]
- Ma, Q.; Xu, S.; Feng, G. Delay-dependent stability criteria for reaction-diffusion neural networks with time delays. IEEE Trans. Cybern. 2013, 43, 1913–1920. [Google Scholar] [CrossRef]
- Shao, H.; Li, H.; Zhu, C. New stability results for delayed neural networks. Appl. Math. Comput. 2017, 311, 324–334. [Google Scholar] [CrossRef]
- Zheng, B.; Fei, S.; Liu, X. Event-triggered and memory-based sliding mode variable structure control for memristive systems. Electronics 2018, 7, 253. [Google Scholar] [CrossRef]
- Liu, B.; Zhang, Y.; Jiang, F.; Gao, Y. Group consensus for a class of discrete-time heterogeneous multi-agent systems in directed topology. In Proceedings of the 32nd Youth Academic Annual Conference of Chinese Association of Automation, Hefei, China, 19–21 May 2017. [Google Scholar]
- Semsar-Kazerooni, E.; Khorasani, K. Optimal consensus algorithms for cooperative team of agents subject to partial information. Automatica 2008, 44, 2766–2777. [Google Scholar] [CrossRef]
- Jiang, Y.; Liu, J.; Wang, S. Consensus racking algorithm via observer-based distributed output feedback for multi-agent systems under switching topology. Circuits Syst. Signal Process. 2014, 33, 3037–3052. [Google Scholar] [CrossRef]
- Zhao, H.; Park, J.H. Dynamic output feedback consensus of continuous-time networked multi-agent systems. Complexity 2015, 20, 35–42. [Google Scholar] [CrossRef]
- Zhao, Y.; Duan, Z.; Wen, G. Distributed finite-time tracking of multiple Euler-Lagrange systems without velocity measurement. Int. J. Robust Nonlinear Control 2015, 25, 1688–1703. [Google Scholar] [CrossRef]
- Li, X.; Lam, J.; Gao, H. Improved results on H∞ model reduction for Markovian jump systems with partly known transition probabilities. Syst. Control Lett. 2014, 70, 109–117. [Google Scholar] [CrossRef]
- Zhao, H.; Ren, W.; Yuan, D.; Chen, J. Distributed discrete-time coordinated tracking with Markovian switching topologies. Syst. Control Lett. 2012, 61, 766–772. [Google Scholar] [CrossRef]
- Wang, H.; Xue, A.; Wang, J.; Lu, R. Event-based H∞ filtering for discrete-time Markov jump systems with network-induced delay. J. Frankl. Inst. 2017, 354, 6170–6189. [Google Scholar] [CrossRef]
- Zhang, Y.; Tian, Y. Consentability and protocol design of multi-agent systems with stochastic switching topology. Automatica 2009, 45, 1195–1201. [Google Scholar]
- Kim, J.; Park, J.; Choi, Y. Leaderless and leader-following consensus for heterogeneous multi-agent systems with random link failures. IET Control Theory Appl. 2014, 8, 51–60. [Google Scholar] [CrossRef]
- Hou, B.; Sun, F.; Li, H.; Liu, G. Stationary consensus of heterogeneous multi-agent systems with random delays governed by a Markov chian. IET Control Theory Appl. 2014, 8, 1905–1913. [Google Scholar] [CrossRef]
- Dai, J.; Guo, G. Event-based consensus for second-order multi-agent systems with actuator saturation under fixed and Markovian switching topologies. J. Frankl. Inst. 2017, 354, 6098–6118. [Google Scholar] [CrossRef]
- Santini, S.; Salvi, A.; Valente, A.S.; Pescapé, A.; Segata, M.; Cigno, R.L. A consensus-based approach for platooning with intervehicular communications and its validation in realistic scenarios. IEEE Trans. Veh. Technol. 2017, 66, 1985–1999. [Google Scholar]
- Mostafaei, H.; Montieri, A.; Persico, V.; Pescapé, A. A sleep scheduling approach based on learning automata for WSN partial coverage. J. Netw. Comput. Appl. 2017, 80, 67–78. [Google Scholar]
- Awad, A.; Chapman, A.; Schoof, E.; Narang-Siddarth, A.; Mesbahi, M. Time-scale separation on networks: Consensus, tracking and state-dependent interactions. In Proceedings of the IEEE 54th Annual Conference on Decision and Control, Osaka, Japan, 15–18 December 2015. [Google Scholar]
- He, Y.; Liu, G.; Rees, D.; Wu, M. H∞ filtering for discrete-time systems with time-varying delay. Signal Process. 2009, 89, 275–282. [Google Scholar] [CrossRef]
© 2018 by the authors. Licensee MDPI, Basel, Switzerland. This article is an open access article distributed under the terms and conditions of the Creative Commons Attribution (CC BY) license (http://creativecommons.org/licenses/by/4.0/).




