Decoupling Capacitors Placement at Board Level Adopting a Nature-Inspired Algorithm
Abstract
:1. Introduction
2. Overview of the Test Board
3. Implementation of the Optimization Algorithms
3.1. The Genetic Algorithm
3.2. Optimization Flow Using EZpp and DF PI
4. Optimization of the Decoupling Capacitance Value
5. Optimization of Decaps Value and Position
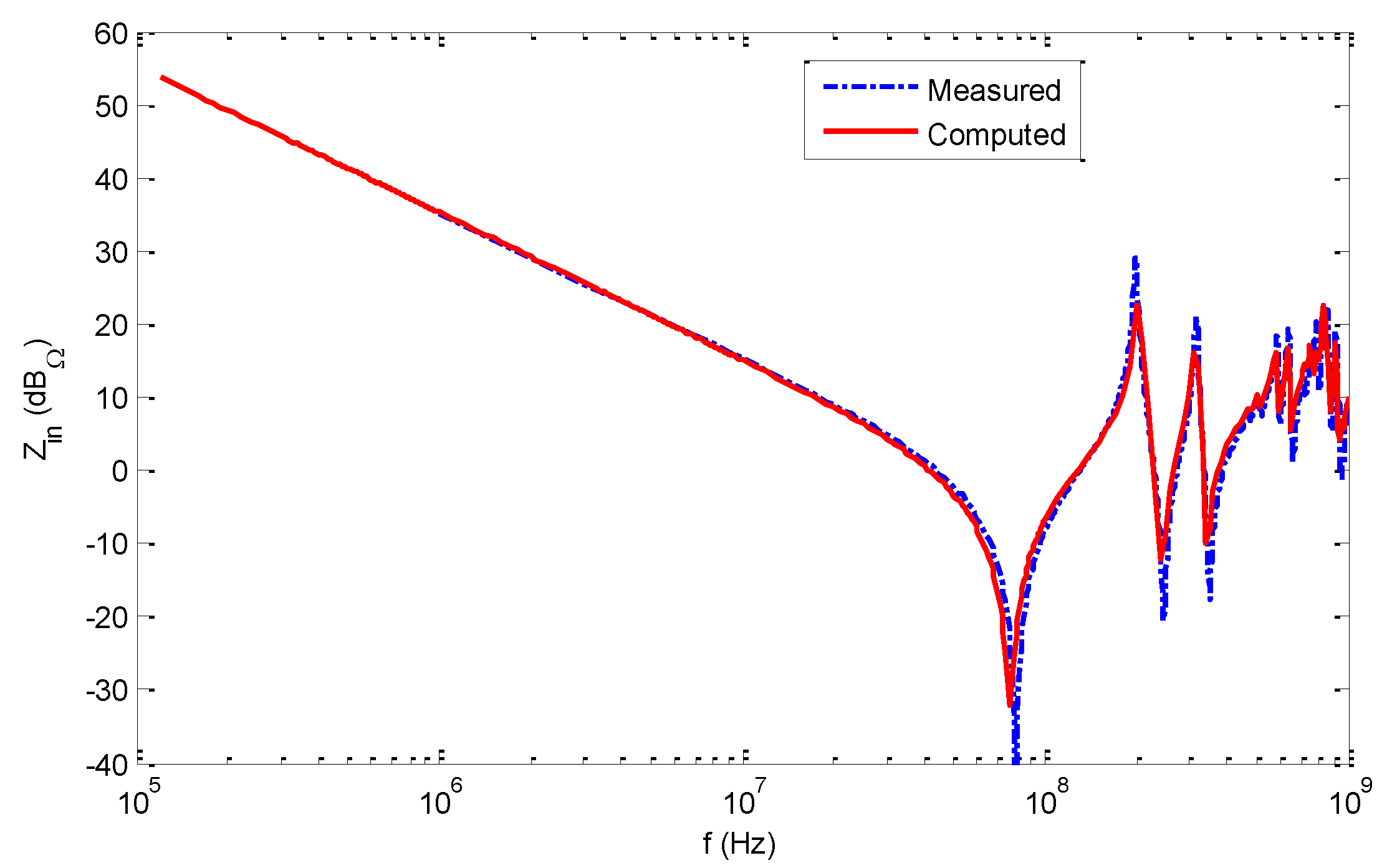
6. Measurements
7. Conclusions
Author Contributions
Funding
Acknowledgements
Conflicts of Interest
References
- Hall, S.H.; Heck, H.L. Advanced Signal Integrity for High-Speed Digital Designs; Wiley: New York, NY, USA, 2009. [Google Scholar]
- Orlandi, A.; Archambeault, B.; de Paulis, F.; Connor, S. Electromagnetic Bandgap (EBG) Structures. Common Mode Filters for High Speed Digital Systems; IEEE Press/Wiley: New York, NY, USA, 2017. [Google Scholar]
- Swaminathan, M.; Han, K.J. Design and Modeling for 3D ICs and Interposers; World Sci.: Singapore, 2014. [Google Scholar]
- Smith, L.D.; Bogatin, E. Principles of Power Integrity for PDN Design; Prentice-Hall: New York, NY, USA, 2016. [Google Scholar]
- Su, H.; Sapatnekar, S.S.; Nassif, S.R. Optimal decoupling capacitor sizing and placement for standard-cell layout designs. IEEE Trans. Comput. Aided Des. Integr. Circuits Syst. 2003, 22, 428–436. [Google Scholar] [CrossRef]
- Wang, X.; Cai, Y.; Zhou, Q.; Tan, S.X.; Eguia, T. Decoupling Capacitance Efficient Placement for Reducing Transient Power Supply Noise. In Proceedings of the IEEE/ACM International Conference on Computer-Aided Design—Digest of Technical Papers, San Jose, CA, USA, 2–5 November 2009; pp. 745–751. [Google Scholar]
- Han, G. Simple and Fast method of On-Board Decoupling Capacitor Selection and Placement. In Proceedings of the IEEE Electrical Design of Advanced Packaging and Systems Symposium (EDAPS), Haining, China, 14–16 December 2017; pp. 1–3. [Google Scholar] [CrossRef]
- Piersanti, S.; de Paulis, F.; Olivieri, C.; Orlandi, A. Decoupling Capacitors Placement for a Multichip PDN by a Nature-Inspired Algorithm. IEEE Trans. Electromagn. Compat. 2018, 60, 1678–1685. [Google Scholar] [CrossRef]
- Im, S.; Srivastava, N.; Banerjee, K.; Goodson, K.E. Goodson. Scaling analysis of multilevel interconnect temperatures for high-performance ICs. IEEE Trans. Electron Devices 2005, 52, 2710–2719. [Google Scholar] [CrossRef]
- Patnaik, S.; Yang, X.; Nakamatsu, K. Nature-Inspired Computing and Optimization; Springer: Zurich, Switzerland, 2016. [Google Scholar]
- Koziel, S.; Leifsson, L.; Yang, X. Simulation-Driven Modeling and Optimization; Springer: Zurich, Switzerland, 2016. [Google Scholar]
- Liang, J.J.; Qin, A.K.; Suganthan, P.N.; Baskar, S. Comprehensive learning particle swarm optimizer for global optimization of multimodal functions. IEEE Trans. Evol. Comput. 2006, 10, 281–295. [Google Scholar] [CrossRef]
- Haupt, R.L.; Haupt, S.E. Practical Genetic Algorithms, 2nd ed.; Wiley: New York, NY, USA, 2004. [Google Scholar]
- Haupt, R.L.; Werner, D.H. Genetic Algorithms in Electromagnetics; Wiley: New York, NY, USA, 2007. [Google Scholar]
- Zamek, I.; Boyle, P.; Li, Z.; Sun, S.; Chen, X.; Chandra, S.; Li, T. Modeling FPGA Current Waveform and Spectrum and PDN Noise Estimation. In Proceedings of the DesignCon 2008, Santa Clara, CA, USA, 4–7 February 2008. [Google Scholar]
- Lei, G.; Techentin, R.W.; Gilbert, B.K. High-frequency characterization of power/ground-plane structures. IEEE Trans. Microw. Theory Technol. 1999, 47, 562–565. [Google Scholar]
- EMS+, EZPP User Manual. Available online: www.ems-plus.com (accessed on 2 November 2018).
- Zuken, Design Force User Manual. Available online: https://www.zuken.com/it/products/pcb-design/cr-8000/products/design-force 69 (accessed on 2 November 2018).
- Advanced Design System (ADS) 2013. Available online: www.keysight.com/en/pc-1297113/advanced-design-system-ads (accessed on 2 November 2018).
- Institute of Electrical and Electronics Engineers. IEEE Standard P1597, Standard for Validation of Computational Electromagnetics Computer Modeling and Simulation—Part 1; Institute of Electrical and Electronics Engineers: Piscataway, NJ, USA, 2008. [Google Scholar]
- Duffy, A.P.; Martin, A.J.M.; Orlandi, A.; Antonini, G.; Benson, T.M.; Woolfson, M.S. Feature Selective Validation (FSV) for validation of computational electromagnetics (CEM). Part I—The FSV method. IEEE Trans. Electromagn. Compat. 2006, 48, 449–459. [Google Scholar] [CrossRef]
- Orlandi, A.; Duffy, A.P.; Archambeault, B.; Antonini, G.; Coleby, D.E.; Connor, S. Feature Selective Validation (FSV) for validation of computational electromagnetics (CEM). Part II—Assessment of FSV performance. IEEE Trans. Electromagn. Compat. 2006, 48, 460–467. [Google Scholar] [CrossRef]

















| Parameter | Description | x (mm) | y (mm) |
|---|---|---|---|
| P | Input Port | 30 | 110 |
| C1 | Decoupling capacitance | 10 | 160 |
| C2 | Decoupling capacitance | 90 | 160 |
| C3 | Decoupling capacitance | 90 | 80 |
| Solver | Capacitance (nF) |
|---|---|
| EZpp | 10.86 |
| DF PI | 10.75 |
| Theory (Equation (1)) | 10.78 |
| maxgen | C1,opt (nF) | C2,opt (nF) | C3,opt (nF) | N1 | N2/107 | fcost |
|---|---|---|---|---|---|---|
| 10 | 251.2 | 79.7 | 199.0 | 175 | 196 | 371 |
| 100 | 237.3 | 126.0 | 170.8 | 172 | 196 | 368 |
| maxgen | C1,opt (nF) | C2,opt (nF) | C3,opt (nF) | N1 | N2/107 | fcost |
|---|---|---|---|---|---|---|
| 10 | 119.2 | 138.8 | 265.5 | 250 | 668 | 918 |
| 100 | 169.7 | 258.2 | 101.2 | 249 | 667 | 916 |
| Solver | fmax | maxgen | Ndec,C1 | Ndec,C2 | Ndec,C3 | N1 | N2/107 | fcost |
|---|---|---|---|---|---|---|---|---|
| DF PI | 1 GHz | 10 | 5 | 4 | 5 | 137 | 292 | 429 |
| 100 | 5 | 5 | 5 | 135 | 292 | 427 | ||
| 10 MHz | 10 | 5 | 4 | 5 | 57 | 11.5 | 68.5 | |
| 100 | 5 | 5 | 5 | 56 | 11.3 | 67.3 | ||
| EZpp | 1 GHz | 10 | 5 | 5 | 5 | 142 | 188 | 330 |
| 100 | 5 | 5 | 5 | 139 | 187 | 326 | ||
| 10 MHz | 10 | 5 | 5 | 5 | 57 | 2 | 59 | |
| 100 | 5 | 5 | 5 | 56 | 2 | 58 |
© 2019 by the authors. Licensee MDPI, Basel, Switzerland. This article is an open access article distributed under the terms and conditions of the Creative Commons Attribution (CC BY) license (http://creativecommons.org/licenses/by/4.0/).
Share and Cite
Piersanti, S.; Cecchetti, R.; Olivieri, C.; de Paulis, F.; Orlandi, A.; Buecker, M. Decoupling Capacitors Placement at Board Level Adopting a Nature-Inspired Algorithm. Electronics 2019, 8, 737. https://doi.org/10.3390/electronics8070737
Piersanti S, Cecchetti R, Olivieri C, de Paulis F, Orlandi A, Buecker M. Decoupling Capacitors Placement at Board Level Adopting a Nature-Inspired Algorithm. Electronics. 2019; 8(7):737. https://doi.org/10.3390/electronics8070737
Chicago/Turabian StylePiersanti, Stefano, Riccardo Cecchetti, Carlo Olivieri, Francesco de Paulis, Antonio Orlandi, and Markus Buecker. 2019. "Decoupling Capacitors Placement at Board Level Adopting a Nature-Inspired Algorithm" Electronics 8, no. 7: 737. https://doi.org/10.3390/electronics8070737
APA StylePiersanti, S., Cecchetti, R., Olivieri, C., de Paulis, F., Orlandi, A., & Buecker, M. (2019). Decoupling Capacitors Placement at Board Level Adopting a Nature-Inspired Algorithm. Electronics, 8(7), 737. https://doi.org/10.3390/electronics8070737

