Nested Kriging with Variable Domain Thickness for Rapid Surrogate Modeling and Design Optimization of Antennas
Abstract
1. Introduction
2. Surrogate Modeling by Nested Kriging
2.1. First-Level Surrogate
2.2. Domain Definition
3. Variable-Thickness Domain
3.1. Domain Thickness: Model Accuracy vs. Utility Trade-Offs
3.2. Variable-Thickness Domain
3.3. Nested Kriging with Variable-Thickness Domain
4. Numerical Results
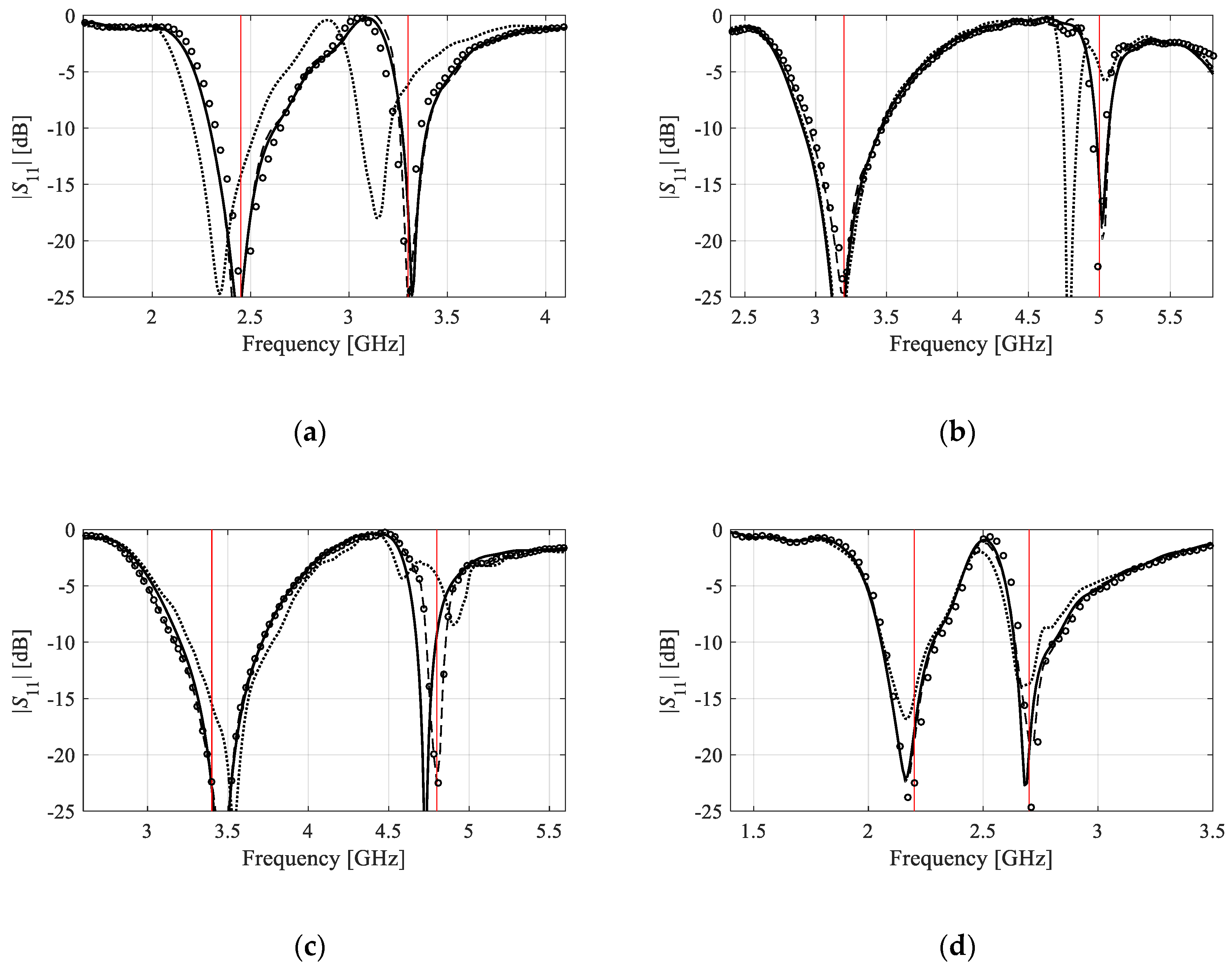
4.1. Case I: Dual-Band Microstrip Dipole Antenna
4.2. Case II: Broadband Patch Antenna
5. Conclusions
Author Contributions
Funding
Acknowledgments
Conflicts of Interest
References
- Guo, D.; He, K.; Zhang, Y.; Song, M. A Multiband Dual-Polarized Omnidirectional Antenna for Indoor Wireless Communication Systems. IEEE Antennas Wirel. Propag. Lett. 2016, 16, 290–293. [Google Scholar] [CrossRef]
- Zeng, J.; Luk, K.M. Single-Layered Broadband Magnetoelectric Dipole Antenna for New 5G Application. IEEE Antennas Wirel. Propag. Lett. 2019, 18, 911–915. [Google Scholar] [CrossRef]
- Nie, Z.; Zhai, H.; Liu, L.; Li, J.; Hu, D.; Shi, J. A Dual-Polarized Frequency-Reconfigurable Low-Profile Antenna with Harmonic Suppression for 5G Application. IEEE Antennas Wirel. Propag. Lett. 2019, 18, 1228–1232. [Google Scholar] [CrossRef]
- Mener, S.; Gillard, R.; Roy, L. A Dual-Band Dual-Circular-Polarization Antenna for Ka-Band Satellite Communications. IEEE Antennas Wirel. Propag. Lett. 2017, 16, 274–277. [Google Scholar] [CrossRef]
- Felício, J.M.; Bioucas-Dias, J.M.; Costa, J.R.; Fernandes, C.A. Antenna Design and Near-Field Characterization for Medical Microwave Imaging Applications. IEEE Trans. Antennas Propag. 2019, 67, 4811–4824. [Google Scholar] [CrossRef]
- Jha, K.R.; Bukhari, B.; Singh, C.; Mishra, G.; Sharma, S.K. Compact Planar Multistandard MIMO Antenna for IoT Applications. IEEE Trans. Antennas Propag. 2018, 66, 3327–3336. [Google Scholar] [CrossRef]
- Qian, J.-F.; Chen, F.-C.; Xiang, K.-R.; Chu, Q.-X. Resonator-Loaded Multi-Band Microstrip Slot Antennas with Bidirectional Radiation Patterns. IEEE Trans. Antennas Propag. 2019, 67, 6661–6666. [Google Scholar] [CrossRef]
- Ullah, U.; Koziel, S. A Broadband Circularly Polarized Wide-Slot Antenna with a Miniaturized Footprint. IEEE Antennas Wirel. Propag. Lett. 2018, 17, 2454–2458. [Google Scholar] [CrossRef]
- Xu, Y.; Wang, J.; Ge, L.; Wang, X.; Wu, W. Design of a Notched-Band Vivaldi Antenna with High Selectivity. IEEE Antennas Wirel. Propag. Lett. 2018, 17, 62–65. [Google Scholar] [CrossRef]
- Zhao, A.; Ren, Z. Size Reduction of Self-Isolated MIMO Antenna System for 5G Mobile Phone Applications. IEEE Antennas Wirel. Propag. Lett. 2018, 18, 152–156. [Google Scholar] [CrossRef]
- Dong, Y.; Choi, J.; Itoh, T. Vivaldi Antenna with Pattern Diversity for 0.7 to 2.7 GHz Cellular Band Applications. IEEE Antennas Wirel. Propag. Lett. 2018, 17, 247–250. [Google Scholar] [CrossRef]
- Yan, S.; Soh, P.J.; VandenBosch, G.A.E. Wearable Dual-Band Magneto-Electric Dipole Antenna for WBAN/WLAN Applications. IEEE Trans. Antennas Propag. 2015, 63, 1. [Google Scholar] [CrossRef]
- Wang, J.; Leach, M.; Lim, E.G.; Wang, Z.; Pei, R.; Huang, Y. An Implantable and Conformal Antenna for Wireless Capsule Endoscopy. IEEE Antennas Wirel. Propag. Lett. 2018, 17, 1153–1157. [Google Scholar] [CrossRef]
- Fakih, M.A.; Diallo, A.; Le Thuc, P.; Staraj, R.; Mourad, O.; Rachid, E.A. Optimization of Efficient Dual Band PIFA System for MIMO Half-Duplex 4G/LTE and Full-Duplex 5G Communications. IEEE Access 2019, 7, 128881–128895. [Google Scholar] [CrossRef]
- Hassan, E.; Noreland, D.; Augustine, R.; Wadbro, E.; Berggren, M. Topology Optimization of Planar Antennas for Wideband Near-Field Coupling. IEEE Trans. Antennas Propag. 2015, 63, 4208–4213. [Google Scholar] [CrossRef]
- Tsukamoto, K.; Arai, H. Optimization of smooth walled horn antenna using multilevel fast multipole method. In Proceedings of the 2016 International Symposium on Antennas and Propagation (ISAP), Okinawa, Japan, 24–28 October 2016. [Google Scholar]
- Lalbakhsh, A.; Afzal, M.U.; Esselle, K.P. Multi-objective Particle Swarm Optimization to Design a Time Delay Equalizer Metasurface for an Electromagnetic Band Gap Resonator Antenna. IEEE Antennas Wirel. Propag. Lett. 2016, 16, 1. [Google Scholar] [CrossRef]
- Wang, J.; Yang, X.S.; Wang, B.Z. Efficient gradient-based optimization of pixel antenna with large-scale connections. IET Microw. Ant. Prop. 2018, 12, 385–389. [Google Scholar] [CrossRef]
- Koziel, S.; Ogurtsov, S.; Cheng, Q.S.; Bandler, J.W. Rapid EM-based microwave design optimization exploiting shape-preserving response prediction and adjoint sensitivities. IET Microw. Ant. Prop. 2014, 8, 775–781. [Google Scholar] [CrossRef]
- Koziel, S.; Pietrenko-Dabrowska, A. Reduced-cost electromagnetic-driven optimization of antenna structures by means of trust-region gradient-search with sparse Jacobian updates. IET Microw. Ant. Prop. 2019, 13, 1646–1652. [Google Scholar] [CrossRef]
- Koziel, S.; Pietrenko-Dabrowska, A. Variable-Fidelity Simulation Models and Sparse Gradient Updates for Cost-Efficient Optimization of Compact Antenna Input Characteristics. Sensors 2019, 19, 1806. [Google Scholar] [CrossRef]
- Easum, J.A.; Nagar, J.; Werner, P.L.; Werner, D.H. Efficient Multiobjective Antenna Optimization with Tolerance Analysis Through the Use of Surrogate Models. IEEE Trans. Antennas Propag. 2018, 66, 6706–6715. [Google Scholar] [CrossRef]
- Hassan, A.-K.S.; Etman, A.S.; Soliman, E.A. Optimization of a Novel Nano Antenna with Two Radiation Modes Using Kriging Surrogate Models. IEEE Photon- J. 2018, 10, 1–17. [Google Scholar] [CrossRef]
- Easum, J.A.; Nagar, J.; Werner, D.H. Multi-objective surrogate-assisted optimization applied to patch antenna design. In Proceedings of the 2017 IEEE International Symposium on Antennas and Propagation, San Diego, CA, USA, 9–14 July 2017; pp. 339–340. [Google Scholar]
- De Villiers, D.I.; Couckuyt, I.; Dhaene, T. Multi-objective optimization of reflector antennas using kriging and probability of improvement. In Proceedings of the 2017 IEEE International Symposium on Antennas and Propagation, San Diego, CA, USA, 9–14 July 2017; pp. 985–986. [Google Scholar]
- Dong, J.; Qin, W.; Wang, M. Fast Multi-Objective Optimization of Multi-Parameter Antenna Structures Based on Improved BPNN Surrogate Model. IEEE Access 2019, 7, 77692–77701. [Google Scholar] [CrossRef]
- Du, J.; Roblin, C. Stochastic surrogate models of deformable antennas based on vector spherical harmonics and polynomial chaos expensions: Application to textile antennas. IEEE Trans. Ant. Prop. 2018, 66, 3610–3622. [Google Scholar] [CrossRef]
- Rayas-Sanchez, J.E. Power in Simplicity with ASM: Tracing the Aggressive Space Mapping Algorithm Over Two Decades of Development and Engineering Applications. IEEE Microw. Mag. 2016, 17, 64–76. [Google Scholar] [CrossRef]
- Cervantes-González, J.C.; Rayas-Sánchez, J.E.; López, C.A.; Camacho-Pérez, J.R.; Brito, Z.B.; Chavez-Hurtado, J.L. Space mapping optimization of handset antennas considering EM effects of mobile phone components and human body. Int. J. RF Microw. Comput. Eng. 2015, 26, 121–128. [Google Scholar] [CrossRef]
- Koziel, S.; Unnsteinsson, S.D. Expedited Design Closure of Antennas by Means of Trust-Region-Based Adaptive Response Scaling. IEEE Antennas Wirel. Propag. Lett. 2018, 17, 1099–1103. [Google Scholar] [CrossRef]
- Koziel, S. Fast simulation-driven antenna design using response-feature surrogates. Int. J. RF Microw. Comput. Eng. 2014, 25, 394–402. [Google Scholar] [CrossRef]
- Koziel, S.; Ogurtsov, S. Antenna Design by Simulation-Driven Optimization. Surrogate-Based Approach; Springer: Berlin/Heidelberg, Germany, 2014. [Google Scholar]
- Alzahed, A.M.; Mikki, S.; Antar, Y.M.M. Nonlinear Mutual Coupling Compensation Operator Design Using a Novel Electromagnetic Machine Learning Paradigm. IEEE Antennas Wirel. Propag. Lett. 2019, 18, 861–865. [Google Scholar] [CrossRef]
- Tak, J.; Kantemur, A.; Sharma, Y.; Xin, H. A 3-D-Printed W-Band Slotted Waveguide Array Antenna Optimized Using Machine Learning. IEEE Antennas Wirel. Propag. Lett. 2018, 17, 2008–2012. [Google Scholar] [CrossRef]
- Torun, H.M.; Swaminathan, M. High-Dimensional Global Optimization Method for High-Frequency Electronic Design. IEEE Trans. Microw. Theory Tech. 2019, 67, 2128–2142. [Google Scholar] [CrossRef]
- Queipo, N.V.; Haftka, R.T.; Shyy, W.; Goel, T.; Vaidyanathan, R.; Tucker, P.K. Surrogate-based analysis and optimization. Prog. Aerosp. Sci. 2005, 41, 1–28. [Google Scholar] [CrossRef]
- Barmuta, P.; Ferranti, F.; Gibiino, G.P.; Lewandowski, A.; Schreurs, D.M.M.-P. Compact Behavioral Models of Nonlinear Active Devices Using Response Surface Methodology. IEEE Trans. Microw. Theory Tech. 2014, 63, 56–64. [Google Scholar] [CrossRef]
- Jacobs, J.P. Characterization by Gaussian processes of finite substrate size effects on gain patterns of microstrip antennas. IET Microw. Ant. Prop. 2016, 10, 1189–1195. [Google Scholar] [CrossRef]
- Petrocchi, A.; Kaintura, A.; Avolio, G.; Spina, D.; Dhaene, T.; Raffo, A.; Schreurs, D.M.M.-P. Measurement Uncertainty Propagation in Transistor Model Parameters via Polynomial Chaos Expansion. IEEE Microw. Wirel. Components Lett. 2017, 27, 572–574. [Google Scholar] [CrossRef]
- Gorissen, D.; Crombecq, K.; Couckuyt, I.; Dhaene, T.; Demeester, P. A surrogate modeling and adaptive sampling toolbox for computer based design. J. Mach. Learn. Res. 2010, 11, 2051–2055. [Google Scholar]
- Marelli, S.; Sudret, B. UQLab: A Framework for Uncertainty Quantification in Matlab. In Proceedings of the 2nd International Conference on Vulnerability, Risk Analysis and Management, Liverpool, UK, 13–16 July 2014. [Google Scholar]
- Rawat, A.; Yadav, R.; Shrivastava, S.C. Neural network applications in smart antenna arrays: A review. AEU Int. J. Electron. Commun. 2012, 66, 903–912. [Google Scholar] [CrossRef]
- Cai, J.; King, J.; Yu, C.; Liu, J.; Sun, L. Support Vector Regression-Based Behavioral Modeling Technique for RF Power Transistors. IEEE Microw. Wirel. Compon. Lett. 2018, 28, 428–430. [Google Scholar] [CrossRef]
- Yucel, A.C.; Bagci, H.; Michielssen, E. An ME-PC Enhanced HDMR Method for Efficient Statistical Analysis of Multiconductor Transmission Line Networks. IEEE Trans. Compon. Packag. Manuf. Technol. 2015, 5, 685–696. [Google Scholar] [CrossRef]
- Hu, R.; Monebhurrun, V.; Himeno, R.; Yokota, H.; Costen, F. An Adaptive Least Angle Regression Method for Uncertainty Quantification in FDTD Computation. IEEE Trans. Antennas Propag. 2018, 66, 7188–7197. [Google Scholar] [CrossRef]
- Jacobs, J.P.; Koziel, S. Two-Stage Framework for Efficient Gaussian Process Modeling of Antenna Input Characteristics. IEEE Trans. Antennas Propag. 2013, 62, 706–713. [Google Scholar] [CrossRef]
- Kennedy, M. Predicting the output from a complex computer code when fast approximations are available. Biometrika 2000, 87, 1–13. [Google Scholar] [CrossRef]
- Wang, F.; Cachecho, P.; Zhang, W.; Sun, S.; Li, X.; Kanj, R.; Gu, C. Bayesian Model Fusion: Large-Scale Performance Modeling of Analog and Mixed-Signal Circuits by Reusing Early-Stage Data. IEEE Trans. Comput. Des. Integr. Circuits Syst. 2015, 35, 1255–1268. [Google Scholar] [CrossRef]
- Koziel, S. Low-Cost Data-Driven Surrogate Modeling of Antenna Structures by Constrained Sampling. IEEE Antennas Wirel. Propag. Lett. 2016, 16, 461–464. [Google Scholar] [CrossRef]
- Koziel, S.; Sigurdsson, A.T. Triangulation-Based Constrained Surrogate Modeling of Antennas. IEEE Trans. Antennas Propag. 2018, 66, 4170–4179. [Google Scholar] [CrossRef]
- Koziel, S.; Pietrenko-Dabrowska, A. Performance-Based Nested Surrogate Modeling of Antenna Input Characteristics. IEEE Trans. Antennas Propag. 2019, 67, 2904–2912. [Google Scholar] [CrossRef]
- Forrester, A.I.; Keane, A. Recent advances in surrogate-based optimization. Prog. Aerosp. Sci. 2009, 45, 50–79. [Google Scholar] [CrossRef]
- Borouchaki, H.; George, P.L.; Lo, S.H. Optimal Delaunay point insertion. Int. J. Numer. Methods Eng. 1996, 39, 3407–3437. [Google Scholar] [CrossRef]
- Beachkofski, B.; Grandhi, R. Improved Distributed Hypercube Sampling; paper AIAA 2002-1274; American Institute of Aeronautics and Astronautics (AIAA): Reston, VA, USA, 2002. [Google Scholar]
- Qudrat-E-Maula, M.; Shafai, L. A dual band microstrip dipole antenna. In Proceedings of the 2014 16th International Symposium on Antenna Technology and Applied Electromagnetics (ANTEM), Victoria, BC, Canada, 13–16 July 2014. [Google Scholar]
- Wang, Y.; Lu, Y.; Lu, G.; Cao, W.; Kishk, A.A. Broadband Patch Antenna with Narrow Width Ground Plane. In Proceedings of the 2018 IEEE International Symposium on Antennas and Propagation, Boston, MA, USA, 8–13 July 2018. [Google Scholar]















| Number of Training Samples | Relative RMS Error | Number of Training Samples * | Relative RMS Error | ||||
|---|---|---|---|---|---|---|---|
| Conventional Models (Domain X) | (Original) Nested Kriging with Fixed Domain Thickness | Nested Kriging with Variable-Thickness Domain [this Work] | |||||
| Kriging | RBF | Tmax = 0.02 | Tmax = 0.05 | Tmax = 0.02 | Tmax = 0.05 | ||
| 50 | 55.6% | 58.1% | 14.5% | 18.9% | 15 | 25.7% | 31.2% |
| 100 | 46.7% | 46.9% | 11.2% | 13.5% | 19 | 18.3% | 22.5% |
| 200 | 41.9% | 44.1% | 6.9% | 7.8% | 55 | 8.9% | 12.1% |
| 400 | 36.9% | 41.2% | 6.1% | 6.6% | 108 | 5.9% | 6.9% |
| 800 | 35.5% | 37.5% | 4.1% | 4.9% | 208 | 5.0% | 6.7% |
| 1600 | 33.2% | 35.8% | 3.9% | 4.2% | 405 | 4.3% | 3.8% |
| Number of Training Samples | Relative RMS Error | Number of Training Samples * | Relative RMS Error | ||||
|---|---|---|---|---|---|---|---|
| Conventional Models (Domain X) | (Original) Nested Kriging with Fixed Domain Thickness | Nested Kriging with Variable-Thickness Domain [this Work] | |||||
| Kriging | RBF | Tmax = 0.025 | Tmax = 0.05 | Tmax = 0.025 | Tmax = 0.05 | ||
| 50 | 43.4% | 52.0% | 10.1% | 17.8% | 30 | 13.0% | 14.8% |
| 100 | 21.2% | 25.4% | 7.9% | 9.0% | 63 | 7.8% | 9.1% |
| 200 | 16.0% | 18.2% | 7.2% | 6.5% | 125 | 7.3% | 6.4% |
| 400 | 12.8% | 14.7% | 4.7% | 6.1% | 247 | 4.9% | 5.3% |
| 800 | 9.8% | 11.3% | 3.3% | 4.8% | 505 | 3.8% | 5.1% |
© 2020 by the authors. Licensee MDPI, Basel, Switzerland. This article is an open access article distributed under the terms and conditions of the Creative Commons Attribution (CC BY) license (http://creativecommons.org/licenses/by/4.0/).
Share and Cite
Pietrenko-Dabrowska, A.; Koziel, S. Nested Kriging with Variable Domain Thickness for Rapid Surrogate Modeling and Design Optimization of Antennas. Electronics 2020, 9, 1621. https://doi.org/10.3390/electronics9101621
Pietrenko-Dabrowska A, Koziel S. Nested Kriging with Variable Domain Thickness for Rapid Surrogate Modeling and Design Optimization of Antennas. Electronics. 2020; 9(10):1621. https://doi.org/10.3390/electronics9101621
Chicago/Turabian StylePietrenko-Dabrowska, Anna, and Slawomir Koziel. 2020. "Nested Kriging with Variable Domain Thickness for Rapid Surrogate Modeling and Design Optimization of Antennas" Electronics 9, no. 10: 1621. https://doi.org/10.3390/electronics9101621
APA StylePietrenko-Dabrowska, A., & Koziel, S. (2020). Nested Kriging with Variable Domain Thickness for Rapid Surrogate Modeling and Design Optimization of Antennas. Electronics, 9(10), 1621. https://doi.org/10.3390/electronics9101621
