Design of 300 GHz Combined Doubler/Subharmonic Mixer Based on Schottky Diodes with Integrated MMIC Based Local Oscillator
Abstract
1. Introduction
2. Design
2.1. Passive Circuit Design
2.2. Harmonic Balance
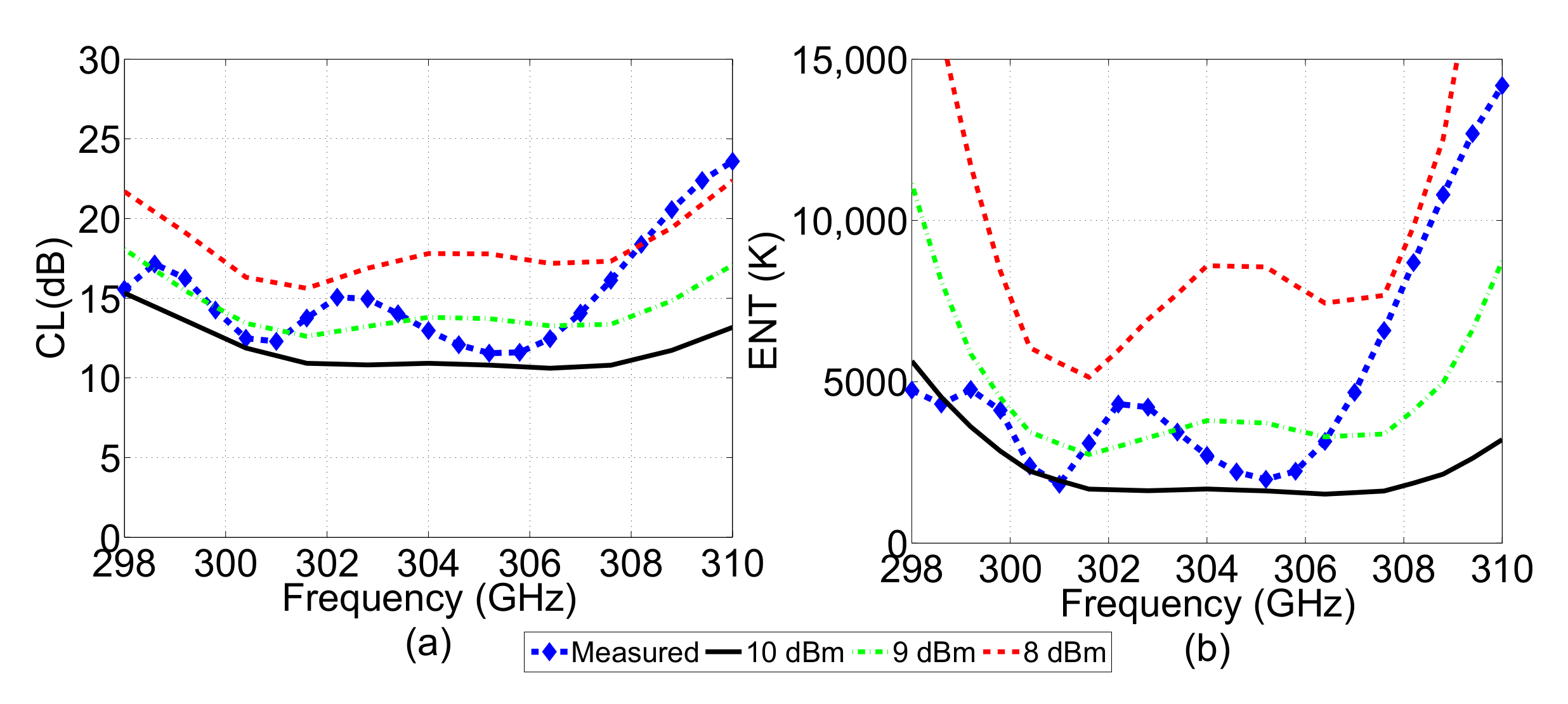
3. Manufacturing and Experimental Validation
4. Conclusions
Author Contributions
Funding
Conflicts of Interest
Abbreviations
| CL | Conversion Loss |
| COC | Cyclic Olefin Copolymer |
| COTS | Commercial Off-The-Shelf |
| DSB | Double Side Band |
| ENT | Equivalent Noise Temperature |
| IF | Intermediate Frequency |
| LO | Local Oscillator |
| MMIC | Monolithic microwave and integrated circuits |
| PLL | Phase-Locked Loop |
| UTC-PD | Unitravelling Carrier Photodiodes |
| VCO | Voltage Controlled Oscillator |
References
- Nagatsuma, T.; Ducournau, G.; Renaud, C.C. Advances in terahertz communications accelerated by photonics. Nat. Photonics 2016, 10, 371–379. [Google Scholar] [CrossRef]
- Nagatsuma, T. Generating Millimeter and Terahertz Waves. IEEE Microw. Mag. 2009, 10, 64–74. [Google Scholar] [CrossRef]
- Huggard, P.H.; Ellison, B.N.; Alderman, B.; Warner, J.E.J. 1.55 μm photomixer sources for mm-wave heterodyne detection and frequency conversion with Schottky diodes. In Proceedings of the Digest of the LEOS Summer Topical Meetings, San Diego, CA, USA, 25–27 July 2005; pp. 105–106. [Google Scholar] [CrossRef]
- Ali, M.; Pérez-Escudero, J.M.; Guzmán-Martínez, R.C.; Lo, M.-C.; Ederra, I.; Gonzalo, R.; García-Muñoz, L.E.; Santamaría, G.; Segovia-Vargas, D.; van Dijk, F.; et al. 300 GHz Optoelectronic Transmitter Combining Integrated Photonics and Electronic Multipliers for Wireless Communication. Photonics 2019, 6, 35. [Google Scholar] [CrossRef]
- Torres-García, A.E.; Pérez-Escudero, J.M.; Teniente, J.; Gonzalo, R.; Ederra, I. Silicon Integrated Subharmonic Mixer on a Photonic-Crystal Platform. IEEE Trans. Terahertz Sci. Technol. 2020. [Google Scholar] [CrossRef]
- Sobis, P. Advanced Schottky Diode Receiver Front-Ends for Terahertz Applications; Chalmers University of Technology: Gothenburg, Sweden, 2011. [Google Scholar]
- Zhang, Y.; Zhao, W.; Wang, Y.; Ren, T.; Chen, Y. A 220 GHz subharmonic mixer based on schottky diodes with an accurate terahertz diode model. Microw. Opt. Technol. Lett. 2016, 58, 2311–2316. [Google Scholar] [CrossRef]
- Wang, H. Conception et Modelisation de Circuits Monolithiques a Diode Schottky sur Substrat GaAs aux Longueurs d’onde Millimetriques et Submillimetriques pour les Recepteurs Heterdodynes Multi-Pixels Embarques sur Satellites et Dedies a L’Aeronomie ou la Planetologie. Ph.D. Thesis, Observatoire de Paris, Paris, France, 2009. [Google Scholar]
- Thomas, B.; Maestrini, A.; Beaudin, G. A low-noise fixed-tuned 300-360-GHz sub-harmonic mixer using planar Schottky diodes. IEEE Microw. Wireless Comp. Lett. 2005, 15, 865–867. [Google Scholar] [CrossRef]
- Maestrojuan, I.; Ederra, I.; Gonzalo, R. Fourth-Harmonic Schottky Diode Mixer Development at Sub-Millimeter Frequencies. IEEE Trans. Terahertz Sci. Technol. 2015, 5, 518–520. [Google Scholar] [CrossRef]
- Hasch, J.; Topak, E.; Schnabel, R.; Zwick, T.; Weigel, R.; Waldschmidt, C. Millimeter-Wave Technology for Automotive Radar Sensors in the 77 GHz Frequency Band. IEEE Trans. Microw. Theory Tech. 2012, 60, 845–860. [Google Scholar] [CrossRef]
- Yujiri, L.; Shoucri, M.; Moffa, P. Passive Millimeter-Wave Imaging. IEEE Microw. Mag. 2003, 4, 39–50. [Google Scholar] [CrossRef]
- Panzner, B. In-band wireless backhaul for 5G millimeter wave cellular communications-interactive live demo. In Proceedings of the IEEE Conference on Computer Communications Workshops Hong Kong, Hong Kong, China, 26 April–1 May 2015; pp. 21–22. [Google Scholar]
- Golcuk, F.; Kanar, T.; Rebeiz, G.M. A 90–100 GHz 4x4 SiGe BiCMOS Polarimetric Transmit/Receive Phased Array with Simultaneous Receive-Beams Capabilities. IEEE Trans. Microw. Theory Tech. 2013, 61, 3099–3114. [Google Scholar] [CrossRef]
- Folster, F.; Rohling, H.; Lubbert, U. An Automotive Radar Network Based on 77 GHz FMCW sensors. In Proceedings of the IEEE International Radar Conference, Arlington, VA, USA, 9–12 May 2005; pp. 871–876. [Google Scholar]
- Sheen, D.M.; McMakin, D.L.; Hall, T.E. Three-dimensional millimeter-wave imaging for concealed weapon detection. IEEE Trans. Microw. Theory Tech. 2001, 49, 1581–1592. [Google Scholar] [CrossRef]
- Torres-García, A.E.; Ederra, I.; Gonzalo, R. Implementation of a THz quasi-spiral antenna for THz-IR detector. In Proceedings of the 11th European Conference on Antennas and Propagation (EUCAP), Paris, France, 19–24 March 2017; pp. 2526–2529. [Google Scholar]
- Edholm’s Law of Bandwidth. Available online: http://spectrum.ieee.org/telecom/wireless/edholms-law-of-bandwidth (accessed on 9 May 2017).
- Federici, J.; Moeller, L. Review of terahertz and subterahertz wireless communications. J. Appl. Phys. 2010, 107, 13–26. [Google Scholar] [CrossRef]
- Thomas, B.; Alderman, B.; Matheson, D.; de Maagt, P. A Combined 380 GHz Mixer/Doubler Circuit Based on Planar Schottky Diodes. IEEE Microw. Wirel. Compon. Lett. 2008, 18, 353–355. [Google Scholar] [CrossRef]
- Treuttel, J.; Maestrini, A.; Alderman, B.; Wang, H.; de Maagt, P. Design of a combined tripler-subharmonic mixer at 330 GHz for multipixel application using European Schottky diodes. In Proceedings of the 21st International Symposium on Space Terahertz and Technology, Oxford, UK, 23–25 March 2010. [Google Scholar]
- Ederra, I.; Azcona, L.; Alderman, B.E.J.; Laisné, A.; Gonzalo, R.; Mann, C.M.; Matheson, D.N.; de Maagt, P. A 250 GHz Sub-Harmonic Mixer Design Using EBG Technology. IEEE Trans. Antennas Propag. 2007, 55, 2974–2982. [Google Scholar] [CrossRef]
- Khromova, I.; Gonzalo, R.; Ederra, I.; Delhote, N.; Baillargeat, D.; Murk, A.; Alderman, B.; de Maagt, P. Subharmonic Mixer Based on EBG Technology. IEEE Trans. Terahertz Sci. Technol. 2013, 3, 838–845. [Google Scholar] [CrossRef]
- Reck, T.; Jung-Kubiak, C.; Siles, J.V.; Lee, C.; Lin, R.; Chattopadhyay, G.; Mehdi, I.; Cooper, K. A Silicon Micromachined Eight-Pixel Transceiver Array for Submillimeter-Wave Radar. IEEE Trans. Terahertz Sci. Technol. 2015, 5, 197–206. [Google Scholar] [CrossRef]
- Thomas, B.; Lee, C.; Peralta, A.; Gill, J.; Chattopadhyay, G.; Sin, S.; Lin, R.; Mehdi, I. A 530–600 GHz Silicon Micro-machined Integrated Receiver Using GaAs MMIC Membrane Planar Schottky Diodes. In Proceedings of the 21st International Symposium on Space Terahertz Technology, Oxford, UK, 23–25 March 2010. [Google Scholar]
- Maestrini, A.; Thomas, B.; Wang, H.; Jung, C.; Treuttel, J.; Jin, Y.; Chattopadhyay, G.; Mehdi, I.; Beaudin, G. Schottky diode-based terahertz frequency multipliers and mixers. C. R. Phys. 2010, 11, 480–495. [Google Scholar] [CrossRef]
- Wang, H.; Maestrini, A.; Thomas, B.; Alderman, B.; Beaudin, G. Development of a Two-Pixel Integrated Heterodyne Schottky Diode Receiver at 183 GHz. In Proceedings of the 9th International Symposium on Space Terahertz Technology, Groningen, The Netherlands, 28–30 April 2008. [Google Scholar]
- Automotive. Available online: https://www.qorvo.com/applications/automotive (accessed on 4 August 2017).
- Maestrojuan, I.; Palacios, I.; Ederra, I.; Gonzalo, R. Use of COC substrates for millimeter-wave devices. Microw. Opt. Technol. Lett. 2014, 57, 371–377. [Google Scholar] [CrossRef]
- Rebollo, A. Development of an Auto-Calibrated Receiver in Planar Technology at Millimetre-Wave Frequencies. Ph.D. Thesis, Universidad Pública de Navarra, Pamplona, Spain, 2015. [Google Scholar]
- Sengupta, A.; Bandyopadhyay, A.; Bowden, B.F.; Harrington, J.A.; Federici, J.F. Characterisation of olefin copolymers using tera-hertz spectroscopy. Electron. Lett. 2006, 42, 1477–1479. [Google Scholar] [CrossRef]
- Chen, Z.; Wang, H.; Alderman, B.; Huggard, P.; Zhang, B.; Fan, Y. 190 GHz high power input frequency doubler based on Schottky diodes and AlN substrate. IEICE Electron. Express 2016. [Google Scholar] [CrossRef]
- Zhao, C. Modelling and Characterisation of a Broadband 85/170 GHz Schottky Varactor Frequency Doubler. Ph.D. Thesis, Chalmers University of Technology, Gothenburg, Sweden, 2011. [Google Scholar]
- Mehdi, I.; Marazita, S.M. Improved 240-GHz subharmonically pumped planar Schottky diode mixers for space-borne applications. IEEE Trans. Microw. Theory Tech. 1998, 46, 2036–2042. [Google Scholar] [CrossRef]
- Thomas, B.; Rea, S.; Moyna, B.; Alderman, B.; Matheson, D. A 320–360 GHz Subharmonically Pumped Image Rejection Mixer Using Planar Schottky Diodes. IEEE Microw. Wirel. Compon. Lett. 2009, 19, 101–103. [Google Scholar] [CrossRef]
- Hesler, J.L. Planar Schottky Diodes in Submillimeter-Wavelength Waveguide Receivers. Faculty of the School of Engineering and Applied Science of the University of Virginia. Ph.D. Thesis, University of Virginia, Charlottesville, VA, USA, 1996. [Google Scholar]
- Technologies. Available online: https://www.ums-gaas.com/foundry/technologies/ (accessed on 21 October 2016).
- GAMP0100.0600SM10. Available online: http://www.myneotech.com/products/gamp0100-0600sm10/ (accessed on 10 March 2018).
- Vizard, D.R.; Foster, P.R.; Lunn, B.; Cherry, S.M. Full coverage millimetre wave primary noise standards for 18–170 GHz. In Proceedings of the 2008 IEEE MTT-S International Microwave Symposium Digest, Atlanta, GA, USA, 15–20 June 2008; pp. 1537–1540. [Google Scholar]
- Maestrojuan, I.; Rea, S.; Ederra, I.; Gonzalo, R. Experimental analysis of different measurement techniques for characterization of millimeter-wave mixers. Microw. Opt. Tech. Lett. 2014, 56, 1441–1447. [Google Scholar] [CrossRef]
- Treuttel, J.; Thomas, B.; Maestrini, A.; Wang, H.; Alderman, B.; Siles, J.V.; Davis, S.; Narhi, T. A 380 GHz sub-harmonic mixer using MMIC foundry based Schottky diodes transferred onto quartz substrate. In Proceedings of the 20th International Symposium on Space Terahertz Technology, Charlottesville, VA, USA, 20–22 April 2009. [Google Scholar]
- Guo, C.; Shang, X.; Lancaster, M.J.; Xu, J.; Huggard, P.G. A 290–310 GHz Single Sideband Mixer with Integrated Waveguide Filters. IEEE Trans. Terahertz Sci. Technol. 2018, 8, 446–454. [Google Scholar] [CrossRef]
- Sobis, P.J.; Emrich, A.; Stake, J. A Low VSWR 2SB Schottky Receiver. IEEE Trans. Terahertz Sci. Technol. 2011, 1, 403–411. [Google Scholar] [CrossRef]









| Variable | Description | Dimensions (μm) | Variable | Description | Dimensions (μm) |
|---|---|---|---|---|---|
| Stub length | 750 | Step narrow width | 30 | ||
| Stub wide | 100 | Step length 1 | 250 | ||
| Stub thick | 20 | Step length 2 | 280 | ||
| Microstrip width | 150 | Step length 3 | 300 | ||
| DC-Block width | 30 | DC-Block width | 30 | ||
| DC-Block taper width | 300 | DC-Block taper width | 220 | ||
| DC-Block taper length | 500 | DC-Block taper length | 500 | ||
| DC-Block length | 650 | DC-Block length | 290 | ||
| Step wide width | 300 |
| Variable | Description | Dimension (μm) |
|---|---|---|
| Microstrip width | 50 | |
| Stub width | 150 | |
| Hammerhead length | 500 | |
| Hammerhead separation | 820 | |
| Microstrip length | 410 | |
| Step length 1 | 150 | |
| Step length 2 | 170 | |
| Step length 3 | 190 | |
| Step wide width | 250 | |
| Step narrow width | 30 | |
| Patch width | 220 | |
| Patch length | 70 | |
| Microstrip width | 140 | |
| waveguide match width | 370 | |
| Waveguide WR3.4 width | 430 |
| Ref | Frequency (GHz) | Mean CL (dB) | Mean ENT (K) | Best CL (dB) | Best ENT (K) |
|---|---|---|---|---|---|
| [9] | 300–360 | 6.5 | 1270 | 5.7 | 1050 |
| [20] | 365–395 | 10 | 2500 | 7.5 | 1625 |
| [35] | 320–360 | 10 | N.A | 9 | 3300 |
| [41] | 360–395 | N.A. | N.A. | 10.9 | 3667 |
| [42] | 290–310 | 9.5 | 2300 | 9 | 2000 |
| [43] | 320–360 | 9 | 3000 | 6 | 1600 |
| This Work | 298–310 | 14.13 | 4876 | 11 | 1976 |
Publisher’s Note: MDPI stays neutral with regard to jurisdictional claims in published maps and institutional affiliations. |
© 2020 by the authors. Licensee MDPI, Basel, Switzerland. This article is an open access article distributed under the terms and conditions of the Creative Commons Attribution (CC BY) license (http://creativecommons.org/licenses/by/4.0/).
Share and Cite
Pérez-Escudero, J.M.; Quemada, C.; Gonzalo, R.; Ederra, I. Design of 300 GHz Combined Doubler/Subharmonic Mixer Based on Schottky Diodes with Integrated MMIC Based Local Oscillator. Electronics 2020, 9, 2112. https://doi.org/10.3390/electronics9122112
Pérez-Escudero JM, Quemada C, Gonzalo R, Ederra I. Design of 300 GHz Combined Doubler/Subharmonic Mixer Based on Schottky Diodes with Integrated MMIC Based Local Oscillator. Electronics. 2020; 9(12):2112. https://doi.org/10.3390/electronics9122112
Chicago/Turabian StylePérez-Escudero, José M., Carlos Quemada, Ramón Gonzalo, and Iñigo Ederra. 2020. "Design of 300 GHz Combined Doubler/Subharmonic Mixer Based on Schottky Diodes with Integrated MMIC Based Local Oscillator" Electronics 9, no. 12: 2112. https://doi.org/10.3390/electronics9122112
APA StylePérez-Escudero, J. M., Quemada, C., Gonzalo, R., & Ederra, I. (2020). Design of 300 GHz Combined Doubler/Subharmonic Mixer Based on Schottky Diodes with Integrated MMIC Based Local Oscillator. Electronics, 9(12), 2112. https://doi.org/10.3390/electronics9122112

