A Tunable Planar Balun with an Isolation Circuit Using Varactors Loaded Coupled Lines
Abstract
:1. Introduction
2. Theoretical Analysis
2.1. Design Equations for the Balun
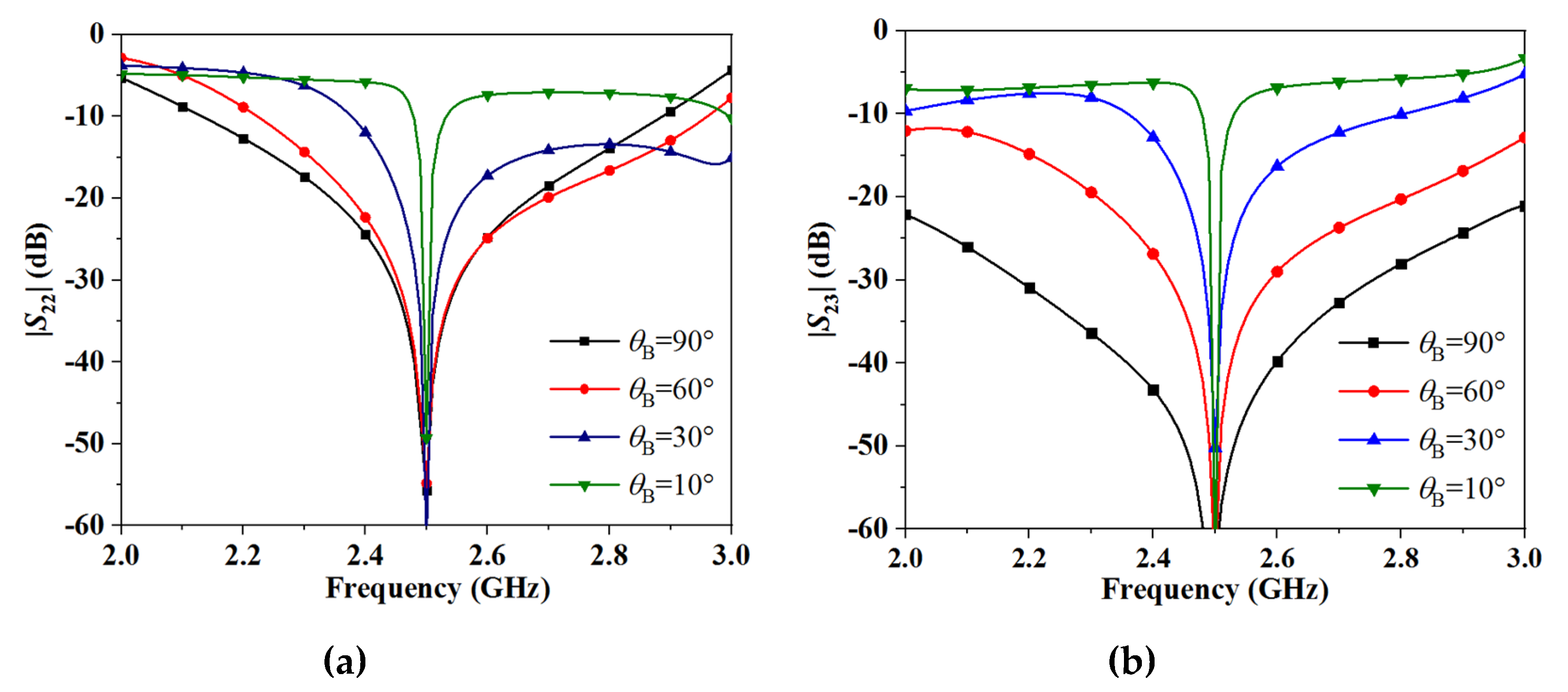
2.2. Isolation Circuit for the Balun
2.3. Design Procedure
- Determine the maximum tuning frequency f1 as needed, and (θ′0)max is predefined as π/6 at the maximum tuning frequency f1.
- The value of θ′0 can be calculated by Equation (16), and the values of Z′0e and Z′0o can be assigned freely according to fabrication limitation of a real coupled line.
- C1, C2 and C3 can be computed from Equations (13)–(15) under the required operating frequency f0 with known θ′0, Z′0e, and Z′0o.
- The values of Z1e, Z1o, θ1, θ2, and L can be assigned according to the tuning range of the electrical length from Reference [26].
- With the obtained parameters, the circuit can be optimized using the Advanced Design System (ADS).
3. Experimental Results
3.1. Simulation Results
3.2. Measurement Results
4. Discussion
5. Conclusions
Author Contributions
Funding
Conflicts of Interest
Appendix A



References
- Ang, K.S.; Robertson, I.D. Analysis and design of impedance-transforming planar Marchand baluns. IEEE Trans. Microw. Theory Technol. 2001, 49, 402–406. [Google Scholar]
- Zhang, W.; Wu, Y.; Liu, Y.; Yu, C.; Chen, W. Compact coupled-line balun with complex impedances transformation and high isolation. IET Microw. Antennas Propag. 2015, 9, 1587–1594. [Google Scholar] [CrossRef]
- Ye, Y.; Yu, B.; Tang, A.; Drouin, B.; Gu, Q.J. A high efficiency e-band CMOS frequency doubler with a compensated transformer-based balun for matching enhancement. IEEE Microw. Wirel. Compon. Lett. 2016, 26, 40–42. [Google Scholar] [CrossRef]
- Jeong, J.; Yom, I.; Yeom, K. An active IF balun for a doubly balanced resistive mixer. IEEE Microw. Wirel. Compon. Lett. 2009, 19, 224–226. [Google Scholar] [CrossRef]
- Smith, R.M.; Lees, J.; Tasker, P.J.; Benedikt, J.; Cripps, S.C. A novel formulation for high efficiency modes in push-pull power amplifiers using transmission line baluns. IEEE Microw. Wirel. Compon. Lett. 2012, 22, 257–259. [Google Scholar] [CrossRef]
- Deng, C.; Li, Y.; Zhang, Z.; Feng, Z. A wideband high-isolated dual-polarized patch antenna using two different balun feedings. IEEE Antennas Wirel. Propag. Lett. 2014, 13, 1617–1619. [Google Scholar] [CrossRef]
- Cho, C.; Gupta, K.C. A new design procedure for single-layer and two-layer three-line baluns. IEEE Trans. Microw. Theory Technol. 1998, 46, 2514–2519. [Google Scholar]
- Wang, J.; Huang, F.; Zhu, L.; Cai, C.; Wu, W. Study of a new planar-type balun topology for application in the design of balun bandpass filters. IEEE Trans. Microw. Theory Technol. 2016, 64, 2824–2832. [Google Scholar] [CrossRef]
- Zhang, Z.; Wu, K. A broadband substrate integrated waveguide (SIW) planar balun. IEEE Microw. Wirel. Compon. Lett. 2007, 17, 843–845. [Google Scholar] [CrossRef]
- Lin, K.; Lin, Y. A simple printed compensated balun for enhanced ultra-wideband performances. IEEE Microw. Wirel. Compon. Lett. 2014, 24, 5–7. [Google Scholar] [CrossRef]
- Lu, J.; Lin, C.; Chang, C. Exact synthesis and implementation of new high-order wideband Marchand baluns. IEEE Trans. Microw. Theory Technol. 2011, 59, 80–86. [Google Scholar] [CrossRef]
- Fathelbab, W.M.; Steer, M.B. New classes of miniaturized planar Marchand baluns. IEEE Trans. Microw. Theory Technol. 2005, 53, 1211–1220. [Google Scholar] [CrossRef]
- Shie, C.; Pan, Y.; Chin, K.; Chiang, Y. A miniaturized microstrip balun constructed with two λ/8 coupled lines and a redundant line. IEEE Microw. Wirel. Compon. Lett. 2010, 20, 663–665. [Google Scholar] [CrossRef]
- Ahn, H.; Itoh, T. New isolation circuits of compact impedance-transforming 3-dB baluns for theoretically perfect isolation and matching. IEEE Trans. Microw. Theory Technol. 2010, 58, 3892–3902. [Google Scholar] [CrossRef]
- Ahn, H.; Nam, S. New design formulas for Impedance-transforming 3-dB Marchand baluns. IEEE Trans. Microw. Theory Technol. 2011, 59, 2816–2823. [Google Scholar] [CrossRef]
- Shie, C.I.; Cheng, J.C.; Chou, S.C.; Chiang, Y.C. Design of a new type planar balun by using trans-directional couplers. IEEE Trans. Microw. Theory Technol. 2012, 60, 471–476. [Google Scholar] [CrossRef]
- Tang, W.; Ryu, J.H.; Kim, H. Compact, tunable Wilkinson power divider using tunable synthetic transmission line. Microw. Opt. Technol. Lett. 2010, 52, 1434–1436. [Google Scholar] [CrossRef]
- Shen, X.; Liu, Y.; Zhou, S.; Wu, Y. A novel compact tunable coupled-line power divider using varactors. In Proceedings of the Asia-Pacific Microwave Conference, Nanjing, China, 6–9 December 2015. [Google Scholar]
- Ferrero, F.; Luxey, C.; Staraj, R.; Jacquemod, G.; Fusco, V.F. Compact quasi-lumped hybrid coupler tunable over large frequency band. Electron. Lett. 2007, 43, 1030–1031. [Google Scholar] [CrossRef]
- Liu, H.; Fang, S.; Wang, Z. A compact trans-directional coupler with wide frequency tuning range and superior performance. IEEE Trans. Compon. Packag. Manuf. Technol. 2017, 7, 1670–1677. [Google Scholar] [CrossRef]
- Miao, X.; Zhang, W.; Geng, Y.; Chen, X.; Ma, R.; Gao, J. Design of compact frequency-tuned microstrip balun. IEEE Antennas Wirel. Propag. Lett. 2010, 9, 686–688. [Google Scholar] [CrossRef]
- Zhou, L.H.; Tang, H.; Chen, J.X.; Bao, Z.H. Tunable filtering balun with enhanced stopband rejection. Electron. Lett. 2012, 48, 845–847. [Google Scholar] [CrossRef]
- Yao, L.; Wu, Y.; Li, M.; Wang, W.; Liu, Y. Bandwidth-tunable filtering balun based on compact 3D configuration. Electron. Lett. 2019, 55, 32–34. [Google Scholar] [CrossRef]
- Hickle, M.D.; Peroulis, D. A widely-tunable substrate-integrated balun filter. In Proceedings of the 2017 IEEE MTT-S International Microwave Symposium, Honololu, HI, USA, 7–9 December 2017. [Google Scholar]
- Pozar, D.M. Microwave Engineering, 2rd ed.; John Wiley & Sons, Inc.: Hoboken, NJ, USA, 1998. [Google Scholar]
- An, B.; Chaudhary, G.; Jeong, Y. Wideband tunable phase shifter with low in-band phase deviation using coupled line. IEEE Microw. Wirel. Compon. Lett. 2018, 28, 678–680. [Google Scholar] [CrossRef]
- Data Sheet-SMV1763 Series Hyperabrupt Junction Tuning Varactors. Available online: https://www.semiee.com/file/EOL/Skyworks%20Solutions-SMV1763.pdf (accessed on 27 February 2020).
- Data Sheet-SMV2020 Series Hyperabrupt Junction Tuning Varactors. Available online: https://www.skyworksinc.com/en/Products/Diodes/SMV2020-079LF (accessed on 27 February 2020).
- Data Sheet-SMV1265 Series Hyperabrupt Junction Tuning Varactors. Available online: https://www.cdiweb.com/datasheets/skyworks/200063d.pdf (accessed on 27 February 2020).
- Abbosh, A.M. Analytical closed-form solutions for different configurations of parallel-coupled microstrip lines. IET Microw. Antennas Propag. 2009, 3, 137–147. [Google Scholar] [CrossRef]














| f0 (GHz) | C1 (pF) | C2 (pF) | C3 (pF) | C4 (pF) | C5 (pF) |
|---|---|---|---|---|---|
| 1.0 | 10.88 | 6.53 | 3.62 | 13.83 | 4.5 |
| 1.3 | 5.68 | 4.79 | 1.94 | 3.9 | 2.23 |
| 1.7 | 3.18 | 2.87 | 0.86 | 1.48 | 1.05 |
| 2.0 | 2.42 | 1.99 | 0.45 | 0.8 | 0.63 |
| w1 | l1 | s1 | w2 | l2 | w3 | l3 | s3 |
| 0.88 mm | 6.28 mm | 1.3 mm | 3.34 mm | 17 mm | 1.7 mm | 34.1 mm | 0.2 mm |
| w4 | l4 | w5 | Cbias | Rbias | Cblock | L | R0 |
| 1.9 mm | 30.1 mm | 5.3 mm | 1 μF | 10 kΩ | 47 nF | 2.2 nH | 50 Ω |
| f0 (GHz) | V1bias (V) | V2bias (V) | V3bias (V) | V4bias (V) | V5bias (V) |
|---|---|---|---|---|---|
| 1.0 | 0.43 | 0.73 | 0.80 | 1.48 | 0.20 |
| 1.3 | 1.45 | 1.90 | 2.80 | 5.27 | 1.97 |
| 1.7 | 2.67 | 3.22 | 9.94 | 9.28 | 6.29 |
| 2.0 | 3.76 | 4.71 | 23.0 | 28.0 | 13.8 |
| f0 (GHz) | |S11| < −10 dB (%) | AP < 1.5 dB(%) | PD = 180° ± 4°(%) |
|---|---|---|---|
| 1.0 | 20.0 | 32.0 | 35.0 |
| 1.3 | 21.5 | 33.9 | 37.8 |
| 1.7 | 35.9 | 33.7 | 37.7 |
| 2.0 | 37.2 | 38.8 | 42.0 |
| Reference | Impedance Match 1 | RL 1 (dB) | Insertion Loss 1 (dB) | AP 1 (dB) | PD 2 (°) | IsC | Tunability (%) |
|---|---|---|---|---|---|---|---|
| [21] | Non-perfect | > 18 | * | < 0.8 | 180 ± 7 | No | 48.8 |
| [22] | Non-perfect | > 15 | < 6.1 | < 0.5 | 180 ± 5 | No | 50.6 |
| [23] | Non-perfect | > 10 | < 5.6 | * | 180 ± 20 | No | 34.3 |
| [24] | * | > 20 | * | < 0.2 | 180 ± 0.9 | No | 62.4 |
| This work | Perfect | > 21 | < 4.7 | < 0.43 | 180 ± 1.8 | Yes | 66.7 |
© 2020 by the authors. Licensee MDPI, Basel, Switzerland. This article is an open access article distributed under the terms and conditions of the Creative Commons Attribution (CC BY) license (http://creativecommons.org/licenses/by/4.0/).
Share and Cite
Fang, S.; Guo, X.; Liu, H.; Wang, Z. A Tunable Planar Balun with an Isolation Circuit Using Varactors Loaded Coupled Lines. Electronics 2020, 9, 401. https://doi.org/10.3390/electronics9030401
Fang S, Guo X, Liu H, Wang Z. A Tunable Planar Balun with an Isolation Circuit Using Varactors Loaded Coupled Lines. Electronics. 2020; 9(3):401. https://doi.org/10.3390/electronics9030401
Chicago/Turabian StyleFang, Shaojun, Xiaojian Guo, Hongmei Liu, and Zhongbao Wang. 2020. "A Tunable Planar Balun with an Isolation Circuit Using Varactors Loaded Coupled Lines" Electronics 9, no. 3: 401. https://doi.org/10.3390/electronics9030401
APA StyleFang, S., Guo, X., Liu, H., & Wang, Z. (2020). A Tunable Planar Balun with an Isolation Circuit Using Varactors Loaded Coupled Lines. Electronics, 9(3), 401. https://doi.org/10.3390/electronics9030401

