Unlimited Power Division Ratio of Microstrip Balanced-to-Unbalanced Gysel-Type Arbitrary Power Divider
Abstract
1. Introduction
2. Circuit Structure and Design Theory
2.1. Analysis of Impedance Matching and Isolation Conditions
2.2. Analysis of Power Transmission from Input Port to Output Ports
2.3. S-Parameter Analysis
3. Parameter Analysis
4. Implementation and Performance
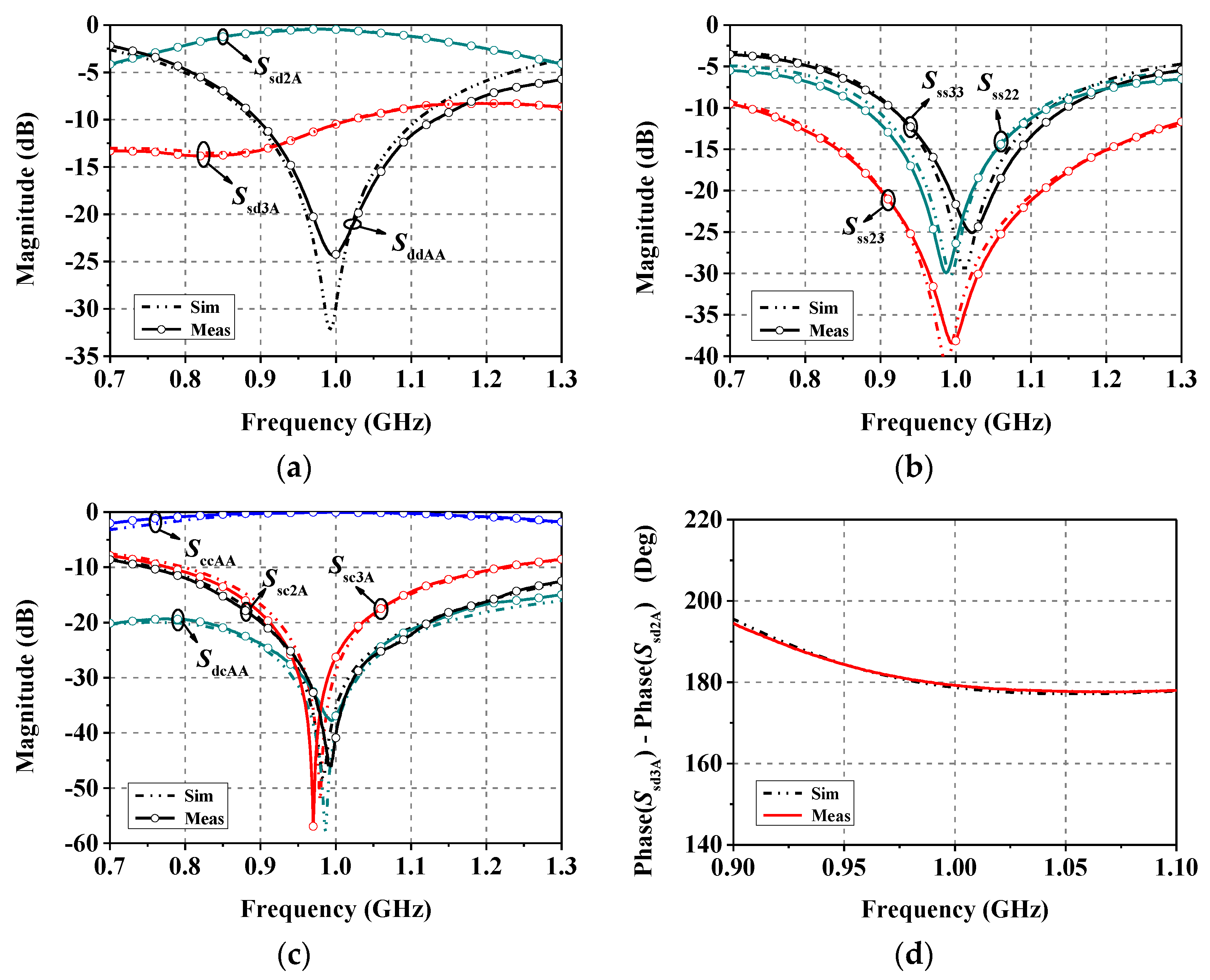
4.1. Prototype I for a PDR of 10 dB
4.2. Prototype II for a PDR of 20 dB
4.3. Prototype III for a PDR of ∞ dB
4.4. Performance Comparison
5. Conclusions
Author Contributions
Funding
Conflicts of Interest
References
- Wu, Y.; Jiao, L.; Zhuang, Z.; Liu, Y. The Art of Power Dividing: A Review for State-of-The-Art Planar Power Dividers. China Commun. 2017, 14, 1–16. [Google Scholar]
- Deal, W.R.; Radisic, V.; Qian, Y.X.; Itoh, T. Integrated-Antenna Push-Pull Power Amplifiers. IEEE Trans. Microw. Theory Tech. 1999, 47, 1418–1425. [Google Scholar] [CrossRef]
- Zhang, W.; Wu, Y.; Liu, Y.; Yu, C.; Hasan, A.; Ghannouchi, F.M. Planar Wideband Differential-Mode Bandpass Filter with Common- Mode Noise Absorption. IEEE Microw. Wireless Compon. Lett. 2017, 27, 458–460. [Google Scholar] [CrossRef]
- Feng, W.; Ma, X.; Che, W.; Wu, Y. Narrow-Band Balanced Filtering Network Using Coupled Lines Loaded with Stubs. Electron. Lett. 2018, 54, 366–367. [Google Scholar] [CrossRef]
- Gao, X.; Feng, W.; Che, W. High-Selectivity Wideband Balanced Filters Using Coupled Lines with Open/Shorted Stubs. IEEE Microw. Wireless Compon. Lett. 2017, 27, 260–262. [Google Scholar] [CrossRef]
- Xia, B.; Wu, L.; Mao, J. A New Balanced-to-Balanced Power Divider/Combiner. IEEE Trans. Microw. Theory Tech. 2012, 60, 2791–2798. [Google Scholar] [CrossRef]
- Xia, B.; Wu, L.; Ren, S.; Mao, J. A Balanced-to-Balanced Power Divider with Arbitrary Power Division. IEEE Trans. Microw. Theory Tech. 2013, 61, 2831–2840. [Google Scholar] [CrossRef]
- Li, M.; Wu, Y.; Jiao, L.; Ma, L.; Wang, W.; Liu, Y. A Planar Balanced-to-Balanced Power Divider with Wideband Filtering Responses and Common-Mode Suppressions. IEEE Access. 2018, 6, 42057–42065. [Google Scholar] [CrossRef]
- Jiao, L.; Wu, Y.; Zhang, W.; Li, M.; Liu, Y.; Xue, Q.; Ghassemlooy, Z. Design Methodology for Six-Port Equal/Unequal Quadrature and Rat-Race Couplers with Balanced and Unbalanced Ports Terminated by Arbitrary Resistances. IEEE Trans. Microw. Theory. Techn. 2018, 66, 1249–1262. [Google Scholar] [CrossRef]
- Li, L.; Mao, J.; Wu, L. A Single-Ended-to-Balanced Impedance- Transforming Branch-Line Coupler with Arbitrary Power Division Ratio. IEEE Trans. Microw. Theory Tech. 2019, 67, 949–956. [Google Scholar] [CrossRef]
- Li, L.; Wu, L.; Mao, J.; Tang, M.; Gu, X. A Balanced-to-Balanced Rat-Race Coupling Network Based on Defected Slots. IEEE Microw. Wireless Compon. Lett. 2019, 29, 459–461. [Google Scholar] [CrossRef]
- Wu, L.; Guo, Y.; Qiu, L.; Mao, J. A New Balanced-to-Single-Ended (BTSE) Power Divider. In Proceedings of the 2014 IEEE International Wireless Symposium (IWS 2014), Xi’an, China, 24–26 March 2014; pp. 1–4. [Google Scholar]
- Xu, K.; Shi, J.; Lin, L.; Chen, J. A Balanced-to-Unbalanced Microstrip Power Divider with Filtering Function. IEEE Trans. Microw. Theory Tech. 2015, 63, 2561–2569. [Google Scholar] [CrossRef]
- Shi, J.; Lu, J.; Xu, K.; Chen, J.-X. A Coupled-Line Balanced-to-Single-Ended out-of-Phase Power Divider with Enhanced Bandwidth. IEEE Trans. Microw. Theory Tech. 2017, 65, 459–466. [Google Scholar] [CrossRef]
- Zhang, W.; Wu, Y.; Liu, Y.; Ghannouchi, F.M.; Hasan, A. A Wideband Balanced-to-Unbalanced Coupled-Line Power Divider. IEEE Microw. Wireless Compon. Lett. 2016, 26, 410–412. [Google Scholar] [CrossRef]
- Zhang, W.; Shen, X.; Wu, Y.; Liu, Y.; Hasan, A.; Ghannouchi, F.M.; Zhao, Y. Planar Miniaturized Balanced-to-Single-Ended Power Divider Based on Composite Left- and Right-Handed Transmission Lines. IEEE Microw. Wireless Compon. Lett. 2017, 27, 242–244. [Google Scholar] [CrossRef]
- Feng, W.; Ma, X.; Gomez-Garcia, R.; Shi, Y.; Che, W.; Xue, Q. Multi-Functional Balanced-to-Unbalanced Filtering Power Dividers with Extended Upper Stopband. IEEE Trans. Circuits Syst. II Express Briefs. 2019, 66, 1154–1158. [Google Scholar] [CrossRef]
- Yadav, A.N.; Bhattacharjee, R. Balanced to Unbalanced Power Divider with Arbitrary Power Ratio. IEEE Microw. Wireless Compon. Lett. 2016, 26, 885–887. [Google Scholar] [CrossRef]
- Ahn, H.-R.; Tentzeris, M.M. Balanced-to-Unbalanced Power Dividers for Arbitrary Power Division Ratios and for Arbitrary Real Termination Impedances. IET Microwaves Antennas Propag. 2019, 13, 904–910. [Google Scholar] [CrossRef]
- Yadav, A.N.; Bhattacharjee, R. Unbalanced-to-Balanced Power Divider with Arbitrary Power Division. Prog. Electromagn. Res. 2017, 76, 43–54. [Google Scholar] [CrossRef][Green Version]
- Wu, Y.; Zhuang, Z.; Kong, M.; Jiao, L.; Liu, Y.; Kishk, A.A. Wideband Filtering Unbalanced-to-Balanced Independent Impedance-Transforming Power Divider with Arbitrary Power Ratio. IEEE Trans. Microw. Theory Tech. 2018, 66, 4482–4496. [Google Scholar] [CrossRef]
- Wu, Y.; Liu, Y.; Li, S. A Modified Gysel Power Divider of Arbitrary Power Ratio and Real Terminated Impedances. IEEE Microw. Wireless Compon. Lett. 2011, 21, 601–603. [Google Scholar] [CrossRef]
- Lin, F.; Chu, Q.-X.; Gong, Z.; Lin, Z. Compact Broadband Gysel Power Divider with Arbitrary Power-Dividing Ratio Using Microstrip/Slotline Phase Inverter. IEEE Trans. Microw. Theory Tech. 2012, 60, 1226–1234. [Google Scholar] [CrossRef]










| L1 | L2 | L3 | L4 | L5 | L6 | L7 | W1 | W2 |
|---|---|---|---|---|---|---|---|---|
| 48.7 | 9.05 | 50.0 | 11.3 | 37.65 | 93.1 | 48.7 | 2.3 | 4.1 |
| L1 | L2 | L3 | L4 | L5 | L6 | L7 | W1 | W2 |
|---|---|---|---|---|---|---|---|---|
| 48.7 | 2.55 | 51.0 | 9.3 | 36.9 | 85.8 | 48.7 | 2.3 | 4.1 |
| L1 | L2 | L3 | L4 | L5 | L6 | W1 | W2 |
|---|---|---|---|---|---|---|---|
| 53.3 | 51.1 | 7.0 | 37.9 | 115.2 | 53.3 | 2.3 | 4.1 |
| Ref. | Type | Phase | HITL | f0 (GHz) | PDR (dB) | CMS (dB) | Isolation (dB) | RL (dB) | FBW (%) | Size (λg × λg) |
|---|---|---|---|---|---|---|---|---|---|---|
| [18] | BTU | OOP | Needed | 2 | 3 | >20 | ~18 | ~25 | ~43 | 0.73 × 0.45 |
| [19] | BTU | OOP | Needed | 2 | 5 | 34.9 | 27.7 | 27.7 | ~44 | 0.48 × 0.48 |
| [20] | UTB | IP | Needed | 2 | 3 | >20 | >20 | ~22 | ~21 | 0.72 × 0.51 |
| [21] | UTB | IP | Needed | 2 | 3 | 35.4 | 41.2 | 37.8 | ~37 | 0.75 × 0.51 |
| Prototype I | BTU | OOP | None | 1 | 10 | 36.5 | 38.2 | 24.2 | 23.4 | 0.45 × 0.29 |
| Prototype II | BTU | OOP | None | 1 | 20 | 32.5 | 31.4 | 25.1 | 20.0 | 0.44 × 0.28 |
| Prototype III | BTU | OOP | None | 1 | ∞ | 33.6 | - | 22.1 | 24.7 | 0.42 × 0.30 |
© 2020 by the authors. Licensee MDPI, Basel, Switzerland. This article is an open access article distributed under the terms and conditions of the Creative Commons Attribution (CC BY) license (http://creativecommons.org/licenses/by/4.0/).
Share and Cite
Zhu, Z.; Wang, Z.; Fu, Y.; Fang, S.; Liu, H.; Chen, Z.N. Unlimited Power Division Ratio of Microstrip Balanced-to-Unbalanced Gysel-Type Arbitrary Power Divider. Electronics 2020, 9, 1124. https://doi.org/10.3390/electronics9071124
Zhu Z, Wang Z, Fu Y, Fang S, Liu H, Chen ZN. Unlimited Power Division Ratio of Microstrip Balanced-to-Unbalanced Gysel-Type Arbitrary Power Divider. Electronics. 2020; 9(7):1124. https://doi.org/10.3390/electronics9071124
Chicago/Turabian StyleZhu, Zihui, Zhongbao Wang, Ye Fu, Shaojun Fang, Hongmei Liu, and Zhi Ning Chen. 2020. "Unlimited Power Division Ratio of Microstrip Balanced-to-Unbalanced Gysel-Type Arbitrary Power Divider" Electronics 9, no. 7: 1124. https://doi.org/10.3390/electronics9071124
APA StyleZhu, Z., Wang, Z., Fu, Y., Fang, S., Liu, H., & Chen, Z. N. (2020). Unlimited Power Division Ratio of Microstrip Balanced-to-Unbalanced Gysel-Type Arbitrary Power Divider. Electronics, 9(7), 1124. https://doi.org/10.3390/electronics9071124

