Repertoire and Efficiency of Students’ Strategies for General-Reference Maps
Abstract
:1. Introduction
- Which strategies do students use to analyze general-reference maps?
- When (and how frequently) is each strategy used?
- How is strategy choice adapted to specific conditions?
- How efficiently (accurate and quickly) is each strategy executed?
1.1. Cognitive Variability of Map Use
1.2. Strategies of Map Analysis
- TMA—the map user reads the task assignment (T), gathers and evaluates information from the map and solves the task (M), then compares the solution with the given alternatives (A).
- TAM—after reading the task, the user considers the given alternatives and solves the problem by verifying each alternative using the information from the map.
- TxAx—after recognizing the problem in the task assignment, the user starts solving it using the information from the map (x—from map face, legend, scale, or coordinate grid), then checks the given alternatives (A) and completes the solution by verifying them with the map (x—with a different segment of map than in previous x step). To be classified as a TxAx strategy, the user must use the map face in one of the “x steps”.
- TM—the user studies the task assignment and then solves the task using relevant information from the map without paying attention to the given alternatives.
1.3. Related Studies
2. Materials and Methods
2.1. Study Design
2.2. Participants
2.3. Materials
2.4. Eye-Tracking Apparatus and Setting
2.5. Procedure
2.6. Data Analysis
3. Results
3.1. Which Strategies Are Used?
3.2. How Is Each Strategy Used?
3.3. How Is Strategy Choice Adapted?
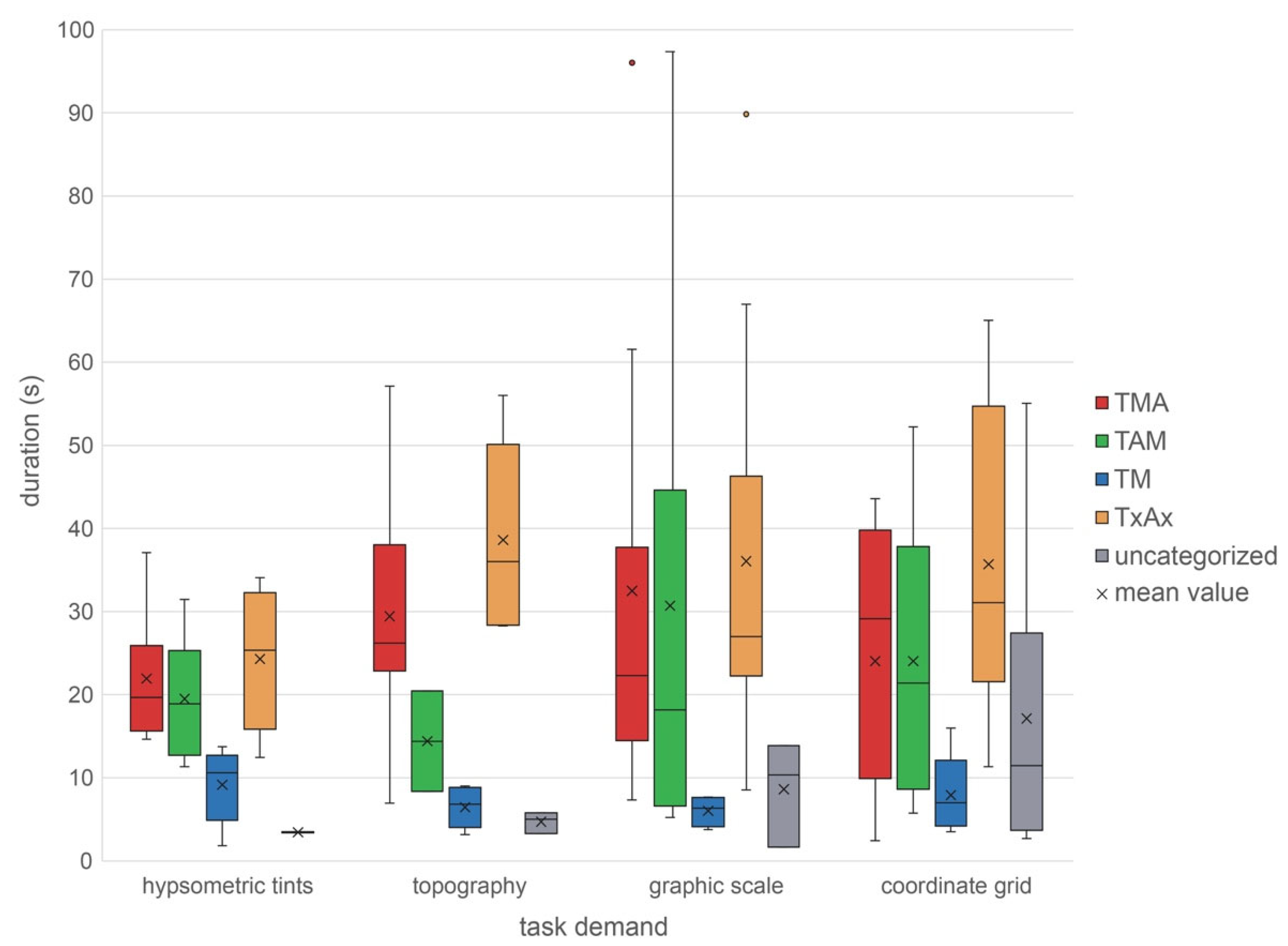
3.4. How Efficiently Is Each Strategy Executed?
4. Discussion and Conclusions
4.1. Strategy Repertoire
4.2. Strategy Distribution
4.3. Adaptiveness of Strategy Choice
4.4. Strategy Efficiency
4.5. Students’ Perception of Their Strategies
4.6. Recommendations for Future Studies
Supplementary Materials
Author Contributions
Funding
Institutional Review Board Statement
Informed Consent Statement
Data Availability Statement
Conflicts of Interest
References
- Raisz, E. General Cartography; McGraw-Hill Book Company: New York, NY, USA, 1948; ISBN 978-0-07-051149-1. [Google Scholar]
- Koláčný, A. Cartographic Information—A Fundamental Concept and Term in Modern Cartography. Cartogr. J. 1969, 6, 47–49. [Google Scholar] [CrossRef]
- Nakos, B.; Filippakopoulou, V.; Michaelidou, E. The Interaction of the Didactic of Cartography and Geography. In Proceedings of the 19th International Cartographic Conference, Ottawa, QC, Canada, 14–21 August 1999. [Google Scholar]
- MacEachren, A.M. How Maps Work: Representation, Visualization, and Design; Guilford Press: New York, NY, USA, 1995; ISBN 978-1-57230-040-8. [Google Scholar]
- Phillips, R.J. Are Maps Different from Other Kinds of Graphic Information? Cartogr. J. 1989, 26, 24–25. [Google Scholar] [CrossRef]
- Ooms, K.; De Maeyer, P.; Dupont, L.; Van der Veken, N.; Van de Weghe, N.; Verplaetse, S. Education in Cartography: What Is the Status of Young People’s Map-Reading Skills? Cartogr. Geogr. Inf. Sci. 2015, 43, 134–153. [Google Scholar] [CrossRef] [Green Version]
- Bertin, J.; Gimeno, R. The Cartography Lesson in Elementary School. In Graphic Communication and Design in Contemporary Cartography; Taylor, D.R.F., Ed.; John Wiley & Sons, Ltd.: Chichester, UK, 1983; pp. 231–256. ISBN 0-471-10316-0. [Google Scholar]
- Wiegand, P. Learning and Teaching with Maps; Routledge: New York, NY, USA, 2006; ISBN 978-1-134-38384-9. [Google Scholar]
- Hanus, M.; Havelková, L. Teachers’ Concepts of Map-Skill Development. J. Geogr. 2019, 118, 101–116. [Google Scholar] [CrossRef]
- National Research Council. Learning to Think Spatially; The National Academies Press: Washington, DC, USA, 2006; ISBN 978-0-309-09208-1. [Google Scholar]
- Havelková, L.; Hanus, M. Upper-Secondary Students’ Strategies for Spatial Tasks. J. Geogr. 2021, 120, 176–190. [Google Scholar] [CrossRef]
- Havelková, L.; Hanus, M. The Impact of the Map Type on the Level of Student Map Skills. Cartographica 2018, 53, 149–170. [Google Scholar] [CrossRef]
- Michaelidou, E.; Nakos, B.; Filippakopoulou, V. The Ability of Elementary School Children to Analyse General Reference and Thematic Maps. Cartographica 2004, 39, 65–88. [Google Scholar] [CrossRef] [Green Version]
- Incoul, A.; Ooms, K.; De Maeyer, P. Comparing Paper and Digital Topographic Maps Using Eye Tracking. In Modern Trends in Cartography; Brus, J., Vondráková, A., Voženílek, V., Eds.; Springer International Publishing: Cham, Switzerland, 2015; pp. 339–356. [Google Scholar]
- Beitlova, M.; Popelka, S.; Vozenilek, V. Differences in Thematic Map Reading by Students and Their Geography Teacher. ISPRS Int. J. Geo-Inf. 2020, 9, 492. [Google Scholar] [CrossRef]
- Krassanakis, V.; Cybulski, P. A Review on Eye Movement Analysis in Map Reading Process: The Status of the Last Decade. Geod. Cartogr. 2019, 68, 191–209. [Google Scholar] [CrossRef]
- Krassanakis, V.; Cybulski, P. Eye Tracking Research in Cartography: Looking into the Future. ISPRS Int. J. Geo-Inf. 2021, 10, 411. [Google Scholar] [CrossRef]
- Kwan, T.Y. Teachers’ Perceptual Understanding of Mapwork and Their Styles of Mapwork Teaching at Forms 1-3 Levels in Hong Kong. Asian Geogr. 1994, 13, 75–94. [Google Scholar] [CrossRef]
- Gagné, R.M. The Conditions of Learning; Holt, Rinehart and Winston: New York, NY, USA, 1977; ISBN 978-0-03-089965-2. [Google Scholar]
- Eme, P.-E.; Marquer, J. Individual Strategies in a Spatial Task and How They Relate to Aptitudes. Eur. J. Psychol. Educ. 1999, 14, 89–108. [Google Scholar] [CrossRef]
- Svenson, O. Differentiation and Consolidation Theory of Human Decision Making: A Frame of Reference for the Study of Pre- and Post-Decision Processes. Acta Psychol. 1992, 80, 143–168. [Google Scholar] [CrossRef]
- Just, M.A.; Carpenter, P.A. Eye Fixations and Cognitive Processes. Cogn. Psychol. 1976, 8, 441–480. [Google Scholar] [CrossRef]
- Havelková, L.; Hanus, M. Research into Map-Analysis Strategies: Theory- and Data-Driven Approaches. Geografie 2019, 124, 187–216. [Google Scholar] [CrossRef]
- Havelková, L.; Gołębiowska, I.M. What Went Wrong for Bad Solvers during Thematic Map Analysis? Lessons Learned from an Eye-Tracking Study. ISPRS Int. J. Geo-Inf. 2019, 9, 9. [Google Scholar] [CrossRef] [Green Version]
- Lemaire, P.; Siegler, R.S. Four Aspects of Strategic Change: Contributions to Children’s Learning of Multiplication. J. Exp. Psychol. Gen. 1995, 124, 83–97. [Google Scholar] [CrossRef] [PubMed]
- Matheson, I.A.; MacCormack, J. Avoiding Left-to-Right, Top-to-Bottom: An Examination of High School Students’ Executive Functioning Skills and Strategies for Reading Non-Linear Graphic Text. Read. Psychol. 2020, 42, 1–21. [Google Scholar] [CrossRef]
- Zhang, Z.; Russwinkel, N.; Prezenski, S. Modeling Individual Strategies in Dynamic Decision-Making with ACT-R: A Task Toward Decision-Making Assistance in HCI. Procedia Comput. Sci. 2018, 145, 668–674. [Google Scholar] [CrossRef]
- Ghosh, S.; Verbrugge, R. Studying Strategies and Types of Players: Experiments, Logics and Cognitive Models. Synthese 2018, 195, 4265–4307. [Google Scholar] [CrossRef] [Green Version]
- Piccardi, L.; De Luca, M.; Nori, R.; Palermo, L.; Iachini, F.; Guariglia, C. Navigational Style Influences Eye Movement Pattern during Exploration and Learning of an Environmental Map. Front. Behav. Neurosci. 2016, 10, 140. [Google Scholar] [CrossRef] [PubMed] [Green Version]
- Torbeyns, J.; Verschaffel, L.; Ghesquière, P. Strategic Competence: Applying Siegler’s Theoretical and Methodological Framework to the Domain of Simple Addition. Eur. J. Psychol. Educ. 2002, 17, 275. [Google Scholar] [CrossRef]
- Ory, J.; Christophe, S.; Fabrikant, S.I.; Bucher, B. How Do Map Readers Recognize a Topographic Mapping Style? Cartogr. J. 2015, 52, 193–203. [Google Scholar] [CrossRef]
- Anderson, J.R. The Architecture of Cognition; Harvard University Press: Cambridge, MA, USA, 1983; ISBN 978-0-8058-2233-5. [Google Scholar]
- Bonner, S.M. Mathematics Strategy Use in Solving Test Items in Varied Formats. J. Exp. Educ. 2013, 81, 409–428. [Google Scholar] [CrossRef]
- Çöltekin, A.; Fabrikant, S.I.; Lacayo, M. Exploring the Efficiency of Users’ Visual Analytics Strategies Based on Sequence Analysis of Eye Movement Recordings. Int. J. Geogr. Inf. Sci. 2010, 24, 1559–1575. [Google Scholar] [CrossRef]
- Blacker, K.J.; Peltier, C.; McKinley, R.A.; Biggs, A.T. What Versus How in Visual Search: Effects of Object Recognition Training, Strategy Training, and Non-Invasive Brain Stimulation on Satellite Image Search. J. Cogn. Enhanc. 2020, 4, 131–144. [Google Scholar] [CrossRef]
- Popelka, S.; Vondráková, A.; Hujňáková, P. Eye-Tracking Evaluation of Weather Web Maps. ISPRS Int. J. Geo-Inf. 2019, 8, 256. [Google Scholar] [CrossRef] [Green Version]
- Doležalová, J.; Popelka, S. ScanGraph: A Novel Scanpath Comparison Method Using Visualisation of Graph Cliques. J. Eye Mov. Res. 2016, 9, 1–13. [Google Scholar] [CrossRef]
- Kim, K.; Kim, M. Effects of Task Demand and Familiarity with Scenes in Visuospatial Representations on the Perception and Processing of Spatial Information. J. Geogr. 2018, 117, 193–204. [Google Scholar] [CrossRef]
- Gosling, S.D.; John, O.P.; Craik, K.H.; Robins, R.W. Do People Know How They Behave? Self-Reported Act Frequencies Compared with on-Line Codings by Observers. J. Pers. Soc. Psychol. 1998, 74, 1337–1349. [Google Scholar] [CrossRef]
- Thevenot, C.; Castel, C.; Fanget, M.; Fayol, M. Mental Subtraction in High- and Lower Skilled Arithmetic Problem Solvers: Verbal Report versus Operand-Recognition Paradigms. J. Exp. Psychol. Learn. Mem. Cogn. 2010, 36, 1242–1255. [Google Scholar] [CrossRef] [PubMed]
- Guan, Z.; Lee, S.; Cuddihy, E.; Ramey, J. The Validity of the Stimulated Retrospective Think-Aloud Method as Measured by Eye Tracking. In Proceedings of the SIGCHI Conference on Human Factors in Computing Systems, Montreal, QC, Canada, 22–27 April 2006; Association for Computing Machinery: New York, NY, USA, 2006; pp. 1253–1262. [Google Scholar]
- Popelka, S. Optimal Eye Fixation Detection Settings for Cartographic Purposes. In Proceedings of the 14th SGEM GeoConference on Informatics, Geoinformatics and Remote Sensing, Albena, Bulgaria, 17–26 June 2004; STEF92 Technology Ltd.: Sofie, Bulgaria, 2014; pp. 17–26. [Google Scholar]
- Sergeev, A. Efficiency. Available online: http://ui-designer.net/usability/efficiency.htm (accessed on 8 February 2022).
- CERMAT Tests and Assignments. Available online: https://maturita.cermat.cz/menu/testy-a-zadani-z-predchozich-obdobi (accessed on 26 December 2021).
- Kent, A.J.; Vujakovic, P. Cartographic Language: Towards a New Paradigm for Understanding Stylistic Diversity in Topographic Maps. Cartogr. J. 2011, 48, 21–40. [Google Scholar] [CrossRef]
- Beitlová, M.; Popelka, S.; Voženílek, V.; Fačevicová, K.; Janečková, B.A.; Matlach, V. The Importance of School World Atlases According to Czech Geography Teachers. ISPRS Int. J. Geo-Inf. 2021, 10, 504. [Google Scholar] [CrossRef]
- Siegler, R.S.; Stern, E. Conscious and Unconscious Strategy Discoveries: A Microgenetic Analysis. J. Exp. Psychol. Gen. 1998, 127, 377–397. [Google Scholar] [CrossRef]
- Luwel, K.; Torbeyns, J.; Verschaffel, L. The Relation between Metastrategic Knowledge, Strategy Use and Task Performance: Findings and Reflections from a Numerosity Judgement Task. Eur. J. Psychol. Educ. 2003, 18, 425–447. [Google Scholar] [CrossRef]
- Stone, A.A.; Bachrach, C.A.; Jobe, J.B.; Kurtzman, H.S.; Cain, V.S. The Science of Self-Report: Implications for Research and Practice; Lawrence Erlbaum Associates: Mahwah, NJ, USA, 1999; ISBN 978-1-135-67741-1. [Google Scholar]
- Zhang, L.J.; Zhang, D. Think-Aloud Protocols. In The Routledge Handbook of Research Methods in Applied Linguistics; Routledge: New York, NY, USA, 2019; ISBN 978-0-367-82447-1. [Google Scholar]
- Jarodzka, H.; Holmqvist, K.; Nyström, M. A Vector-Based, Multidimensional Scanpath Similarity Measure. In Proceedings of the 2010 Symposium on Eye-Tracking Research & Applications, Austin, TX, USA, 22–24 March 2010; Association for Computing Machinery: New York, NY, USA, 2010; pp. 211–218. [Google Scholar]
- Figl, K.; Strembeck, M. On the Importance of Flow Direction in Business Process Models. In Proceedings of the 9th International Conference on Software Engineering and Applications, Vienna, Austria, 29–31 August 2014; Science and Technology Publications: Vienna, Austria, 2014; pp. 132–136. [Google Scholar]
- Ares, G.; Etchemendy, E.; Antúnez, L.; Vidal, L.; Giménez, A.; Jaeger, S.R. Visual Attention by Consumers to Check-All-That-Apply Questions: Insights to Support Methodological Development. Food Qual. Prefer. 2014, 32, 210–220. [Google Scholar] [CrossRef]
- Li, H.; Hua, X.; Yang, Y.; Huang, B.; Si, J. How Does Task Switching Affect Arithmetic Strategy Use in Children with Low Mathematics Achievement? Evidence from Computational Estimation. Eur. J. Psychol. Educ. 2020, 35, 225–240. [Google Scholar] [CrossRef]




| Task ID | Task Assignment |
|---|---|
| H1 | Which water body is located at the highest altitude? |
| H2 | Which river has the highest elevation difference? |
| H3 | Which area is in the highest altitude? |
| T1 | How many towns have more than 25,000 inhabitants? |
| T2 | Which town has the most types of direct transport connection with Malovice? |
| T3 | Which river has the most waterfalls? |
| S1 | Which towns are 200 km apart? |
| S2 | What is the distance from Jirsko to Úsobí on a highway? |
| S3 | What is the approximate area of Horka national park? |
| C1 | In which hemispheres is the majority of the map located? |
| C2 | In which field of the coordinate grid are most towns located? |
| C3 | Which coordinates correspond to Veleboř? |
| Strategy Type/Strategy | Total Frequency of Use | Single Use | Single Use (% of Total Use) | Use in Combination | Structure of Combination (%) | Task Demand | |||
|---|---|---|---|---|---|---|---|---|---|
| H | T | S | C | ||||||
| TMA | 149 | 73 | 49.0 | 76 | 33.4 | 44 | 54 | 24 | 27 |
| TMA | 57 | 20 | 35.1 | 37 | 17.8 | 29 | 16 | 5 | 7 |
| TMLA | 38 | 23 | 60.5 | 15 | 6.1 | 12 | 24 | 1 | 1 |
| TMSA | 18 | 9 | 50.0 | 9 | 3.4 | 0 | 0 | 8 | 10 |
| TLMA | 17 | 13 | 76.5 | 4 | 1.8 | 3 | 14 | 0 | 0 |
| TSMA | 13 | 6 | 46.2 | 7 | 2.8 | 0 | 0 | 5 | 8 |
| TMLSA | 4 | 1 | 25.0 | 3 | 0.9 | 0 | 0 | 4 | 0 |
| TSMLA | 1 | 0 | 0.0 | 1 | 0.6 | 0 | 0 | 0 | 1 |
| TLSMA | 1 | 1 | 100.0 | 0 | 0.0 | 0 | 0 | 1 | 0 |
| TAM | 56 | 20 | 35.7 | 36 | 17.2 | 20 | 4 | 17 | 15 |
| TAM | 25 | 6 | 24.0 | 19 | 10.1 | 17 | 4 | 3 | 1 |
| TAMS | 13 | 7 | 53.8 | 6 | 3.1 | 0 | 0 | 5 | 8 |
| TASM | 6 | 3 | 50.0 | 3 | 1.5 | 0 | 0 | 1 | 5 |
| TAML | 6 | 3 | 50.0 | 3 | 0.9 | 2 | 0 | 4 | 0 |
| TALM | 3 | 0 | 0.0 | 3 | 0.9 | 1 | 0 | 2 | 0 |
| TASML | 1 | 0 | 0.0 | 1 | 0.3 | 0 | 0 | 0 | 1 |
| TAMLS | 1 | 1 | 100.0 | 0 | 0.0 | 0 | 0 | 1 | 0 |
| TALMS | 1 | 0 | 0.0 | 1 | 0.3 | 0 | 0 | 1 | 0 |
| TM | 40 | 1 | 2.5 | 39 | 16.9 | 9 | 15 | 8 | 8 |
| TM | 22 | 0 | 0.0 | 22 | 9.2 | 3 | 8 | 6 | 5 |
| TML | 10 | 1 | 10.0 | 9 | 4.6 | 5 | 3 | 1 | 1 |
| TLM | 5 | 0 | 0.0 | 5 | 2.1 | 1 | 4 | 0 | 0 |
| TMS | 1 | 0 | 0.0 | 1 | 0.3 | 0 | 0 | 0 | 1 |
| TSM | 1 | 0 | 0.0 | 1 | 0.3 | 0 | 0 | 0 | 1 |
| TMLS | 1 | 0 | 0.0 | 1 | 0.3 | 0 | 0 | 1 | 0 |
| TxAx | 96 | 46 | 47.9 | 50 | 20.2 | 12 | 18 | 34 | 32 |
| TMAS | 39 | 24 | 61.5 | 15 | 5.5 | 0 | 0 | 20 | 19 |
| TMAL | 20 | 6 | 30.0 | 14 | 6.1 | 9 | 11 | 0 | 0 |
| TLAM | 10 | 3 | 30.0 | 7 | 2.8 | 3 | 7 | 0 | 0 |
| TSAM | 6 | 4 | 66.7 | 2 | 0.9 | 0 | 0 | 1 | 5 |
| TMALS | 7 | 4 | 57.1 | 3 | 0.9 | 0 | 0 | 6 | 1 |
| TLAMS | 2 | 0 | 0.0 | 2 | 1.2 | 0 | 0 | 1 | 1 |
| TMASL | 2 | 0 | 0.0 | 2 | 0.9 | 0 | 0 | 0 | 2 |
| TMLAS | 3 | 1 | 33.3 | 2 | 0.6 | 0 | 0 | 2 | 1 |
| TSMAL | 2 | 1 | 50.0 | 1 | 0.6 | 0 | 0 | 1 | 1 |
| TMSAL | 2 | 1 | 50.0 | 1 | 0.3 | 0 | 0 | 0 | 2 |
| TLMAS | 2 | 1 | 50.0 | 1 | 0.3 | 0 | 0 | 2 | 0 |
| TLASM | 1 | 1 | 100.0 | 0 | 0.0 | 0 | 0 | 1 | 0 |
| uncategorized | 26 | 2 | 7.7 | 24 | 12.3 | 2 | 6 | 3 | 15 |
| TL | 6 | 0 | 0.0 | 6 | 3.4 | 1 | 4 | 1 | 0 |
| TAS | 5 | 0 | 0.0 | 5 | 3.1 | 0 | 0 | 0 | 5 |
| TSA | 5 | 1 | 20.0 | 4 | 1.5 | 0 | 0 | 1 | 4 |
| TS | 3 | 0 | 0.0 | 3 | 1.8 | 0 | 0 | 0 | 3 |
| TA | 2 | 0 | 0.0 | 2 | 1.2 | 0 | 1 | 0 | 1 |
| TSAL | 2 | 1 | 50.0 | 1 | 0.3 | 0 | 0 | 0 | 2 |
| TLA | 1 | 0 | 0.0 | 1 | 0.3 | 1 | 0 | 0 | 0 |
| TAL | 1 | 0 | 0.0 | 1 | 0.3 | 0 | 1 | 0 | 0 |
| TASL | 1 | 0 | 0.0 | 1 | 0.3 | 0 | 0 | 1 | 0 |
| Total | 367 | 142 | 38.7 | 225 | 100.0 | 87 | 97 | 86 | 97 |
| Strategy Type/Strategy | Total Frequency | Relative Frequency (%) | Task Demand | |||
|---|---|---|---|---|---|---|
| H | T | S | C | |||
| TMA | 34 | 40.0 | 8 | 9 | 9 | 8 |
| TMSA | 11 | 12.9 | 0 | 0 | 6 | 5 |
| TMA | 7 | 8.2 | 4 | 2 | 0 | 1 |
| TLMA | 6 | 7.1 | 2 | 4 | 0 | 0 |
| TMLA | 5 | 5.9 | 2 | 3 | 0 | 0 |
| TSMA | 5 | 5.9 | 0 | 0 | 3 | 2 |
| TAM | 34 | 40.0 | 10 | 8 | 7 | 9 |
| TAML | 10 | 11.8 | 5 | 5 | 0 | 0 |
| TAMS | 9 | 10.6 | 0 | 0 | 5 | 4 |
| TAM | 8 | 9.4 | 5 | 0 | 1 | 2 |
| TASM | 4 | 4.7 | 0 | 0 | 1 | 3 |
| TALM | 3 | 3.5 | 0 | 3 | 0 | 0 |
| TM | 1 | 1.2 | 0 | 1 | 0 | 0 |
| TLM | 1 | 1.2 | 0 | 1 | 0 | 0 |
| TxAx | 15 | 17.6 | 3 | 4 | 4 | 4 |
| TSAM | 7 | 8.2 | 0 | 0 | 3 | 4 |
| TLAM | 6 | 7.1 | 3 | 2 | 1 | 0 |
| TMAL | 2 | 2.4 | 0 | 2 | 0 | 0 |
| uncategorized | 1 | 1.2 | 0 | 0 | 0 | 1 |
| TSA | 1 | 1.2 | 0 | 0 | 0 | 1 |
| Total | 85 | 100.0 | 21 | 22 | 20 | 22 |
| Strategy Type | TMA | TAM | TM | TxAx | Uncategorized |
|---|---|---|---|---|---|
| TMA | 23.3 | 10.4 | 14.1 | 13.5 | 5.5 |
| TAM | 10.4 | 7.4 | 4.3 | 6.1 | 6.1 |
| TM | 14.1 | 4.3 | 7.4 | 6.1 | 1.8 |
| TxAx | 13.5 | 6.1 | 6.1 | 9.8 | 4.9 |
| uncategorized | 5.5 | 6.1 | 1.8 | 4.9 | 6.1 |
| Strategy Types/Strategy Types in Combination | Success Rate by Task Demand | Total Success Rate | Number of Use | |||
|---|---|---|---|---|---|---|
| H | T | S | C | |||
| TMA | 0.78 | 0.75 | 0.78 | 0.83 | 0.78 | 84 |
| TxAx | 0.83 | 0.78 | 0.76 | 0.55 | 0.73 | 53 |
| TAM | 0.78 | 0.56 | 0.50 | 0.61 | 22 | |
| uncategorized | 1.00 | 1.00 | 1.00 | 5 | ||
| TM + TMA | 0.17 | 0.67 | 0.67 | 1.00 | 0.63 | 16 |
| TxAx + TMA | 0.50 | 0.67 | 0.78 | 1.00 | 0.74 | 14 |
| TM + TxAx | 0.83 | 0.83 | 7 | |||
| TMA + TAM | 0.33 | 0.75 | 0.54 | 7 | ||
| uncategorized + TxAx | 1.00 | 0.75 | 0.88 | 7 | ||
| TxAx + TAM | 0.25 | 0.25 | 6 | |||
| TM + TAM | 1.00 | 0.50 | 0.75 | 6 | ||
| uncategorized + TAM | 1.00 | 1.00 | 3 | |||
| uncategorized + TMA + TAM | 0.50 | 0.50 | 3 | |||
| average success rate | 0.74 | 0.67 | 0.73 | 0.80 | 0.78 | 233 |
Publisher’s Note: MDPI stays neutral with regard to jurisdictional claims in published maps and institutional affiliations. |
© 2022 by the authors. Licensee MDPI, Basel, Switzerland. This article is an open access article distributed under the terms and conditions of the Creative Commons Attribution (CC BY) license (https://creativecommons.org/licenses/by/4.0/).
Share and Cite
Trokšiar, D.; Havelková, L.; Hanus, M. Repertoire and Efficiency of Students’ Strategies for General-Reference Maps. ISPRS Int. J. Geo-Inf. 2022, 11, 138. https://doi.org/10.3390/ijgi11020138
Trokšiar D, Havelková L, Hanus M. Repertoire and Efficiency of Students’ Strategies for General-Reference Maps. ISPRS International Journal of Geo-Information. 2022; 11(2):138. https://doi.org/10.3390/ijgi11020138
Chicago/Turabian StyleTrokšiar, David, Lenka Havelková, and Martin Hanus. 2022. "Repertoire and Efficiency of Students’ Strategies for General-Reference Maps" ISPRS International Journal of Geo-Information 11, no. 2: 138. https://doi.org/10.3390/ijgi11020138
APA StyleTrokšiar, D., Havelková, L., & Hanus, M. (2022). Repertoire and Efficiency of Students’ Strategies for General-Reference Maps. ISPRS International Journal of Geo-Information, 11(2), 138. https://doi.org/10.3390/ijgi11020138

