Assessment of Urban Resilience and Detection of Impact Factors Based on Spatial Autocorrelation Analysis and GeoDetector Model: A Case of Hunan Province
Abstract
:1. Introduction
2. Literature Review
2.1. Study on the Definition of Resilience
2.2. Research on the Origin and Definition of Urban Resilience
2.3. Evaluation Indicators and Methods for Resilient Cities
3. Data and Methods
3.1. Study Area and Data Sources
3.2. Construction of Urban Resilience Evaluation Indicators
3.3. Calculation Model for Urban Resilience
3.3.1. Entropy Weight Method to Determine the Weights
- (1)
- Data standardization
- (2)
- Normalization of indicators [17]
- (3)
- Calculate weight
- Calculate the weights of various indicators [17]:
3.3.2. Comprehensive Index Evaluation Method
3.4. Methods for Determining Spatial Patterns of Urban Resilience
3.4.1. Global Spatial Autocorrelation
3.4.2. Local Spatial Autocorrelation
3.5. Methods for Analyzing the Impact Factors of Urban Resilience
4. Results and Analysis
4.1. Time Differentiation
4.1.1. Comprehensive Resilience Level
4.1.2. Degree of Dispersion
4.1.3. City Classification
4.1.4. Resilience Level of Subsystem
4.2. Spatial Differentiation
4.2.1. Overall Spatial Pattern
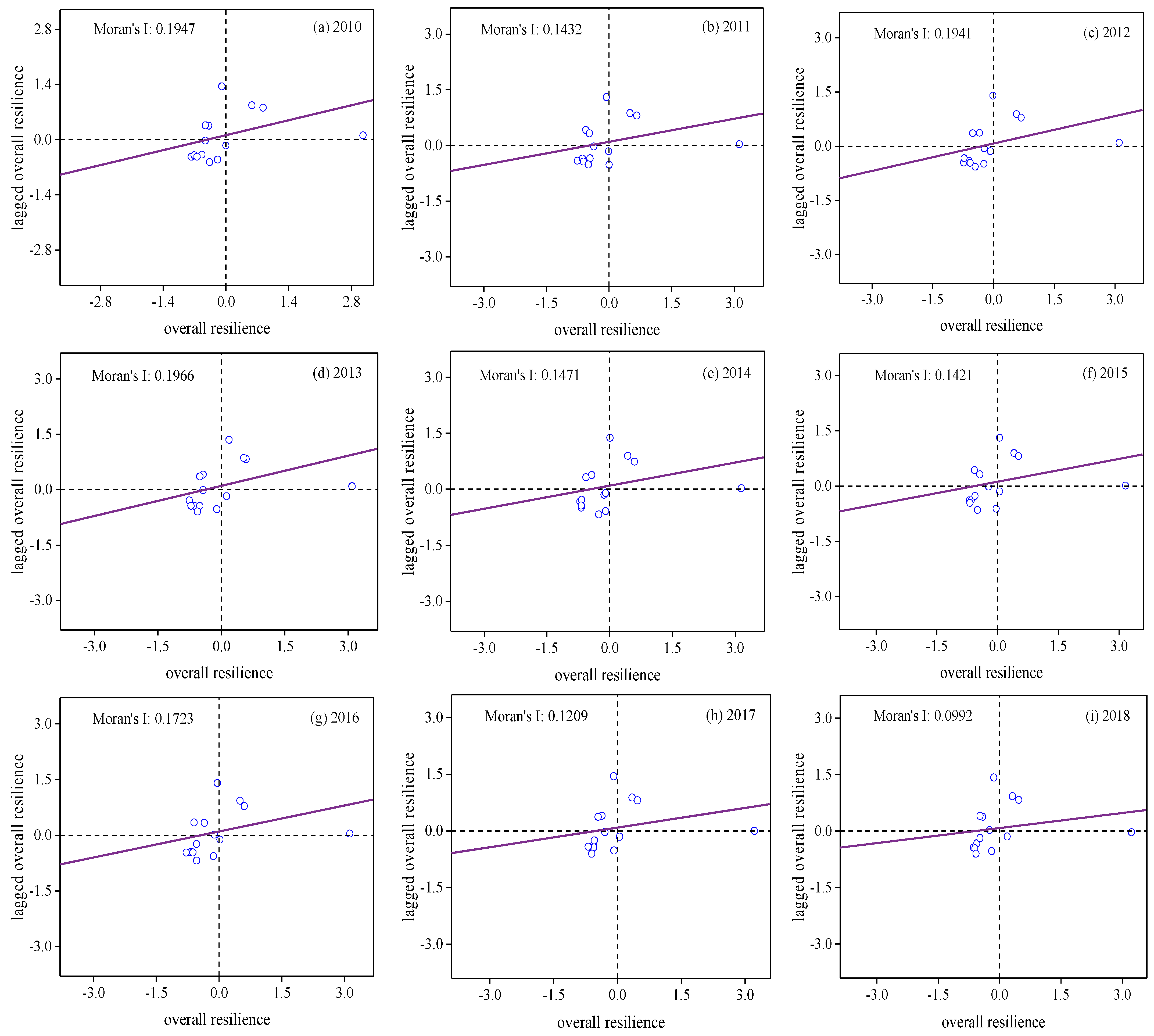
4.2.2. Global Spatial Agglomeration Analysis
4.2.3. Local Spatial Agglomeration Analysis
4.3. Impact Factors of Urban Resilience
4.3.1. Identification of Leading Impact Factors
4.3.2. Results of Interactive Detection
5. Discussion
6. Conclusions
Author Contributions
Funding
Data Availability Statement
Acknowledgments
Conflicts of Interest
References
- Brenner, N.; Schmid, C. The ‘Urban Age’ in Question. Int. J. Urban Reg. Res. 2014, 38, 731–755. [Google Scholar] [CrossRef]
- Kennedy, C.A.; Ibrahim, N.; Hoornweg, D. Low-carbon infrastructure strategies for cities. Nat. Clim. Change 2014, 4, 343–346. [Google Scholar] [CrossRef]
- Liu, Y.; Wang, H.; Qian, H.; Wang, Y. Urban resilience: Connotation and evaluation system. J. Catastrophology 2019, 34, 8–12. [Google Scholar] [CrossRef]
- Fan, Y.; Yu, G.; He, Z. Origin, spatial pattern, and evolution of urban system: Testing a hypothesis of “urban tree”. Habitat Int. 2017, 59, 60–70. [Google Scholar] [CrossRef]
- You, X.; Sun, Y.; Liu, J. Evolution and analysis of urban resilience and its influencing factors: A case study of Jiangsu Province, China. Nat. Hazards 2022, 113, 1751–1782. [Google Scholar] [CrossRef] [PubMed]
- Masnavi, M.R.; Gharai, F.; Hajibandeh, M. Exploring urban resilience thinking for its application in urban planning: A review of literature. Int. J. Environ. Sci. Technol. 2019, 16, 567–582. [Google Scholar] [CrossRef]
- Cao, Q.; Huang, Y.; Ran, B.; Zeng, G.; Van Rompaey, A.; Shi, M. Coordination Conflicts between Urban Resilience and Urban Land Evolution in Chinese Hilly City of Mianyang. Remote Sens. 2021, 13, 4887. [Google Scholar] [CrossRef]
- Leichenko, R. Climate change and urban resilience. Curr. Opin. Environ. Sustain. 2011, 3, 164–168. [Google Scholar] [CrossRef]
- Ahern, J. From fail-safe to safe-to-fail: Sustainability and resilience in the new urban world. Landsc. Urban Plan. 2011, 100, 341–343. [Google Scholar] [CrossRef]
- Cavallaro, M.; Asprone, D.; Latora, V.; Manfredi, G.; Nicosia, V. Assessment of Urban Ecosystem Resilience through Hybrid Social-Physical Complex Networks. Comput-Aided. Civ. Inf. 2014, 29, 608–625. [Google Scholar] [CrossRef]
- Li, G.; Kou, C.; Wang, Y.; Yang, H. System dynamics modelling for improving urban resilience in Beijing, China. Resour. Conserv. Recycl. 2020, 161, 104954. [Google Scholar] [CrossRef]
- Spaans, M.; Waterhout, B. Building up resilience in cities worldwide-Rotterdam as participant in the 100 Resilient Cities Programme. Cities 2017, 61, 109–116. [Google Scholar] [CrossRef]
- Qin, X.; Wu, Y.; Lin, T.; Gao, L. Urban Flood Dynamic Risk Assessment Based on Typhoon Rainfall Process: A Case Study of Typhoon “Lupit” (2109) in Fuzhou, China. Remote Sens. 2023, 15, 3116. [Google Scholar] [CrossRef]
- Motesharrei, S.; Rivas, J.; Kalnay, E.; Asrar, G.R.; Busalacchi, A.J.; Cahalan, R.F.; Cane, M.A.; Colwell, R.R.; Feng, K.; Franklin, R.S.; et al. Modeling sustainability: Population, inequality, consumption, and bidirectional coupling of the Earth and Human Systems. Natl. Sci. Rev. 2016, 3, 470–494. [Google Scholar] [CrossRef]
- Beijing Municipal People’s Government. Notice on Guiding Opinions on Accelerating the Construction of Urban resilience. Available online: https://www.beijing.gov.cn/zhengce/zhengcefagui/202111/t20211111_2534214.html (accessed on 15 April 2023).
- X Sanchez, A.; Jeroen, V.D.H.; Osmond, P. The city politics of an urban age: Urban resilience conceptualisations and policies. Palgr. Commun. 2018, 4, 25. [Google Scholar] [CrossRef]
- Bai, L.; Xiu, C.; Feng, X.; Mei, D.; Wei, Y. A comprehensive assessment of urban resilience and its spatial differentiation in China. World Reg. Stud. 2019, 28, 77–87. [Google Scholar]
- Klein, R.J.T.; Nicholls, R.J.; Thomalla, F. Resilience to natural hazards: How useful is this concept? Environ. Hazards 2003, 5, 35–45. [Google Scholar] [CrossRef]
- Gunderson, L.H. Ecological resilience—In theory and application. Annu. Rev. Ecol. Syst. 2000, 31, 425–439. [Google Scholar] [CrossRef]
- Bruijn, K.M.D. Resilience and flood risk management. Water Policy 2004, 6, 53–66. [Google Scholar] [CrossRef]
- Folke, C.; Carpenter, S.R.; Walker, B.; Scheffer, M.; Chapin, T.; Rockström, J. Resilience thinking: Integrating resilience, adaptability and transformability. Ecol. Soc. 2010, 15, 20. [Google Scholar] [CrossRef]
- Holling, C.S. Resilience and Stability of Ecological Systems. Annu. Rev. Ecol. Syst. 1973, 4, 1–23. [Google Scholar] [CrossRef]
- Nelson, D.R.; Adger, W.N.; Brown, K. Adaptation to environmental change: Contributions of a resilience framework. Annu. Rev. Environ. Resour. 2007, 32, 395–419. [Google Scholar] [CrossRef]
- Holling, C.S. Engineering resilience. In Engineering within Ecological Constraints; Schulze, P.E., Ed.; National Academy Press: Washington, DC, USA, 1996; pp. 31–43. [Google Scholar]
- Adger, W.N. Social and ecological resilience: Are they related? Prog. Hum. Geogr. 2000, 24, 347–364. [Google Scholar] [CrossRef]
- Walker, B.; Holling, C.S.; Carpenter, S.R.; Kinzig, A. Resilience, adaptability and transformability in social–ecological systems. Ecol. Soc. 2004, 9, 5. [Google Scholar] [CrossRef]
- Wilkinson, C. Social-ecological resilience: Insights and issues for planning theory. Plan. Theory 2012, 11, 148–169. [Google Scholar] [CrossRef]
- Coaffee, J. Risk, resilience, and environmentally sustainable cities. Energy Policy 2008, 36, 4633–4638. [Google Scholar] [CrossRef]
- Cutter, S.L.; Barnes, L.; Berry, M.; Burton, C.; Evans, E.; Tate, E.; Webb, J. A place-based model for understanding community resilience to natural disasters. Glob. Environ. Change-Hum. Policy Dimens. 2008, 18, 598–606. [Google Scholar] [CrossRef]
- Xu, Y.; Li, G.; Cui, S.; Xu, Y.; Pan, J.; Tong, N.; Xu, J.; Zhu, Y. Review and perspective on resilience science: From ecological theory to urban practice. Acta. Ecol. Sin. 2018, 38, 5297–5304. [Google Scholar]
- Liu, B. The Strategies of Integrating Local Knowledge into Community-based Disaster Risk Reduction: A Case Study of Aba Prefecture in Sichuan Province. J. Guangzhou Univ. (Soc. Sci. Edn.) 2016, 15, 19–27. [Google Scholar]
- Greater London Authority. Managing Climate Risks and Increasing Resilience; Greater London Authority: London, UK, 2011. [Google Scholar]
- Huang, H.; Li, R.; Fan, W.; Shan, C. Analysis on characteristics of safety resilient city and enlightenments for safe development of Xiongan New Area. J. Saf. Sci. Technol. 2018, 14, 5–11. [Google Scholar]
- Xinhua News Agency. The 14th Five- Year Plan for the National Economic and Social Development of the People’s Republic of China and the Outline of Long-term Goals for 2035. Gazette of the State Council of the People’s Republic of China. Available online: http://www.gov.cn/xinwen/2021-03/13/content_5592681.htm?pc (accessed on 18 May 2023).
- Alberti, M.; Marzluff, J.M.; Shulenberger, E.; Bradley, G.; Ryan, C.; Zumbrunnen, C. Integrating humans into ecology: Opportunities and challenges for studying urban ecosystems. BioScience 2003, 53, 1169–1179. [Google Scholar] [CrossRef]
- Shao, Y.; Xu, J. Understanding Urban Resilience: A Conceptual Analysis Based on Integrated International Literature Review. Urban Plan. Int. 2015, 30, 48–54. [Google Scholar]
- Ernstson, H.; van der Leeuw, S.E.; Redman, C.L.; Meffert, D.J.; Davis, G. Urban Transitions: On Urban Resilience and Human-Dominated Ecosystems. Ambio 2010, 39, 531–545. [Google Scholar] [CrossRef] [PubMed]
- Liao, K.H. A theory on urban resilience to floods—A basis for alternative planning practices. Ecol. Soc. 2012, 17, 48. [Google Scholar] [CrossRef]
- The World Bank. World Development Report 2009; The World Bank: Washington, DC, USA, 2008; pp. 73–78. [Google Scholar]
- Coleman, J.S. The rational reconstruction of society. Am. Sociol. Rev. 1993, 58, 1–15. [Google Scholar] [CrossRef]
- Putnam, R. Making Democracy Work: Civic Transition in Modern Italy; Princeton University Press: Princeton, NJ, USA, 1993. [Google Scholar]
- Coleman, J.S. Social Capital in the Creation of Human Capital. Am. J. Sociol. 1988, 94, S95–S120. [Google Scholar] [CrossRef]
- Manyena, S.B. The concept of resilience revisited. Disasters 2006, 30, 434–450. [Google Scholar] [CrossRef]
- Hudec, O.; Reggiani, A.; Šiserová, M. Resilience capacity and vulnerability: A joint analysis with reference to Slovak urban districts. Cities 2018, 73, 24–35. [Google Scholar] [CrossRef]
- Xu, Z.; Tian, J.; Zhang, J. Urban resilience evaluation system and optimization strategy from perspective of disaster prevention. Chin. Saf. Sci. J. 2019, 29, 1–7. [Google Scholar]
- Cutter, S.L.; Ash, K.D.; Emrich, C.T. The geographies of community disaster resilience. Glob. Environ. Change 2014, 29, 65–77. [Google Scholar] [CrossRef]
- Lu, H.; Zhang, C.; Jiao, L.; Wei, Y.; Zhang, Y. Analysis on the spatial-temporal evolution of urban agglomeration resilience: A case study in Chengdu-Chongqing Urban Agglomeration, China. Int. J. Disaster Risk Reduct. 2022, 79, 103167. [Google Scholar] [CrossRef]
- Joerin, J.; Shaw, R.; Takeuchi, Y.; Krishnamurthy, R. Action-oriented resilience assessment of communities in Chennai, India. Environ. Hazards 2012, 11, 226–241. [Google Scholar] [CrossRef]
- Yang, Y.; Lin, L.; Zhong, Z.; Ou, Y.; Xu, Q.; Meng, M.; Hao, S. Comprehensive evaluation and spatial differentiation of community resilience in Guangzhou based on response of the city to public health hazards. Acta. Geogr. Sin. 2019, 74, 266–284. [Google Scholar] [CrossRef]
- Karunarathne, A.Y.; Lee, G. How do urban reciprocal support network legacies matter to improve the resiliency of urban informal livelihoods? Sust. Cities Soc. 2022, 77. [Google Scholar] [CrossRef]
- Liu, L.; Lei, Y.; Zhuang, M.; Ding, S. The impact of climate change on urban resilience in the Beijing-Tianjin-Hebei region. Sci. Total Environ. 2022, 827, 154157. [Google Scholar] [CrossRef]
- Datola, G.; Bottero, M.; De Angelis, E.; Romagnoli, F. Operationalising resilience: A methodological framework for assessing urban resilience through System Dynamics Model. Ecol. Model. 2022, 465, 109851. [Google Scholar] [CrossRef]
- Wei, S.; Pan, J. Resilience of Urban Network Structure in China: The Perspective of Disruption. ISPRS Int. J. Geo-Inf. 2021, 10, 796. [Google Scholar] [CrossRef]
- Sherrieb, K.; Norris, F.H.; Galea, S. Measuring capacities for community resilience. Soc. Indic. Res. 2010, 99, 227–247. [Google Scholar] [CrossRef]
- Wang, J.; Gu, G.; Yao, L.; Chen, Y. Analysis of new urbanization’s spatial pattern evolution and influence factors in China. Sci. Geogr. Sin. 2016, 36, 63–71. [Google Scholar]
- Yang, S.; Wang, L. Spatio-temporal Evolution Characteristics and Influencing Factors of Small Towns’ Circulation Industry in Mount Wuling of Hunan Province. Econ. Geogr. 2022, 42, 127–134. [Google Scholar] [CrossRef]
- Cao, X.; Xu, J. Spatial heterogeneity analysis of regional economic development and driving factors in China’s provincial border counties. Acta. Geogr. Sin. 2018, 73, 1065–1075. [Google Scholar] [CrossRef]
- Hao, F.; Shi, X.; Bai, X.; Wang, S. Geographic detection and multifunctional land use from the perspective of urban diversity: A case study of Changchun. Geogr. Res. 2019, 38, 247–258. [Google Scholar] [CrossRef]
- Song, Z.; Zhu, Q. Spatio-temporal pattern and driving forces of urbanization in China’s border areas. Acta. Geogr. Sin. 2020, 75, 1603–1616. [Google Scholar] [CrossRef]
- Zhao, R.; Fang, C.; Liu, H.; Liu, X. Evaluating urban ecosystem resilience using the DPSIR framework and the ENA model: A case study of 35 cities in China. Sust. Cities Soc. 2021, 72, 102997. [Google Scholar] [CrossRef]
- Sun, Y.; Zhang, L.; Yao, S. Evaluation resilience of prefecture cities in the Yangtze River delta region from a socio-ecological perspective. Chin. Popul. Resour. Environ. 2017, 27, 151–158. [Google Scholar] [CrossRef]
- Xiu, C.; Wei, Y.; Wang, Q. Evaluation of urban resilience of Dalian city based on the perspective of “Size-Density-Morphology”. Acta. Geogr. Sin. 2018, 73, 2315–2328. [Google Scholar] [CrossRef]
- Ruan, J.; Chen, Y.; Yang, Z. Assessment of temporal and spatial progress of urban resilience in Guangzhou under rainstorm scenarios. Int. J. Disaster Risk Reduct. 2021, 66, 102578. [Google Scholar] [CrossRef]
- Hunan Provincial People’s Government. Basic Information of Hunan Province. Available online: http://www.hunan.gov.cn/hnszf/jxxx/hngk/hngk.html (accessed on 6 July 2023).
- Department of Emergency Management of Hunan Province. Natural Disaster Information of Hunan Province in 2019. Available online: http://yjt.hunan.gov.cn/yjt/xxgk/gzdt/sjdt/201912/t20191227_11018795.html (accessed on 6 July 2023).
- Ning, X.; Zhang, X.; Zhang, X.; Wang, H.; Zhang, W. A Method for Assessing Urban Ecological Resilience and Identifying Its Critical Distance Belt Based on the “Source-Sink” Theory: A Case Study of Beijing. Remote Sens. 2023, 15, 2502. [Google Scholar] [CrossRef]
- Afsari, R.; Nadizadeh Shorabeh, S.; Kouhnavard, M.; Homaee, M.; Arsanjani, J.J. A Spatial Decision Support Approach for Flood Vulnerability Analysis in Urban Areas: A Case Study of Tehran. ISPRS Int. J. Geo-Inf. 2022, 11, 380. [Google Scholar] [CrossRef]
- Zhang, J.; Wang, H.; Huang, J.; Sun, D.; Liu, G. Evaluation of Urban Flood Resilience Enhancement Strategies—A Case Study in Jingdezhen City under 20-Year Return Period Precipitation Scenario. ISPRS Int. J. Geo-Inf. 2022, 11, 285. [Google Scholar] [CrossRef]
- Lester, T.W.; Nguyen, M.T. The economic integration of immigrants and regional resilience. J. Urban Aff. 2016, 38, 42–60. [Google Scholar] [CrossRef]
- Tian, L.; Li, J.; Ouyang, W.; Chen, W.; Zeng, H.; Xiao, Y. Relationships between urban-rural planning and public health and some thoughts on a inter-disciplinary research framework. Urban Plan. Forum. 2016, 2, 111–116. [Google Scholar] [CrossRef]
- Chen, X.; Lou, J.; Wang, Y. Evolution and dynamic simulation of the temporal-spatial pattern of urban resilience in Harbin-Changchun Urban Group. Sci. Geogr. Sin. 2020, 40, 2000–2009. [Google Scholar] [CrossRef]
- Zheng, Y.; Xie, X.; Lin, C.; He, X. Development as adaptation: Framing and measuring urban resilience in Beijing. Adv. Clim. Change Res. 2018, 9, 234–242. [Google Scholar] [CrossRef]
- Zhao, R.; Fang, C.; Liu, H. Progress and prospect of urban resilience research. Prog. Geogr. 2020, 39, 1717–1731. [Google Scholar] [CrossRef]
- Tian, S.; Li, X.; Yang, J.; Zhang, C.; Zhang, Y. Initial Study on Triaxiality of Human Settlements—In the Case of 10 Districts (Counties) of Dalian. Sustainability 2014, 6, 7276–7291. [Google Scholar] [CrossRef]
- Zhang, Z.; Zhang, Y.; Zhang, J.; Lang, Q.; Yan, J.; Duan, C. Urban Resilience Assessment Based on Entropy Weight Method and TOPSIS Model-Take Changchun City as an Example. J. Catastrophology 2023, 38, 213–219. [Google Scholar] [CrossRef]
- Yao, X. Analysis on the Current Situation, Internal Coupling and Influencing Factors of the Urban Resilience of China’s Provincial Capital Cities. Master’s Thesis, Zhejiang University, Hangzhou, China, 2022. [Google Scholar] [CrossRef]
- Qi, Y.; Yang, Y.; Jin, F. China’s economic development stage and its patio-temporal evolution: A prefectural-level analysis. Acta Geogr. Sin. 2013, 68, 517–531. [Google Scholar]
- Long, T.; Yin, J.; Ou, Z.; Yang, Q.; Li, Y.; Wang, Q. Comprehensive assessment and spatial pattern study on forest fire risk in Yunnan Province. Chin. Saf. Sci. J. 2021, 31, 167–173. [Google Scholar] [CrossRef]
- Ou, Z.; Zhu, Q.; Sun, Y. Regional ecological security and diagnosis of obstacle factors in underdeveloped regions: A case study in Yunnan Province, China. J Mt. Sci. 2017, 14, 870–884. [Google Scholar] [CrossRef]
- Ma, W.; Bai, Y.; Zhang, Y.; Zhou, P.; Niu, Z.; Feng, H. Spatial Pattern and Convergence of New Urbanization in China: 2002–2011. Econ. Geogr. 2015, 35, 62–70. [Google Scholar] [CrossRef]
- Wang, J.; Xu, C. Geodetector: Principle and prospective. Acta. Geogr. Sin. 2017, 72, 116–134. [Google Scholar] [CrossRef]
- Wang, J.; Hu, Y. Environmental health risk detection with GeogDetector. Environ. Modell. Softw. 2012, 33, 114–115. [Google Scholar] [CrossRef]
- Song, Y.; Liu, Y.; Zhang, Y.; Wang, S. Spatio-temporal differentiation characteristics and influencing factors of hand, foot, and mouth disease in China. Acta. Geogr. Sin. 2022, 77, 574–588. [Google Scholar] [CrossRef]
- Huang, C.; Lin, F.; Chu, D.; Wang, L.; Liao, J.; Wu, J. Spatiotemporal Evolution and Trend Prediction of Tourism Economic Vulnerability in China’s Major Tourist Cities. ISPRS Int. J. Geo-Inf. 2021, 10, 644. [Google Scholar] [CrossRef]
- Qin, S.; You, H.; Liu, D.; Qie, M. Research on Urban Resilience Measurement and Spatial Evolution in Hunan Province. China-Arab States Sci. Technol. Forum. 2022, 3, 7–11. [Google Scholar]
- Liu, X. Green Efficiency of Urban Region Development: A Case of Hunan Province. J. Urban Stud. 2020, 41, 39–44. [Google Scholar]
- Gimenez, R.; Labaka, L.; Hernantes, J. A maturity model for the involvement of stakeholders in the city resilience building process. Technol. Forecast. Soc. Chang. 2017, 121, 7–16. [Google Scholar] [CrossRef]
- Metzger, M.J.; Leemans, R.; Schröter, D. A multidisciplinary multi-scale framework for assessing vulnerabilities to global change. Int. J. Appl. Earth Obs. Geoinf. 2005, 7, 253–267. [Google Scholar] [CrossRef]
- Arif, M.; Gupta, K. Spatial development planning in peri-urban space of Burdwan City, West Bengal, India: Statutory infrastructure as mediating factors. SN Appl. Sci. 2020, 2, 1779. [Google Scholar] [CrossRef]
- Zhao, G.; Zhang, W. Research on socio-economic vulnerability of coastal zone. Statist. Decis. 2006, 5, 12–14. [Google Scholar]
- RS and GIS based study on fragirity of ecological environment in Fuzhou City. J. Nat. Disasters. 2007, 2, 133–137.
- Pang, S.; Liu, K.; Ji, W. Ecological vulnerability evaluation of Yan’an city. J. Arid Land. Resour. Environ. 2011, 25, 63–66. [Google Scholar] [CrossRef]










| Subsystem | Characterizing Elements | Unit | Direction | Reference | Indicator Weight/10−1 | 
|---|---|---|---|---|---|
| Ecological Resilience (a) | a1 The green coverage rate of built-up areas | % | + | [71,72,73] | 0.055 | 
| a2 Per capita green area | m2/person | + | [17,46,72,73] | 0.217 | |
| a3 Park green area | hectare | + | [46,48,73] | 0.469 | |
| a4 Average annual precipitation | mm | Moderate | [67] | 0.318 | |
| a5 PM2.5 pollutant concentration | μg/m3 | − | [73] | 0.075 | |
| a6 Industrial sulfur dioxide emissions per square kilometer | t/km2 | − | [17,73] | 0.038 | |
| a7 Sewage treatment rate | % | + | [17,73] | 0.049 | |
| a8 Comprehensive utilization rate of industrial solid waste | % | + | [17,73] | 0.038 | |
| Economic Resilience (b) | b1 Per capita GDP | yuan/person | + | [17,46,48,72,73] | 0.282 | 
| b2 Balance of savings account of urban and rural residents at the end of the year | billion | + | [44,48,73] | 0.326 | |
| b3 Urban registered unemployed population | person | − | [17,48,73] | 0.044 | |
| b4 Local fiscal revenue | ten thousand yuan | + | 0.581 | ||
| b5 Urbanization level | % | + | [72,73] | 0.172 | |
| b6 Total factor productivity | + | 0.205 | |||
| b7 Proportion of tertiary sector of the economy in GDP | % | + | [17,46,73] | 0.216 | |
| b8 Research and development expenditure | ten thousand yuan | + | 0.803 | ||
| b9 Total score of urban scientific and technological innovation | + | 0.125 | |||
| b10 GDP of the secondary industry of the economy | billion | + | [49] | 0.429 | |
| b11 GDP of the tertiary industry of the economy | billion | + | [46,49,73] | 0.542 | |
| Social Resilience (c) | c1 Per capita disposable income of rural residents | yuan/person | + | [17,44,46,48,72,73] | 0.237 | 
| c2 Average annual salary of on-the-job employees | yuan/person | + | [17,73] | 0.197 | |
| c3 Population density | person/km2 | − | [48,49,72] | 0.051 | |
| c4 Proportion of social security and employment in fiscal expenditure | % | + | [17,46,48,72,73] | 0.079 | |
| c5 Number of college students per 10,000 people | peron/ten thousand people | + | [44,46,49] | 0.791 | |
| c6 Proportion of tertiary industry of the economy employees | % | + | [17,49,73] | 0.105 | |
| c7 Population of public management and social organizations | % | + | [49,72] | 0.171 | |
| c8 Medical insurance coverage rate | % | + | [44,72] | 0.218 | |
| c9 Engel’s coefficient for all residents | − | 0.108 | |||
| Institutional Resilience (d) | d1 Per capita financial expenditure | yuan/person | + | [44,48] | 0.179 | 
| d2 Input level of general public service | % | + | 0.171 | ||
| d3 Number of government agencies, enterprises, and public institutions | % | + | 0.098 | ||
| d4 Density of urban health institutions | piece/km2 | + | [49] | 0.524 | |
| d5 Number of health personnel per thousand people | person/thousand people | + | [46,49] | 0.184 | |
| d6 Number of hospital beds per 10,000 people | sheet/ten thousand people | + | [17,44,46,73] | 0.153 | |
| Infrastructure Resilience (e) | e1 Per capita road area | m2/person | + | [17,44,46,48,49,73] | 0.204 | 
| e2 Comprehensive capacity of highway network | km/km2 | + | 0.215 | ||
| e3 Number of public transportation vehicles per 10,000 people | set/ten thousand people | + | [17,73] | 0.211 | |
| e4 Drainage pipeline density | km/km2 | + | [44,46] | 0.090 | |
| e5 Per capita daily water consumption | liter/person | − | 0.074 | ||
| e6 Gas penetration rate | % | + | [17,46,73] | 0.040 | |
| e7 Number of mobile phone users | ten thousand users | + | [17,49,73] | 0.269 | |
| e8 Number of fixed internet users | ten thousand users | + | [46,49,72,73] | 0.375 | |
| e9 Number of public health facilities per 10,000 people | set/ten thousand people | + | [44,49,73] | 0.270 | 
| Criterion | Interaction | 
|---|---|
| q(X1∩X2) < Min(q(X1), q(X2)) | Weaken; nonlinear | 
| Min(q(X1), q(X2)) < q(X1∩X2) < Max(q(X1), q(X2)) | Weaken; nonlinear; univariate | 
| q(X1∩X2) > Max(q(X1), q(X2)) | Enhance; bivariate | 
| q(X1∩X2) = q(X1) + q(X2) | Independent | 
| q(X1∩X2) > q(X1) + q(X2) | Enhance; nonlinear | 
| Cities | 2010 | 2011 | 2012 | 2013 | 2014 | 2015 | 2016 | 2017 | 2018 | 2019 | 2020 | 2021 | 
|---|---|---|---|---|---|---|---|---|---|---|---|---|
| Changsha | 0.4239 | 0.4757 | 0.4901 | 0.5117 | 0.5491 | 0.6014 | 0.6411 | 0.6893 | 0.7129 | 0.7703 | 0.7685 | 0.8075 | 
| Zhuzhou | 0.2288 | 0.2548 | 0.2592 | 0.2699 | 0.2706 | 0.2906 | 0.3305 | 0.3342 | 0.3498 | 0.3839 | 0.4149 | 0.4253 | 
| Xiangtan | 0.2483 | 0.2685 | 0.2696 | 0.2748 | 0.2869 | 0.3031 | 0.3429 | 0.3499 | 0.3691 | 0.4079 | 0.4218 | 0.4466 | 
| Hengyang | 0.1831 | 0.2117 | 0.2000 | 0.2310 | 0.2126 | 0.2503 | 0.2741 | 0.2976 | 0.3342 | 0.3514 | 0.3862 | 0.3985 | 
| Shaoyang | 0.1223 | 0.1487 | 0.1400 | 0.1604 | 0.1565 | 0.1667 | 0.1915 | 0.2214 | 0.2412 | 0.2668 | 0.2823 | 0.3145 | 
| Yueyang | 0.1759 | 0.2071 | 0.2058 | 0.2368 | 0.2270 | 0.2503 | 0.2667 | 0.2808 | 0.2933 | 0.3356 | 0.3528 | 0.3775 | 
| Changde | 0.1685 | 0.2127 | 0.1855 | 0.2094 | 0.2161 | 0.2408 | 0.2556 | 0.2814 | 0.2869 | 0.3294 | 0.3388 | 0.3583 | 
| Zhangjiajie | 0.1409 | 0.1740 | 0.1521 | 0.1713 | 0.1532 | 0.1713 | 0.1975 | 0.2223 | 0.2312 | 0.2411 | 0.2489 | 0.2440 | 
| Yiyang | 0.1528 | 0.1657 | 0.1759 | 0.1789 | 0.1822 | 0.1802 | 0.2298 | 0.2462 | 0.2591 | 0.2909 | 0.3075 | 0.3212 | 
| Chenzhou | 0.1468 | 0.1817 | 0.1865 | 0.1787 | 0.2160 | 0.2194 | 0.2581 | 0.2549 | 0.2803 | 0.3036 | 0.2970 | 0.3182 | 
| Yongzhou | 0.1275 | 0.1589 | 0.1412 | 0.1481 | 0.1572 | 0.1819 | 0.2077 | 0.2244 | 0.2508 | 0.2811 | 0.2718 | 0.2843 | 
| Huaihua | 0.1325 | 0.1612 | 0.1549 | 0.1518 | 0.1565 | 0.1675 | 0.1790 | 0.2067 | 0.2355 | 0.2464 | 0.2608 | 0.2749 | 
| Loudi | 0.1471 | 0.1729 | 0.1607 | 0.1714 | 0.1679 | 0.1951 | 0.2008 | 0.2352 | 0.2511 | 0.2948 | 0.3115 | 0.3349 | 
| Xiangxizhou | 0.1544 | 0.1709 | 0.1661 | 0.1663 | 0.1993 | 0.1888 | 0.2079 | 0.2168 | 0.2388 | 0.2488 | 0.2879 | 0.2855 | 
| Year | GMI | Z | p | Confidence Coefficient | 
|---|---|---|---|---|
| 2010 | 0.1947 | 2.3782 | 0.0174 | 95% | 
| 2011 | 0.1432 | 2.0603 | 0.0394 | 95% | 
| 2012 | 0.1941 | 2.4968 | 0.0125 | 95% | 
| 2013 | 0.1966 | 2.4689 | 0.0136 | 95% | 
| 2014 | 0.1471 | 2.1602 | 0.0308 | 95% | 
| 2015 | 0.1421 | 2.1542 | 0.0312 | 95% | 
| 2016 | 0.1723 | 2.3381 | 0.0194 | 95% | 
| 2017 | 0.1209 | 2.1270 | 0.0334 | 95% | 
| 2018 | 0.0992 | 1.9065 | 0.0566 | 90% | 
| 2019 | 0.1504 | 2.3497 | 0.0188 | 95% | 
| 2020 | 0.1678 | 2.3301 | 0.0198 | 95% | 
| 2021 | 0.1836 | 2.4625 | 0.0138 | 95% | 
| Subsystem | 2010 | 2015 | 2021 | |||
|---|---|---|---|---|---|---|
| Impact Factors | q | Impact Factors | q | Impact Factors | q | |
| Ecological resilience | a3 | 0.977 ** | a3 | 0.916 * | a3 | 0.961 ** | 
| a5 | 0.897 * | a7 | 0.904 * | — | — | |
| Economic resilience | b1 | 0.931 ** | b1 | 0.971 ** | b1 | 0.963 ** | 
| b4 | 0.913 * | b4 | 0.908 * | b4 | 0.918 * | |
| b5 | 0.985 ** | b5 | 0.978 ** | b5 | 0.963 ** | |
| b8 | 0.932 * | b8 | 0.915 * | b8 | 0.945 ** | |
| b9 | 0.908 * | b9 | 0.942 ** | b9 | 0.969 ** | |
| b10 | 0.901 * | b10 | 0.968 ** | b10 | 0.943 ** | |
| — | — | b11 | 0.901 * | — | — | |
| Social resilience | c1 | 0.972 ** | c1 | 0.961 ** | c1 | 0.976 ** | 
| c5 | 0.972 ** | c2 | 0.946 ** | c2 | 0.916 * | |
| c8 | 0.907 * | c5 | 0.939 * | c3 | 0.931 ** | |
| — | — | c8 | 0.906 * | c5 | 0.942 * | |
| — | — | c9 | 0.939 ** | — | — | |
| Institutional resilience | d1 | 0.904 * | d1 | 0.887 * | d4 | 0.933 ** | 
| d5 | 0.954 ** | d4 | 0.971 ** | — | — | |
| d6 | 0.956 ** | d5 | 0.896 * | — | — | |
| Infrastructure resilience | e3 | 0.911 * | — | — | e4 | 0.902 * | 
| Disclaimer/Publisher’s Note: The statements, opinions and data contained in all publications are solely those of the individual author(s) and contributor(s) and not of MDPI and/or the editor(s). MDPI and/or the editor(s) disclaim responsibility for any injury to people or property resulting from any ideas, methods, instructions or products referred to in the content. | 
© 2023 by the authors. Licensee MDPI, Basel, Switzerland. This article is an open access article distributed under the terms and conditions of the Creative Commons Attribution (CC BY) license (https://creativecommons.org/licenses/by/4.0/).
Share and Cite
Chen, J.; Ma, H.; Yang, S.; Zhou, Z.; Huang, J.; Chen, L. Assessment of Urban Resilience and Detection of Impact Factors Based on Spatial Autocorrelation Analysis and GeoDetector Model: A Case of Hunan Province. ISPRS Int. J. Geo-Inf. 2023, 12, 391. https://doi.org/10.3390/ijgi12100391
Chen J, Ma H, Yang S, Zhou Z, Huang J, Chen L. Assessment of Urban Resilience and Detection of Impact Factors Based on Spatial Autocorrelation Analysis and GeoDetector Model: A Case of Hunan Province. ISPRS International Journal of Geo-Information. 2023; 12(10):391. https://doi.org/10.3390/ijgi12100391
Chicago/Turabian StyleChen, Jianhong, Hongcai Ma, Shan Yang, Zhiyong Zhou, Jianhui Huang, and Licheng Chen. 2023. "Assessment of Urban Resilience and Detection of Impact Factors Based on Spatial Autocorrelation Analysis and GeoDetector Model: A Case of Hunan Province" ISPRS International Journal of Geo-Information 12, no. 10: 391. https://doi.org/10.3390/ijgi12100391
APA StyleChen, J., Ma, H., Yang, S., Zhou, Z., Huang, J., & Chen, L. (2023). Assessment of Urban Resilience and Detection of Impact Factors Based on Spatial Autocorrelation Analysis and GeoDetector Model: A Case of Hunan Province. ISPRS International Journal of Geo-Information, 12(10), 391. https://doi.org/10.3390/ijgi12100391
 
        


 
       