Expected Impacts on Mediterranean Forest Species Under Climate Change
Abstract
1. Introduction
2. Materials and Methods
2.1. Study Area
2.2. Analysed Species
2.3. Software
2.4. Initial Data and Preliminary Manipulation
2.5. Determination of Future Climatic Parameters
2.6. Calculation of Study Variables
2.7. Data Processing
2.8. Studied Scenarios
- Scenario 1 (reference)
- Scenario 2 (current)
- Scenario 3 (RCP8.5 in 2100)
- Scenario 4 (expected in 2100)
2.9. Study Hypotheses
- Endangered species
- Vulnerable species
- Non-threatened species
2.10. Threat Global Assessment
2.11. Statistical Analysis
2.12. Error Prediction
- Climatic errors (ECL)
- Azonality error (EAZ)
- Zonal species, with no appreciable azonality. IAZ = EAZ = 0%.
- Primarily zonal species, which can be riparian or phreatophytes in drier environments (Betula alba, Populus tremula). IAZ = EAZ = 20%.
- Phreatophyte species, associated with areas with groundwater moisture but also with significant climatic influence (Fraxinus angustifolia, Ulmus minor). IAZ = EAZ = 30%.
- Riparian species where climatic influence is lower than azonality influence (Alnus glutinosa, Populus alba, P. nigra, Salix alba). IAZ = EAZ = 70%.
- Global error
3. Results
3.1. Reliability of Predictions
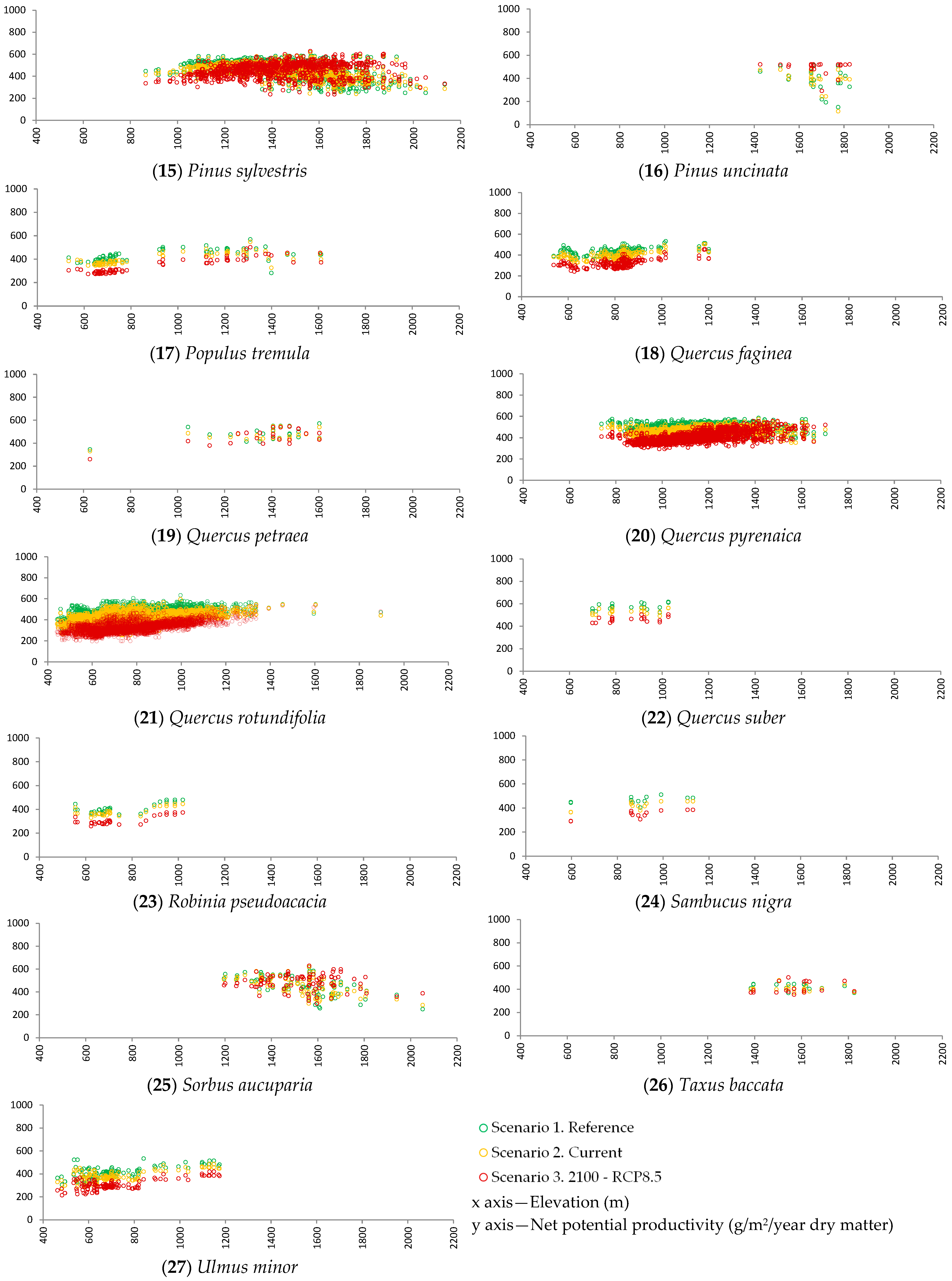
3.2. Occupation, Coverage, and Altitudinal Range
3.3. Endangerment and Vulnerability
4. Discussion
4.1. Endangerment and Vulnerability
4.2. Migration Possibilities
5. Conclusions
Funding
Data Availability Statement
Conflicts of Interest
Abbreviations
| AE | Actual evapotranspiration |
| GHG | Greenhouse gas |
| GIS | Geographic Information System |
| LiDAR | Light Detection and Ranging |
| NPP | Net potential productivity |
| Q1/Q3 | First quartile, third quartile |
| RCP | Representative concentration pathway |
| RF | Radiative forcing |
References
- Oreskes, N. The scientific consensus on climate change. Science 2004, 306, 1686. [Google Scholar] [CrossRef] [PubMed]
- Eyring, V.; Gillett, N.P.; Achuta, K.M.; Barimalala, R.; Barreiro, M.; Bellouin, N.; Cassou, C.; Durack, P.J.; Kosaka, Y.; McGregor, S.; et al. Human Influence on the Climate System. In Climate Change 2021: The Physical Science Basis. Contribution of Working Group I to the Sixth Assessment Report of the Intergovernmental Panel on Climate Change; Masson-Delmotte, V., Zhai, P., Pirani, A., Connors, S.L., Péan, C., Berger, S., Caud, N., Chen, Y., Goldfarb, L., Gomis, M.I., et al., Eds.; Cambridge University Press: Cambridge, UK; New York, NY, USA, 2021; pp. 423–552. [Google Scholar]
- Forster, P.M.; Smith, C.; Walsh, T.; Lamb, W.F.; Lamboll, R.; Hall, B.; Hauser, M.; Ribes, A.; Rosen, V.; Gillett, N.P.; et al. Indicators of Global Climate Change 2023: Annual update of key indicators of the state of the climate system and human influence. Earth Syst. Sci. Data 2024, 16, 2625–2658. [Google Scholar] [CrossRef]
- IPCC. Summary for Policymakers. In Climate Change 2021: The Physical Science Basis. Contribution of Working Group I to the Sixth Assessment Report of the Intergovernmental Panel on Climate Change; Masson-Delmotte, V., Zhai, P., Pirani, A., Connors, S.L., Péan, C., Berger, S., Caud, N., Chen, Y., Goldfarb, L., Gomis, M.I., et al., Eds.; Cambridge University Press: Cambridge, UK; New York, NY, USA, 2021; pp. 3–32. [Google Scholar]
- Suarez-Gutierrez, L.; Li, C.; Müller, W.A.; Marotzke, J. Internal variability in European summer temperatures at 1.5 °C and 2 °C of global warming. Environ. Res. Lett. 2018, 13, 064026. [Google Scholar] [CrossRef]
- Moemken, J.; Koerner, B.; Ehmele, F.; Feldmann, H.; Pinto, J.G. Recurrence of drought events over Iberia. Part II: Future changes using regional climate projections. Tellus A 2022, 74, 262–279. [Google Scholar] [CrossRef]
- McLaughlin, J.F.; Hellman, J.J.; Boggs, C.L.; Ehrlich, P.R. Climate change hastens population extinctions. Proc. Natl. Acad. Sci. USA 2002, 99, 6070–6074. [Google Scholar] [CrossRef]
- Río, S.; Canas, R.; Cano, E.; Cano-Ortiz, A.; Musarella, C.; Pinto-Gomes, C.; Penas, A. Modelling the impacts of climate change on habitat suitability and vulnerability in deciduous forests in Spain. Ecol. Indic. 2021, 131, 108202. [Google Scholar] [CrossRef]
- Vacek, Z.; Vacek, S.; Cukor, J. European forests under global climate change: Review of tree growth processes, crises and management strategies. J. Environ. Manag. 2023, 332, 117353. [Google Scholar] [CrossRef]
- Enríquez-de-Salamanca, Á. Influence of climate change on carbon sequestration in pine forests of Central Spain. Atmosphere 2024, 15, 1178. [Google Scholar] [CrossRef]
- Allen, C.D.; Macalady, A.K.; Chenchouni, H.; Bachelet, D.; McDowell, N.; Vennetier, M.; Kitzberger, T.; Rigling, A.; Breshears, D.D.; Hogg, E.H.; et al. A global overview of drought and heat-induced tree mortality reveals emerging climate change risks for forests. For. Ecol. Manag. 2010, 259, 660–684. [Google Scholar] [CrossRef]
- Kijowska-Oberc, J.; Staszak, A.M.; Kamiński, J.; Ratajczak, E. Adaptation of forest trees to rapidly changing climate. Forests 2020, 11, 123. [Google Scholar] [CrossRef]
- Hartmann, H.; Bastos, A.; Das, A.J.; Esquivel-Muelbert, A.; Hammond, W.M.; Martínez-Vilalta, J.; McDowell, N.G.; Powers, J.S.; Pugh, T.A.M.; Ruthrof, K.X.; et al. Climate change risks to global forest health: Emergence of unexpected events of elevated tree mortality worldwide. Annu. Rev. Plant Biol. 2022, 73, 673–702. [Google Scholar] [CrossRef]
- Knutzen, F.; Averbeck, P.; Barrasso, C.; Bouwer, L.M.; Gardiner, B.; Grünzweig, J.M.; Hänel, S.; Haustein, K.; Johannessen, M.R.; Kollet, S.; et al. Impacts on and damage to European forests from the 2018–2022 heat and drought events. Nat. Hazards Earth Syst. Sci. 2025, 25, 77–117. [Google Scholar] [CrossRef]
- Campelo, F.; Ribas, M.; Gutiérrez, E. Plastic bimodal growth in a Mediterranean mixed-forest of Quercus ilex and Pinus halepensis. Dendrochronologia 2021, 67, 125836. [Google Scholar] [CrossRef]
- Peñuelas, J.; Sardans, J. Global change and forest disturbances in the Mediterranean basin: Breakthroughs, knowledge gaps, and recommendations. Forests 2021, 12, 603. [Google Scholar] [CrossRef]
- Iverson, L.; Prasad, A.; Matthews, S. Modeling potential climate change impacts on the trees of the northeastern United States. Mitig. Adapt. Strateg. Glob. Chang. 2008, 13, 487–516. [Google Scholar] [CrossRef]
- Zheng, L.; Gaire, N.P.; Shi, P. High-altitude tree growth responses to climate change across the Hindu Kush Himalaya. J. Plant Ecol. 2021, 14, 829–842. [Google Scholar] [CrossRef]
- Sarris, D.; Christodoulakis, D.; Körner, C. Impact of recent climatic change on growth of low elevation eastern Mediterranean forest trees. Clim. Chang. 2011, 106, 203–223. [Google Scholar] [CrossRef]
- Nabuurs, G.J.; Pussinen, A.; Karjalainen, T.; Erhard, M.; Kramer, K. Stemwood volume increment changes in European forests due to climate change—A simulation study with the EFISCEN model. Glob. Change Biol. 2002, 8, 304–316. [Google Scholar] [CrossRef]
- Milne, R.; van Oijen, M. A comparison of two modelling studies of environmental effects on forest carbon stocks across Europe. Ann. For. Sci. 2005, 62, 911–923. [Google Scholar] [CrossRef]
- Boisvenue, C.; Running, S.W. Impacts of climate change on natural forest productivity-evidence since the middle of the 20th century. Glob. Change Biol. 2010, 12, 862–882. [Google Scholar] [CrossRef]
- Kauppi, P.E.; Posch, M.; Pirinen, P. Large impacts of climatic warming on growth of boreal forests since 1960. PLoS ONE 2014, 9, e111340. [Google Scholar] [CrossRef] [PubMed]
- Pretzsch, H.; Biber, P.; Schütze, G.; Uhl, E.; Rötzer, T. Forest stand growth dynamics in Central Europe have accelerated since 1870. Nat. Commun. 2014, 5, 4967. [Google Scholar] [CrossRef] [PubMed]
- Reyer, C.; Lasch-Born, P.; Suckow, F.; Gutsch, M.; Murawski, A.; Pilz, T. Projections of regional changes in forest net primary productivity for different tree species in Europe driven by climate change and carbon dioxide. Ann. For. Sci. 2014, 71, 211–225. [Google Scholar] [CrossRef]
- Dyderski, M.K.; Paź-Dyderska, S.; Jagodziński, A.M.; Puchałka, R. Shifts in native tree species distributions in Europe under climate change. J. Environ. Manag. 2025, 373, 123504. [Google Scholar] [CrossRef]
- Martinez, E.; Zang, C.S.; Buras, A.; Hacket-Pain, A.; Esper, J.; Weigel, R.; Klesse, S.; Resco, V.; Scharnweber, T.; Van der Maaten, E.; et al. Climate-change-driven growth decline of European beech forests. Commun. Biol. 2022, 5, 163. [Google Scholar] [CrossRef]
- Vitasse, Y.; François, C.; Delpierre, N.; Dufrêne, E.; Kremer, A.; Chuine, I.; Delzon, S. Assessing the effects of climate change on the phenology of European temperate trees. Agric. For. Meteorol. 2011, 151, 969–980. [Google Scholar] [CrossRef]
- Axer, M.; Schlicht, R.; Kronenberg, R.; Wagner, S. The potential for future shifts in tree species distribution provided by dispersal and ecological niches: A comparison between beech and oak in Europe. Sustainability 2021, 13, 13067. [Google Scholar] [CrossRef]
- Mazza, G.; Monteverdi, M.C.; Altieri, S.; Battipaglia, G. Climate-driven growth dynamics and trend reversal of Fagus sylvatica L. and Quercus cerris L. in a low-elevation beech forest in Central Italy. Sci. Total Environ. 2024, 908, 168250. [Google Scholar] [CrossRef]
- Kramer, R.D.; Ishii, H.R.; Carter, K.R.; Miyazaki, Y.; Cavaleri, M.A.; Araki, M.G.; Azuma, W.A.; Inoue, Y.; Hara, C. Predicting effects of climate change on productivity and persistence of forest trees. Ecol. Res. 2020, 35, 562–574. [Google Scholar] [CrossRef]
- Comunidad de Madrid. Atlas. El Medio Ambiente en la Comunidad de Madrid; Comunidad de Madrid: Madrid, Spain, 2007. [Google Scholar]
- Comunidad de Madrid. Mapa del Terreno Forestal de la Comunidad de Madrid. Año 2008 [last updated 16 October 2024]. Available online: https://datos.comunidad.madrid/dataset/spacm_mtf (accessed on 28 December 2024).
- IDEE. Infraestructura de Datos Espaciales de España. Ministerio de Transportes y Movilidad Sostenible. Available online: https://idee.es/ (accessed on 28 December 2024).
- MITECO. Evaluación de Recursos Hídricos en Régimen Natural. Modelo SIMPA. Ministerio Para la Transición Ecológica y el Reto Demográfico. Available online: https://www.miteco.gob.es/es/cartografia-y-sig/ide/descargas/agua.html (accessed on 28 December 2024).
- AdapteCCa. Visor de Escenario de Cambio Climático. Plataforma Sobre Adaptación al Cambio Climático en Espana. Available online: https://escenarios.adaptecca.es/ (accessed on 3 December 2024).
- Moss, R.H.; Edmonds, J.A.; Hibbard, K.A.; Manning, M.R.; Rose, S.K.; van Vuuren, D.P.; Carter, T.R.; Emori, S.; Kainuma, M.; Kram, T.; et al. The next generation of scenarios for climate change research and assessment. Nature 2010, 463, 747–756. [Google Scholar] [CrossRef]
- Prather, M.; Flato, G.; Friedlingstein, P.; Jones, C.; Lamarque, J.F.; Liao, H.; Rasch, P. Annex II: Climate System Scenario Tables. In Climate Change 2013: The Physical Science Basis. Contribution of Working Group I to the Fifth Assessment Report of the Intergovernmental Panel on Climate Change; Stocker, T.F., Qin, D., Plattner, G.K., Tignor, M., Allen, S.K., Boschung, J., Nauels, A., Xia, Y., Bex, V., Midgley, P.M., Eds.; Cambridge University Press: Cambridge, UK; New York, NY, USA, 2013; pp. 1395–1445. [Google Scholar]
- Rosenzweig, M.L. Net primary productivity of terrestrial communities: Prediction from climatological data. Am. Nat. 1968, 102, 67–74. [Google Scholar] [CrossRef]
- Wergifosse, L.; André, F.; Goosse, H.; Boczon, A.; Cecchini, S.; Ciceu, A.; Collalti, A.; Cools, N.; D’Andrea, E.; De Vos, B.; et al. Simulating tree growth response to climate change in structurally diverse oak and beech forests. Sci. Total Environ. 2022, 806, 150422. [Google Scholar] [CrossRef] [PubMed]
- Cantürk, U.; Koç, İ.; Özel, H.B.; Şevik, H. Possible changes of Pinus nigra distribution regions in Türkiye with the impacts of global climate change. BioResources 2024, 19, 6190–6214. [Google Scholar] [CrossRef]
- Gao, J.; Ji, Y.; Zhang, X. Net primary productivity exhibits a stronger climatic response in planted versus natural forests. For. Ecol. Manag. 2023, 529, 120722. [Google Scholar] [CrossRef]
- Gong, H.; Cao, J.; Duan, Y.; Jiao, F.; Xu, X.; Zhang, M.; Wang, K.; Liu, H. Multiple effects of climate changes and human activities on NPP increase in the Three-north Shelter Forest Program area. For. Ecol. Manag. 2023, 529, 120732. [Google Scholar] [CrossRef]
- Turc, L. Nouvelles formale pour le bilan de Peau en fonction des valeurs moyennes annuelles des précipitations et de la température. C.R. Acad. Sci. Paris 1951, 233, 633–635. [Google Scholar]
- Gudulas, K.; Voudouris, K.; Soulios, G.; Dimopoulos, G. Comparison of different methods to estimate actual evapotranspiration and hydrologic balance. Desalin. Water Treat. 2013, 51, 2945–2954. [Google Scholar] [CrossRef]
- Dash, C.S.K.; Behera, A.K.; Dehuri, S.; Ghosh, A. An outliers detection and elimination framework in classification task of data mining. Decis. Anal. J. 2023, 6, 100164. [Google Scholar] [CrossRef]
- Rukhin, A.L. Weighted means statistics in interlaboratory studies. Metrologia 2009, 46, 323–331. [Google Scholar] [CrossRef][Green Version]
- Ramaswamy, V.; Boucher, O.; Haigh, J.; Hauglustaine, D.; Haywood, J.; Myhre, G.; Nakajima, Y.; Shi, G.Y.; Solomon, S. Radiative forcing of climate change. In Climate Change 2001: The Scientific Basis. Contribution of Working Group I to the Third Assessment Report of the Intergovernmental Panel on Climate Change; Houghton, J.T., Ding, Y., Griggs, D.J., Noguer, M., van der Linden, P.J., Dai, X., Maskell, K., Johnson, C.A., Eds.; Cambridge University Press: Cambridge, UK; New York, NY, USA, 2001; pp. 349–416. [Google Scholar]
- Myhre, G.; Shindell, D.; Bréon, F.M.; Collins, W.; Fuglestvedt, J.; Huang, J.; Koch, D.; Lamarque, J.F.; Lee, D.; Mendoza, B.; et al. Anthropogenic and natural radiative forcing. In Climate Change 2013: The Physical Science Basis. Contribution of Working Group I to the Fifth Assessment Report of the Intergovernmental Panel on Climate Change; Stocker, T.F., Qin, D., Plattner, G.K., Tignor, M., Allen, S.K., Boschung, J., Nauels, A., Xia, Y., Bex, B., Midgley, P.M., Eds.; Cambridge University Press: Cambridge, UK; New York, NY, USA, 2012; pp. 659–740. [Google Scholar]
- Forster, P.M.; Smith, C.J.; Walsh, T.; Lamb, W.F.; Lamboll, R.; Hauser, M.; Ribes, A.; Rosen, D.; Gillett, N.; Palmer, M.D.; et al. Indicators of Global Climate Change 2022: Annual update of large-scale indicators of the state of the climate system and human influence. Earth Syst. Sci. Data 2023, 15, 2295–2327. [Google Scholar] [CrossRef]
- Sarofim, M.C.; Smith, C.J.; Malek, P.; McDuffie, E.E.; Hartin, C.A.; Lay, C.R.; McGrath, S. High radiative forcing climate scenario relevance analyzed with a ten-million-member ensemble. Nat. Commun. 2024, 15, 8185. [Google Scholar] [CrossRef] [PubMed]
- Sieben, E.J.J. Zonal and azonal vegetation revisited: How is wetland vegetation distributed across different zonobiomes. Austral Ecol. 2019, 44, 449–460. [Google Scholar] [CrossRef]
- Taylor, J.R. An Introduction to Error Analysis. The Study of Uncertainties in Physical Measurements, 2nd ed.; University Science Books: Sausalito, CA, USA, 1997. [Google Scholar]
- Pulido-Velazquez, D.; Collados-Lara, A.J.; Pérez-Sánchez, J.; Segura-Méndez, F.J.; Senent-Aparicio, J. Climate change impacts on the streamflow in Spanish basins monitored under near-natural conditions. J. Hydrol. Reg. Stud. 2021, 38, 100937. [Google Scholar] [CrossRef]
- Cramer, W.; Guiot, J.; Fader, M.; Garrabou, J.; Gattuso, J.P.; Iglesias, A.; Lange, M.A.; Lionello, P.; Llasat, M.C.; Paz, S.; et al. Climate change and interconnected risks to sustainable development in the Mediterranean. Nat. Clim. Chang. 2018, 8, 972–980. [Google Scholar] [CrossRef]
- Hidalgo-Triana, N.; Solakis, A.; Casimiro-Soriguer, F.; Choe, H.; Navarro, T.; Pérez-Latorre, A.V.; Thorne, J.H. The high climate vulnerability of western Mediterranean forests. Sci. Total Environ. 2023, 895, 164983. [Google Scholar] [CrossRef]
- Li, G.; Huang, J.; Guo, H.; Du, S. Projecting species loss and turnover under climate change for 111 Chinese tree species. For. Ecol. Manag. 2020, 477, 118488. [Google Scholar] [CrossRef]
- Coops, N.C.; Waring, R.H. Estimating the vulnerability of fifteen tree species under changing climate in Northwest North America. Ecol. Modell. 2011, 222, 2119–2129. [Google Scholar] [CrossRef]
- Aubin, I.; Boisvert-Marsh, L.; Kebli, H.; McKenney, D.; Pedlar, J.; Lawrence, K.; Hogg, E.H.; Boulanger, Y.; Gauthier, S.; Ste-Marie, C. Tree vulnerability to climate change: Improving exposure-based assessments using traits as indicators of sensitivity. Ecosphere 2018, 9, e02108. [Google Scholar] [CrossRef]
- Gomes, V.H.F.; Vieira, I.C.G.; Salomão, R.P.; Steege, H. Amazonian tree species threatened by deforestation and climate change. Nat. Clim. Chang. 2019, 9, 547–553. [Google Scholar] [CrossRef]
- Huber, N.; Bugmann, H.; Cailleret, M.; Bircher, N.; Lafond, V. Stand-scale climate change impacts on forests over large areas: Transient responses and projection uncertainties. Ecol. Appl. 2021, 31, e02313. [Google Scholar] [CrossRef]
- Shi, S.; Liu, G.; Li, Z.; Ye, X. Elevation-dependent growth trends of forests as affected by climate warming in the southeastern Tibetan Plateau. For. Ecol. Manag. 2021, 498, 119551. [Google Scholar] [CrossRef]
- Gelabert, P.J.; Rodrigues, M.; Coll, L.; Vega-Garcia, C.; Ameztegui, A. Maximum tree height in European Mountains decreases above a climate-related elevation threshold. Commun. Earth. Environ. 2024, 5, 84. [Google Scholar] [CrossRef]
- Obojes, N.; Buscarini, S.; Meurer, A.K.; Tasser, E.; Oberhuber, W.; Mayr, S.; Tappeiner, U. Tree growth at the limits: The response of multiple conifers to opposing climatic constraints along an elevational gradient in the Alps. Front. For. Glob. Chang. 2024, 7, 1332941. [Google Scholar] [CrossRef]
- Comunidad de Madrid. Decreto 18/1992, de 26 de Marzo Por el Que se Aprueba el Catálogo Regional de Especies Amenazadas de Fauna y Flora Silvestres y se Crea la Categoría de Árboles Singulares. Available online: https://gestiona.comunidad.madrid/rlma_web/FichaNormativa.icm?ID=654 (accessed on 1 January 2025).
- Vizcaíno-Palomar, N.; González-Muñoz, N.; González-Martínez, S.C.; Alía, R.; Benito Garzón, M. Most southern Scots pine populations are locally adapted to drought for tree height growth. Forests 2019, 10, 555. [Google Scholar] [CrossRef]
- Rehfeldt, G.E.; Tchebakava, N.M.; Parfenova, Y.I.; Wykoff, W.R.; Kuzmina, N.A.; Milyutin, L.I. Intraspecific responses to climate in Pinus sylvestris. Glob. Change Biol. 2002, 8, 912–929. [Google Scholar] [CrossRef]
- Peguero-Pina, J.J.; Sisó, S.; Sancho-Knapik, D.; Díaz-Espejo, A.; Flexas, J.; Galmés, J.; Gil-Pelegrín, E. Leaf morphological and physiological adaptations of a deciduous oak (Quercus faginea Lam.) to the Mediterranean climate: A comparison with a closely related temperate species (Quercus robur L.). Tree Physiol. 2016, 36, 287–299. [Google Scholar] [CrossRef]
- Dyderski, M.K.; Paź, S.; Frelich, L.E.; Jagodziński, A.M. How much does climate change threaten European forest tree species distributions? Glob. Change Biol. 2018, 24, 1150–1163. [Google Scholar] [CrossRef]
- Hamrick, J.L. Response of forest trees to global environmental changes. For. Ecol. Manag. 2004, 197, 323–335. [Google Scholar] [CrossRef]
- Ogaya, R.; Peñuelas, J. Climate change effects in a Mediterranean forest following 21 consecutive years of experimental drought. Forests 2021, 12, 306. [Google Scholar] [CrossRef]
- Kuparinen, A.; Savolainen, O.; Schurr, F.M. Increased mortality can promote evolutionary adaptation of forest trees to climate change. For. Ecol. Manag. 2010, 259, 1003–1008. [Google Scholar] [CrossRef]
- Kremer, A.; Potts, B.M.; Delzon, S. Genetic divergence in forest trees: Understanding the consequences of climate change. Funct. Ecol. 2014, 28, 22–36. [Google Scholar] [CrossRef]
- Alberto, F.J.; Aitken, S.N.; Alía, R.; González-Martínez, S.C.; Hänninen, H.; Kremer, A.; Lefèvre, F.; Lenormand, T.; Yeaman, S.; Whetten, R.; et al. Potential for evolutionary responses to climate change—Evidence from tree populations. Glob. Change Biol. 2012, 19, 1645–1661. [Google Scholar] [CrossRef] [PubMed]
- Maxwell, C.J.; Scheller, R.M. Identifying habitat holdouts for high elevation tree species under climate change. Front. For. Glob. Chang. 2020, 2, 94. [Google Scholar] [CrossRef]
- Iverson, L.R.; McKenzie, D. Tree-species range shifts in a changing climate: Detecting, modeling, assisting. Landsc. Ecol. 2013, 28, 879–889. [Google Scholar] [CrossRef]
- Trisurat, Y.; Shrestha, R.P.; Kjelgren, R. Plant species vulnerability to climate change in Peninsular Thailand. Appl. Geogr. 2011, 31, 1106–1114. [Google Scholar] [CrossRef]
- Hansen, A.J.; Phillips, L.B. Which tree species and biome types are most vulnerable to climate change in the US Northern Rocky Mountains? For. Ecol. Manag. 2015, 338, 68–83. [Google Scholar] [CrossRef]
- Zhu, K.; Woodall, C.W.; Clark, J.S. Failure to migrate: Lack of tree range expansion in response to climate change. Glob. Change Biol. 2012, 18, 1042–1052. [Google Scholar] [CrossRef]
- Boisvert-Marsh, L.; Périé, C.; De Blois, S. Shifting with climate? Evidence for recent changes in tree species distribution at high latitudes. Ecosphere 2014, 5, 1–33. [Google Scholar] [CrossRef]
- Williams, M.I.; Dumroese, R.K. Preparing for climate change: Forestry and assisted migration. J. For. 2013, 111, 287–297. [Google Scholar] [CrossRef]
- Grace, J.; Berninger, F.; Nagy, L. Impacts of climate change on the tree line. Ann. Bot. 2002, 90, 537–544. [Google Scholar] [CrossRef]
- Loehle, C. Competitive displacement of trees in response to environmental change or introduction of exotics. Environ. Manag. 2003, 32, 106–115. [Google Scholar] [CrossRef] [PubMed]
- Doblas-Miranda, E.; Alonso, R.; Arnan, X.; Bermejo, V.; Brotons, L.; Heras, J.; Estiarte, M.; Hódar, J.A.; Llorens, P.; Lloret, F.; et al. A review of the combination among global change factors in forests, shrublands and pastures of the Mediterranean Region: Beyond drought effects. Glob. Planet. Chang. 2017, 148, 42–54. [Google Scholar] [CrossRef]
- Schueler, S.; Falk, W.; Koskela, J.; Lefèvre, F.; Bozzano, M.; Hubert, J.; Kraigher, H.; Longauer, R.; Olrik, D.C. Vulnerability of dynamic genetic conservation units of forest trees in Europe to climate change. Glob. Change Biol. 2013, 20, 1498–1511. [Google Scholar] [CrossRef] [PubMed]
- Lindner, M.; Garcia-Gonzalo, J.; Kolström, M.; Green, T.; Reguera, R.; Maroschek, M.; Seidl, R.; Lexer, M.J.; Netherer, S.; Schopf, A.; et al. Impacts of Climate Change on European Forests and Options for Adaptation; Report to the European Commission Directorate-General for Agriculture and Rural Development (AGRI-2007-G4-06); European Forest Institute; University of Natural Resources and Applied Life Sciences (Vienna); Institute of Silviculture; Institute of Forest Entomology; Forest Pathology and Forest Protection; INRA-UMR and Italian Academy of Forest Sciences: Joensuu, Finland, 2008. [Google Scholar]
- Leites, L.; Benito, M. Forest tree species adaptation to climate across biomes: Building on the legacy of ecological genetics to anticipate responses to climate change. Glob. Change Biol. 2023, 29, 4711–4730. [Google Scholar] [CrossRef]
- Alderotti, F.; Brunetti, C.; Marino, G.; Centritto, M.; Ferrini, F.; Giordano, C.; Tattini, M.; Moura, B.B.; Gori, A. Coordination of morpho-physiological and metabolic traits of Cistus incanus L. to overcome heatwave-associated summer drought: A two-year on-site field study. Front. Ecol. Evol. 2020, 8, 576296. [Google Scholar] [CrossRef]
- Mantova, M.; Herbette, S.; Cochard, H.; Torres-Ruiz, J.M. Hydraulic failure and tree mortality: From correlation to causation. Trends Plant Sci. 2022, 27, 335–345. [Google Scholar] [CrossRef]
- Gordo, O.; Sanz, J.J. Impact of climate change on plant phenology in Mediterranean ecosystems. Glob. Change Biol. 2010, 16, 1082–1106. [Google Scholar] [CrossRef]
- Meier, M.; Vitasse, Y.; Bugmann, H.; Bigler, C. Phenological shifts induced by climate change amplify drought for broad-leaved trees at low elevations in Switzerland. Agric. For. Meteorol. 2021, 307, 108485. [Google Scholar] [CrossRef]
- Knott, J.A.; Liang, L.; Dukes, J.S.; Swihart, R.K.; Fei, S. Phenological response to climate variation in a northern red oak plantation: Links to survival and productivity. Ecology 2023, 104, e3940. [Google Scholar] [CrossRef]
- Bertin, R.I. Plant phenology and distribution in relation to recent climate change. J. Torrey Bot. Soc. 2008, 135, 126–146. [Google Scholar] [CrossRef]
- Shaw, R.G.; Etterson, J.R. Rapid climate change and the rate of adaptation: Insight from experimental quantitative genetics. New Phytol. 2012, 195, 752–765. [Google Scholar] [CrossRef] [PubMed]
- Spiecker, H.; Hansen, J.; Klimo, E.; Skovsgaard, J.P.; Sterba, H.; von Teuffel, K. Norway Spruce Conversion—Options and Consequences; European Forest Institute Research Reports 18; Brill: Leiden, The Netherlands; Boston, MA, USA, 2004. [Google Scholar]
- Hof, A.R.; Dymond, C.C.; Mladenoff, D.J. Climate change mitigation through adaptation: The effectiveness of forest diversification by novel tree planting regimes. Ecosphere 2017, 8, e01981. [Google Scholar] [CrossRef]
- Xu, W.; Prescott, C.E. Can assisted migration mitigate climate-change impacts on forests? For. Ecol. Manag. 2024, 556, 121738. [Google Scholar] [CrossRef]
- Jandl, R.; Spathelf, P.; Bolte, A.; Prescott, C.E. Forest adaptation to climate change—Is non-management an option? Ann. For. Sci. 2019, 76, 48. [Google Scholar] [CrossRef]
- Buma, B.; Wessman, C.A. Forest resilience, climate change, and opportunities for adaptation: A specific case of a general problem. For. Ecol. Manag. 2013, 306, 216–225. [Google Scholar] [CrossRef]




| Species | Elevation (m) | Net Potential Productivity (g/m2/year Dry Matter) | Tree Cover (%) | Area | |
|---|---|---|---|---|---|
| Absolute (ha) | Relative (%) | ||||
| Acer monspessulanum | 847–1137 | 432–493 | 10.5 | 89 | 0.05 |
| Betula alba | 1293–1611 | 444–475 | 18.5 | 25 | 0.01 |
| Castanea sativa | 824–912 | 529–592 | 48.0 | 383 | 0.20 |
| Cedrus atlantica | 825–1156 | 449–537 | 12.2 | 28 | 0.02 |
| Cupressus sempervirens | 870–962 | 448–507 | 23.8 | 20 | 0.01 |
| Fagus sylvatica | 1314–1438 | 481–550 | 20.1 | 37 | 0.02 |
| Fraxinus angustifolia | 861–1080 | 450–495 | 44.2 | 14,600 | 7.71 |
| Hesperocyparis arizonica | 634–991 | 377–509 | 27.0 | 356 | 0.19 |
| Ilex aquifolium | 1375–1596 | 408–509 | 6.7 | 567 | 0.30 |
| Juniperus thurifera | 1126–1272 | 513–524 | 43.0 | 46 | 0.02 |
| Pinus halepensis | 621–703 | 361–390 | 63.7 | 5742 | 3.03 |
| Pinus nigra | 1047–1262 | 459–524 | 39.7 | 1608 | 0.85 |
| Pinus pinaster | 858–1115 | 472–521 | 43.7 | 11,388 | 6.02 |
| Pinus pinea | 651–785 | 396–483 | 38.3 | 11,367 | 6.01 |
| Pinus sylvestris | 1281–1581 | 418–517 | 68.0 | 22,112 | 11.68 |
| Pinus uncinata | 1653–1774 | 328–447 | 47.1 | 191 | 0.10 |
| Populus tremula | 667–1162 | 383–462 | 13.8 | 91 | 0.05 |
| Quercus faginea | 757–862 | 400–454 | 25.1 | 770 | 0.41 |
| Quercus petraea | 1344–1476 | 449–544 | 21.8 | 107 | 0.06 |
| Quercus pyrenaica | 1036–1240 | 468–515 | 58.3 | 20,853 | 11.02 |
| Quercus rotundifolia | 652–871 | 392–467 | 52.2 | 97,797 | 51.67 |
| Quercus suber | 775–934 | 558–594 | 43.2 | 443 | 0.23 |
| Robinia pseudoacacia | 658–791 | 375–410 | 14.5 | 36 | 0.02 |
| Sambucus nigra | 860–1106 | 457–468 | 6.6 | 5 | 0.00 |
| Sorbus aucuparia | 1404–1620 | 407–545 | 5.2 | 349 | 0.18 |
| Taxus baccata | 1496–1611 | 409–444 | 5.0 | 63 | 0.03 |
| Ulmus minor | 613–729 | 373–441 | 18.7 | 196 | 0.10 |
| Species | Endangered | Vulnerable | ||||
|---|---|---|---|---|---|---|
| Scenario 2 Current | Scenario 4 * 2100-Expected | Scenario 3 2100-RCP8.5 | Scenario 2 Current | Scenario 4 * 2100-Expected | Scenario 3 2100-RCP8.5 | |
| Acer monspessulanum | 10.8% | 27.1% | 48.1% | 46.7% | 68.4% | 96.2% |
| Betula alba | 12.8% | 23.2% | 36.5% | 29.2% | 32.4% | 36.5% |
| Castanea sativa | 57.1% | 68.9% | 83.9% | 64.6% | 76.4% | 91.5% |
| Cedrus atlantica | 12.3% | 30.5% | 53.9% | 53.5% | 61.1% | 70.9% |
| Cupressus sempervirens | 17.0% | 20.6% | 25.2% | 23.5% | 57.0% | 100.0% |
| Fagus sylvatica | 75.5% | 80.9% | 87.9% | 75.5% | 84.9% | 97.0% |
| Fraxinus angustifolia | 9.6% | 37.4% | 73.0% | 68.6% | 81.4% | 97.8% |
| Hesperocyparis arizonica | 23.9% | 41.0% | 62.8% | 60.2% | 64.0% | 68.9% |
| Ilex aquifolium | 1.1% | 0.6% | 0.0% | 39.4% | 42.2% | 45.7% |
| Juniperus thurifera | 99.4% | 99.7% | 100.0% | 99.4% | 99.7% | 100.0% |
| Pinus halepensis | 8.4% | 48.2% | 99.2% | 72.5% | 84.5% | 100.0% |
| Pinus nigra | 0.6% | 9.7% | 21.4% | 33.2% | 54.2% | 81.1% |
| Pinus pinaster | 6.9% | 30.2% | 60.1% | 66.1% | 79.0% | 95.5% |
| Pinus pinea | 2.8% | 17.0% | 35.1% | 39.0% | 61.0% | 89.1% |
| Pinus sylvestris | 0.0% | 0.4% | 0.8% | 30.1% | 27.4% | 24.0% |
| Pinus uncinata | 2.6% | 1.5% | 0.0% | 5.9% | 3.7% | 0.8% |
| Populus tremula | 0.0% | 1.5% | 3.4% | 67.0% | 72.3% | 79.0% |
| Quercus faginea | 20.7% | 47.8% | 82.6% | 55.7% | 73.4% | 96.2% |
| Quercus petraea | 15.3% | 15.3% | 15.3% | 48.2% | 53.9% | 61.2% |
| Quercus pyrenaica | 1.9% | 21.4% | 46.4% | 52.6% | 67.7% | 87.0% |
| Quercus rotundifolia | 0.4% | 12.6% | 28.3% | 51.8% | 70.6% | 94.8% |
| Quercus suber | 21.8% | 56.1% | 100.0% | 79.3% | 88.4% | 100.0% |
| Robinia pseudoacacia | 18.7% | 52.2% | 95.2% | 82.6% | 90.2% | 100.0% |
| Sambucus nigra | 37.2% | 64.7% | 100.0% | 100.0% | 100.0% | 100.0% |
| Sorbus aucuparia | 0.0% | 0.0% | 0.0% | 33.2% | 33.2% | 33.3% |
| Taxus baccata | 0.0% | 2.3% | 5.2% | 82.8% | 74.6% | 64.2% |
| Ulmus minor | 10.1% | 39.2% | 76.6% | 59.9% | 75.0% | 94.4% |
| Weighted mean | 2.4% | 16.9% | 35.4% | 51.2% | 66.1% | 85.2% |
| Null 0% | Very low 0.1–20.0% | Low 20.1–40.0% | Medium 40.1–60.0% | High 60.1–80.0% | Very high 80.1–100% | |
| Endangerment | Vulnerability | ||||||
|---|---|---|---|---|---|---|---|
| Scenario 2 | Scenario 4 | Scenario 3 | Scenario 2 | Scenario 4 | Scenario 3 | ||
| Elevation | p-value | 0.7054 | 0.0348 | 0.0006 | 0.0287 | 0.0002 | 0.0000 |
| r | −0.0076 | −0.4077 | −0.6149 | −0.4211 | −0.6588 | −0.7895 | |
| R2 | 0.5817 | 16.6181 | 37.8118 | 17.7356 | 43.3957 | 62.3277 | |
| Scenario 2 | Scenario 3 | ||||
|---|---|---|---|---|---|
| Endangerment | Vulnerability | Endangerment | Vulnerability | ||
| Net potential productivity | p-value | 0.0438 | 0.9899 | 0.0278 | 0.0003 |
| r | 0.3910 | −0.0026 | −0.4234 | −0.6378 | |
| R2 | 15.2845 | 0.0007 | 17.9232 | 40.6792 | |
Disclaimer/Publisher’s Note: The statements, opinions and data contained in all publications are solely those of the individual author(s) and contributor(s) and not of MDPI and/or the editor(s). MDPI and/or the editor(s) disclaim responsibility for any injury to people or property resulting from any ideas, methods, instructions or products referred to in the content. |
© 2025 by the author. Licensee MDPI, Basel, Switzerland. This article is an open access article distributed under the terms and conditions of the Creative Commons Attribution (CC BY) license (https://creativecommons.org/licenses/by/4.0/).
Share and Cite
Enríquez-de-Salamanca, Á. Expected Impacts on Mediterranean Forest Species Under Climate Change. Climate 2025, 13, 41. https://doi.org/10.3390/cli13020041
Enríquez-de-Salamanca Á. Expected Impacts on Mediterranean Forest Species Under Climate Change. Climate. 2025; 13(2):41. https://doi.org/10.3390/cli13020041
Chicago/Turabian StyleEnríquez-de-Salamanca, Álvaro. 2025. "Expected Impacts on Mediterranean Forest Species Under Climate Change" Climate 13, no. 2: 41. https://doi.org/10.3390/cli13020041
APA StyleEnríquez-de-Salamanca, Á. (2025). Expected Impacts on Mediterranean Forest Species Under Climate Change. Climate, 13(2), 41. https://doi.org/10.3390/cli13020041

