Abstract
A novel actuator disk model (ADM) coupled with lifting-line theory is proposed in this paper. Several virtual planform blades are placed on a disk plane with a constant azimuthal interval, and the lifting-line theory is applied to each blade to predict the effective angle of attack. The proposed model considers the local lift and drag forces acting on disk surface cells by interpolating the predicted effective angle of attack with various azimuth angles to the actuator disk plane; therefore, the proposed model considers individual blade tip vortices without tip loss functions. Experimental data for hover and forward flight rotors are used to validate the proposed model. For hovering flight, sectional thrust based on collective pitch angles predicted by the modified ADM was similar to that obtained in the experiments. For forward flight, the inflow above the rotor estimated by the proposed ADM was similar to that obtained in the experiments and by using other numerical methods. Thus, the developed ADM can be used for rotor performance analysis under the main flight conditions of V/STOL.
1. Introduction
Various numerical methods have been developed and employed for analyzing the performance of the rotating blades in helicopters, drones, and urban air mobility (UAM). Blade element theory (BET), coupled with inflow models, is widely used as a representative low-fidelity approach that guarantees reliable accuracy for designing rotating blades. The computational fluid dynamics (CFD) approach [1] has gained considerable research attention as a high-fidelity solver because of the development of computing technology.
BET requires inflow models for analyzing rotor performance to calculate the local effective angle of attack. However, BET with inflow models does not consider the interaction between the rotor and the fuselage. Further, it cannot provide detailed flow information regarding blade tip vortices [2]. Meanwhile, the CFD approach, which considers rotor geometry in the computational domain, provides the overall flow information in the flow field. The generation and dissipation of individual tip vortices and their interactions can be considered in the flow field; further, the induced velocity can be considered automatically in the flow field without any models or assumptions. Although it is possible to predict the flow field around the rotor blades accurately and analyze the performance of the rotor blades through CFD, it is difficult to apply CFD in the design procedure of the rotor because such a design approach requires tremendous computational resources.
Some actuator models can perform calculations faster than CFD and provide more accurate results than those with BET. These actuator models do not require theoretically induced flow models (such as in BET) because flow information is obtained from the CFD results. In an actuator disk model (ADM) [3,4], rotor effects are considered in the computational domain by applying the averaged momentum source, i.e., thrust force, to the area where the rotor blade passes through [5].
In contrast, in an actuator line model (ALM) [6,7,8] and actuator surface model (ASM) [9,10], an unsteady momentum source is considered at the exact location of the virtual rotor blades on an azimuthal location. The ALM and ASM consider the generation and dissipation of inboard and tip vortexes in the computational domain, respectively. The induced velocity generated by the inboard and tip vortexes is considered without any specific effort, and the induced angles of attack of the ALM and ASM are calculated from the velocity field unlike that in the inflow model or the ADM.
The ADM has an inherent weakness in that it assumes a single plate generates the thrust without considering the behavior of individual blade vortex filaments; however, there is an advantage in that a large amount of calculations can be performed in a short time. A steady-state assumption can be applied in the flow field because rotor blades are considered as an average value for time (azimuth angle). The ADM predicts the converged flow field and thrust force of the hovering rotor that shows a negligible change with the azimuth angle under the steady state. The ASM and ALM require massive calculations to obtain the converged flow field and thrust force of the hovering rotor because ASM and ALM need to predict the development of the individual blade vortex filaments under the unsteady state [11,12,13].
The ADM generates a pressure difference between the upper and lower surfaces of the disk according to the thrust force generated by the rotor blades. Vortex sheets are formed at the end of the disk because of the pressure difference. The weak strength of the vortex sheets can be attributed to the thrust force being averaged onto a disk surface rather than on a plan form. Strong vortex filaments can be expected when the thrust is applied on a blade plan form. A stronger pressure difference is created in a blade planform that has a smaller area than the disk. Thus, strong vortex filaments can be expected from the ASM and ALM. The strength and location of vortex filaments or sheets have a considerable influence on the tip area that determines the thrust of the rotor blade [14,15]. Consequently, studies on the ADM have been performed to develop appropriate corrections. The ADM focuses on tip loss factors or functions that adjust the thrust distributions on the rotor blade because it has an inherent limitation in that it cannot deal with the tip vortex.
Sriti [16] demonstrated the differences in the performance analysis of wind turbines based on the tip loss correction methods. Branlard and Gaunaa [17] suggested tip loss correction considering the wake effect. Zhong et al. [18] presented a modified tip loss function for wind turbines to predict the sectional force distributions and velocity profiles of axial velocity. Although various tip loss correction methods coupled with ADM have been developed, tip loss corrections are directly related to the total thrust force. The distributions of the lift on the blade considering the blade plan form are ignored because the ADM cannot consider the blade plan form shapes. The validity of the flow field near the rotor and its surrounding flow field cannot be guaranteed even if an accurate thrust value is predicted by the ADM. The local field relies considerably on the lift distributions of rotor blades. Therefore, a novel method, in which mutual interference effects such as the multirotor or fuselage cannot be ignored and the disturbance of the flow field caused by the interference effect can be considered appropriately in the ADM, is required.
To this end, a novel ADM combining the lifting-line theory instead of the tip loss functions is proposed in this paper. The local induced velocity, effective angle of attack, and thrust at each blade section is calculated based on the lifting-line theory. The lifting-line theory is applied simultaneously to several blades with a constant azimuthal interval. For example, the constant azimuth interval of 30° is applied when the lifting-line theory is applied to 12 blades; the local induced and effective angles are predicted by the lifting-line theory. Then, the calculated induced and effective angles are interpolated on the actuator disk surface for determining the local thrust force on the actuator disk surface. While maintaining the steady-state assumption, which is the strength of the ADM, the blade planform can be considered in the ADM. Lift distributions according to the azimuth angles can also be considered in the ADM.
The newly developed ADM is named the dual actuator disk method (DADM) because an independent lifting-line theory is employed inside the algorithm of the ADM. The performance of the rotor under various collective pitch conditions is analyzed using the proposed ADM and compared with the experimental results. The inflow results are obtained by the ADM under forward flight conditions and compared with the results of the experiments and other numerical solvers. The results confirm that the DADM can analyze the performance of the rotor and its surrounding flow field.
2. Methods
2.1. Structure of the Numerical Method
The present DADM was implemented in the OpenFOAM platform, a computational fluid dynamics (CFD) tool whose source is open to the public. Figure 1 shows the structure of the numerical code suggested in the present study implemented in OpenFOAM. The module, named the actuator model, determines the magnitude of the source terms of the momentum conservation equations according to the thrust force generated by the rotor. The source terms were applied to the PIMPLE loop, as shown in Figure 1. The DADM module was combined with a RANS-based aerodynamic solver among several solvers provided by OpenFOAM. In particular, the present study uses a pressure-based compressible solver based on PIMPLE in OpenFOAM. The PIMPLE algorithm was used for the transient flow analysis. This algorithm combined the pressure implicit with the splitting of operators (PISO) algorithm with the semi-implicit method for the pressure-linked equations (SIMPLE) algorithm. The SIMPLE algorithm was used to evaluate the pressure on a staggered grid based on the velocity components by employing an iterative algorithm coupled with governing equations [19]. The PISO algorithm was used to revise the additional pressure correction and rectify the velocity and pressure [20,21].
Figure 1.
Structure of the dual actuator disk method module and aerodynamic solver.
The pressure-based compressible solver was based on the PIMPLE algorithm because it is more robust than other transient pressure-based compressible algorithms. Furthermore, the flux-splitting technique proposed by Kim and Gill [22] was applied in this solver to calculate the flux and predict the discontinuous flow phenomena more accurately. Kraposhin et al. [23] introduced a method to apply a central flux-splitting scheme to a pressure-based algorithm.
2.2. Actuator Model
Local aerodynamic coefficients were supplied to use the BET, which calculates the time-averaged thrust of the rotor cell and substitutes the averaging thrust value into the momentum equation using a source term to account for the rotor effects in the flow solver. Computational cells in the rotor region, in which the source terms are embedded, were selected as the disk area (e.g., the rotor shape) to be calculated. The virtual rotor occupied the same disk region as the real rotor, and therefore this actuator model is called the ADM. In this study, the source terms were calculated by the BET using an improved tip loss correction technique. A separate class object was created, and the procedure required for ADM was performed in the instance of this class object to implement ADM; further details regarding this process are reported in [11].
The embedded source term was set based on the thrust of cells of the virtual rotor disk as computed by the BET. Thus, the source term induced a pressure jump in the calculation flow. The ordinary compressible momentum equation was modified to combine the rotor effects in the compressible momentum equation [22] as
where , , , , and represent the velocity vector, flux on cell faces, viscosity, density, and pressure value, respectively; and
where the source term is added to the compressible momentum equation, and and denote the discretized thrust vector and cell volume, respectively.
The predicted local effective angle of attack, Reynolds number, and local Mach number were used to determine the lift and drag coefficients at each actuator disk cell. The published lookup table of airfoils for the aerodynamic coefficients can be obtained from numerical simulations or experiments [12]. The local thrust (dT) at the actuator disk cell was calculated using
The sectional lift (dL) and drag (dD) forces in Equation (3) were obtained from the BET based on the local effective angle of attack, Reynolds number, and local Mach number. The calculated local thrust was divided by the cell volume () as shown in Equation (2). V in Equation (3) represents the sum of the rotational velocity of the rotor and the velocity obtained from the CFD. The aerodynamic force coefficients for each cell–disk area, dA, ∆c, and ∆r, denote the area and the chordwise and spanwise variations in the discretized cell occupied by the rotor, respectively, as written in Equation (4).
The momentum equation of the aerodynamic module requires the source term () in Equation (1) at every discrete time increment. The actuator model proceeded in tandem with the aerodynamic module through a time-marching approach.
2.3. DADM
The DADM is a coupled method with an actuator disk and surface. The actuator surface method explains the blade planform and the lift distribution on the blade. The inboard and tip vortex strength can be estimated to perform the lifting-line theory because of the virtual blade, which has the planform shape. The tip loss functions prescribe the inflow according to the thrust force generated by the single rotor. However, the lifting-line theory predicts the accurate lift distribution along the blade span. The strength of several vortex filaments developed from the aft of the blade can be estimated from the change in the sectional lifting force along the blade to treat various types of mesh cells, such as tetrahedral, hexahedral, or polyhedral meshes.
Figure 2 shows virtual blades, which have the planform, on the rotor disk area. Virtual blades occupy the space according to the planform of the actual blades in the CFD domain. Similar to the actuator surface method, the distribution of chord length and swept-back angle can be considered. However, the blade thickness is treated as several layers of cells. Thus, the thickness of the blade is indirectly considered in the aerodynamic force table, mainly via drag.
Figure 2.
Virtual blades and their trailed vortex filaments with various azimuthal angles (Ψ).
In contrast to the ADM technique, which assumes a single disk, multiple virtual blades are employed in the alternative approach. For example, 10 virtual blades are placed with a constant azimuth interval of 36. Here, the lifting-line theory is applied to each blade. For the relative positions and aerodynamic interactions of blades, the lifting-line theory is applied to each blade independently and simultaneously.
The present DADM employs the lifting-line theory to calculate the effective angle of attack on the virtual blades. The calculated rotor effect is considered as the source term of Equation (1), similar to the ADM. The thrust vector at the disk cells is obtained by interpolating the values of each virtual blade.
Figure 3 shows the schematic of the lifting line applied for use in DADM. The Γ terms in Figure 3 indicate the bound circulation of virtual blades calculated based on the Kutta–Joukowski theorem. Γ denotes the sectional bound circulations divided in the spanwise and chordwise directions of the virtual blades; each Γ term is expressed as Γi,j. The subscripts i and j represent panel indices in the chordwise and spanwise directions, respectively. The symbol dΓ denotes the strength of the shed vortex caused by bound circulation variations in the spanwise direction. h indicates the half of the spanwise length of the panel; ri,i and ri,di represent the spanwise lengths, as indicated by the blue lines in Figure 3. The distance between each panel center is represented by ri,i, and ri,di denotes the distance from the ith panel center to the di point, which indicates the right boundary of the ith panel. Moreover, li,(i,j) indicates the distance between the center of panels i and j and the 1/4th chord line in the ith panel.
Figure 3.
The main concept of lifting-line theory.
According to the lifting-line theory, the velocity induced at the 1/4th chord position in the ith panel (red dashed box) caused by the circulation of blades is given by
The symbol denotes the integral factor.
Because the induced velocity calculated by the blade lift was derived from the lifting-line theory using and , the induced velocity obtained using the entire Γ and dΓ of the virtual blade is given by
There are three terms on the right-hand side of Equation (6). The first term is the velocity component of the inflow obtained at the 1/4th chord line. The 1/4th chord line is present in each virtual blade to obtain the value of the first term from the CFD results.
The second term denotes the induced velocity component at the 1/4th chord line because of the bound circulation of the specified virtual blade. The velocity at the 1/4th chord line induced by the shed vortex is denoted by the third term. Hence, the induced velocity calculated using Equation (6) was used to obtain the effective angle of attack in the ADM. The sign of each term was calculated as a negative value when it was in the same direction as the inflow.
When applying the lifting-line theory, several iterations are needed to determine the converged local thrust (), which interacts with the strength of the vortex filaments (Γs) at every time step of the aerodynamic module, named the PIMPLE loop as shown in Figure 1. The Γs value was calculated according to the lift distribution. The lift distribution was calculated based on the induced velocity and effective angle of attack. Since the induced velocity is determined by the strengths of the vortex filaments, the lift interacts with the intensity of the vortex filament. A strategy to improve the convergence of the lift distribution was applied. The converged lift distribution at a given time step was used as an initial condition for the next time step for each azimuth angle. Even in forward flight conditions, a converged solution could be obtained with only 20–30 iterations.
The vortex filaments had a helical shape due to the rotor inflow and rotational motion. Then, the vortex filaments were dissipated after several revolutions by viscous of air. This means that the strength of vortex filaments varies over time. However, it requires enormous resources to predict the trajectory and strength of vortex filaments generated from the several virtual blades. Furthermore, the present DADM was combined with CFD under the time-marching approach. In addition, the vortex filaments were not a perfect circular spiral due to the contraction of the wake. It was also difficult to succinctly derive the induced velocity, as shown in Equation (4).
Consequently, the present study assumes that vortex filaments are generated in a straight line, as shown in Figure 2. Equations (4) and (5) were also derived in the same context. As shown in Equation (4), the induced velocity was inversely proportional to the square of the distance traveled. Even at only 2 chord lengths, the induced velocity decreased rapidly. Additionally, the local induced velocity () was corrected by the induced velocity calculated in CFD (), as shown in Equation (5). Therefore, the present study suggests the straight vortex filaments and the validity of the present assumption will be demonstrated in hovering and forward flight helicopters.
3. Results and Discussion
Numerical simulations were performed for the hover and forward flight conditions to prove the accuracy and effectiveness of DADM as an aerodynamic solver for the helicopter rotor. The suggested method was compared with the experimental data and ADM with the tip loss function. The appropriate number of virtual blades were evaluated before proving the improved accuracy and effectiveness of the present method.
3.1. Number of Virtual Blades
As illustrated in Figure 1, DADM requires virtual blades to apply the lifting-line theory. The solution of DADM becomes closer to that of ASM with an increase in the number of applied blades. For hovering flight, the consistent lift force distribution in the span direction can be expected regardless of the azimuth. Therefore, it is possible to extrapolate the local effective angle of attack over the entire rotor disk by applying the lifting-line theory using only one blade. There is a large difference in the lift distributions along the blade spanwise direction based on the azimuth angles of the blade in forward flight. Consequently, the number of virtual blades can be used to determine the accuracy of the DADM.
The inflow ratio was predicted in this study using various virtual blades. The predicted inflow ratios were compared against the results of experimental and other numerical simulations. The experiment performed by Elliott et al. [24] was used as a reference. Elliott et al. [24] investigated the inflow above a rotor at various advance ratios and blade planforms experimentally. The experimental data [24] have been widely used to validate various numerical simulations, and therefore, they have the advantage of evaluating the accuracy of various analysis techniques. A rotor with a rectangular planform and radius of 0.86 m was selected; the rotor comprised four blades with a blade chord of 0.0636 m and a linear twist angle of –13°. The root cut ratio of the rotor was 0.24 and the shaft angle was 3° in the nose-down direction; the blade aspect ratio was 13 and the NACA0012 airfoil was employed at the blade cross-section. During the wind tunnel tests [24], the overall experimental data, including the thrust coefficient of the rotor and inflow measurements at the upper area of the rotor (where the measuring device is installed), were generated. In this study, the selected calculation conditions were and .
Cyclic pitches were required as a function of the azimuthal position yielded by a trim procedure for the thrust and moments at the rotor hub to analyze the forward flight rotor. The trim convergence criteria were set to 1% for the difference in the thrust between the specified and calculated values and 10–5 for the rolling and pitching moment coefficients at the rotor hub. θ0.75R = 7.1827°, θ1c = −1.864°, and θ1s = 2.681° were obtained through the trim analysis. The number of computational cells was 3.325 million.
Figure 4 shows the inflow ratio over the rotor disk surface with various numbers of virtual blades. The applied numbers of virtual blades were 4, 8, 13, 16, and 20, respectively. Figure 4 shows that the consistent solution of DADM can be expedited using more than 12 blades. The values and locations of the maximum and minimum inflow are identical for 12, 16, and 20 blades. A difference in the inflow distributions can be observed according to the applied numbers of blades; however, the regions where the maximum and minimum values are predicted exactly coincide with the 12 blades’ result even if only 4 blades are used. The RANS solver for ADM predicts the global inflow induced by the lifting disk that generates the pressure difference between the upper and lower surface of the actuator disk. A strong tip vortex can be generated at each tip of the lifting disk because of the pressure difference.
Figure 4.
Inflow ratio with various numbers of virtual blades: (a) 4, (b) 8, (c) 12, (d) 16, and (e) 20.
Although the four blades were not sufficient to cover the entire azimuthal angles to predict the local inflow; the lift distributions of each blade and the inboard and tip vortexes were predicted accurately according to the total thrust force. The local inflow induced by the Biot–Savart law was provided accurately compared to the tip loss function relying only on rotor thrust. The lift distribution contributed as a source term to the momentum conservation of the RANS-based solver. In the end, because of the repetitive interaction between the lifting-line theory and the RANS solver, realistic inflow could be predicted even when four blades were applied.
Sectional inflow ratios are plotted in Figure 5 and Figure 6 for detailed comparisons of the effect of the number of virtual blades. An azimuth angle that is the same as the direction of the forward flight is referred to as the longitudinal direction (ψ = 0° and 180°). An axis passing through 90° and 270° in azimuth angle which is normal to the forward flight is called lateral direction. The inflow ratio is extracted at the azimuth angle of 90° and 240° in Figure 5. Further, the inflow ratio is measured at the azimuth angle of 0° and 180° in Figure 6. Figure 4 shows that identical inflow distribution can be confirmed in Figure 5 and Figure 6, except for the four-blade case. In Figure 5 and Figure 6, which are more quantitatively compared, there is no difficulty in predicting the inflow if the number of virtual blades is eight or more. Even if only four are used, DADM can predict inflow, except at the hub area (−0.2 < r/R < 0.2).
Figure 5.
Lateral inflow distributions; Experiment [24].
Figure 6.
Longitudinal inflow distribution; Experiment [24].
Since the number of computational cells for DADM is less than the RANS-based CFD (full CFD) solver, the computational resources of the DADM are negligible compared to those required by RANS-based CFD. In order to consider the boundary layer on the blade surfaces for the full CFD, the height of the first cell should be small enough. This requires a small time step for the aerodynamic module. On the other hand, DADM has no walls to describe the boundary layer. In addition, using 20 or more virtual blades is not a computational burden because the induced velocity is not numerically but mathematically derived.
However, too many virtual blades cause an overlapping problem near the rotor hub area. If the vortex filaments developed from the first virtual blade in the hub area are placed on 1/4 of the second virtual blade, it causes a singular problem. To avoid the singular problem, special strategies are required when predicting inflow in areas where virtual blades overlapped. The easiest solution is optimizing the number of blades in order to not overlap with each other. To this end, 12 blades were used in hovering and forward flight conditions.
3.2. Hover Flight Rotor
The proposed DADM was validated for a single hovering rotor by Caradonna and Tung [25]. Their experimental results [25] have been widely used to validate simulation methods for hover rotor flight. The rectangular two-blade rotor with a radius of 2.286 m was tested at the hover test facility of the US Army Aeromechanics Laboratory. The blades used a NACA0012 profile and were untwisted and untapered. The aspect ratio of the blade was 6. The hovering conditions were selected with a collective pitch of θ = 5°, 8°, and 12° and a maximum blade tip speed of Mtip = 0.439. The collective pitch of the straight blade without twist angle was performed at 5, 8, and 12°, respectively. The Mach number at the blade tip was 0.439. The k-ω SST turbulence model was employed, and the standard atmospheric conditions were used as the air properties.
The computational domain shown in Figure 7a was generated as a cylindrical domain using hexahedral meshes, wherein the vertical and spanwise boundaries were set at 5R. The computational domain had approximately 1.63 M cells, as shown in Figure 7b. The rotor disk was located 5R above the bottom boundary. The total pressure and temperature boundary conditions were assigned to the top, side, and bottom boundaries. The “pressureInletOutletVelocity” boundary condition included in OpenFOAM was assigned for the velocity boundary. This boundary condition acted as a zero-gradient condition applied for the outflow (as defined by the flux). For the inflow, the velocity was obtained from the patch-face normal component of the internal cell value [19].
Figure 7.
Computation domain and mesh for hover flight analysis: (a) Computational domain and (b) Computational mesh around the rotor region.
Figure 8 presents a comparison between the results for the spanwise values of this rotor based on the collective pitch. The computational results obtained using the suggested method (DADM) were compared with those obtained from the legacy actuator disk model (Legacy ADM) and experiments; in this study, legacy ADM indicates the ADM with Prandtl’s tip loss function. The present results are in good agreement with the experimental data for every collective pitch; moreover, sectional values are almost the same at the tip region. is defined by the normal force coefficient () and Mach number ( at the spanwise position. However, the overestimation of the normal force obtained via the legacy method appeared at the blade tip compared to the experimental value; this was more evident when the collective angle was small. This problem of the legacy method was not observed in the proposed method. The tip loss function roughly estimates the thrust distribution as the function of inflow and radial potions. Meanwhile, the lifting-line theory can predict the intensity of the tip vortex and inboard vortex sheet based on the lift distribution along the blade. By incorporating the induced velocity distribution resulting from these vortices, whose strengths are determined, into the BET, it becomes feasible to simulate the lift force distribution of the rotor blades accurately. This enables the realistic representation of the thrust generated by the blades. Hence, the lift distribution obtained through lifting line theory closely aligns with the experimental results, not only in the tip region but also within the blade, specifically where the ratio of radial distance to blade radius (r/R) lies between 0.6 and 0.8.
Figure 8.
Sectional normal force results according to collective pitch; Experiment [25].
Figure 9 shows the inflow around the rotor disk at different collective pitches, and it can be seen that the inflow strength increases with the thrust of the rotor blade, which confirms that the rotor effect calculated by the DADM was considered properly in CFD. The proposed method demonstrated a consistent distribution of the normal force according to changes in the collective pitch. In addition, the proposed method is more suitable for rotor performance analysis compared to the legacy method during hover flight.
Figure 9.
Downwash direction velocity field (Uz) according to collective pitch: (a) θ = 5°, (b) θ = 8° and (c) θ = 12°.
3.3. Forward Flight Rotor
The rotor flow fields differed in the forward flight according to the advanced velocity and azimuthal location of the rotor. Elliott et al. [24] experimentally investigated the velocity above a rotor at various advance ratios and blade planforms with fuselage. The same condition and rotor were examined with the simulation conditions to define the number of blades applied in the DADM. The analysis results obtained using DADM were compared with those from the experiments [24] and other numerical studies [26,27].
The computational domain has approximately 3.33 M cells. The shape of the overall domain is 11.6R in the front of the fuselage and 11.6R in the rear of the fuselage. The size of the face when the inlet in front of the fuselage is 5.8R × 5.8R with rectangular type. The “zeroGradient” pressure and temperature boundary conditions were assigned to the forward inlet and “fixedValue” was applied to the rest boundaries. The “inletOutlet” boundary condition included in OpenFOAM was assigned for the velocity boundary. This boundary condition acted as a “zeroGradient” condition applied for the outflow (as defined by the flux) and “fixedValue” condition applied for the inflow.
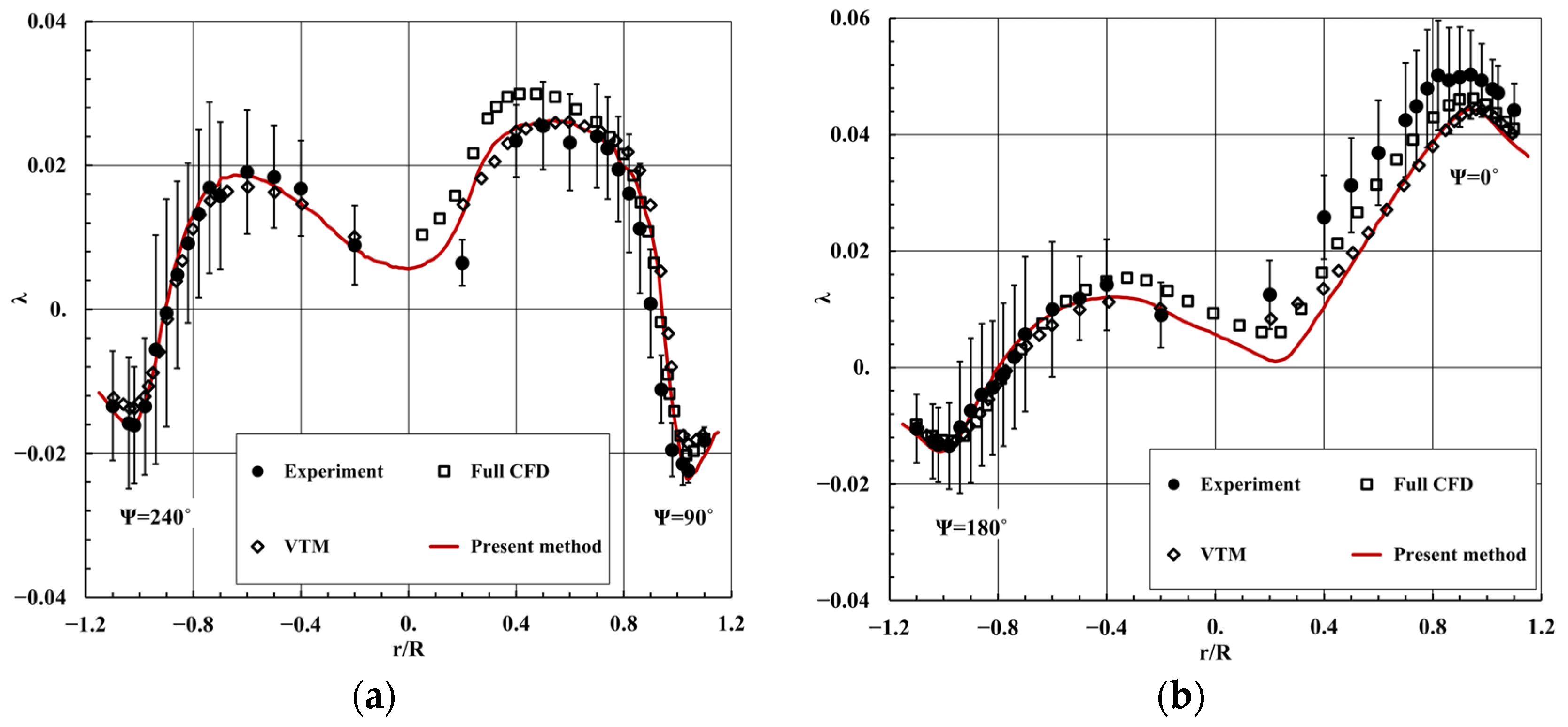
Figure 10 shows the time-averaged inflow results at the location corresponding to 1.15th chord length (3 inches) above the rotor disk. The inflow was normalized to the blade tip velocity; the inflow distributions of the proposed method were in good agreement with those of other numerical methods and experiments in the longitudinal and lateral directions. The overall comparison between the advancing and retreating regions of the rotor demonstrated good agreement with the experimental data. Overall, almost all computation results were within the experimental error bounds. The phenomenon of upwash on the blade tip at Ψ = 180° was well predicted by the DADM. The strong downwash distribution estimated at Ψ = 0° by the DADM was in good agreement with the experimental and other numerical data.
Figure 10.
Inflow comparisons at longitudinal and lateral directions for the forward flight rotor; (a) Lateral inflow distributions and (b) Longitudinal inflow distribution; Experiment [24], Full CFD [26] and VTM [27].
Figure 10 illustrates the pressure distributions of the rotor disk and fuselage. The low-pressure regions are evident at the tip of the advancing and retreating sides. These low-pressure regions can be attributed to the strong vortices generated by the interaction of thrust at the tip of rotor blades and the freestream. That is, DADM estimated reasonable results for the forward flight rotor, which was affected by the wake of the rotor and freestream interaction. Thus, DADM can accurately predict the flow field around forward flight rotors because it reasonably predicts the normal force distribution in the spanwise direction.
These analyses confirm that DADM can predict the inflow around the rotor and fuselage induced by forward flight rotors relatively accurately compared to that using experiments and other numerical analyses. This implies that the proposed method can effectively predict the normal force of rotor blades; however, the DADM predicts the influence of the flow field because of the blade tip vortex wake as it can only analyze the rotor in a steady state similar to the legacy ADM.
Figure 11 illustrates the pressure of the virtual rotor disk and fuselage. Figure 12 shows the Q-criterion. Both results were obtained using the present DADM. The present method was coupled with the RANS-based CFD solver. The interpolated thrust force calculated by the several virtual blades using the lifting-line theory was applied to the CFD solver. The lifting-line theory plays an important role in determining the local inflow [9]. Meanwhile, the lifting force generated the difference in pressure between the lower and upper surfaces of the rotor disk. The pressure difference created strong tip vortexes at the advancing and retreating sides, as can be observed in Figure 12. Although the rotor wake including the strong tip vortexes was averaged due to the rotor disk method rather than the actual blades, the effect of the rotor wake called the global inflow [9] on the flow field of CFD was considered.
Figure 11.
Pressure distribution on the rotor and fuselage for the forward flight rotor and fuselage.
Figure 12.
Q-criterion of the forward flight rotor and fuselage.
4. Conclusions
A DADM and an ADM with a tip loss correction technique based on previous studies [11,12] were developed in this study. Further, the rotor was analyzed, and the applicability and accuracy of the proposed method in hover and forward flights were validated. Accordingly, the sectional thrust of the blade and the flow fields of helicopter rotors during hover and forward flights were validated against the available experimental and other numerical data. Performance analysis was performed on the hovering rotor using the proposed DADM and compared with the experimental data. At the blade tip, a difference was observed between the results of the proposed and legacy methods. The legacy ADM estimated an abnormally high normal force at the blade tip, unlike the proposed method.
Therefore, the DADM provided reliable and consistent results in hovering rotor analysis, regardless of the collective pitch. On comparing the results obtained with other methods, the DADM achieved an identical fidelity level with a smaller number of cells in the forward flight rotor. The inflow results above the rotor obtained from the DADM were significantly consistent with the other numerical results. This implies that the helicopter rotor and the DADM provide the available steady-state flow field results. However, the suggested numerical model has some disadvantages because it can only analyze the rotor in the steady state. Therefore, DADM is considered a suitable alternative for helicopter rotor analysis in terms of efficiency and accuracy.
The following conclusions can be drawn from this study.
- The DADM yielded good results for the blade tip region without the tip loss factor or function.
- The DADM has the ability to consider the spanwise normal force distribution based on the lifting-line theory.
The usefulness of the proposed rotor analysis technique in the performance and flow field analyses of hover and forward flight rotors is confirmed with a low numerical cost. In the future, performance analysis will be performed for multi-rotor aircraft, such as UAM or AAM, using the advantages of the proposed method.
Author Contributions
Conceptualization, T.K.; methodology, T.K. and C.S.; validation, T.K. and C.S.; writing—original draft preparation, T.K.; writing—review and editing, C.S.; visualization, T.K. and C.S.; funding acquisition, T.K. and C.S. All authors have read and agreed to the published version of the manuscript.
Funding
National Research Foundation of Korea[2020R1G1A1099616]; National Research Foundation of Korea[2022R1G1A1012163].
Data Availability Statement
The data presented in this study are available on request from the corresponding author.
Conflicts of Interest
The authors declare no conflict of interest.
References
- Perdolt, D.; Thiele, M.; Milz, D.; May, M.; Kuchar, R.; Hornung, M. Comparison of Multi-Fidelity Rotor Analysis Tools for Transitional and Low Speed Flight Regimes; Deutsche Gesellschaft für Luft- und Raumfahrt (DGLR): Gauting, Germany, 2021; pp. 1–13. [Google Scholar]
- Leishman, G.J. Principles of Helicopter Aerodynamics, 2nd ed.; Cambridge University Press: New York, NY, USA, 2006; Chapter 2. [Google Scholar]
- Boyd, D.D., Jr. Rotor/Fuselage Unsteady Interactional Aerodynamics: A New Computational Model. Ph.D. Thesis, Virginia Polytechnic Institute and State University, Blacksburg, VA, USA, 1999. [Google Scholar]
- Tadghighi, H. Simulation of rotor-body interactional aerodynamics: An unsteady rotor source distributed disk model. In Proceedings of the AHS International Annual Forum, 57th, Virginia Beach, VA, USA, 3–5 May 2011. [Google Scholar]
- O’Brien, D.M., Jr. Analysis of Computational Modeling Techniques for Complete Rotorcraft Configurations. Ph.D. Thesis, Georgia Institute of Technology, Atlanta, GA, USA, 2006. [Google Scholar]
- Sorensen, J.N.; Shen, W.Z. Numerical modeling of wind turbine wakes. J. Fluids Eng. 2002, 124, 393–399. [Google Scholar] [CrossRef]
- Troldborg, N. Actuator Line Modeling of Wind Turbine Wakes. Ph.D. Thesis, Technical University of Denmark, Lyngby, Denmark, 2009. [Google Scholar]
- Merabet, R.; Laurendeau, E. Actuator Line Method for Helicopter Rotors Computations in Various Flight Conditions. CASI Aero. Available online: https://www.semanticscholar.org/paper/Actuator-Line-Method-for-Helicopter-Rotors-in-Merabet-Laurendeau/a4079a552b9c1ecd3d28bc2a7a4499a40413236a (accessed on 23 March 2023).
- Dobrev, I.; Massouh, F.; Rapin, M. Actuator surface hybrid model. J. Phys. Conf. Ser. 2007, 75, 012019. [Google Scholar] [CrossRef]
- Kim, Y.H.; Park, S.O. Unsteady momentum source method for efficient simulation of rotor aerodynamics. J. Aircraft 2009, 50, 324–327. [Google Scholar] [CrossRef]
- Kim, T.; Oh, S.; Yee, K. Improved actuator surface method for wind turbine application. Renew. Energy 2015, 76, 16–26. [Google Scholar] [CrossRef]
- Kim, T.; Oh, S.; Yee, K. Novel actuator surface method for helicopter rotor analysis. J. Aircraft 2016, 53, 1947–1952. [Google Scholar] [CrossRef]
- Linton, D.; Barakos, G.; Widjaja, R.; Thornber, B. Coupling of an unsteady aerodynamics model with a computational fluid dynamics solver. AIAA J. 2018, 56, 3153–3166. [Google Scholar] [CrossRef]
- Roh, N.; Oh, S.; Park, D. Aerodynamic characteristics of helicopter with ducted fan tail rotor in hover under low-speed crosswind. Int. J. Aerosp. Eng. 2020, 2020, 7059209. [Google Scholar] [CrossRef]
- Kim, D.; Lee, Y.; Oh, S.; Park, Y.; Choi, J.; Park, D. Aerodynamic analysis and static stability analysis of Manned/unmanned distributed propulsion aircrafts using actuator methods. J. Wind Eng. Ind. Aerodyn. 2021, 214, 104648. [Google Scholar] [CrossRef]
- Sriti, M. Tip loss factor effects on aerodynamic performances of horizontal axis wind turbine. Energy Procedia 2017, 118, 136–140. [Google Scholar]
- Branlard, E.; Gaunaa, M. Development of new tip-loss corrections based on vortex theory and vortex methods. J. Phys. Conf. Ser. 2014, 555, 012012. [Google Scholar] [CrossRef]
- Zhong, W.; Wang, T.G.; Zhu, W.J.; Shen, W.Z. Evaluation of tip loss corrections to AD/NS simulations of wind turbine aerodynamic performance. Appl. Sci. 2019, 9, 4919. [Google Scholar] [CrossRef]
- Jasak, H. Error Analysis and Estimation for the Finite Volume Method with Applications to Fluid Flows. Ph.D. Thesis, Imperial College, London, UK, 1996. [Google Scholar]
- Ferziger, J.H.; Perić, M.; Street, R.L. Computational Methods for Fluid Dynamics, 3rd ed.; Springer: New York, NY, USA, 2012; pp. 196–200. [Google Scholar]
- OpenFOAM: API Guide. Available online: https://www.openfoam.com/documentation/guides/latest/doc/ (accessed on 1 May 2022).
- Kim, T.W.; Gill, J.H. Development of improved pressure-based solver algorithm for compressible flow. J. Comput. Fluids Eng. 2017, 22, 28–35. [Google Scholar] [CrossRef]
- Kraposhin, M.; Bovtrikova, A.; Strijhak, S. Adaptation of Kurganov-Tadmor numerical scheme for applying in combination with the PISO method in numerical simulation of flows in a wide range of Mach numbers. Procedia Comput. Sci. 2015, 66, 43–52. [Google Scholar] [CrossRef]
- Hoad, D.R.; Althoff, S.L.; Elliott, J.W.; Sailey, R.H. Inflow Measurement Made with a Laser Velocimeter on a Helicopter Model in Forward Flight; NASA-TM-100541; NASA Langley Research Center: Hampton, VA, USA, 1988. Available online: https://ntrs.nasa.gov/citations/19880015223 (accessed on 23 March 2023).
- Caradonna, F.X.; Tung, C. Experimental and Analytical Studies of a Model Helicopter Rotor in Hover; NASA-TM-81232; NASA Ames Research Center: Moffett Field, CA, USA, 1981. Available online: https://ntrs.nasa.gov/citations/19820004169 (accessed on 23 March 2023).
- Park, Y.M.; Nam, H.J.; Kwon, O.J. Simulation of unsteady rotor-fuselage interactions using unstructured adaptive meshes. Proceeding of the 59th Annual Forum of the American Helicopter Society, Phoenix, AZ, USA, 6–8 May 2003. [Google Scholar]
- Kenyon, A.R.; Brown, R.E. Wake dynamics and rotor-fuselage aerodynamic interactions. J. Am. Helicopter Soc. 2009, 54, 12003. [Google Scholar] [CrossRef]
Disclaimer/Publisher’s Note: The statements, opinions and data contained in all publications are solely those of the individual author(s) and contributor(s) and not of MDPI and/or the editor(s). MDPI and/or the editor(s) disclaim responsibility for any injury to people or property resulting from any ideas, methods, instructions or products referred to in the content. |
© 2023 by the authors. Licensee MDPI, Basel, Switzerland. This article is an open access article distributed under the terms and conditions of the Creative Commons Attribution (CC BY) license (https://creativecommons.org/licenses/by/4.0/).











