Abstract
The upset state is an unexpected flight state, which is characterized by an unintentional deviation from normal operating parameters. It is difficult for the pilot to recover the aircraft from the upset state accurately and quickly. In this paper, an upset recovery strategy and pilot assistance system (PAS) based on reinforcement learning is proposed. The man–machine closed-loop system was established and the upset state, such as a high angle of attack and large attitude angle, was induced. The upset recovery problem was transformed into a sequential decision problem, and the Markov decision model of upset recovery was established by taking the deflection change of the control surface as the action. The proximal policy optimization (PPO) algorithm was selected for the strategy training. The adaptive pilot model and the reinforcement learning method proposed in this paper were used to make the aircraft recover from the upset state. Based on the correspondence between the flight state, the recovery method, and the recovery result, the aircraft upset recovery safety envelopes were formed, and the four-level upset recovery PAS with alarm warning, coordinated control, and autonomous recovery modes was constructed. The results of the digital virtual flight simulation and ground flight test show that compared with a traditional single pilot, the aircraft upset recovery strategy, the upset recovery safety envelopes, and the PAS established in this study could reduce the handling burden of the pilot and improve the success rate and effect of upset recovery. This research has certain theoretical reference values for flight safety and pilot training.
1. Introduction
The upset state is an unexpected flight state, which is characterized by an unintentional deviation from normal operating parameters [1]. The upset state may involve pitch and roll deviations and an inconsistent airspeed, which often leads to the loss of control (LOC) of the aircraft, which is the most dangerous unsafe event encountered in flight. In the last several decades, more than 50% of aviation accidents have been caused by LOC due to upset [2]. Due to the sudden occurrence of upset and many inducing factors, it is difficult to correctly control the aircraft in an upset state, even for experienced pilots. Therefore, it is necessary to study the recovery strategy of an aircraft after entering the upset state, as well as to enhance the pilot’s ability to predict, identify, and avoid the aircraft entering the upset state, and recovering from the upset state.
To solve the problem of upset prevention, identification, and recovery, NASA carried out the research work “Aviation Safety Program” [3]. A training course on upset prevention and recovery of civil aircraft was formed. The Flight Safety Foundation (FSF), Airbus, Boeing, and other industry experts formed an industry team that has developed the Airplane Upset Prevention and Recovery Training Aid (AURTA) [4]. The Federal Aviation Administration (FAA) [5] and the Civil Aviation Administration of China (CAAC) [6] have also issued related advisory circulars.
In addition to the industrial and regulatory sectors, a great deal of research has been done in academia. Wilborn [7] proposed a quantitative method for the assessment of aircraft LOC, and five safety envelope definitions and boundaries were given. Tekles [8] proposed a real-time method for predicting LOC safety margins as the aircraft gets close to the edge of the safe envelope of operation and provided flight-deck cues to the pilot for preventing LOC. Schuet [9] proposed a method for estimating the safe aircraft trim and maneuvering envelopes from sensor information in real time. Zheng [10] proposed an envelope protection method for aircraft encountering an upset condition based on dynamic envelope enlargement. Engelbrecht [11] proposed a sequential upset recovery strategy based on multiple linear controllers, which can perform angular rate recovery and aerodynamic envelope recovery. Dongmo [12] proposed an LOC recovery scheme that combines feedback linearization and high-order sliding mode control. Yildiz [13] proposed a switching control architecture with parametric optimization for aircraft upset recovery. Richards [14] proposed an upset recovery architecture that is applicable to both piloted and autonomous recoveries. In addition, nonlinear dynamic inversion [15], adaptive control [16,17], and other control methods are also applied to upset recovery.
However, the flight safety envelope currently studied is usually aimed at the normal flight stage of the aircraft, focusing on the aerodynamic characteristics below the stall angle of attack, and the envelopes are often too conservative, while there is no research on the safe recovery envelope after the aircraft has entered the upset state, such as a high angle of attack and large attitude angle. In addition, the traditional linear control recovery method may not be able to restore the aircraft to normal in the highly dangerous and highly uncertain upset state [18], and the current recovery methods involve mostly autonomous recovery after isolating the pilot’s authority, which has the problem of a trust crisis in real applications.
The reinforcement learning method transforms the problem into a sequential decision-making problem and conducts self-play through continuous interaction with the upset environment, the actions and rewards are combined, and long-term rewards are considered, which has become a hot topic in decision-making research [19]. Mainstream algorithms, such as DQN [20], DDPG [21], TD3 [22], and PPO [23], have been widely applied. By designing the reward function, multiple constraints are added to the control strategy, which can improve the effectiveness of the decision-making strategy and have high robustness. This method has certain advantages in solving the problem of highly dangerous upset state recovery [18], and can comprehensively consider and optimize the flight state parameters concerned by pilots, such as the angle of attack, attitude angle, overload, and triaxial angular rate.
In order to form the upset recovery safety envelopes, improve the recovery success rate and effect of aircraft in the upset state, and reduce the handling burden of the pilot, an upset recovery strategy and pilot assistance system (PAS) based on reinforcement learning is proposed. The man–machine closed-loop system was established and the upset state, such as the high angle of attack and large attitude angle, was induced. The Markov decision model of upset recovery was established by taking the deflection change of the control surface as the action, and the proximal policy optimization (PPO) algorithm was selected for strategy training. The pilot model and the reinforcement learning method proposed in this paper were used to make the aircraft recover from the upset state. Based on the correspondence between the flight state, the recovery method, and the recovery result, the aircraft upset recovery safety envelopes were formed, and the four-level upset recovery pilot assistance system (URPAS) with alarm warning, coordinated control, and autonomous recovery modes was constructed. The results of digital virtual flight simulation and ground flight test show the effectiveness and superiority of the aircraft upset recovery strategy and the PAS established in this study.
2. Man–Machine Closed-Loop Model
The high-angle-of-attack aerodynamic model with high accuracy is the basis for the study of upset recovery. The AURTA requires the aerodynamic model to be extended to ten degrees behind the stall angle of attack [4]. NASA Langley Research Center (LaRC) developed a full-scale and open commercial transport aircraft model, where the full-scale simulation is referred to as the Transport Class Model (TCM) [24,25], which is widely used in the study of aircraft upset prevention, recovery, and training. The angle of attack range of TCM aircraft aerodynamic data extends from −5 to 85 degrees, and the range of sideslip angle extends across ±45 degrees. The research in this study was based on this TCM aircraft.
2.1. Aircraft Motion Equation
The aircraft nonlinear equations are standard, which can be written as follows in Equations (1)–(4).
where m is the aircraft mass; g is the gravitational acceleration; u, v, and w are respectively the axial, lateral, and normal velocity components in the body-axis; p, q, and r are respectively the roll, pitch, and yaw angular rates in the body-axis; q0, q1, q2, and q3 are the quaternions used to calculate the attitude; X, Y, and Z are respectively the axial, lateral, and normal aerodynamic forces in the body-axis; L, M, and N are respectively the rolling, pitching, and yawing aerodynamic torque moment in the body-axis; Ix, Iy, Iz, and Izx are the inertia moments and inertia product; and x, y, and z are respectively the axial, lateral, and normal positions in the ground axis. The superscript points represent the differentiation.
The equation for the aircraft speed, angle of attack, and sideslip angle are shown in Equation (5).
where V, α, and β are respectively the aircraft speed, angle of attack, and sideslip angle.
The relationship between the quaternions and the aircraft attitude angle is shown in Equation (6).
where ϕ, θ, and ψ are respectively the roll, pitch, and yaw angle in the body-axis.
2.2. Flight Control Law Model
The flight control law of large civil aircraft generally includes three kinds: normal flight control law, standby flight control law, and direct flight control law [26]. The normal flight control law provides five kinds of protection: pitch angle protection, overload protection, roll angle protection, high-speed protection, and angle of attack protection. The standby flight control law has only basic control functions and provides overload protection. When the direct flight control law is applied, the displacement of the joystick and pedals is directly related to the deflection angle of the elevator, aileron, and rudder.
When the normal flight control law works, it is difficult for the aircraft to enter the upset state. Therefore, the object studied in this paper was an aircraft where the normal flight control law could not work, and only the standby flight control law with overload protection or the direct flight control law could be used.
2.2.1. Standby Flight Control Law
The structure of the longitudinal flight control law is shown in Figure 1. The longitudinal flight control law consists of the inner loop and the outer loop. In the inner loop, the pitch angular rate q and overload increment Δnz are fed back to improve the longitudinal model characteristics of the aircraft. In the outer loop, the overload increment Δnz is used as the control command, that is, the longitudinal displacement of the joystick corresponds to the overload increment command.
Figure 1.
Structure of longitudinal flight control law.
The structure of the lateral–directional flight control law is shown in Figure 2, including the roll angle control law and the sideslip angle control law, both of which are divided into inner and outer loops. In the inner loop of the roll axis, the roll angular rate p is fed back to improve the damping characteristics, and in the outer loop of the roll axis, the roll angle rate is used as the control command, that is, the lateral displacement of the joystick corresponds to the roll angle rate command. In the inner loop of the yaw axis, the yaw angular rate r and sideslip angle β are fed back to improve the directional model characteristics of the aircraft, and in the outer loop of the yaw axis, the sideslip angle β is used as the control command, that is, the displacement of the pedal corresponds to the sideslip angle command.
Figure 2.
Structure of lateral–directional flight control law.
The parameters of the standby flight control law designed in this study were as follows: Kfn = −0.1, Kin = −0.16, KNz = 0.8, Kq = 0.4, Kfa = −1, Kia = −0.05, Kfr = 1.2, Kir = 1.5, Kβ = 0.8, Kp = 0.4, and Kr = 0.3.
2.2.2. Direct Flight Control Law
The structure of the direct flight control law is shown in Figure 3, the displacements of the joystick and pedals are directly related to the deflection angle of the elevator, aileron, and rudder. The damper still exists, and the values of its parameters remain unchanged.
Figure 3.
Structure of direct flight control law.
The dynamics model of the control surface system can be described as a first-order inertial element, as shown in Equation (7).
where i = a, e, and r respectively represent the elevator, aileron, and rudder; T is the control surface response time; the superscript cmd represents the command; and the s represents the complex frequency in the Laplace transformation.
The position limits, rate limits, and response time constants of the control surface are shown in Table 1.
Table 1.
The position limits, rate limits, and response time constants of the control surface.
2.3. Joystick, Pedals, and Throttle Model
Near the neutral positions of the joystick and pedals, the displacement gradient should be small to meet the needs of the pilot’s accurate control [27]. To avoid the pilot’s unconscious manipulation and accidental interference, the displacement dead zone should also be set near the neutral position. When the displacement of the joystick and pedals is large, the displacement gradient should be increased to meet the needs of the pilot for larger amplitude maneuvering. Therefore, it is generally necessary to design the displacement characteristics of the joystick and pedals in segments. The displacement characteristics of the joystick and pedal models under different types of flight control laws are determined as shown in Figure 4 and Figure 5.
Figure 4.
Joystick and pedal displacement characteristics of standby flight control law: (a) longitudinal joystick; (b) lateral joystick; (c) pedals.
Figure 5.
Joystick and pedal displacement characteristics of direct flight control law: (a) longitudinal joystick; (b) lateral joystick; (c) pedals.
When the standby flight control law was adopted, the longitudinal control of the joystick corresponded to the overload change between [−2, 1.5], that is, the overload command was between [−1, 2.5], the maximum roll angle rate command was 20°/s, and the maximum sideslip angle command was 30°.
The throttle uses a linear model, that is, when the throttle position is the lowest, the thrust is the minimum, and when the throttle position is at the top, the thrust is the maximum.
2.4. Adaptive Pilot Model
The pilot model provides a basic framework for understanding the pilot’s maneuvering behavior. To date, a variety of pilot models have been proposed according to different assumptions, including the static and dynamic characteristics of the pilot. Hess proposed a multi-axis pilot model, which controls the aircraft with a combination of output-rate feedback and output-error feedback, and also considers the pilot’s nerve and muscle model [28]. Based on this theory, the adaptive pilot model of the upset recovery task is established, as shown in Figure 6.
Figure 6.
Structure of adaptive pilot model.
In Figure 6, and represent the output and output rate of the controlled response variables, where the controlled response variable M includes speed, pitch angle, roll angle, and sideslip angle. e is the command tracking error. Gnm represents a simplified neural and muscular model of the pilot, as shown in Equation (8).
The selection rules of parameters in the multi-axis pilot model were as follows [29]:
- The parameters of the inner loop were selected so that the minimum damping ratio of the inner loop under any oscillation mode was 0.15.
- The parameters of the outer loop were selected to make the crossing frequency of the man–machine open-loop model 2 rad/s.
Based on the above rules, the basic parameters for the multi-axis adaptive pilot model were as follows: 1, 12.5, 0.2, 0.44, 8, 1.2, 1.5, and 2.
The adaptive pilot model can intelligently adjust the control amplitude according to the deviation between the aircraft state and its command value to make the aircraft smoothly and safely recover from an upset state. In the stages of upset state recovery, the pilot should exercise caution and control the amplitude to be smaller than normal. The adaptive regulation rules were as follows:
where k1 is the induced adjustment coefficient, which determines whether to adjust, and k2 is the proportional adjustment coefficient, which determines the size of the adjustment parameters. The sizes of k1 and k2 depend on the error between the command and the actual response, as shown in Figure 7; is the normalized value of the error; and kmax determines the size of the pilot’s adaptive ability. In this study, kmax = 0.5.
Figure 7.
Adjustment parameters.
2.5. Upset State Induction
Before 2017, the upset state was often defined by reaching at least one of the following parameter values [1]:
- a.
- Pitch angle greater than 25 degrees;
- b.
- Pitch angle less than −10 degrees;
- c.
- Roll angle greater than 45 degrees;
- d.
- The attitude angles are within the range of the above parameters, but the speed is not consistent with the flight state.
After 2017, the definition of upset was modified so that the definition is no longer limited to specific pitch and roll attitude and velocity parameters [4]. The aircraft is also considered to enter an upset state when the angle of attack approaches or exceeds the stalling angle of attack. The earlier research on the aircraft aerodynamic model used in this study indicated an angle-of-attack exceedance when 12° or greater is seen [30]. Therefore, when the angle of attack was greater than 12°, the aircraft was also considered to be in the upset state in this study.
Based on the aircraft body dynamics model; flight control system model; joystick, pedals, and throttle model; pilot model; and atmospheric environment model, the man–machine closed-loop models were established. The overall model disconnects the pilot model and directly applies a gradient of joystick displacement with different speeds and directions to the joystick model to induce the airplane to enter the upset state, as shown in Figure 8. The initial speed and altitude of the aircraft are given randomly, and the simulation time is given randomly. The specific parameters for the aircraft to perform the induced task are shown in Equation (10).
where H0 is the initial altitude, V0 is the initial speed, T is the simulation time, and Jp is the longitudinal displacement of the joystick.
Figure 8.
The man–machine closed-loop models.
Considering that the maximum overload that the real aircraft can withstand is limited by the structure, and the aircraft cannot safely recover from an upset state at too low of an altitude, the simulation was stopped when the normal overload of the aircraft was greater than 3 or less than −1.5, or the altitude was less than 1000 m. After obtaining 2000 flight data sets based on the Monte Carlo simulation, the flight data was sampled, and five flight status points were selected for each simulation. The sampling rule is shown in Figure 9.
Figure 9.
Sampling rule.
After obtaining a total of 10,000 flight state points, 4196 points that satisfied the definition of the aircraft in an upset state were screened in terms of the definition of an upset state, that is, meeting any of the above conditions a, b, c, and d or meeting the angle of attack being greater than 20° requirement, and these points were used as the initial value of the aircraft recovery from the upset state. The aircraft flight state parameters contained in each point are shown in Equation (11).
where nx, ny, and nz are respectively the axial, lateral, and normal overload in the body-axis; δp is the throttle position; δs is the horizontal stabilizer position; and the subscript 0 represents the initial value.
3. Upset Recovery Strategy Based on Reinforcement Learning
3.1. Markov Decision Model
Markov modeling is the basis of upset recovery via reinforcement learning. It is necessary to determine the state, action, reward function, and termination condition of the Markov decision model.
3.1.1. States
According to the definition of an upset state and the initial values of the aircraft recovery from the upset state, the continuous state variable adopted in this study is shown in Equation (12).
It is worth noting that at the initial moment of simulation, the initial state of the aircraft is not the trim value, but the initial value of the aircraft recovery from the upset state given at random, as shown in Equation (11).
3.1.2. Actions
The actions directly affect the training effect of strategies. To quickly change the aircraft state at the initial stage of upset recovery and precisely adjust the aircraft state at the later stage of upset recovery, the action adopted in this study was the deflection change value of the control surface, as shown in Equation (13), where the number of actions was 27, and the thrust was set to 0 to prevent speed exceeding the limit or height loss [17].
where Δδe is the command for the elevator deflection change value, Δδa is the command for the aileron deflection change value, and Δδr is the command for the rudder deflection change value.
3.1.3. Reward
The design of the reward function directly affects the training effect of the strategy. The reward in the process of upset recovery includes the situational reward and immediate reward.
The function for the situational reward can be expressed as
where rα, rβ, rϕ, rθ, rp, rq, rr, and rNz represent the advantage function of the angle of attack, sideslip angle, roll angle, pitch angle, roll angular rate, pitch angular rate, yaw angular rate, and normal overload, respectively. kα, kβ, kϕ, kθ, kp, kq, kr, and kNz are used to modulate the weight of the single advantage function in the situational reward function. θ0 and Nz0 are the expected aircraft pitch angle and normal overload. ωαngle, ωpalstance, and ωNz are used to modulate the weight of the angle advantage function, the angular rate advantage function, and the normal overland advantage function in the situation reward function. In this study, kα, kβ, kϕ, and kθ were 0.25 pi; kp, kq, and kr were 0.15 pi; kNz was 3; θ0 was 0.08 (about 4.5°); Nz0 was 1; and ωαngle, ωpalstance, and ωNz were 1/3.
The function for the immediate reward value can be expressed as
It is difficult for the aircraft to directly recover the steady and level flight state because the selected actions are the deflection change value of the control surface. Therefore, when the angle of attack, sideslip angle, and attitude angle of the aircraft are all small, for example, the angle of attack and the pitch angle are less than 12° and greater than −5°, the absolute value of roll angle is within 10°, the absolute value of the sideslip angle is within 5°, and the absolute values of the angular rates are within 5°, the aircraft is considered to enter the normal and safe state. The pilot can smoothly and easily control the aircraft to recover a steady and level flight state.
The function of the total reward value can be expressed as
3.1.4. Termination Condition
The single training was terminated when the aircraft was in a normal state and the immediate reward was obtained. In addition, to reduce the strategy training time and improve the convergence efficiency, the single training was terminated when the aircraft state deviated too much from the normal condition, that is, the aircraft angle of attack was greater than 85°, the normal overload was greater than 3.25 or less than −1.75, the absolute value of roll angle was greater than 90°, the absolute value of the sideslip angle was greater than 45°, the absolute value of the triaxial angular rate was greater than 60°/s, and the aircraft height was less than 500 m. The termination conditions are shown in Equation (17).
3.2. Training Algorithm
The interaction process of the agent and environment is shown in Figure 10. The actions of the agent are the deflection change value of the control surface and the control surface commands are the superposition of the actions and the current surface position.
Figure 10.
Interaction process of agent and environment.
The PPO is a random strategy algorithm with strong robustness and displays excellent sampling efficiency and algorithm performance. It is the preferred algorithm of Open AL. Therefore, the PPO was applied to train the upset recovery strategy. The process of PPO is shown in Algorithm 1 [18].
| Algorithm 1: PPO. |
| for iteration = 1, 2, …, do |
| for actor = 1, 2, …, N do |
| Run policy πθold in the environment for T timesteps |
| Compute advantage estimate , ⋯, ; |
| end for |
| Optimize surrogate L wrt θ, with K epochs and minibatch size M < NT |
| θold ← θ |
| end for |
Here, N is the number of parallel actors, t is the sampling time, K is the number of epochs, M is the minibatch size, πθ is the stochastic policy, is the estimation of the advantage function at timestep t, L is the surrogate objective, and θ is the vector of policy parameters.
The values of the parameters in the PPO algorithm are shown in Table 2.
Table 2.
The values of parameters in PPO algorithm.
The structure of the network in the PPO algorithm is shown in Figure 11.
Figure 11.
Structure of network in the PPO algorithm.
The computer configuration used for training was as follows: CPU—I7-12700 and GPU—RTX2060. The training time was 2.75 × 105 s, and the training results are shown in Figure 12.
Figure 12.
The training results.
According to the training results, after 35,000 iterations, the strategy converged and the average reward was stable at about 800. It was shown that the training of the upset recovery strategy was successful.
3.3. Monte Carlo Mathematical Simulation
The Monte Carlo mathematical simulation method was used to carry out multiple digital virtual simulations of upset recovery. The difference between the reinforcement learning method based on PPO and the single pilot control method was evaluated quantitatively using the success rate and the time of upset recovery, as shown in Figure 13 and Figure 14.
Figure 13.
Success rate of upset recovery.
Figure 14.
Time of upset recovery.
When the pilot control method was applied, the success rate of upset recovery was 40.85%, the median time for the aircraft to recover from the upset state to steady and level flight was 21.4 s, the upper quantile was 27.8 s, while the lower quantile was 17.8 s; when the reinforcement learning strategy based on PPO was applied, the success rate of upset recovery was significantly increased to 76.88%, the median time for the aircraft to recover from the upset state to steady and level flight was reduced to 18.5 s, the upper quantile was reduced to 25.6 s, while the lower quantile was 12.1 s. The success rate of upset recovery was obviously improved, and the time was significantly reduced.
The results of the typical upset recovery effect and Monte Carlo simulation show the effectiveness and superiority of the upset recovery strategy based on reinforcement learning.
4. Pilot Assistance System
4.1. Upset Recovery Safety Envelopes
The results of the two upset recovery strategies and the flight state parameters at the initial time are plotted in Figure 15.
Figure 15.
The results of the two upset recovery strategies and the flight state parameters at the initial time: (a) the angle of attack and the pitch angle; (b) the roll angle and the pitch angle; (c) the angle of attack and the sideslip angle; (d) the roll angle and the pitch angle.
According to Figure 14, the angle of attack, pitch angle, and speed directly affected the result of the upset recovery, and the dividing line was clear. The altitude, sideslip angle, roll angle, and other flight state parameters had no obvious influence on the result of the upset recovery.
If the angle of attack and pitch angle met Equation (18), the reinforcement learning method could be used to make the aircraft safely recover from the upset state. If these parameters met Equation (19), the pilot could safely control the aircraft to recover from the upset state without the reinforcement learning strategy.
When the speed was above 78 m/s (about the stall speed), the aircraft could be safely recovered from the upset state; when the speed was below 40 m/s, no matter what kind of recovery strategy was used, the aircraft could not safely recover from the upset state.
4.2. System Operating Mode
Aiming at the upset state of large angle of attack and large attitude angle, the operating mode of URPAS was designed, as shown in Figure 16, including the upset real-time alarm module, control prompt module, and autonomous recovery module. The level of assistance (LOA) was divided into four levels: 0, 1, 2, and 3, corresponding to the three operating modes of the URPAS: “no assistance”, “alarm warning”, “cooperative control”, and “autonomous recovery”.
Figure 16.
The operating mode of URPAS.
The detailed operating mode of URPAS is as follows:
(1) Determine the level of assistance based on the upset recovery safety envelopes established in Section 4.1 and the existing flight control law model to determine the LOA.
(2) When the aircraft flight states are within the normal safety envelopes [3], as shown in Equation (20), it is determined that the aircraft has not entered the upset state at this time, the LOA is 0, the operating mode of “no assistance” is adopted, and the pilot has full control of the aircraft.
(3) When the aircraft flight states are outside the normal safety envelopes, but still within the upset recovery safety envelopes of the pilot, it is determined that the aircraft has entered the upset state at this time. If the flight control law mode has an overload protection function, the LOA is 1, the operating mode of “alarm warning” is adopted, the URPAS sends a sound alarm signal to the pilot, and the pilot has full control of the aircraft.
(4) When the aircraft flight states are outside the upset recovery safety envelopes of the pilot, it is determined that the aircraft has entered the upset state at this time. If the pilot still wishes to manually control the aircraft, the flight control law can be switched to the direct flight control law, the operating mode of “cooperative control” is adopted, and the LOA is 2. The URPAS sends an alarm signal to the pilot, immediately starts the control prompt module, and displays the maneuvering action suggestions through the screen. Under the premise of retaining the pilot’s control authority, the recovery success rate is improved and the pilot’s control burden is reduced.
The maneuvering action suggestions are based on the actions of the reinforcement learning strategy, that is, the deflection change commands of the control surface. For example, if the deflection change command of the elevator is 0°, the maneuvering action suggestion is 0 and the pilot is advised to maintain the existing strategy for small and stable control. If the deflection change command of the elevator is +2°, the maneuvering action suggestion is +1 and the pilot is advised to push the joystick appropriately. If the deflection change command of the elevator is −2°, the maneuvering action suggestion is −1 and the pilot is advised to pull the joystick appropriately.
(5) When the aircraft flight states are outside the upset recovery safety envelopes of the pilot, it is determined that the aircraft has entered the serious upset state at this time. If the pilot does not want to manually control the aircraft, the operating mode of “autonomous recovery” is adopted and the LOA is 3. The control surface commands are changed from the pilot’s control to the reinforcement learning strategy, the URPAS temporarily takes over the aircraft and automatically controls the aircraft to recover from the upset state. When the aircraft enters a safe state, as shown in Equation (21), the control strategy is switched to the pilot control.
5. Simulation and Analysis
Digital virtual flight simulation technology and ground flight tests were used to verify the “autonomous recovery” and “cooperative control” functions of the URPAS.
5.1. Autonomous Recovery Based on Digital Virtual Flight Simulation
In the two cases of no URPAS and the URPAS with autonomous recovery function, the aircraft was recovered from the typical upset state.
5.1.1. Positive Pitch Angle
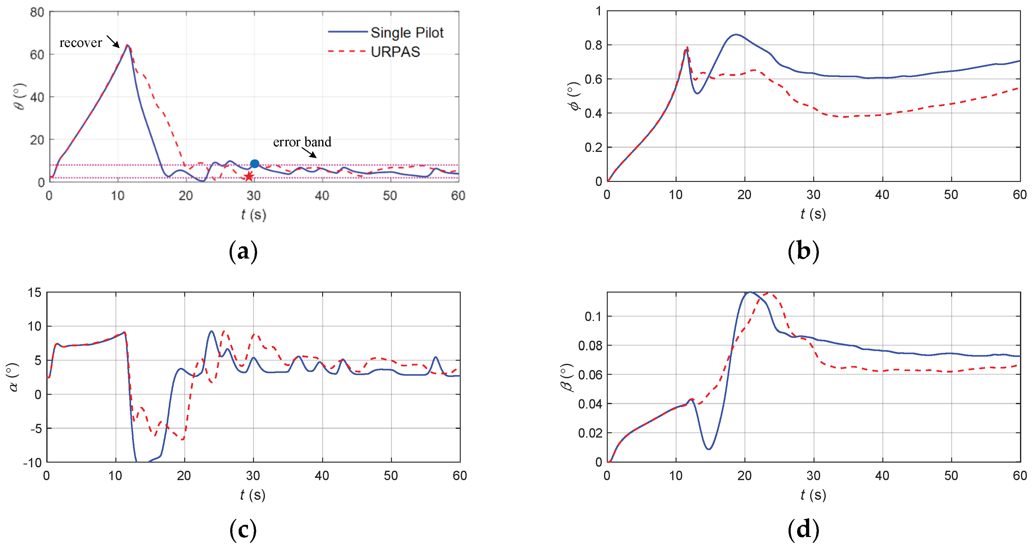
The initial speed of the aircraft was 120 m/s and the altitude was 6000 m. The pilot pulled the joystick to the end to increase the pitch angle. When t = 12 s, the pitch angle reached 76°. The pilot performed the upset recovery task without and with the URPAS. In order to ensure the visibility of the comparison, the simulation time of the case with the URPAS was 60 s and that of the single pilot case was 30 s. The flight state parameters are shown in Figure 17.

Figure 17.
The flight state parameters in positive pitch angle recovery task without and with autonomous recovery function: (a) pitch angle; (b) roll angle; (c) angle of attack; (d) sideslip angle; (e) speed; (f) normal overload; (g) altitude; (h) roll angular rate; (i) pitch angular rate; (j) yaw angular rate; (k) longitudinal joystick; (l) elevator; (m) aileron; (n) rudder.
According to Figure 17, when there was no URPAS and only the pilot controlled the airplane, the pilot quickly pushed the joystick to the end, hoping that the airplane would bow down. However, due to the standby flight control law with overload protection, the elevator deflection value and joystick displacement did not correspond directly but were calculated by the flight control computer. At this time, the aircraft speed was low, the angle of attack was too large, and the aircraft was in the stall state, resulting in the aerodynamic separation phenomenon; therefore, the elevator could not achieve direct and rapid positive full bias, there was a large delay, and the elevator was still in a negative bias state in the initial correction, resulting in the aircraft still climbing, unable to safely recover from the positive attitude angle. When the URPAS with autonomous recovery function was adopted, the control surface commands were calculated based on the neural network, and the elevator was quickly fully tilted forward to make the aircraft bow down. At the same time, the aileron was fully tilted to control the aircraft to produce a moderate roll angle, reduce the lift in the plumb weight direction, and accelerate the aircraft bow down. When t = 17.4 s, the angle of attack, attitude angle, and attitude angular rate returned to the safe range, and the control strategy was switched to pilot control. The pilot gently and precisely controlled the pitch angle of the aircraft at about 4.5° and the roll angle and sideslip angle near 0°.
5.1.2. Negative Pitch Angle
The initial trim parameters of the aircraft remained unchanged. The pilot pushed the joystick to the head to reduce the pitch angle. When t = 10 s, the pitch angle reached −65°. the pilot performed the upset recovery task without and with the URPAS. In order to ensure the visibility of the comparison, the simulation time of the case with the URPAS was 60 s and that of the single pilot case was 30 s. The flight state parameters are shown in Figure 18.

Figure 18.
The flight state parameters in the negative pitch angle recovery task without and with autonomous recovery function: (a) pitch angle; (b) roll angle; (c) angle of attack; (d) sideslip angle; (e) speed; (f) normal overload; (g) altitude; (h) roll angular rate; (i) pitch angular rate; (j) yaw angular rate; (k) longitudinal joystick; (l) elevator; (m) aileron; (n) rudder.
(a)
(b)
According to Figure 18, when there was no URPAS and only the pilot controlled the airplane, the pilot quickly pushed the joystick to the head, hoping that the aircraft would quickly look up, but at this time, the stability of the man–machine closed-loop system was reduced, resulting in the pilot induced oscillation (PIO) phenomenon; the elevator and the angle of attack and pitch angle were greatly shaken; and the aircraft could not safely recover from the negative attitude angle. When the URPAS with autonomous recovery function was adopted, the elevator first quickly deflected to −5° and then stabilized at about 0°. The normal overload was always less than 3 while the aircraft was quickly raised. The ailerons and rudder adjusted properly in real time. At 26.5 s, the angle of attack, attitude angle, and attitude angular rate returned to the safe range, and the control strategy was switched to pilot control. The pilot gently and precisely controlled the pitch angle of the aircraft at about 4.5° and the roll angle and sideslip angle near 0°.
5.2. Cooperative Control Based on Ground-Based Flight Test
Based on the upset recovery ground-based flight simulation test platform, the ground flight test was carried out to verify the “cooperative control” function of the URPAS. During the test, the pilots obtained the real-time flight parameters of the aircraft through the task vision system based on FlightGear and controlled the aircraft with the joystick, throttle, and pedal. The pilots who participated in the ground-based flight test were those who had been trained for a period, had real flight experience, and were proficient in flight skills. The interface of the visual system is shown in Figure 19a, and the joystick, throttle, and pedals are shown in Figure 19b.
Figure 19.
Ground-based flight simulation test platform: (a) interface of the visual system; (b) the joystick, throttle, and pedal.
5.2.1. Positive Pitch Angle
The initial speed of the aircraft was 180 m/s and the altitude was 6000 m. The flight control law mode was direct control. The pilot pulled the joystick to the head to increase the pitch angle. When the pitch angle reached −60°, the pilot performed the upset recovery task without and with the URPAS, and the simulation time was 60 s. The flight state parameters are shown in Figure 20.

Figure 20.
The flight state parameters in the positive pitch angle recovery task without and with cooperative control function: (a) pitch angle; (b) roll angle; (c) angle of attack; (d) sideslip angle; (e) speed; (f) normal overload; (g) altitude; (h) elevator; (i) longitudinal joystick; (j) maneuvering action suggestion.
According to Figure 20, when there was no URPAS and only the pilot controlled the airplane, the pilot instinctively pushed the joystick quickly because the direct flight control law without overload protection was applied, and the elevator quickly reversed, resulting in the overload exceeding the limit. When the pilot assistance system with the coordinated control function was adopted, the pilot received the auxiliary signal 0 after quickly pushing the joystick for 1 s and then pushed the joystick gently and slowly to avoid the overload exceeding the limit. When t = 29 s, the angle of attack, attitude angle, and attitude angular rate returned to the safe range.
5.2.2. Negative Pitch Angle
The initial speed of the aircraft was 120 m/s and the altitude was 6000 m. The flight control law mode was direct control. The pilot pushed the joystick to the head to reduce the pitch angle. When the pitch angle reached −60°, the pilot performed the upset recovery task respectively without and with the URPAS, and the simulation time was 60 s. The flight state parameters are shown in Figure 21.
Figure 21.
The flight state parameters in the negative pitch angle recovery task without and with cooperative control function: (a) pitch angle; (b) roll angle; (c) angle of attack; (d) sideslip angle; (e) speed; (f) normal overload; (g) altitude; (h) elevator; (i) longitudinal joystick; (j) maneuvering action suggestion.
According to Figure 21, when there was no URPAS and only the pilot controlled the airplane, the pilot instinctively pulled the joystick quickly because the direct flight control law without overload protection was applied, and the elevator quickly reversed, resulting in the overload exceeding the limit. When the pilot assistance system with coordinated control function was adopted, the pilot received the auxiliary signal 0 at the initial stage of recovery and then pulled the joystick gently and slowly to avoid the overload exceeding the limit. When t = 17.4 s, the angle of attack, attitude angle, and attitude angular rate returned to the safe range.
5.2.3. Multiple Pilot Evaluation
Based on the Cooper–Harper rating (CHR) method [31], a quantitative evaluation method for upset recovery was designed, as shown in Figure 22. After completing the ground-based flight test, the upset recovery evaluation score was obtained by combining the pilots’ subjective feelings and the objective effects of upset recovery.
Figure 22.
The quantitative evaluation method for upset recovery.
The 50 upset states in Section 2.5 that satisfied the cooperative control function were randomly selected, and the three pilots conducted multiple ground-based flight tests to obtain the upset recovery evaluation scores without and with the URPAS, as shown in Figure 22. According to Figure 23, when the pilot assistance system with the coordinated control function was adopted, both the pilots’ subjective feelings and the objective effects of upset recovery were improved.
Figure 23.
The upset recovery evaluation score.
In conclusion, according to the results of the digital virtual flight simulation and ground simulation, the pilot assistance system could improve the success rate of upset recovery and reduce the pilot’s control burden.
6. Conclusions
In order to form the upset recovery safety envelopes, improve the recovery success rate and effect of aircraft in the upset state, and reduce the handling burden of the pilot, we proposed an upset recovery strategy and pilot assistance system (PAS) based on reinforcement learning. Compared with traditional pilot control, the success rate of upset recovery based on reinforcement learning was obviously improved from 40.85% to 76.88%, and the median time for the aircraft to recover from the upset state to steady and level flight was significantly reduced from 21.4 to 18.5 s. The aircraft upset recovery safety envelopes were formed based on the correspondence between the flight state, the recovery method, and the recovery result. The normal safety envelope boundaries were −5° < α < 20° and −10° < θ < 25°. The upset recovery safety envelope boundaries of the pilot were α < 45°, α < 0.57θ + 45°, α < −0.45θ + 45°, −35° < θ < 60°, and V > 78 m/s. The upset recovery safety envelope boundaries of the PPO were α < 75°, α −2.25θ + 210°, θ < 80°, and V > 40 m/s. The level of assistance (LOA) of the upset recovery pilot assistance system (URPAS) was divided into four levels: 0, 1, 2, and 3, corresponding to the three operating modes of the URPAS: “no assistance”, “alarm warning”, “cooperative control”, and “autonomous recovery”. The results of the digital virtual flight simulation and ground flight test show the effectiveness and superiority of the aircraft upset recovery strategy and the PAS established in this study.
Author Contributions
Conceptualization, J.W. and L.W.; methodology, J.W.; software, J.W.; validation, J.W., P.Z., Z.Z. and H.L.; formal analysis, T.Y.; investigation, T.Y.; resources, H.L.; data curation, J.W. and Z.Z.; writing—original draft preparation, J.W.; writing—review and editing, J.W.; visualization, J.W.; supervision, L.W.; project administration, L.W.; funding acquisition, L.W. All authors have read and agreed to the published version of the manuscript.
Funding
This research received no external funding.
Data Availability Statement
No new data were created or analyzed in this study. Data sharing is not applicable to this article.
Conflicts of Interest
The authors declare no conflicts of interest.
References
- ICAO. Manual on Aeroplane Upset Prevention and Recovery Training; ICAO: Montreal, QC, Canada, 2014. [Google Scholar]
- Martin, E. Statistical Summary of Commercial Jet Airplane Accidents Worldwide Operations 1959–2022; Airbus: Leiden, The Netherlands, 2023. [Google Scholar]
- Jones, S.M.; Reveley, M. An Overview of the NASA Aviation Safety Program Assessment Process. In Proceedings of the AIAA’s 3rd Annual Aviation Technology, Integration, and Operations (ATIO) Forum, Denver, CO, USA, 17–19 November 2003. [Google Scholar] [CrossRef]
- AURTA. Airplane Upset Prevention and Recovery Training Aid 3.0. 2017. Available online: https://www.icao.int/safety/loci/auprta/index.html (accessed on 4 January 2024).
- FAA. Upset Prevention and Recovery Training; FAA: Washington, DC, USA, 2015. [Google Scholar]
- CAAC. Aircraft Pilot Training Guide—Upset Prevention and Recovery Training (UPRT). 2015. Available online: https://apstraining.com/wp-content/uploads/2020/05/APS-UPRT-Online-Study-Guide.pdf (accessed on 4 January 2024).
- Wilborn, J.; Foster, J. Defining Commercial Transport Loss-of-Control: A Quantitative Approach. In Proceedings of the AIAA Atmospheric Flight Mechanics Conference and Exhibit, Providence, RI, USA, 16–19 August 2004. [Google Scholar] [CrossRef]
- Tekles, N.; Chongvisal, J.; Xargay, E.; Choe, R.; Talleur, D.A.; Hovakimyan, N.; Belcastro, C.M. Design of a Flight Envelope Protection System for NASA’s Transport Class Model. J. Guid. Control Dyn. 2017, 40, 863–877. [Google Scholar] [CrossRef]
- Schuet, S.; Lombaerts, T.; Acosta, D.; Kaneshige, J.; Wheeler, K.; Shish, K. Autonomous Flight Envelope Estimation for Loss-of-Control Prevention. J. Guid. Control Dyn. 2017, 40, 847–862. [Google Scholar] [CrossRef]
- Zheng, W.J.; Li, Y.H.; Zhang, D.C.; Zhou, C.; Wu, P.W. Envelope protection for aircraft encountering upset condition based on dynamic envelope enlargement. Chin. J. Aeronaut. 2018, 31, 1461–1469. [Google Scholar] [CrossRef]
- Engelbrecht, J.A.; Pauck, S.J.; Peddle, I.K. A Multi-Mode Upset Recovery Flight Control System for Large Transport Aircraft. In Proceedings of the AIAA Guidance, Navigation, and Control (GNC) Conference, Boston, MA, USA, 19–22 August 2013. [Google Scholar] [CrossRef]
- Dongmo, J.-E. Aircraft Loss-Of-Control Recovery Using Feedback Linearization and High Order Sliding Mode Control. In Proceedings of the AIAA Guidance, Navigation, and Control Conference, Minneapolis, MN, USA, 13–16 August 2012. [Google Scholar] [CrossRef]
- Yildiz, A.; Akcal, M.U.; Hostas, B.; Ure, N.K. Switching Control Architecture with Parametric Optimization for Aircraft Upset Recovery. J. Guid. Control Dyn. 2019, 42, 2055–2068. [Google Scholar] [CrossRef]
- Richards, N.D.; Gandhi, N.; Bateman, A.J.; Klyde, D.H.; Lampton, A.K. Vehicle Upset Detection and Recovery for Onboard Guidance and Control. J. Guid. Control Dyn. 2017, 40, 920–933. [Google Scholar] [CrossRef]
- Raghavendra, P.K.; Sahai, T.; Kumar, P.A.; Chauhan, M.; Ananthkrishnan, N. Aircraft Spin Recovery, with and without Thrust Vectoring. Using Nonlinear Dyn. Invers. 2005, 42, 1492–1503. [Google Scholar] [CrossRef]
- Chowdhary, G.; Johnson, E.N.; Chandramohan, R.; Kimbrell, M.S.; Calise, A. Guidance and Control of Airplanes Under Actuator Failures and Severe Structural Damage. J. Guid. Control Dyn. 2013, 36, 1093–1104. [Google Scholar] [CrossRef]
- Lombaerts, T.; Looye, G.; Seefried, A.; Neves, M.; Bellmann, T. Proof of concept simulator demonstration of a physics based self-preserving flight envelope protection algorithm. Eng. Appl. Artif. Intell. 2018, 67, 368–380. [Google Scholar] [CrossRef]
- Kim, D.; Oh, G.; Seo, Y.; Kim, Y. Reinforcement Learning-Based Optimal Flat Spin Recovery for Unmanned Aerial Vehicle. J. Guid. Control Dyn. 2017, 40, 1076–1084. [Google Scholar] [CrossRef]
- Wang, L.; Wang, J.; Liu, H.; Yue, T. Decision-Making Strategies for Close-Range Air Combat Based on Reinforcement Learning with Variable-Scale Actions. Aerospace 2023, 10, 401. [Google Scholar] [CrossRef]
- Sui, D.; Xu, W.P.; Zhang, K. Study on the resolution of multi-aircraft flight conflicts based on an IDQN. Chin. J. Aeronaut. 2022, 35, 195–213. [Google Scholar] [CrossRef]
- Hu, Z.J.; Gao, X.G.; Wan, K.F.; Zhai, Y.W.; Wang, Q.L. Relevant experience learning: A deep reinforcement learning method for UAV autonomous motion planning in complex unknown environments. Chin. J. Aeronaut. 2021, 34, 187–204. [Google Scholar] [CrossRef]
- Domínguez-Barbero, D.; Garcia-González, J.; Sanz-Bobi, M.A. Twin-delayed deep deterministic policy gradient algorithm for the energy management of microgrids. Eng. Appl. Artif. Intell. 2023, 125, 11. [Google Scholar] [CrossRef]
- Baltes, J.; Christmann, G.; Saeedvand, S. A deep reinforcement learning algorithm to control a two-wheeled scooter with a humanoid robot. Eng. Appl. Artif. Intell. 2023, 126, 20. [Google Scholar] [CrossRef]
- Hueschen, R.M. Development of the Transport Class Model (TCM) Aircraft Simulation from a Sub-Scale Generic Transport Model (GTM) Simulation; NASA: Washington, DC, USA, 2011. [Google Scholar]
- Foster, J.; Cunningham, K.; Fremaux, C.; Shah, G.; Stewart, E.; Rivers, R.; Wilborn, J.; Gato, W. Dynamics Modeling and Simulation of Large Transport Airplanes in Upset Conditions. In Proceedings of the AIAA Guidance, Navigation, and Control Conference and Exhibit, San Francisco, CA, USA, 15–18 August 2005. [Google Scholar] [CrossRef]
- Favre, C. Fly-by-wire for commercial aircraft: The Airbus experience. Int. J. Control 1994, 59, 139–157. [Google Scholar] [CrossRef]
- Hanke, D.; Herbst, C. Active sidestick technology—A means for improving situational awareness. Aerosp. Sci. Technol. 1999, 3, 525–532. [Google Scholar] [CrossRef]
- Hess, R.A.; Marchesi, F. Analytical Assessment of Flight Simulator Fidelity Using Pilot Models. J. Guid. Control Dyn. 2009, 32, 760–770. [Google Scholar] [CrossRef]
- Hess, R.A. Simplified approach for modelling pilot pursuit control behaviour in multi-loop flight control tasks. Proc. Inst. Mech. Eng. Part G J. Aerosp. Eng. 2006, 220, 85–102. [Google Scholar] [CrossRef]
- Jordan, T.; Foster, J.; Bailey, R. AirSTAR: A UAV Platform for Flight Dynamics and Control System Testing. In Proceedings of the 25th AIAA Aerodynamic Measurement Technology and Ground Testing Conference, San Francisco, CA, USA, 5–8 June 2006. [Google Scholar] [CrossRef]
- Harper, R.P., Jr.; Cooper, G.E. Handling qualities and pilot evaluation. J. Guid. Control Dyn. 1986, 9, 515–529. [Google Scholar] [CrossRef]
Disclaimer/Publisher’s Note: The statements, opinions and data contained in all publications are solely those of the individual author(s) and contributor(s) and not of MDPI and/or the editor(s). MDPI and/or the editor(s) disclaim responsibility for any injury to people or property resulting from any ideas, methods, instructions or products referred to in the content. |
© 2024 by the authors. Licensee MDPI, Basel, Switzerland. This article is an open access article distributed under the terms and conditions of the Creative Commons Attribution (CC BY) license (https://creativecommons.org/licenses/by/4.0/).

























