Dependence Structure between Bitcoin and Economic Policy Uncertainty: Evidence from Time–Frequency Quantile-Dependence Methods
Abstract
:1. Introduction
2. Data and Empirical Analysis Methods
2.1. Data
2.2. Empirical Analysis Methods
2.2.1. QS Approach
2.2.2. Wavelet Coherence
2.2.3. Granger Causality Test
3. Results of Empirical Analysis
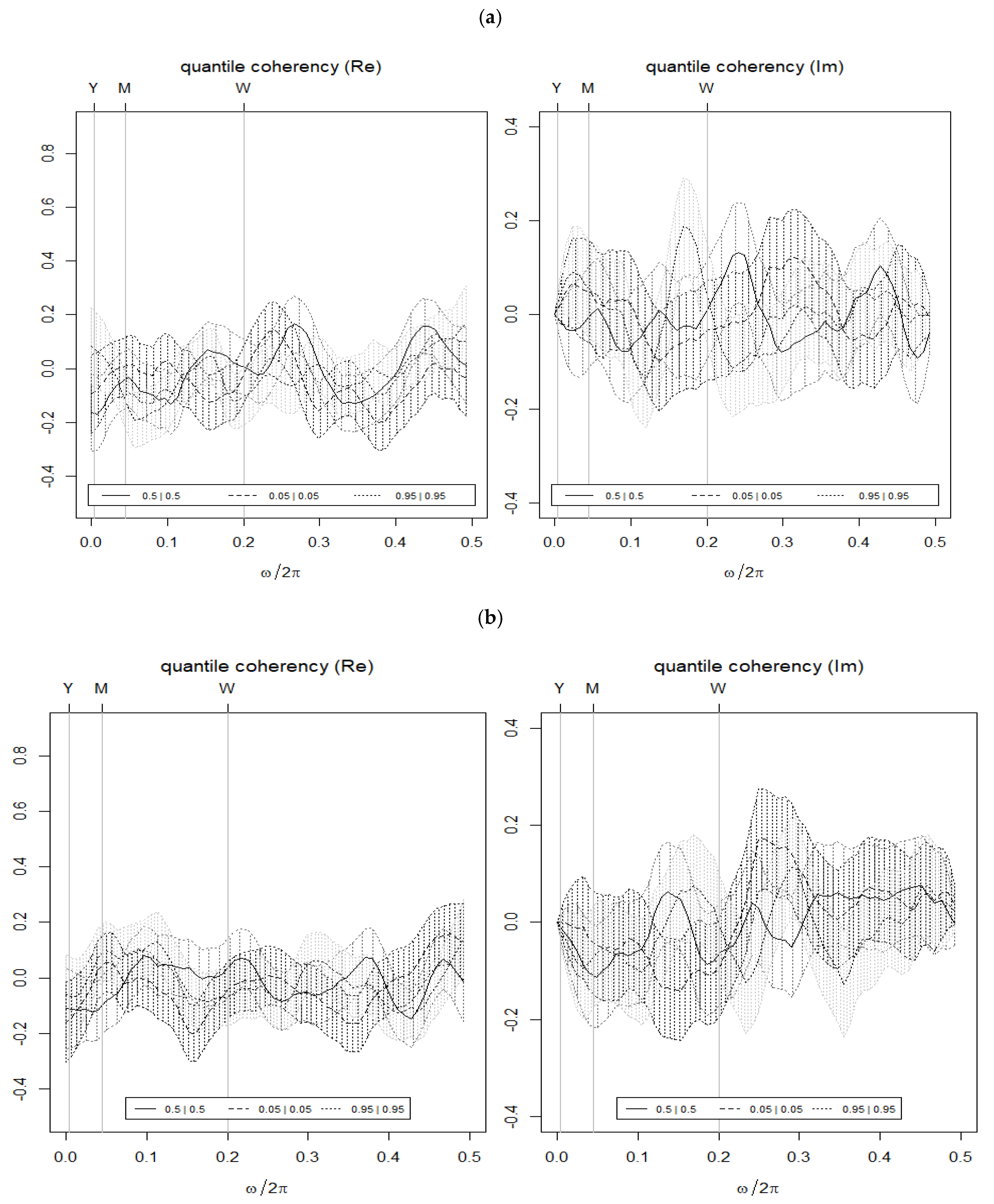
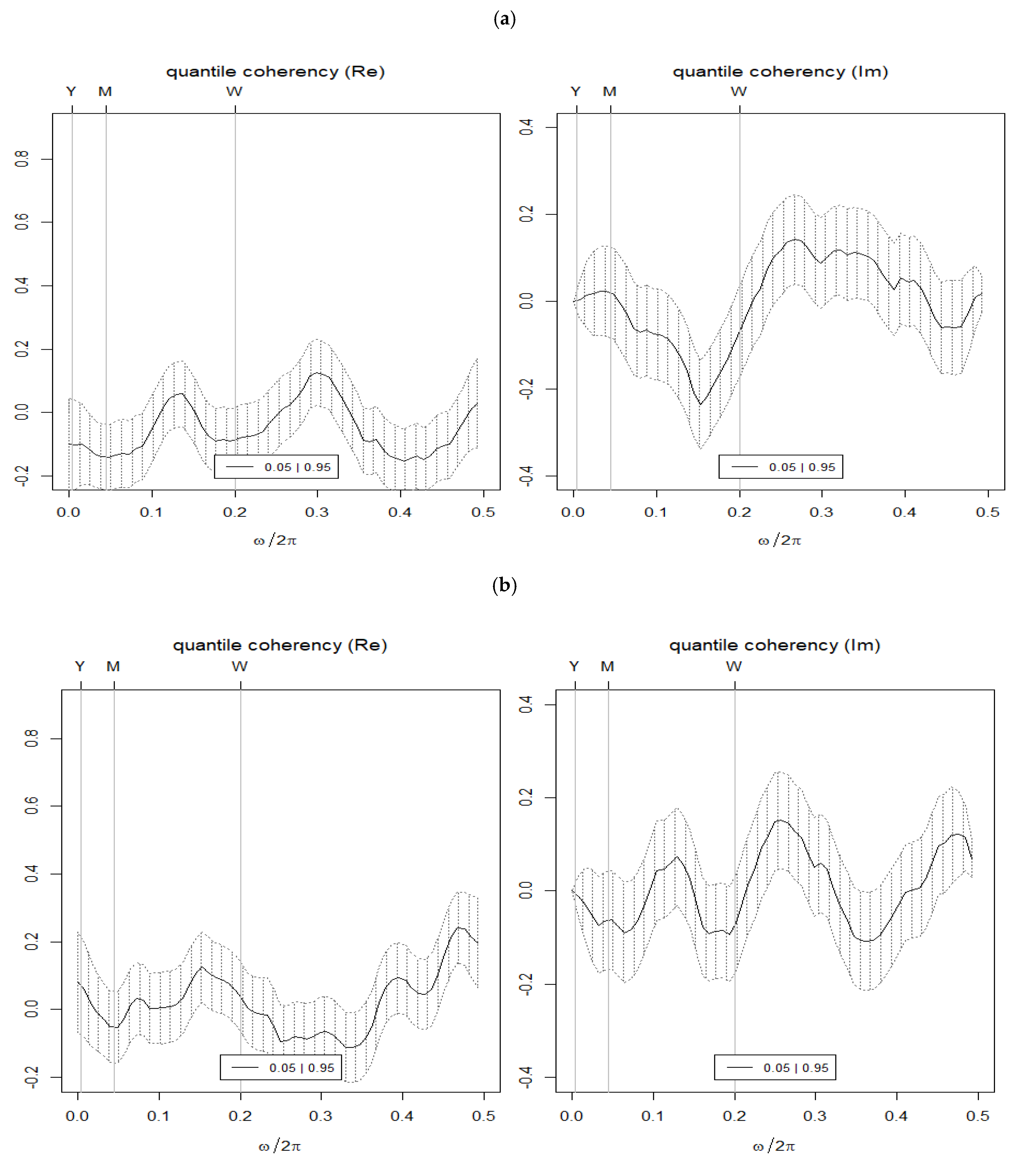
3.1. Results of Quantile Coherency Estimation
3.2. Results of Wavelet Coherence Analysis
3.3. Result of Additional Test
4. Conclusions
Author Contributions
Funding
Data Availability Statement
Conflicts of Interest
References
- Aalborg, Halvor Aarhus, Peter Molnar, and Jon Erik de Vries. 2019. What can explain the price, volatility and trading volume of Bitcoin? Finance Research Letters 29: 255–65. [Google Scholar] [CrossRef]
- Akerlof, George A. 1970. The market for “lemons”: Quality uncertainty and the market mechanism. Quarterly Journal of Economics 84: 488–500. [Google Scholar] [CrossRef]
- Al-Yahyaee, Khamis Hamed, Walid Mensi, Hee-Un Ko, Seong-Min Yoon, and Sang Hoon Kang. 2020. Why cryptocurrency markets are inefficient: The impact of liquidity and volatility. North American Journal of Economics and Finance 52: 101168. [Google Scholar] [CrossRef]
- Arreola Hernandez, Jose, Sang Hoon Kang, Zhuhua Jiang, and Seong-Min Yoon. 2022. Spillover network among economic sentiment and economic policy uncertainty in Europe. Systems 10: 93. [Google Scholar] [CrossRef]
- Baker, Scott R., Nicholas Bloom, and Steven J. Davis. 2016. Measuring economic policy uncertainty. Quarterly Journal of Economics 131: 1593–636. [Google Scholar] [CrossRef]
- Baruník, Jozef, and Tobias Kley. 2019. Quantile coherency: A general measure for dependence between cyclical economic variables. Econometrics Journal 22: 131–52. [Google Scholar] [CrossRef] [Green Version]
- Baur, Dirk G., Kihoon Hong, and Adrian D. Lee. 2018. Bitcoin: Medium of exchange or speculative assets? Journal of International Financial Markets, Institutions and Money 54: 177–89. [Google Scholar] [CrossRef]
- Bouri, Elie, and Rangan Gupta. 2019. Predicting Bitcoin returns: Comparing the roles of newspaper- and internet search-based measures of uncertainty. Finance Research Letters 38: 101398. [Google Scholar] [CrossRef] [Green Version]
- Bouri, Elie, Rangan Gupta, Aviral Kumar Tiwari, and David Roubaud. 2017. Does Bitcoin hedge global uncertainty? Evidence from wavelet-based quantile-in-quantile regressions. Finance Research Letters 23: 87–95. [Google Scholar] [CrossRef] [Green Version]
- Bouri, Elie, Syed Jawad Shahzad, and David Roubaud. 2019. Co-explosivity in the cryptocurrency market. Finance Research Letters 29: 178–83. [Google Scholar] [CrossRef]
- Breitung, Jörg, and Bertrand Candelon. 2006. Testing for short- and long-run causality: A frequency-domain approach. Journal of Econometrics 132: 363–78. [Google Scholar] [CrossRef]
- Čajková, Andrea, and Peter Čajka. 2021. Challenges and sustainability of China’s socio-economic stability in the context of its demographic development. Societies 11: 22. [Google Scholar] [CrossRef]
- Cheema, Muhammad A., Kenneth Szulczuk, and Elie Bouri. 2020. Predicting cryptocurrency returns based on economic policy uncertainty: A multicountry analysis using linear and quantile-based models. SSRN Electronic Journal. [Google Scholar] [CrossRef]
- Cheng, Hui-Pei, and Kuang-Chieh Yen. 2020. The relationship between the economic policy uncertainty and the cryptocurrency market. Finance Research Letters 35: 101308. [Google Scholar] [CrossRef]
- Choi, Ki-Hong, Sang Hoon Kang, and Seong-Min Yoon. 2022. Herding behaviour in Korea’s cryptocurrency market. Applied Economics 54: 2795–809. [Google Scholar] [CrossRef]
- Colon, Francisco, Chaehyun Kim, Hana Kim, and Wonjoon Kim. 2021. The effect of political and economic uncertainty on the cryptocurrency market. Finance Research Letters 39: 101621. [Google Scholar] [CrossRef]
- Corbet, Shaen, Brian Lucey, and Larisa Yarovaya. 2018. Datestamping the Bitcoin and Ethereum bubbles. Finance Research Letters 26: 81–88. [Google Scholar] [CrossRef] [Green Version]
- Darsono, Susilo Nur Aji Cokro, Wing-Keung Wong, Tran Thai Ha Nguyen, and Dyah Titis Kusuma Wardani. 2022. The economic policy uncertainty and its effect on sustainable investment: A panel ARDL approach. Journal of Risk and Financial Management 15: 254. [Google Scholar] [CrossRef]
- Demir, Ender, Giray Gozgor, Chi Keung Marco Lau, and Samuel A. Vigne. 2018. Does economic policy uncertainty predict the Bitcoin returns? An empirical investigation. Finance Research Letters 26: 145–49. [Google Scholar] [CrossRef] [Green Version]
- Elsayed, Ahmed H., Giray Gozgor, and Chi Keung Marco Lau. 2022. Causality and dynamic spillovers among cryptocurrencies and currency markets. International Journal of Financial Economics 22: 2026–40. [Google Scholar] [CrossRef]
- Eom, Cheoljun, Taisei Kaizoji, Sang Hoon Kang, and Lukas Pichl. 2019. Bitcoin and investor sentiment: Statistical characteristics and predictability. Physica A: Statistical Mechanics and its Applications 514: 511–21. [Google Scholar] [CrossRef]
- Fang, Libing, Elie Bouri, Rangan Gupta, and David Roubaud. 2019. Does global economic uncertainty matter for the volatility and hedging effectiveness of Bitcoin? International Review of Financial Analysis 61: 29–36. [Google Scholar] [CrossRef]
- Fang, Tong, Zhi Su, and Libo Yin. 2020. Economic fundamentals or investor perceptions? The role of uncertainty in predicting long-term cryptocurrency volatility. International Review of Financial Analysis 71: 101566. [Google Scholar] [CrossRef]
- Guesmi, Khaled, Samir Saadi, Ilyes Abid, and Zied Ftiti. 2019. Portfolio diversification with virtual currency: Evidence from bitcoin. International Review of Financial Analysis 63: 431–37. [Google Scholar] [CrossRef]
- Haq, Inzamam Ul, Apichit Maneengam, Supat Chupradit, Wanich Suksatan, and Chunhui Huo. 2021. Economic policy uncertainty and cryptocurrency market as a risk management avenue: A systematic review. Risks 9: 163. [Google Scholar] [CrossRef]
- Hasan, Md. Bokhtiar, Kabir K. Hassan, Zulkefly Abdul Karim, and Md. Mamunur Rashid. 2022. Exploring the hedge and safe haven properties of cryptocurrency in policy uncertainty. Finance Research Letters 46: 102272. [Google Scholar] [CrossRef]
- Jiang, Yonghong, Lanxin Wu, Gengyu Tian, and He Nie. 2021. Do cryptocurrencies hedge against EPU and the equity market volatility during COVID-19?—New evidence from quantile coherency analysis. Journal of International Financial Markets, Institutions and Money 72: 101324. [Google Scholar] [CrossRef]
- Kang, Sang Hoon, Seong-Min Yoon, Stelios Bekiros, and Gazi S. Uddin. 2020. Bitcoin as hedge or safe haven: Evidence from stock, currency, bond and derivatives markets. Computational Economics 56: 529–45. [Google Scholar] [CrossRef]
- Kristoufek, Ladislav. 2015. What are the main drivers of the Bitcoin price? Evidence from wavelet coherence analysis. PLoS ONE 10: e0123923. [Google Scholar] [CrossRef]
- Longin, Francois, and Bruno Solnik. 2001. Extreme correlation of international equity markets. Journal of Finance 56: 649–76. [Google Scholar] [CrossRef]
- Maghyereh, Aktham, and Hussein Abdoh. 2021. Time–frequency quantile dependence between Bitcoin and global equity markets. North American Journal of Economics and Finance 56: 101355. [Google Scholar] [CrossRef]
- Mensi, Walid, Yun-Jung Lee, Khamis Hamed Al-Yahyaee, Ahmet Sensoy, and Seong-Min Yoon. 2019. Intraday downward/upward multifractality and long memory in Bitcoin and Ethereum markets: An asymmetric multifractal detrended fluctuation analysis. Finance Research Letters 31: 19–25. [Google Scholar] [CrossRef]
- Mensi, Walid, Yun-Jung Lee, Xuan Vinh Vo, and Seong-Min Yoon. 2021. Quantile connectedness among gold, gold mining, silver, oil and energy sector uncertainty indexes. Resources Policy 74: 102450. [Google Scholar] [CrossRef]
- Mokni, Khaled. 2021. When, where, and how economic policy uncertainty predicts Bitcoin returns and volatility? A quantiles-based analysis. Quarterly Review of Economics and Finance 80: 65–73. [Google Scholar] [CrossRef]
- Mokni, Khaled, Ahdi Noomen Ajmi, Elie Bouri, and Xuan Vinh Vo. 2020. Economic policy uncertainty and the Bitcoin-US stock nexus. Journal of Multinational Financial Management 57–58: 100656. [Google Scholar] [CrossRef]
- Nakamoto, Satoshi. 2008. Bitcoin: A peer-to-peer electronic cash system. Decentralized Business Review, 21260. [Google Scholar]
- Nguyen, Ha, Bin Liu, and Nirav Y. Parikh. 2020. Exploring the short-term momentum effect in the cryptocurrency market. Evolutionary and Institutional Economics Review 17: 425–43. [Google Scholar] [CrossRef]
- Paule-Vianez, Jessica, Camilo Prado-Román, and Raúl Gómez-Martínez. 2020. Economic policy uncertainty and Bitcoin. Is Bitcoin a safe-haven asset? European Journal of Management and Business Economics 29: 347–63. [Google Scholar] [CrossRef] [Green Version]
- Reboredo, Juan C., Miguel A. Rivera-Castro, and Andrea Ugolini. 2017. Wavelet-based test of co-movement and causality between oil and renewable energy stock prices. Energy Economics 61: 241–52. [Google Scholar] [CrossRef]
- Roueff, François, and Rainer Von Sachs. 2011. Locally stationary long memory estimation. Stochastic Processes and Their Applications 121: 813–44. [Google Scholar] [CrossRef] [Green Version]
- Rubbaniy, Ghulame, Ali Awais Khalid, and Aristeidis Samitas. 2021. Are cryptos safe-haven assets during COVID-19? Evidence from wavelet coherence analysis. Emerging Markets Finance and Trade 57: 1741–56. [Google Scholar] [CrossRef]
- Shaikh, Imlak. 2020. Policy uncertainty and Bitcoin returns. Borsa Istanbul Review 20: 257–68. [Google Scholar] [CrossRef]
- Shi, Yongjing, Aviral Kumar Tiwari, Giray Gozgor, and Zhou Lu. 2020. Correlations among cryptocurrencies: Evidence from multivariate factor stochastic volatility model. Research in International Business and Finance 53: 101231. [Google Scholar] [CrossRef]
- Spaeth, Walter, and Tomáš Peráček. 2022. Cryptocurrencies, electronic securities, security token offerings, non fungible tokens: New legal regulations for ‘crypto securities’ and implications for issuers and investor and consumer protection. In Developments in Information & Knowledge Management for Business Applications. Edited by Natalia Kryvinska and Aneta Poniszewska-Marańda. Cham: Springer, pp. 217–38. [Google Scholar]
- Torrence, Christopher, and Gilbert P. Compo. 1998. A practical guide to wavelet analysis. Bulletin of the American Meteorological Society 79: 61–78. [Google Scholar] [CrossRef] [Green Version]
- Torrence, Christopher, and Peter J. Webster. 1999. Interdecadal changes in the ENSO–monsoon system. Journal of Climate 12: 2679–90. [Google Scholar] [CrossRef] [Green Version]
- Wang, Gang-Jin, Chi Xie, Danyan Wen, and Longfeng Zhao. 2019. When Bitcoin meets economic policy uncertainty (EPU): Measuring risk spillover effect from EPU to Bitcoin. Finance Research Letters 31: 489–97. [Google Scholar] [CrossRef]
- Yen, Kuang-Chieh, and Hui-Pei Cheng. 2021. Economic policy uncertainty and cryptocurrency volatility. Finance Research Letters 38: 101428. [Google Scholar] [CrossRef]





| BTC_USD | CHN_EPU | USA_EPU | |
|---|---|---|---|
| Mean | 2491.518 | 129.3412 | 85.34069 |
| Median | 639.1537 | 117.6304 | 74.99000 |
| Maximum | 19,395.84 | 651.0512 | 586.5500 |
| Minimum | 100.8108 | 0.000000 | 3.320000 |
| Standard deviation | 3436.336 | 68.20854 | 48.13624 |
| Skewness | 1.867128 | 2.023943 | 2.116218 |
| Kurtosis | 6.328758 | 10.83213 | 12.60083 |
| Jarque–Bera | 2030.177 | 6305.661 | 8931.008 |
| -value | 0.0000 | 0.0000 | 0.0000 |
| Observation | 1947 | 1947 | 1947 |
| GC from USA-EPU to BTC | GC from BTC to USA-EPU | GC from CHN-EPU to BTC | GC from BTC to CHN-EPU | |
|---|---|---|---|---|
| Test | 3.937 | 11.791 | 2.493 | 32.584 |
| -value | 0.787 | 0.107 | 0.972 | 0.000 |
Publisher’s Note: MDPI stays neutral with regard to jurisdictional claims in published maps and institutional affiliations. |
© 2022 by the authors. Licensee MDPI, Basel, Switzerland. This article is an open access article distributed under the terms and conditions of the Creative Commons Attribution (CC BY) license (https://creativecommons.org/licenses/by/4.0/).
Share and Cite
Nasreen, S.; Tiwari, A.K.; Jiang, Z.; Yoon, S.-M. Dependence Structure between Bitcoin and Economic Policy Uncertainty: Evidence from Time–Frequency Quantile-Dependence Methods. Int. J. Financial Stud. 2022, 10, 49. https://doi.org/10.3390/ijfs10030049
Nasreen S, Tiwari AK, Jiang Z, Yoon S-M. Dependence Structure between Bitcoin and Economic Policy Uncertainty: Evidence from Time–Frequency Quantile-Dependence Methods. International Journal of Financial Studies. 2022; 10(3):49. https://doi.org/10.3390/ijfs10030049
Chicago/Turabian StyleNasreen, Samia, Aviral Kumar Tiwari, Zhuhua Jiang, and Seong-Min Yoon. 2022. "Dependence Structure between Bitcoin and Economic Policy Uncertainty: Evidence from Time–Frequency Quantile-Dependence Methods" International Journal of Financial Studies 10, no. 3: 49. https://doi.org/10.3390/ijfs10030049
APA StyleNasreen, S., Tiwari, A. K., Jiang, Z., & Yoon, S.-M. (2022). Dependence Structure between Bitcoin and Economic Policy Uncertainty: Evidence from Time–Frequency Quantile-Dependence Methods. International Journal of Financial Studies, 10(3), 49. https://doi.org/10.3390/ijfs10030049
