Abstract
This article analyzes whether the use of videos in flipped classrooms applied to lab practices in higher-education degrees improves the students’ performance. For this purpose, the flipped classroom methodology was used in the Sustainability and Environment Technologies subject, which is included in the curriculum of different engineering degrees. The results were evaluated by considering three different aspects: student satisfaction, student performance during the lab practice, and academic marks. The methodology of the study combines qualitative and quantitative approaches. The results show an improvement in student satisfaction, as well as in student performance during the lab practice. The academic marks of the test students in comparison to the control students also show some improvement. Overall, those who undertook the flipped classroom lab practice noted many benefits, including increased student engagement and satisfaction, as well as improvements in student skills and academic results. Novel aspects such as the qualitative and quantitative evaluations of the performance of the lab practice have been introduced in this research.
1. Introduction
Advances in information and communication technologies (ICTs) are promoting the use of new forms of learning within the University. In this respect, the flipped or inverted classroom is a new and popular educational model, that uses ICT to enhance and deepen, among other aspects, the teaching–learning process in the classroom [1,2].
A flipped classroom (FC) refers to a new pedagogical model that inverts the traditional classroom [3,4,5,6]. In this educational model, traditional master classes or lectures are replaced by other types of activities suggested or provided by the teacher [3,4].
Thus, the FC concept can be summarized simply as follows: activities that are traditionally undertaken in class are performed at home, and those traditionally undertaken as homework are completed in class [3,6].
The integration of the flipped classroom model into higher education has resulted in significant changes that affect both teaching and learning in different ways [7]. In general terms, in the FC, the teacher dedicates more time in the classroom to work with each student and to better understand his/her needs and progress. Moreover, students become responsible for their own learning process by asking questions and solving problems with the teacher’s guidance, governing their own learning [1,8].
The idea of inverting the classroom to encourage active and collaborative student participation has been widely used in university teaching in different disciplines [5,9,10,11]. However, to date, very few studies have focused on laboratory practices [12,13,14,15,16,17,18]. Nevertheless, in engineering education, the use of laboratory practices for academic purposes is an important part of the academic curricula. As confirmed in other works [19], the principal problem with the lab classes is related to the student’s lack of interest in reading the practical laboratory manual, which is indispensable for the satisfactory development of the practice, but this can be solved with flipped-learning tools.
Another recent work highlighted how a hybrid online/flipped-teaching approach can be a potent method to mitigate the effect of the online teaching forced by the coronavirus pandemic, for computerized laboratory practices [20].
Flipped-classroom research in higher education highlights that videos are one of the most popular forms of pre-class learning activities [6,11,21,22,23], but a range of other types of learning resources can be utilized (“Kahoot!” questionnaires, storytelling, concept maps, workshops, or other didactic materials) [3,4,5,6,24,25]. The videos allow students to pause and go back and review the content as many times as needed. The concept of flipped learning is much more than watching videos [26]. However, the implementation of this new method implies new challenges, key issues such as the length of the video/digital materials and time required for instructors to prepare the learning materials and for students to master them [7]. One of the main challenges is that not all students complete the FC before the face-to-face session and, frequently, their engagement with the flipped work is not regular during the course [27]. In this sense, several studies report that the duration of the videos employed as a flipped-classroom tool was less than 30 min [16,17,18].
Barrios-Piña et al. [16] reported the use of the FC technique in civil engineering laboratory sessions. They did not find improvement in the students’ grades when FC was applied. However, Fleagle et al. [17] reported higher scores after the FC methodology was applied to the Human Groos Anatomy Laboratory. Similarly, Dallal et al. [18] showed an improvement in the report and quiz scores when a partial flipped approach was applied to electrical- and computer-engineering laboratory sessions.
In the same way, the opinions of students and professors, in previous studies, confirm that FC is a positive technique, which can improve student performance, reinforces knowledge and skills, and promotes student self-learning, as well as collaborative work, autonomy, and self-regulation. [10,13,16,17,18,28,29,30].
It must be noted that, although the video material usually used in the FC technique remains available to students after the face-to-face session, it has been reported that the benefits in terms of knowledge retention is related to the student watching the videos before the face-to-face sessions and not afterward [31].
In general, research regarding the effectiveness of FC in higher education has focused, in the first instance, on the impact on numerical assessments (grades) and, more recently, and to a lesser degree, on the perceptions of the students toward this new paradigm. Student perceptions provide a unique opportunity to analyze and identify best practices that allow successful achievement of the learning objectives. An understanding of the key factors that impact the satisfaction of students in flipped-learning experiences is essential to achieve a successful implementation.
Considering the innovative character and the impact of the FC methodology, the aim of this work is to introduce the inverted classroom method via the use of videos in a laboratory practice of the subject Sustainability and Environmental Technologies which forms part of different degrees at the Industrial and Civil Engineering Faculty of the University of Las Palmas de Gran Canaria. The purpose is to employ a useful tool for active learning that is complementary to the traditional master class.
The objective of this research is to evaluate the FC method considering three different aspects: student satisfaction, student performance during the lab practice, and academic marks. The methodology of the study combines qualitative and quantitative approaches.
The analysis of student satisfaction under the FC model is undertaken by means of a survey questionnaire; then a qualitative assessment is performed through the observation of the students’ abilities during the lab practice, and a quantitative assessment is performed through the evaluation of their academic marks. To the best of our knowledge, this is the first research that evaluates all of these three objectives. In addition, videos are used as a tool in the FC focused on laboratory practices in higher education. The evaluation of student performance during the lab practice, as evaluated within this research, constitutes a novelty.
2. Materials and Methods
2.1. Subject Context
This research was set within the framework of the subject of Sustainable and Environmental Technologies, which forms part of the second year of the following degrees: mechanical engineering, electrical engineering, electronics engineering, and industrial chemical engineering. The FC activity was designed for one of the three laboratory sessions for this subject.
The subject is divided into two main blocks: renewable energy systems (mainly solar photovoltaic, solar thermal, and wind energies); and environmental impact assessment evaluation. The students must pass a final exam for each block to pass the subject.
The professors, syllabus, and lesson plans employed in the Sustainable and Environmental Technologies subject were identical during the years 2018/2019 and 2021/2022, for all the aforementioned degrees. Regarding the laboratory sessions, these were taught by three different professors: one oversaw the mechanical-engineering and-electrical-engineering students, another the electronics-engineering students, and the last faculty member was responsible for the industrial-chemical-engineering students. All professors used the same materials and contents in the sessions. For the purpose of this research, the 2018/2019 students constitute the control group and the 2021/2022 students the test group. Only the students studying mechanical engineering and electrical engineering were chosen for this study to ensure that the same professors taught the same contents of the subject in both the control and the test academic years.
The laboratory session chosen for this activity dealt with the calculation of the Fill Factor (FF) of solar photovoltaic cells. It is crucial for students to be familiarized with this concept because the FF is one of the most important characteristics of a solar panel and allows us to determine its quality and the correct functioning of the photovoltaic installation.
To determine the FF, students must connect the solar cells in an electric circuit equipped with several electrical resistances and next annotate the intensity–voltage pairs of values obtained. The solar cells were illuminated with a dimmable lamp to simulate solar sunlight. Additionally, students needed to determine the short-circuit current (Isc) and open-circuit voltage (Voc). With these data, plotted in a combined intensity vs. voltage and power vs. voltage graph, students could graphically calculate the maximum power, voltage, and intensity of the solar cells; and, subsequently, the FF can be calculated as follows:
where Pm is the maximum power obtained for the solar cell, Isc is the short circuit current, and Voc is the open circuit voltage.
Additionally, students were asked to connect several solar cells in serial and in parallel to analyze what occurred with the total voltage, intensity, and power of the installation.
Students were asked to perform the experiments with different light intensities to introduce them to the intensity and temperature coefficients of solar photovoltaic cells, which are parameters that affect the performance of solar panels.
Lastly, one solar photovoltaic module datasheet was given to the students to familiarize them with the concepts included in PV catalogs.
2.2. Traditional Laboratory Session
During the 2018/2019 academic year, the laboratory session was completed in a traditional way. The number of students per session was 10, and they were grouped in pairs. A lab practice manual was given to the students, and the session began with a 15-min explanation of the concepts involved and the experimental procedure. Next, the students were given one hour to make the connections of the solar cells and collect the experimental voltage and intensity data. Finally, they were given 30 additional minutes to analyze the obtained data. Two weeks later, the students were examined on the practice with open-ended questions to determine whether the learning objectives had been accomplished.
2.3. Flipped-Classroom Laboratory Session
During the 2018/2019 academic year, many doubts arose among the students during the lab sessions regarding the electrical circuit connections, particularly with the connection of the voltmeter, the ammeter, and with the connection of the parallel and serial solar cells connections. For this reason, in year 2021/2022, we changed the didactic approach of this laboratory session to a flipped-classroom session. In this way, students were also grouped in pairs, but, in addition to the instructor’s 15-min explanation, students were asked to view a 6-min video before the lab session. The video consisted of a demonstration of how to make the photovoltaic module connections during the experimental procedure; how to collect the obtained data; and how to plot these data to determine Isc, Voc, Pm, and the FF value. Next, students were given one hour to perform the experimental procedure and 30 min to analyze the obtained data. Two weeks later, as in the traditional method, students were examined with the same open-ended questions used in year 2018/2019 to determine whether the learning objectives were accomplished with the practical work.
2.4. Participant Recruitment
The participants were second-year engineering students who were enrolled in the Sustainability and Environmental Technologies subject, which is a mandatory subject, at the University of Las Palmas de Gran Canaria. The students chosen for this work were those enrolled in electrical-engineering and mechanical-engineering degrees. The total number of participants in the laboratory sessions was 58 in 2018/2019 and 54 in 2021/2022, and all were enrolled in the subject for their first time. The methodology used in year 2018/2019 was the traditional laboratory, while in 2021/2022, we introduced the FC methodology in the laboratory.
2.5. Objectives of This Research
Three different objectives were evaluated:
- Objective 1. To determine student satisfaction of the students using FC via videos.
- Objective 2. To analyze the impact of the methodology on the competence levels of students by evaluating the students’ performance during the lab practice.
- Objective 3. To discover whether there are differences in the acquisition of knowledge after the application of the FC methodology by analyzing their academic marks.
To this end, the present research is based on a mixed methodology that combines quantitative and qualitative approaches.
The methodology applied to evaluate each of these objectives is described in the next sections.
2.6. Questionnaire to Evaluate Student Satisfaction
Upon completion of the laboratory session, students were asked to complete an anonymous questionnaire to assess their perception and satisfaction with the FC activity.
The questionnaire employed in this study is a validated questionnaire [32]. The questionnaire is included as Appendix A. It was originally written in Spanish and has been translated for publication purposes.
The questionnaire focuses on quantitative data regarding student perception. It comprises 16 items that consider quantitative elements, using a 5-level Likert scale, where the values range from 1 to 5, with 1 being “totally disagree” and 5 “totally agree”. The statistical analysis performed is based on closed multiple-choice items.
In order to group the 16 items and perform an analysis of interrelated items around the same subject, the items were categorized according to three different factors:
- (1)
- Benefits of the flipped-learning model (Factor 1): The items included in this factor intend to evaluate the usefulness of the model as perceived by the students when implementing it in their learning process, the perceived usefulness in their professional development, whether the students actually liked the model or not, whether there was an increase in motivation to carry out the proposed activities, and the impact of the methodology on their confidence level to solve problems autonomously. The items under this factor are Q3, Q6, Q7, Q11, Q12, Q13, Q14, Q15, and Q16.
- (2)
- Collaboration and communication (Factor 2): The items included in this factor serve to evaluate the increase in collaboration and communication with both classmates and the teacher under the flipped-learning lab work. The items under this factor are Q5, Q8, Q9, and Q10.
- (3)
- Use of videos (Factor 3): The items included in this factor serve to evaluate the perception of the students regarding the importance of the use of videos in the achievement of learning objectives under the flipped-learning methodology. The items under this factor are Q1, Q2, and Q4.
2.7. Method to Evaluate Student Performance during the Lab Practice
Student performance during the lab practice was evaluated both qualitatively and quantitively. The qualitative assessment undertaken by the professor in charge of the lab practice was based on a set of questions after observation of the different lab groups. The performance of test vs. control students was evaluated in qualitative terms. The questions that the professor had to answer were as follows:
- Did the test students show better skills when implementing the practice than the control students?
- Did the test students have to ask fewer questions than the control students in order to successfully complete the practice?
- Did the test students make the photovoltaic module connections faster and correctly?
This qualitative assessment was then complemented with a quantitative assessment based on the answers to Items 1, 2, and 11 of the questionnaire which specifically concern the perception and confidence of the students during the realization of the lab practice.
2.8. Method to Evaluate the Academic Results of the Students
The academic marks were assessed quantitatively by evaluating the lab-practice reports and the final-exam marks with respect to the Energy block of the subject. Each practice report contained eight questions that dealt with the procedure followed in the lab, the studied concepts, and the calculations. This report was marked between 0 and 10, the same as the final exam. The corresponding marks of the control and test students were then compared. The data were statistically analyzed with Minitab 16®.
3. Results and Discussion
The number of students who completed the lab session with solar photovoltaic cells was 58 in 2018/2019 and 54 in 2021/2022. Among these students, 48 and 42 attended the final exam in 2018/2019 and 2021/2022, respectively.
The results of the three different aspects evaluated in the methodology are described in the next three sections.
The results indicate that students who engaged with pre-class learning content performed better in all three aspects evaluated: student satisfaction, student performance, and final exams.
3.1. Student Satisfaction
Overall, student satisfaction in the FC group (test group) with video viewing before the lab session was very high (Figure 1).
Figure 1.
Results obtained in the satisfaction survey.
The 16 items that comprised the questionnaire were categorized into three different factors: benefits of the flipped-learning model (Factor 1), collaboration and communication (Factor 2), and use of videos (Factor 3). This was performed in order to facilitate the analysis of interrelated items around the same subject as described in the Methodology section. Figure 2 shows the evaluation of each factor.
Figure 2.
Results obtained for the satisfaction survey, grouped by factors.
- Factor 1: Benefits of the Flipped-Learning Model
Nearly 40% of all students rated the items in this factor very highly. This means that they rated the benefits of the FC through video viewing as highly positive. Of all the students, 71% gave positive valuations to the implemented methodology, while 19% were neither positive nor negative, and 10% did not value the benefits of this method as positive. Of all items evaluated in Factor 1, the most positive refers to whether the students liked the applied FC method (Item 16), with nearly 85% of all students enjoying the experience. In addition, 80% of all students considered that the applied FC method facilitated the learning process in comparison to the “traditional” method (Item 11).
- Factor 2: Collaboration and communication
Of all the students, 68% considered that the applied FC method facilitated collaboration and communication among the students and between the students and the professor, while 22% responded neither positively nor negatively, and 10% did not consider that this method improved collaboration and communication. In particular, 72% of all students considered that communication between the students and professor improved in comparison to the “traditional” method (Item 8).
- Factor 3: Use of videos
Of the three factors evaluated, Factor 3 scored highest. Of all the students, 85% considered that the use of videos facilitated the achievement of their learning objectives, while 12% were neither positive nor negative, and 3% did not consider that the use of videos facilitated the achievement of their learning objectives. Moreover, none of the students “strongly disagreed” with the consideration that the use of videos facilitated the achievement of their learning objectives.
3.2. Student Performance during the Lab Practice
The student performance during the lab practice was evaluated as described in Section 2.7.
A first qualitative evaluation was performed by the professor in charge of the lab practice via observation. In comparison to control students, who showed clear difficulties in tasks such as the photovoltaic module connections and plotting the results to determine the FF, the test students showed higher skills and confidence when implementing the lab practice. Thus, the professor could confirm that viewing the lab practice video prior to the lab session facilitated the realization of the lab practice.
This qualitative assessment was then complemented with the quantitative assessment based on the answers to Items 2 and 11 of the student’s questionnaire. In all, 87% of all students felt more confident when performing the practice after watching the video (Items 1 and 2), and 80% considered that the applied FC method facilitated the learning process in comparison to the “traditional” method (Item 11).
Thus, regarding the impact of the methodology on the competency level of the students, differences were observed between the control group and the test (FC) group.
3.3. Academic Results
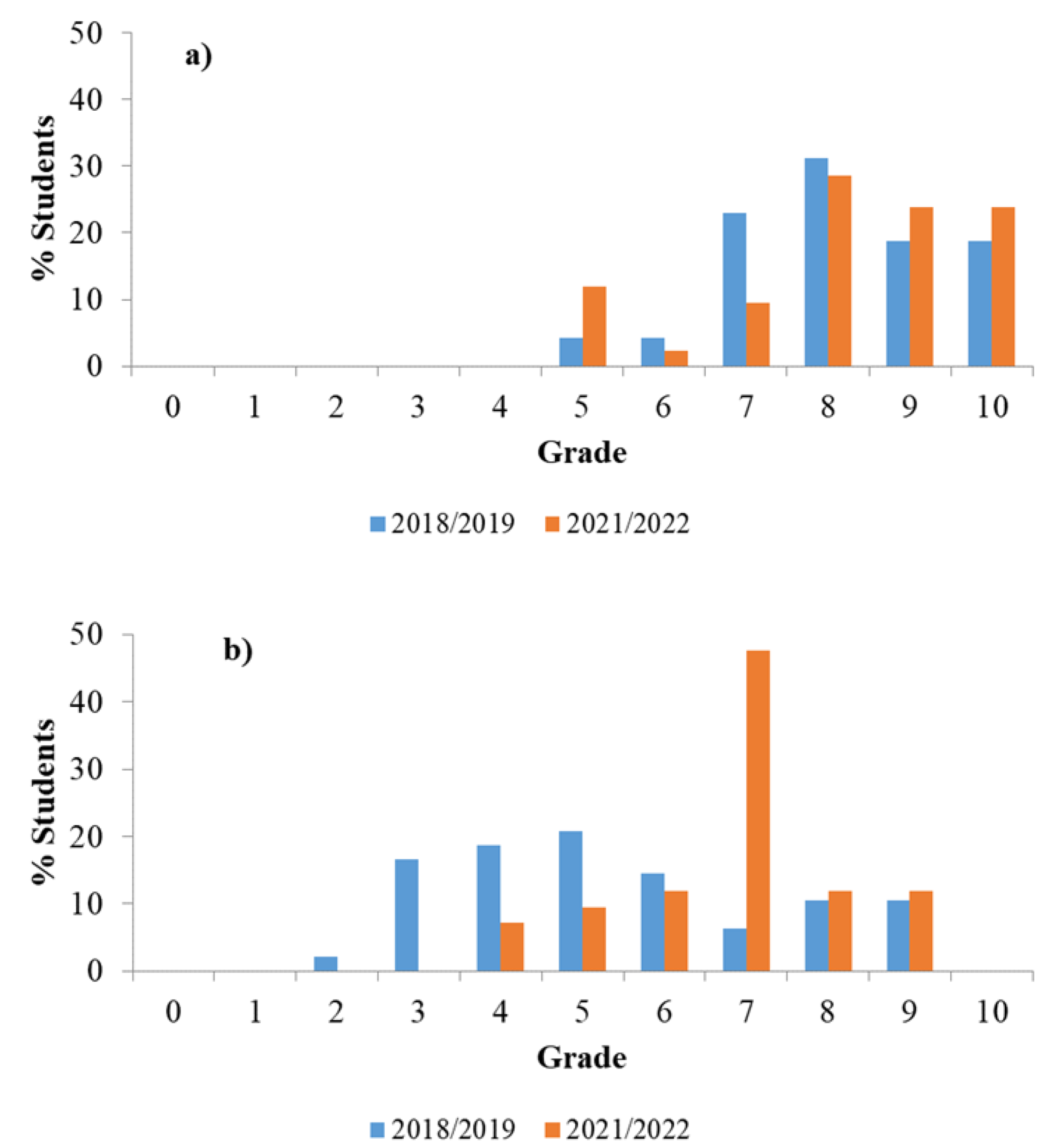
The grades obtained by the students in the lab session report and the final exam in 2018/2019 and 2021/2022 are shown in Figure 3. For the calculations included in this section, only the 48 and 42 students that attended both the lab practice and the final exam were considered as control (year 2018/2019) and test (year 2021/2022) groups, respectively.
Figure 3.
Grades achieved by the students in 2018/2019 and 2021/2021 in (a) the lab session report and (b) the final exam.
The mean lab-report mark obtained in 2018/2018 was 7.9 ± 1.7, while in 2021/2022, it was 8.2 ± 1.5. Overall, the academic results were similar or slightly better for the test students (2021/2022) in comparison to the control students (2018/2019), although no statistically significant improvement in the mean academic mark was observed. A two-sample t-test with a confidence level of 95% returned a p-value higher than 0.05, which indicated that there was no difference in the exam scores for the two learning modalities.
However, it can be seen from Figure 3a that 76% of the students achieved a grade 8 or higher for the lab report when the FC methodology was implemented in 2021/2022. In the control year (2018/2019), just 69% of the students achieved an 8 or higher. Thus, the introduction of the FC methodology increased by 7% the number of students who achieved a mark of 8 or higher in the lab report.
Regarding the final exam, the distribution of exam grades is shown in Figure 3b. The mean grades were 5.4 ± 1.9 in 2018/2019 and 8.2 ± 1.5 in 2021/2022. In this case, the two-sample t-test with a confidence level of 95% returned a p-value lower than 0.05, indicating statistically significant difference in the exam scores for the two learning modalities. Therefore, it can be confirmed that the changes applied in the teaching methodology in the year 2021/2022 helped the students to acquire the subject concepts.
It should be noted that the materials, professors, and methodology employed in the master classes in 2018/2019 and 2021/2022 were the same. The only difference between the two courses was that, in 2018/2019, the lab sessions were carried out in a traditional way, and in 2021/2022, the FC methodology was implemented in the lab session that dealt with solar photovoltaic energy. It should also be noted that the contribution of solar photovoltaic energy questions to the final exam mark was 33%.
4. Conclusions
This article aims to establish how the use of videos in flipped classrooms applied to lab practices in higher education degrees improve student performance. For this purpose, the selected subject selected was Sustainability and Environment Technologies as taught in different engineering degrees. The overall student performance was evaluated under three different aspects: student satisfaction, student performance during the lab practice, and academic marks.
The results showed an improvement in student satisfaction, as well as in student performance during the lab practice; and although the improvement of the academic marks was not significant for the lab report, generally, grades were higher. On the other hand, the final exam-marks increased considerably and significantly for those students who completed the flipped-classroom activity.
Student satisfaction was assessed quantitatively by using an anonymous and validated questionnaire. The results can be considered as highly positive. Most of the students positively valued the benefits of the flipped-learning model and considered that it facilitated collaboration and communication among the students and between them and the professor. Moreover, almost all students considered that the use of videos facilitated the achievement of their learning objectives. Thus, the factor that was most highly valued by the students was video viewing prior to the lab practice as a mean to improve the attainment of their learning objectives.
Student performance during the lab practice was evaluated both quantitatively and qualitatively. This assessment aimed to evaluate whether the viewing of a video that describes the laboratory techniques to be carried out, prior to the lab session itself, facilitated the realization of the lab practice. Both the qualitative and quantitative evaluations concluded that the students showed much greater levels of skill and confidence when implementing the practice after viewing the video.
Regarding the academic results, the improvement due to the introduction of the flipped-classroom methodology was evaluated in two respects: assessing the lab report marks and assessing the grades in the final exam. Both assessments were quantitative. Regarding the lab-report marks, the number of students who achieved a mark of 8 or higher increased slightly. Additionally, the improvement in the exam scores for the students who participated in the flipped method increased by almost three points and was statistically significant. Although the academic marks of the lab report of the test students in comparison to the control students only showed a moderate improvement, a statistically significant improvement in the final-exam grades was observed in the test students compared to the control students. Thus, it is concluded that the flipped-classroom methodology helped students to acquire important concepts for the subject.
Overall, those who employed the flipped-classroom technique noted many benefits including increased student engagement and satisfaction, as well as improvements in student skills and academic marks.
Author Contributions
Conceptualization, D.E.S., B.D.R.-G. and N.M.-M.; methodology, D.E.S.; B.D.R.-G. and N.M.-M.; software, J.S.-R., B.D.R.-G. and D.E.S.; validation, J.S.-R. and D.E.S.; formal analysis, D.E.S., B.D.R.-G., N.M.-M. and J.S.-R.; investigation, B.D.R.-G., D.E.S. and. N.M.-M.; resources, N.M.-M., D.E.S. and B.D.R.-G.; data curation, B.D.R.-G., N.M.-M., D.E.S. and J.S.-R.; writing—original draft preparation, D.E.S., J.S.-R. and N.M.-M.; writing—review and editing, D.E.S., J.S.-R. and N.M.-M.; visualization, D.E.S., N.M.-M. and B.D.R.-G.; supervision, J.S.-R. and D.E.S.; project administration, J.S.-R. All authors have read and agreed to the published version of the manuscript.
Funding
This work was funded by The Next Generation EU (NGEU) fund under “Real De-creto 641/2021, de 27 de julio, por el que se regula la concesión directa de subvenciones a universidades públicas españolas para la modernización y digitalización del sistema Universitario español en el marco del plan de recuperación, transformación y resilien-cia (UNIDIGITAL)—Proyectos de Innovación Educativa para la Formación Interdisci-plinar (PIEFI)—Línea 3. Contenidos y programas de formación” in the scope of the Teaching Innovation Project “Material audiovisual como herramienta para la mejora de los resultados del aprendizaje en modelos híbridos de enseñanza-aprendizaje presen-cial y virtual (PIE2021-52)”.
Institutional Review Board Statement
The study was conducted in accordance with the Declaration of Helsinki and approved by the Institutional Review Board of Universidad de Las Palmas de Gran Canaria (project PIE2021-52, approved on 25 October 2021).”
Informed Consent Statement
Informed consent was obtained from all subjects involved in the study.
Data Availability Statement
Not applicable.
Conflicts of Interest
The authors declare no conflict of interest. The funders had no role in the design of the study; in the collection, analyses, or interpretation of data; in the writing of the manuscript; or in the decision to publish the results.
Appendix A. Questionnaire to Assess Student Satisfaction with the Activity
| Item | |
|---|---|
| 1 | Overall, how confident did you feel about the material of the session after watching the video? |
| 2 | In general, how confident did you feel about the material of the session after watching the video and connecting the installation? |
| 3 | Currently, I feel confident when solving an exercise/practice using the flipped learning method |
| 4 | Based on your experience in the laboratory session, how valuable do you consider video material for your learning? |
| 5 | I believe that the flipped learning method offers me more opportunity to meet and collaborate with my peers than the traditional method |
| 6 | I feel more motivated to carry out the activities of the course in the flipped learning method |
| 7 | I feel more motivated to participate in class using the flipped learning method |
| 8 | I consider that the flipped learning method favors more fluent communication between the teacher and the students than the traditional learning method |
| 9 | I consider that the flipped learning method favors communication with my classmates more than the traditional learning method |
| 10 | With the flipped learning method, it is easier for me to express my doubts and opinions in the laboratory session |
| 11 | I believe that the flipped learning method makes the content of the practice easier to understand compared to a “traditional” practice |
| 12 | I believe that the flipped learning method helps me develop skills that will be of value in my professional development |
| 13 | In the future, I would like to take other subjects that include the flipped learning method |
| 14 | I would recommend other students to take courses that include the flipped learning method |
| 15 | After this experience, I consider that I have mastered the flipped learning method |
| 16 | In general, I liked working during the laboratory session with the flipped learning method |
All items use the following Likert scale: 1 (strongly disagree), 2 (disagree), 3 (neutral), 4 (agree), and 5 (strongly agree). The items were divided into three factors. Factor 1 dealt with the benefits of the flipped learning model and included Items 3, 6, 7, 11, 12, 13, 14, 15, and 16. Factor 2 dealt with the collaboration and communication during the laboratory session and included items 5, 8, 9, and 10. Lastly, Factor 3 dealt with the materials used in the laboratory session, that is, the use of videos, and included Items 1, 2, and 4.
References
- Meli, L.; Sánchez, R. Análisis de las percepciones de los alumnos sobre la metodología flipped classroom para la enseñanza de técnicas avanzadas en laboratorios de análisis de residuos de medicamentos veterinarios. Educación Química 2017, 28, 30–37. [Google Scholar] [CrossRef]
- Bergmann, J.; Sams, A. Flipped learning: Maximizing face time. T+D 2014, 68, 28–31. [Google Scholar]
- Bergmann, J.; Sams, A. Flip Your Classroom: Reach Every Student in Every Class Every Day; International Society for Technology in Education: Washington, DC, USA, 2012. [Google Scholar]
- Sohrabi, B.; Iraj, H. Implementing flipped classroom using digital media: A comparison of two demographically different groups perceptions. Comput. Hum. Behav. 2016, 60, 514–524. [Google Scholar] [CrossRef]
- Sosa Díaz, M.J.; Guerra Antequera, J.; Cerezo Pizarro, M. Flipped Classroom in the Context of Higher Education: Learning, Satisfaction and Interaction. Educ. Sci. 2021, 11, 416. [Google Scholar] [CrossRef]
- Sangermán Jiménez, M.A.; Ponce, P.; Vázquez-Cano, E. YouTube Videos in the Virtual Flipped Classroom Model Using Brain Signals and Facial Expressions. Future Internet 2021, 13, 224. [Google Scholar] [CrossRef]
- Al-Samarraie, H.; Shamsuddin, A.; Alzahrani, A.I. A flipped classroom model in higher education: A review of the evidence across disciplines. Educ. Technol. Res. Dev. 2020, 68, 1017–1051. [Google Scholar] [CrossRef]
- Lai, C.-L.; Hwang, G.-J. A self-regulated flipped classroom approach to improving students’ learning performance in a mathematics course. Comput. Educ. 2016, 100, 126–140. [Google Scholar] [CrossRef]
- Akçayır, G.; Akçayır, M. The flipped classroom: A review of its advantages and challenges. Comput. Educ. 2018, 126, 334–345. [Google Scholar] [CrossRef]
- O’Flaherty, J.; Phillips, C. The use of flipped classrooms in higher education: A scoping review. Internet High. Educ. 2015, 25, 85–95. [Google Scholar] [CrossRef]
- Lin, Y.-T. Effects of Flipped Learning Approaches on Students’ Learning Performance in Software Engineering Education. Sustain. 2021, 13, 9849. [Google Scholar] [CrossRef]
- Rasheduzzaman, M.; Tong, J.; Fajri, P.; Bawaneh, K.; Deken, B.J. Teaching a multidisciplinary Energy management Course with Laboratory Experiments in a Flipped Classroom Setup. J. Eng. Technol. 2021, 38, 16–28. [Google Scholar]
- Rivero-Guerra, A.O. Práctica de Laboratorio de Granos de Almidón en un Curso de Botánica General: Una Experiencia de Clase Invertida. Práctica de Laboratorio. Form. Univ. 2018, 11, 87–104. [Google Scholar] [CrossRef]
- Meng, X.H.; Xu, X.Y.; Chen, H.L.; Zhang, L. The effectiveness of combining e-learning, peer teaching, and flipped classroom for delivering a physiology laboratory course to nursing students. Adv. Physiol. Educ. 2022, 46, 21–26. [Google Scholar] [CrossRef]
- Gómez-Tejedor, J.A.; Vidaurre, A.; Tort-Ausina, I.; Molina-Mateo, J.; Serrano, M.A.; Meseguer-Dueñas, J.M.; Martínez Sala, R.M.; Quiles, S.; Riera, J. Effectiveness of flip teaching on engineering students’ performance in the physics lab. Comput. Educ. 2020, 144, 103708. [Google Scholar] [CrossRef]
- Barrios-Piña, H.; García-Arellano, G.; García-Rodríguez, S.; Bocanegra-García, G.; Kant, S. Flipped Learning Application on the Development of Capabilities for Civil Engineering Education in Labs. Int. J. Educ. Pedagog. Sci. 2020, 14, 1046–1052. [Google Scholar]
- Fleagle, T.R.; Borcherding, N.C.; Harris, J.; Hoffmann, D.S. Application of flipped classroom pedagogy to the human gross anatomy laboratory: Student preferences and learning outcomes. Anat. Sci. Educ. 2018, 11, 385–396. [Google Scholar] [CrossRef]
- Dallal, A.; Dukes, A.; Clark, R.M. Student performance in partially flipped ECE laboratory classes. In Proceedings of the ASEE Virtual Annual Conference Content Access, Virtual online conference, 6–8 March 2017. [Google Scholar]
- Villalón, J.M.; Olivares, T.; Ruiz, M.C.; Cuenca, P. An experience with flipped learning in the computer networks laboratory. In Proceedings of the INTED2017, Universidad de Castilla la Mancha, Ciudad Real, Spain, 6–8 March 2017; pp. 9405–9413. [Google Scholar]
- Elkhatat, A.M.; Al-Muhtaseb, S.A. Hybrid online-flipped learning pedagogy for teaching laboratory courses to mitigate the pandemic COVID-19 confinement and enable effective sustainable delivery: Investigation of attaining course learning outcome. SN Soc. Sci. 2021, 1, 113. [Google Scholar] [CrossRef]
- Long, T.; Logan, J.; Waugh, M. Students’ perceptions of the value of using videos as a pre-class learning experience in the flipped classroom. TechTrends 2016, 60, 245–252. [Google Scholar] [CrossRef]
- Maher, M.; Lipford, H.; Singh, V. Flipped classroom strategies using online videos. J. Inf. Syst. Educ. 2013, 23, 7–11. [Google Scholar]
- Seery, M.K. Flipped learning in higher education chemistry: Emerging trends and potential directions. Chem. Educ. Res. Pract. 2015, 16, 758–768. [Google Scholar] [CrossRef]
- Astuti, I.A.D.; Bhakti, Y.B.; Sumarni, R.A.; Sulisworo, D.; Toifur, M. Flipped Classroom And Kahoot In Physics Learning: Improving Students’ motivation Learning. Int. J. Educ. Manag. Innov. 2021, 2, 175–182. [Google Scholar] [CrossRef]
- Ruiz, C.G. The effect of integrating Kahoot! and peer instruction in the Spanish flipped classroom: The student perspective. J. Span. Lang. Teach. 2021, 8, 63–78. [Google Scholar] [CrossRef]
- Suárez, F.; Mosquera Feijóo, J.C.; Chiyón, I.; Alberti, M.G. Flipped learning in engineering modules is more than watching videos: The development of personal and professional skills. Sustainability 2021, 13, 12290. [Google Scholar] [CrossRef]
- Walsh, J.N.; O’Brien, M.P.; Costin, Y. Investigating Student Engagement with Intentional Content: An Exploratory Study of Instructional Videos. Int. J. Manag. Educ. 2021, 19, 100505. [Google Scholar] [CrossRef]
- Bhat, S.; Raju, R.; Bhat, S.; D’Souza, R. Redefining Quality in Engineering Education through the Flipped Classroom Model. Proc. Procedia Comput. Sci. 2020, 172, 906–914. [Google Scholar] [CrossRef]
- Urquiza-Fuentes, J. Increasing Students’ Responsibility and Learning Outcomes Using Partial Flipped Classroom in a Language Processors Course. IEEE Access 2020, 8, 211211–211223. [Google Scholar] [CrossRef]
- Sevillano-Monje, V.; Martín-Gutiérrez, Á.; Hervás-Gómez, C. The Flipped Classroom and the Development of Competences: A Teaching Innovation Experience in Higher Education. Educ. Sci. 2022, 12, 248. [Google Scholar] [CrossRef]
- Förster, M.; Maur, A.; Weiser, C.; Winkel, K. Pre-Class Video Watching Fosters Achievement and Knowledge Retention in a Flipped Classroom. Comput. Educ. 2022, 179, 104399. [Google Scholar] [CrossRef]
- Landa Cavazos, M.R.; Ramírez Sánchez, M.Y. Diseño de Un Cuestionario de Satisfacción de Estudiantes Para Un Curso de Nivel Profesional Bajo El Modelo de Aprendizaje Invertido. Páginas Educ. 2018, 11, 153. [Google Scholar] [CrossRef]
Publisher’s Note: MDPI stays neutral with regard to jurisdictional claims in published maps and institutional affiliations. |
© 2022 by the authors. Licensee MDPI, Basel, Switzerland. This article is an open access article distributed under the terms and conditions of the Creative Commons Attribution (CC BY) license (https://creativecommons.org/licenses/by/4.0/).


