Abstract
In contemporary environments, young children are frequently exposed to diverse audiovisual stimuli and often encounter dual-task situations requiring them to process unrelated stimuli simultaneously. Although dual-task conditions impair children’s performance, few studies have systematically examined the underlying mechanisms. This study aims to provide foundational insights into young children’s audiovisual information processing abilities and offer educational implications. Seventy preschoolers (60–82 months old) were recruited, and a dual-tasking toolkit was developed using the psychological refractory period (PRP) paradigm. Participants responded rapidly to two stimuli presented at short intervals. The data revealed that the response time of Task 2 (RT2) and PRP decreased as stimulus onset asynchrony (SOA) increased, particularly with the more difficult Task 1 in dual-tasking conditions. RT2 and PRP decreased further when tasks were presented in the order of auditory and visual sensory modalities; however, this difference disappeared under the high Task 1 difficulty and short SOA. These findings provide empirical evidence that young children’s dual-task performance and processing interference are influenced by the characteristics of concurrently presented stimuli and task demands. The results offer insights into early childhood education, emphasizing the importance of mitigating cognitive overload under dual-task situations and fostering both foundational and higher-order cognitive abilities in young learners.
1. Introduction
With technological advancements, young children’s daily lives, education, and play environments have become saturated with various media and audio-visual stimuli that capture their interest. Such environments increase the likelihood that children will engage in two different activities simultaneously, processing multiple streams of information simultaneously (e.g., watching a smartphone while completing a learning task or watching TV while engaging in a science-related play activity). Previous studies have demonstrated that concurrently processing two unrelated stimuli can lead to processing interference and that switching between two different tasks incurs cognitive switching costs (Cardoso-Leite et al., 2015; Monsell, 2003). Given these findings, environments abundant in highly stimulating and attention-grabbing stimuli may negatively affect children’s task performance and cognitive development (Mercimek et al., 2020).
Extensive research has explored young children’s perceptions of audio-visual stimuli and their developmental and educational implications from various perspectives. Studies have demonstrated that the integration of visual and auditory stimuli forms a crucial foundation for early language development (Ayres & Mailloux, 1981; Norrix et al., 2007). Additionally, auditory cues associated with specific objects have been shown to facilitate selective attention and object recognition, thereby contributing to the cognitive development of young children (Balaban & Waxman, 1997). Furthermore, research on multimedia learning suggests that a simultaneous presentation of semantically related visual, textual, and auditory information can enhance learning outcomes by promoting cognitive integration (Crooks et al., 2012; Mayer & Moreno, 2003; Mousavi et al., 1995). Collectively, these findings suggest that perceiving related stimuli across multiple sensory modalities provides significant cognitive advantages to young children, reinforcing their potential for positive developmental and educational impacts.
However, the pervasive presence of audio-visual stimuli in modern environments continuously captivates young children, often prompting them to divide their attention between multiple unrelated stimuli and attempt to process them simultaneously. This phenomenon extends beyond momentary concurrent processing of two stimuli; rather, it can manifest as children engaging in distinct tasks of interest over an extended period (e.g., completing a learning task while interacting with a smartphone). Engaging in multiple tasks simultaneously is referred to as multitasking (Mercimek et al., 2020). Unlike multiprocessing, which allows for the parallel processing of sensory stimuli, multitasking requires task switching, conscious cognitive processing, decision making, and behavioral regulation (Cardoso-Leite et al., 2015).
Previous studies on young children have primarily focused on dual-task performance, a specific form of multitasking, owing to its experimental feasibility. These studies examined various dual-task paradigms, such as memory tasks combined with finger tapping (Kee & Davies, 1988), auditory matching tasks combined with visual tracking (Birch, 1976, 1978), and reasoning tasks combined with color memory tasks (Halford et al., 1986). Collectively, these studies have demonstrated that young children’s performance declines under dual-task conditions compared to single-task conditions and that the degree of impairment increases as the difficulty of the additional task increases. Although these studies have provided valuable insights into children’s dual-task performance, task-related interference, and the effects of task difficulty, they have certain methodological limitations. These include concerns regarding the validity of performance indices, inconsistencies in research methodologies, and the inability to capture fine-grained processing interference at the micro level (Birch, 1978; Bogartz, 1976; Kim & Yi, 2017; Riby et al., 2004). Therefore, a more systematically controlled and experimentally rigorous approach is required to elucidate the concurrent processing characteristics of audiovisual stimuli during dual-task performance in young children. Such research is expected to establish a foundational understanding of children’s concurrent audiovisual processing and provide notable developmental and educational insights into concurrent engagement with unrelated stimuli and distinct tasks.
2. Systematic Examination of Prior Studies
2.1. Psychological Refractory Period (PRP) Effect
The psychological refractory period (PRP) paradigm has been proposed as an experimental framework to investigate the characteristics of dual information processing and microlevel performance interference in dual-task execution. This paradigm has been predominantly applied in studies with adult participants and is distinguished by its strong experimental control and systematic and precise measurement of task performance (Logan & Gordon, 2001; Welford, 1952). In the PRP paradigm, two distinct stimuli are presented to participants at controlled temporal intervals, known as stimulus onset asynchrony (SOA). Participants are instructed to respond to each stimulus as quickly as possible. The SOA is systematically varied between 0 and 1000 milliseconds, and reaction times for each stimulus are precisely measured using specialized software1.
Numerous studies using this paradigm have identified a processing delay for the second stimulus in dual-task performance (Arnell & Duncan, 2002; Logan & Gordon, 2001; Welford, 1952). Specifically, when two stimuli are presented in close temporal succession, the processing time for the second stimulus is longer than when it is processed in isolation (i.e., in a single-task condition). Researchers have termed this delay the psychological refractory period (PRP) and defined it as the PRP effect, which describes the performance cost associated with sequential stimulus processing under dual-task conditions (Pashler, 1994; Welford, 1952).
Many researchers attribute these processing limitations in dual-task performance to the central bottleneck, a constraint within core cognitive processing stages (McCann & Johnston, 1992; Pashler, 1994; Welford, 1952). The central bottleneck model posits that cognitive processing occurs in three sequential stages: stimulus perception (P), response selection (RS), and response execution (RE). Although multiple stimuli can be processed simultaneously during the P and RE stages, the RS stage operates serially, allowing only one stimulus to be processed simultaneously. Consequently, when the first stimulus (S1) occupies this stage, the second stimulus (S2) must wait until the processing resources become available, leading to a delay known as the psychological refractory period (PRP) (Figure 1).
Figure 1.
Diagram of the psychological refractory period (PRP).
Processing interference in the PRP paradigm occurs when the processing of S2 is delayed at the response selection stage, leading to micro-level lags that ultimately impair overall performance efficiency in dual-task conditions (McCann & Johnston, 1992; Pashler, 1994; Welford, 1952). In the PRP paradigm, processing delay specifically refers to the extended reaction time for S2 in dual-task performance compared to its response time in a single-task condition2. Regardless of its absolute duration, this delay is considered a meaningful indicator of response latency in S2 processing. The magnitude of this delay increases as the SOA decreases, indicating that shorter SOAs result in greater interference in S2 processing. In contrast, reaction times for S1 remain relatively stable, regardless of SOA variation (Fernández et al., 2011; Fischer & Hommel, 2012).
2.2. Dual-Task Performance in Children Using the PRP Paradigm
Most PRP paradigm-based studies have been conducted with adult participants. Although a few have been conducted with children and adolescents between the ages of 8 and 15 years, they were generally limited to basic research (Hong, 2005; Park & Lee, 2003; E.-S. Song, 1995). The first attempt to apply the PRP paradigm to young children was conducted by Kim and Yi (2017). Similarly to many studies involving adult participants (Arnell & Duncan, 2002; Fischer & Hommel, 2012; Hong, 2005; Logan & Gordon, 2001; Park & Lee, 2003), Kim and Yi’s study (Kim & Yi, 2017) confirmed the processing interference and performance loss for S2 processing—that is, the PRP effect—when 5-year-old children processed two sequentially presented stimuli. Furthermore, this study sought to verify the interaction effects between SOA and Task 1 difficulty—when the PRP effects increase when the first task is hard.
Although a previous study (Kim & Yi, 2017) verified the basic dual-tasking characteristics in young children and attributed it to the processing interference occurring in the central processing stage (central bottleneck), the interference stage requires further investigation and extended discussion. The central bottleneck model (Pashler, 1994) suggested that no processing interference occurs in the stimulus perception stage, but this argument was refuted by several empirical investigations and implications. Brisson and Jolicœur (2007a, 2007b) measured event-related potentials (ERPs) while participants were engaged in performing the PRP task, and verified that when S1 processing requires a greater amount of attentional resource under high task difficulty conditions, the attentional allocation and perceptual processing level for S2 declines. Likewise, drawing on the fact that attentional resources are necessary for stimulus perception (Simons, 2000), researchers who investigated young children’s multisensory integration noted that perceptual processing takes place sequentially even when two stimuli are presented simultaneously, potentially leading to processing interference in the stimulus perception stage (Robinson & Sloutsky, 2010). In this study, we sought to reconfirm whether dual-tasking in young children is influenced by SOA and task difficulty and to extend the existing discussion about the processing interference stage in the related analysis.
2.3. Audiovisual Dual-Task Performance in Young Children
The effects of sensory modalities of stimuli on dual-tasking are crucial for young children, because they continuously process various information inputs with different sensory modalities at each moment. Despite such importance, no in-depth studies on this aspect have been conducted on young children. Some studies involving adult participants (Hibberd et al., 2010, 2013) have demonstrated that greater processing interference arises between S1 and S2 of the same sensory modality than between those of different sensory modalities. Researchers have explained this finding based on the multiple resource theory, arguing that although each sensory modality can be processed in parallel through separate processing channels, common sensory modalities share a single channel, resulting in processing interference due to limited channel processing resources. Building on this claim, previous studies have examined and validated it by comparing dual-task performance within the same sensory modality to that across different sensory modalities (Hibberd et al., 2010, 2013; Kim & Yi, 2017). However, few studies have explored whether the processing order of sensory modalities (i.e., visual–auditory vs. auditory–visual processing) affects performance outcomes.
Young children continuously process various audio-visual stimuli in their surroundings. Even for audiovisual stimuli, they may process visual or auditory inputs first at a micro-level. It is well-known that the visual and auditory senses have unique features. Whereas the auditory sense has higher temporal resolution than the visual sense and is thus advantageous for temporal pattern processing, the visual sense has higher spatial resolution than the auditory sense and is advantageous for spatiotemporal pattern processing (Bruce et al., 1996; Ghirardelli & Scharine, 2009; Krumbholz et al., 2003; Mahar et al., 1994; Rammsayer, 2014). It follows that simultaneous processing of auditory and visual stimuli can yield specific response tendencies.
Many studies have suggested the efficiency and dominance of auditory information processing in young children (Kim & Yi, 2017; Robinson & Sloutsky, 2004; Sloutsky & Napolitano, 2003). The studies have assumed that these results stem from earlier maturation of the auditory system and the processing characteristics of each sense. Meanwhile, others have demonstrated that visual information attracts participants’ attention more easily and can be processed with strong impact when they move or appear (Mateeff et al., 1985; McGurk & MacDonald, 1976). Therefore, we examined the children’s visual–auditory versus auditory–visual PRP dual-task performance, which has not yet been investigated. This study provides fundamental academic insights into cognitive development by examining the micro-level sequential processing characteristics of visual–auditory and auditory–visual dual-task performance in young children.
2.4. Cognitive Development and Dual-Task Performance in Young Children
Early childhood is a pivotal stage of cognitive development, marked by rapid brain maturation and dynamic interactions with the environment (Casey et al., 2005; Piaget & Cook, 1952; Thompson et al., 2000). Accordingly, during this period, attention serves as a fundamental mechanism in processing stimuli, enhancing cognitive efficiency, and task performance (Fries et al., 2001; Spitzer et al., 1988; Steinmetz et al., 2000). Furthermore, attention-related skills, such as sustained attention, selective attention, and attentional control, show significant growth between ages 2.5 and 5.5 years (Danis et al., 2008; Ruff & Lawson, 1990). Short-term memory3 enables temporary storage of incoming information, where greater capacity supports better information retention and processing efficiency (Case, 1985). Memory span, a key measure of short-term memory, increases significantly from ages 4 to 8 and gradually improves until reaching adult levels at around 12 years of age (Gathercole, 1999). Executive function, a higher-order cognitive ability, regulates thoughts and behaviors to achieve goal-directed tasks (Barkley, 1997; Reck & Hund, 2011). It is widely recognized as a multidimensional construct that encompasses inhibition, working memory, and cognitive flexibility (Becker et al., 2014; Garon et al., 2008; Miyake et al., 2000). Researches have demonstrated that these core subcomponents of executive function develop rapidly between ages 3 and 6 years (Garon et al., 2008; Guy et al., 2012; Luciana & Nelson, 2002; Simpson & Riggs, 2005).
Cognitive abilities such as attention, short-term memory capacity, and executive function are essential in human information processing. The development of these cognitive skills in young children may be closely related to dual-task performance because executing dual tasks requires a high level of cognitive processing, including the ability to allocate attention between tasks, maintain sufficient processing capacity and efficiency, and regulate task performance. Previous studies have suggested that individual differences in dual-task performance (in traditional paradigms) can be explained by variations in attentional allocation (Holtzer et al., 2005; Irwin-Chase and Burns, 2000), working memory capacity (Bühner et al., 2006; Colom et al., 2010; König et al., 2005), overall processing capacity (Crossley and Hiscock, 1992), and cognitive control abilities (Holtzer et al., 2005).
Moreover, studies using the PRP paradigm have demonstrated significant associations between cognitive abilities and PRP task performance. For example, Laguë-Beauvais et al. (2013) found that individuals with shorter psychological refractory periods (PRPs) exhibited higher scores in neuropsychological tasks related to processing speed, inhibition, cognitive flexibility, and working memory compared to those with longer PRPs. Similarly, Lee and Chabris (2013) observed that individuals with higher intelligence responded nearly twice as fast to the S2 in conditions with a very short SOA, compared to those with lower intelligence. This suggests that individuals with higher intelligence benefit from enhanced efficiency in serial processing during the central cognitive processing stages.
Considering these findings, PRP dual-task performance and PRPs in young children are likely to be influenced by cognitive abilities such as attention and cognitive control. However, because this study aimed to examine the effects of task stimuli and conditions, we controlled for cognitive abilities to isolate these factors. By minimizing individual variability, this study clarified how different task conditions influence PRP performance in young children.
Based on theoretical considerations, this study applied the PRP paradigm to examine visual–auditory and auditory–visual dual-task performance in 5- and 6-year-old children with varying task 1 difficulty (low and high). This study aimed to comprehensively analyze these performance characteristics and, in relation to this discussion, to provide educational implications and insights.
For this, we formulated the following hypotheses: First, we expected the PRP effect and the interaction between SOA and task 1 difficulty to be observed in young children. Additionally, we hypothesized that auditory–visual dual-tasking would be performed more efficiently than visual–auditory dual-tasking, because efficient processing of the preceding modality might reduce the cognitive load of dual-tasking. We also expected that the response time of task 2 (RT2) and PRP in visual–auditory dual-tasking would be longer than that in auditory–visual dual-tasking, particularly under conditions in which more cognitive resources are needed (short SOA or high difficulty of task 1) owing to greater overload in visual–auditory dual-tasking.
We expected task 1 response time (RT1) to remain unaffected by SOA, in line with the central bottleneck model. However, RT1 was expected to increase when task 1 difficulty was high because the condition required more processing in task 1. Furthermore, the RT1 in the auditory–visual condition is expected to be shorter than that in the visual–auditory condition because task 1 would be processed rapidly and more efficiently when it is auditory than when it is visual. Finally, the difference in RT1 between auditory–visual and visual–auditory dual-taskings would increase more in challenging task 1 because the efficiency of auditory processing might make whole processing more advantageous in the condition of cognitive overload.
The research questions were as follows:
- (1)
- What differences do young children show in dual-tasking and PRP under different task presentation conditions (SOA and task difficulty)?
- (2)
- Are there differences in young children’s dual-tasking and PRP depending on the processing order of auditory and visual stimuli (visual–auditory or auditory–visual)?
- (3)
- Are there interaction effects between the order of processing auditory and visual stimuli and task presentation conditions?
The hypotheses of this research were as follows:
- (1)
- The RT2 and PRP in young children will increase when the SOA decreased. However, the RT1 will not differ according to the SOA.
- (2)
- The RT1, RT2 and PRP in young children will increase in the condition of high task 1 difficulty compared with low task 1 difficulty.
- (3)
- Depending on the decrease in SOA, the increase in the RT2 and PRP will be more significant (PRP effect would increase) in the condition of high task 1 difficulty compared with low task 1 difficulty.
- (4)
- The RT1, RT2 and PRP in young children will be shorter in auditory–visual dual-tasking than in visual–auditory dual-tasking.
- (5)
- The difference in the RT2 and PRP between auditory–visual and visual–auditory dual-tasking will be larger in the short SOA condition compared to the long SOA condition.
- (6)
- The difference in the RT1, RT2 and PRP between auditory–visual and visual–auditory dual-tasking will increase in high task 1 difficulty compared with low task 1 difficulty.
3. Materials and Methods
3.1. Participants
The participants of this study were Korean preschoolers (35 boys and 35 girls) enrolled in five-year-old classes (aged 5–6 years) at daycare centers located in Seoul and Gyeonggi provinces. The mean age was 72.47 months (SD = 5.70), with an age range of 60–82 months. Participants were recruited from daycare centers located in middle-class residential areas within these regions. The income levels of these areas were confirmed to be close to the national average according to data from the Korea National Statistical Office (https://kostat.go.kr/ accessed on 15 June 2016).
The required sample size was calculated using G*Power (ver. 3.1.9.7). In the repeated-measures (within-factors) analysis, the total number of samples required to maintain a significance of 0.05, an effect size of f = 0.25 (median), and a power of 0.80 was 13 individuals. In addition, the total number of samples required to maintain a significance of 0.05, an effect size of f = 0.12 (small to medium), and a power of 0.80 was 50. Therefore, in this study, based on these results and considering the possibility of dropouts, 70 participants were selected.
Children diagnosed with cognitive, psychological, or physical conditions requiring additional support (e.g., sensory integration disorders, autism spectrum disorder, and visual and auditory impairments) were excluded because these conditions could affect their dual-task performance. Information about the children’s conditions was obtained from teachers who were informed that the children’s participation in this study would have no impact on them, thereby minimizing potential teacher bias.
3.2. Materials
3.2.1. Dual-Tasking Toolkit
We created a dual-tasking toolkit using E-prime software (2.0 Standard version) program4. The toolkit comprised visual–auditory (V–A) and auditory–visual (A–V) dual-tasks depending on the order of stimulus presentation. Each task was divided into subtasks with either a low or high difficulty in task 1. We set the SOAs at 250 ms, 500 ms, and 800 ms, drawing on the results of previous studies (Brisson & Jolicœur, 2007a; Hong, 2005; Park & Lee, 2003) and pilot study. The composition of the subtasks in the dual-tasking toolkit used in this study is presented in Table 1.
Table 1.
Composition of subtasks in the dual-tasking toolkit.
- V–A dual-tasks
Heart and star shapes (both black) and car horn and doorbell sounds (both 200 ms) were used as the first and second stimuli, respectively. The visual stimuli were presented with the dimensions 2.5 × 2.5 cm in the middle of a notebook screen. We edited the auditory stimuli, car horn and doorbell sounds downloaded from an open-access website (https://www.youtube.com/watch?v=FQc5zRy6wBU accessed on 15 May 2016, https://www.youtube.com/watch?v=0iOxXSctJHE accessed on 15 May 2016), to the same length and decibel level using a computer program (Audacity1.3 Beta software) and presented them through the built-in speaker of the notebook.
The V–A dual-tasks consisted of a shape response—sound discrimination task (low difficulty of task 1) and a shape discrimination—sound discrimination task (high difficulty of task 1). Here, the response task was to quickly press the response button (one button) when the stimulus was presented. The discrimination task was to press the corresponding button (one of the two buttons) quickly after identifying the stimulus when it was presented.
- A–V dual-tasks
In the auditory–visual (A–V) dual-task, cat and dog sounds (both 200 ms) were used as the first (auditory) stimuli, and red and blue rectangles were used as the second (visual) stimuli. We downloaded the auditory stimuli from an open-access website (https://www.youtube.com/watch?v=cUihTY7eDV4 accessed on 15 May 2016, https://www.youtube.com/watch?v=b-fX44-tJHI accessed on 15 May 2016); the edited files were saved and then presented through the built-in speaker of the notebook. The visual stimuli were presented in the middle of the notebook screen adjusted to 2.5 × 2.5 cm. The A–V dual-tasks consisted of a sound response–color discrimination task (low difficulty of task 1) and a sound discrimination–color discrimination task (high difficulty of task 1).
The dual-tasking test was conducted in the following order: The researcher presented the dual-tasks to each child on the notebook screen (15.6″) and explained what to do. At the starting point (1000 ms), the researcher instructed the child to fix his or her eyes at the gazing point (+) in the middle of the screen. In the low task 1 difficulty (S1 response → S2 discrimination), the researcher instructed the child to watch or listen to S1 and press the response button with the left hand as fast as possible and then distinguish S2 presented immediately after that and press the corresponding button with the right hand as fast as possible. In the high task 1 difficulty (S1 discrimination → S2 discrimination), the researcher instructed the child to distinguish S1 and press the corresponding button with the left hand as fast as possible, and then distinguish S2 presented immediately after that and press the corresponding button as fast as possible. S1 and S2 were presented with regular SOAs (250 ms, 500 ms, and 800 ms). After the child’s response was recorded in the notebook, the background screen appeared (500 ms) and the gaze point reappeared (+), followed by the next trial (Figure 2).
Figure 2.
An example of a dual-tasking trial for a visual–auditory task.
Auditory stimulation was presented at 67–70 dB through laptop speakers, suitable for listening in quiet spaces. Additionally, the presentation duration of the auditory stimuli was 200 ms. Stickers matching the stimuli were attached to the corresponding buttons on the notebook keyboard and irrelevant parts were covered with white paper to minimize children’s confusion when responding. Each subtask comprised 3 exercise runs and 24 trials (8 times per SOA presented in random order). The V–A and A–V dual-tasks and low- and high-difficulty subtasks were presented to each child in random order to control the order effect. We also controlled the responding hand, given the reports of previous studies that the right hand responds faster than the left (Badwe et al., 2012); one half of the children were instructed to use the left and right hand for S1 and S2, respectively, while the other half of the children were asked to do the reverse.
After a gaze point (+) was presented for 1000 ms, the first visual stimulus (heart shape) was presented on the laptop screen. The second auditory stimulus is presented after a time interval (250, 500, or 800 ms) for 200 ms. The child stares at the gaze point, and when the first visual stimulus (heart shape) is shown, the child presses the response button as quickly as possible. When the second auditory stimulus (“toot-toot” or “ding-dong” sounds) is heard with a white blank screen, the child presses the corresponding button (car or bell) as soon as possible. After the child responds to the auditory stimulus, a blank screen appears for 500 ms, followed by the reappearance of the gaze point for the next trial.
3.2.2. Uni-Task Toolkit
Using E-prime software, we created a uni-task toolkit for the baseline analysis of each response and calculation of the PRP in each child. The uni-tasks comprised the response uni-task and discrimination uni-task with the visual (shape, color) and auditory (sound 1, sound 2) stimuli used in the dual-tasks toolkit.
The uni-task performance was conducted as follows: The researcher presented the single task to the child on the notebook screen and explained the task performance procedure. At the starting point (1000 ms), the researcher instructed the child to fix his or her eyes at the gazing point (+) in the middle of the screen. When the stimulus was presented, the researcher instructed the child to press the response button (response uni-task) or the stimulus-related button (discrimination uni-task) as fast as possible. After the child’s response was recorded in the notebook, the background screen appeared (500 ms) and the gaze point reappeared (+), followed by the next trial. Each single task comprised 2 exercise runs and 3 trials. We presented the response and discrimination uni-tasks randomly to control for the order effect.
3.2.3. Attention and Executive Function Measurement Toolkit
Previous studies have noted that basic and high-level cognitive abilities, such as attention and executive function, are closely associated with dual task performance (Bühner et al., 2006; Colom et al., 2010; Holtzer et al., 2005; Irwin-Chase & Burns, 2000). Therefore, we sought to control for the internal factors that could influence dual-task performance in young children by measuring their attention and executive functions. Children’s attention and executive functions were measured using the Children’s Color Trails Test (CCTT) (Williams et al., 1995), standardized for Korean children (aged 5–15 years) (Koo & Shin, 2008).
This test is considered a reliable instrument for assessing attentional and executive functions associated with frontal lobe processing, and it has demonstrated strong validity and clinical utility in the diagnosis and evaluation of children with ADHD (Koo & Shin, 2008; Williams et al., 1995). Specifically, CCTT-1s (sequentially connecting numbered circles beginning from 1) measure visual sustained attention and processing speed, whereas CCTT-2s (alternately connecting numbered circles of different colors) evaluate attention shifting, concentration, and cognitive flexibility (Koo & Shin, 2008). Thus, the test provides a comprehensive assessment of the children’s cognitive processing speed, attention, and executive functioning, including planning, organizing, and task switching. Owing to its minimal reliance on language and ease of administration, the CCTTs were used in this study to assess children’s attention and executive functions.
The CCTTs consist of two subsets: CCTT-1s and CCTT-2s. The CCTT-1s assess how quickly and accurately children can sequentially connect numbered circles (1–15) and randomly arranged colored circles (yellow or pink). CCTT-2s requires the participants to alternate between the two colors while connecting the numbered circles in ascending order. Before administering each subset, the researcher trained each child to acquire adequate skills to perform the test. In the real test, the researcher measured the task performance time using a stop watch. The score was obtained by adding the times required for successfully performing CCTT-1 and CCTT-2 (unit: min rounded to two decimal places).
3.3. Procedure
3.3.1. Pilot Study
Fifteen children (five from each of the 3-, 4-, and 5-year-old classes) participated in the first pilot study. This study examined the age suitability of the PRP tasks. The researcher presented visual–auditory and auditory–visual dual-tasks, as well as visual and auditory uni-tasks, to each participating child. They explained, in detail, how to perform the tasks and then confirmed the children’s task performance. The results showed that children in the 3-year-old class found it difficult to respond quickly in succession to each of the two stimuli, while children in the 3- and 4-year-old classes were often too distracted to continue their performance. In contrast, children in the 5-year-old class demonstrated a good overall attention span during the task (15–20 min). They completed the entire task with a correct answer rate close to one for all the uni- and dual-tasks. Based on these results, we confirmed that the tasks in this study are suitable for children in the 5-year-old class.
The second pilot study was conducted to confirm the task’s stimulus and SOA suitability. Twelve children from the 5-year-old class were randomly sampled, and they performed dual audiovisual tasks with various stimuli and SOA. The dual tasks were performed using several SOA conditions (350 ms, 500 ms, 700 ms, 1000 ms/550 ms, 700 ms, 900 ms, and 1200 ms). They consisted of different visual stimuli (circles of different sizes, colored squares, various shapes) and auditory stimuli (sinusoidal waves of different frequencies, animal sounds, cars, bells, etc.). We confirmed that children had difficulties distinguishing abstract sounds (e.g., sine waves) and sizes of visual stimuli. However, they could easily recognize and distinguish between distinct sounds, shapes, and colors. We also confirmed that the range of SOAs for young children to perform a PRP-based dual task optimally was 250–900 ms. Based on the results obtained from the pilot study, we finalized the toolkit and conducted the main study.
3.3.2. Main Study
The main study was administered to 70 (35 boys and 35 girls) five- and six-year-olds. This study was approved by the institutional review board (IRB) of Seoul National University and the parents of all study participants provided informed consent. Participants were recruited after the researcher obtained their parents’ approval after explaining the content and purpose of the study. The entire set of tests was conducted over two days for each child, taking into account the usual attention span of young children. One session per day lasted about 15–20 min. Prior to administering the test, the researcher had time to build a rapport with each child, and the trials were conducted according to the procedure set for each subtask. The subtests of the dual-task and uni-task were presented in random order. Each child’s responses were recorded in the notebook using the E-prime software program.
3.4. Data Analysis
No participants withdrew from the study. Therefore, all participants’ data (N = 70) was eligible for analysis. However, extreme outliers attributable to distraction or button manipulation failure were excluded from analysis in accordance with the outlier standard (>Q3 of the individual performance data × 1.5). A total of 1.72% of the data were excluded from analysis due to outlier criteria.
We calculated the average response time (RT) for each test condition based on the collected data. PRP5 was calculated by subtracting the uni-task RT corresponding with the second subtask from the dual-task’s (dual-task RT2—uni-task2 RT) second response time (RT2). Through this method, we could accurately calculate the PRP values at each SOA condition, while previous studies estimated the PRP values only at very short SOA (Hartley et al., 2011; Laguë-Beauvais et al., 2013). The data collected were analyzed using the SPSS 22.0 program (basic statistical analysis, repeated measures analysis of covariance [ANCOVA], etc.). In this study, the Children’s Color Trails Test (CCTT) was used to assess children’s information processing abilities, including visual attention, processing speed, and executive functions. Previous studies have shown that these cognitive abilities may influence children’s dual-task performance (Bühner et al., 2006; Colom et al., 2010; Crossley & Hiscock, 1992; Holtzer et al., 2005; Irwin-Chase & Burns, 2000; König et al., 2005; Mercimek et al., 2020). Based on these findings, we included attention and executive function scores measured in this study as covariates to control for individual differences in cognitive abilities. Additionally, sex differences were not separately analyzed in this study, as they were not the primary focus of the research.
4. Results
4.1. Descriptive Statistics for Attention and Executive Function Scores and Their Correlation with PRP
Descriptive statistical analyses of children’s attention and executive function performance are summarized in Table 2. On average, the children completed the CCTT-1 task in 0.70 s (SD = 0.27), and CCTT-2 task in 1.46 s (SD = 0.53). The mean total CCTT completion time, calculated as the sum of CCTT-1 and CCTT-2, had a mean of 2.16 s (SD = 0.74).
Table 2.
Descriptive statistics for attention and executive function of children.
The correlation analysis between the children’s attention and executive function performance in relation to PRP is presented in Table 3. A significant correlation was observed between CCTT completion time and PRP (i.e., delay in the second task) in certain subtasks of the auditory–visual dual-task condition. Specifically, significant correlations were found in the low difficulty task 1 condition at SOA of 250 ms (r = 0.35, p = 0.003), 500 ms (r = 0.33, p = 0.006), and 800 ms (r = 0.30, p = 0.012). In addition, the high-difficulty task 1 condition showed a significant correlation at an SOA of 800 ms (r = 0.25, p = 0.036). However, no significant correlation was found between CCTT completion time and PRP in the visual–auditory dual-task condition.
Table 3.
Correlation between children’s attention and executive function time (s) and PRP.
These findings suggest that shorter CCTT completion times are associated with shorter PRP under dual-task conditions, partially indicating its relation to children’s cognitive abilities. Given that the attention and executive function assessment tool used in this study primarily measured visual attention and executive function, its relationship with PRP in the auditory–visual dual-task condition, in which the second task is visual, warrants further discussion. In the subsequent analyses, the focus will be on examining children’s performance across dual-task conditions while controlling for attention and executive function abilities.
4.2. Dual-Tasking and PRP in Young Children by Task Conditions (SOA, Task 1 Difficulty)
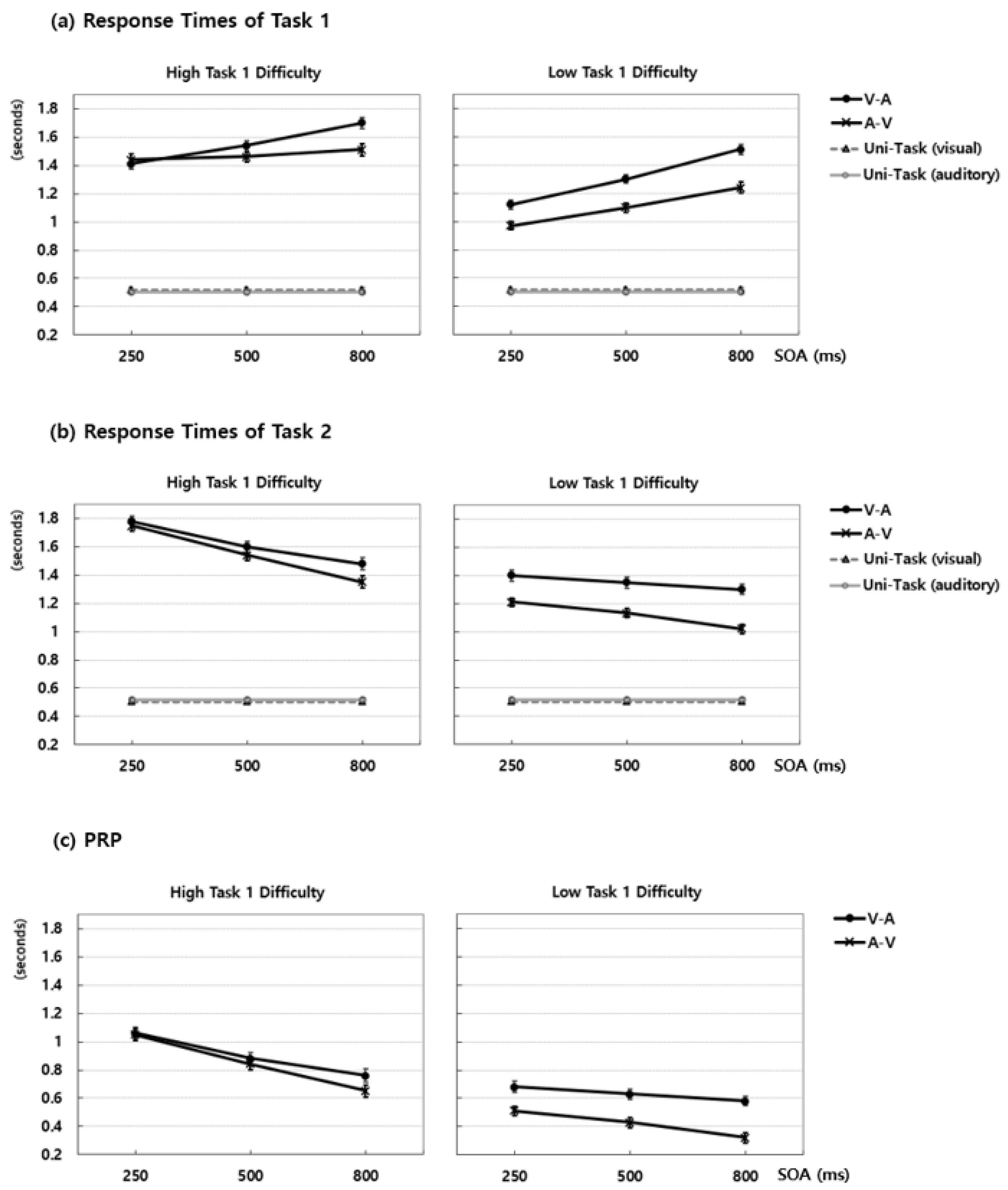
Figure 3 shows the overall trends of children’s dual-tasking and PRP depending on SOA and task 1 difficulty. We performed a repeated measures ANCOVA [3 (SOA) × 2 (task 1 difficulty)] to determine whether there are differences in children’s dual-tasking and PRP depending on SOA and task 1 difficulty, thereby inputting these two factors as the intrapersonal variables.
Figure 3.
Response times of the first and second tasks and psychological refractory period according to the stimulus onset asynchrony and task 1 difficulty. Error bars represent standard errors.
Looking at the effects of SOA on RT in Table 4, RT1 (F(2, 136) = 32.95, p < 0.001, η2 = 0.33), RT2 (F(2, 136) = 10.40, p < 0.001, η2 = 0.13) and PRP (F(2, 136) = 10.46, p < 0.001, η2 = 0.13) showed significant SOA-dependent differences. As a result of examining multiple comparisons between SOA conditions through the LSD post-validation of repeated measures ANCOVA analysis, a significant difference in p < 0.001 level was found between all the comparison pairs of SOA. The changing trends demonstrated that as the SOA increased from 250 ms to 500 ms and 800 ms, the mean RT2 decreased from 1.53 s to 1.41 s and 1.29 s, respectively, as did PRP from 0.82 s to 0.70 s and 0.58 s, respectively. In contrast, as the SOA increased, the mean RT1 increased from 1.23 s to 1.35 s and 1.49 s, respectively.
Table 4.
Differences in children’s dual-tasking and psychological refractory period depending on the stimulus onset asynchrony and task 1 difficulty.
Looking at the effects of task 1 difficulty on RT, its main effect was exhibited in both RT1 (F(1, 68) = 29.94, p < 0.001, η2 = 0.31) and RT2 (F(1, 68) = 35.67, p < 0.001, η2 = 0.34) as well as PRP (F(1, 68) = 36.10, p < 0.001, η2 = 0.35). Children’s response patterns associated with task 1 difficulty were similar in RT1, RT2, and PRP. RT1 was longer in high-difficulty task 1 than in low-difficulty task 1, as was RT2 and PRP.
What is noteworthy here is that interaction effects appeared between SOA and task 1 difficulty in RT2 (F(2, 136) = 6.67, p = 0.002, η2 = 0.09) and PRP (F(2, 136) = 6.56, p = 0.002, η2 = 0.09). More specifically, whereas the decrease in RT2 with increase in SOA was not statistically significant in the low task 1 difficulty condition, it was statistically significant in the high task 1 difficulty condition (F(2, 136) = 13.59, p < 0.001, η2 = 0.17), as shown in Table 5. The same trend was observed in PRP. As the SOA increased from 250 ms to 500 ms and 800 ms, the PRP decreased from 0.59 s to 0.53 s and 0.45 s, respectively, in the low task 1 difficulty condition, but without statistical significance. On the other hand, PRP decreased more markedly in the high task 1 difficulty condition from 1.05 s to 0.86 s and 0.70 s, respectively, with statistical significance (F(2, 136) = 13.58, p < 0.001, η2 = 0.17). These results demonstrate that PRP effects appear more markedly in high-difficulty tasks and can be discussed from various angles in relation to the findings of previous studies.
Table 5.
Interaction effects between the stimulus onset asynchrony and task 1 difficulty on the response times of the second task and the psychological refractory period.
4.3. Dual-Tasking and PRP in Young Children by Processing Order of Auditory and Visual Stimuli
Figure 4 shows the overall trends of children’s dual-tasking and PRP depending on the processing order of auditory and visual stimuli and task presentation conditions (SOA and task 1 difficulty). We performed a repeated measures ANCOVA [2 (processing order of sensory modalities) × 3 (SOA) × 2 (task 1 difficulty)] to determine whether there were differences in children’s dual-tasking and PRP depending on the processing order of sensory modalities, SOA, and task 1 difficulty, thereby inputting these three factors as the intrapersonal variables.
Figure 4.
Response times of the first and second tasks and psychological refractory period according to the stimulus onset asynchrony and modality order in each condition of task 1 difficulty. Error bars represent standard errors.
Looking at the effects of the processing order of sensory modalities on children’s dual-tasking and PRP (Table 6), the main effect of the processing order of sensory modalities was exhibited in both RT1 (F(1, 68) = 8.10, p = 0.006, η2 = 0.11) and RT2 (F(1, 68) = 3.90, p = 0.052, η2 = 0.05) as well as PRP (F(1, 68) = 4.31, p = 0.042, η2 = 0.06). More specifically, RT1 for the V–A subtask was 1.43 s and RT1 for the A–V subtask was 1.29 s, demonstrating a shorter RT1 in processing the auditory stimulus first. The same trend was observed in RT2, with 1.49 s for the V–A subtask and 1.33 s for the A–V subtask. The same was true of PRP as well, with 0.76 s for the V–A subtask and 0.63 s for the A–V subtask.
Table 6.
Differences in children’s dual-tasking and psychological refractory period depending on the modality order, stimulus onset asynchrony, and task 1 difficulty.
4.4. Interaction Between Stimulus Order and Task Presentation Conditions
In order to determine whether the effects of the processing order of sensory modalities vary depending on task presentation conditions, we looked into the interaction effects between the processing order of sensory modalities and task presentation conditions. First, an analysis of the interaction effects between the processing order of sensory modalities and task 1 difficulty revealed statistically significant interaction effects in both RT1 (F(1, 68) = 5.77, p = 0.019, η2 = 0.08) and RT2 (F(1, 68) = 6.18, p = 0.015, η2 = 0.08) as well as PRP(F(1, 68) = 6.24, p = 0.015, η2 = 0.08) (Table 6). More specifically, whereas RT1 in low task 1 difficulty was significantly shorter for the A–V subtask (1.11 s) than for the V–A subtask (1.31 s) (F(1, 68) = 13.63, p < 0.001, η2 = 0.17), the difference between these two subtasks was not statistically significant in high task 1 difficulty (Table 7). In RT2 as well, the effects of the processing order of sensory modalities appeared only in low task 1 difficulty (F(1, 68) = 9.42, p = 0.003, η2 = 0.12). Likewise, the superiority of the A–V subtask performance in PRP appeared only in low task 1 difficulty (F(1, 68) = 10.03, p = 0.002, η2 = 0.13).
Table 7.
Interaction effects between the modality order and task 1 difficulty on the response times of the first and second tasks and psychological refractory period.
Looking at the interaction effects between the processing order of sensory modalities and SOA, the significant interaction effect was exhibited in RT1 (F(2, 136) = 4.56, p = 0.012, η2 = 0.06). More specifically, as shown in Table 8, whereas RT1 did not show any statistically significant differences between the V–A and A–V subtasks at the SOA value of 250 ms, it was significantly shorter for the A–V subtask (1.28 s) than for the V–A subtask (1.42 s) at 500 ms (F(1, 68) = 4.47, p = 0.038, η2 = 0.06) and at 800 ms (1.38 s vs. 1.60 s) (F(1, 68) = 12.21, p = 0.001, η2 = 0.15).
Table 8.
Interaction effects between the modality order and stimulus onset asynchrony on the response times of the first task.
These results are graphically represented in Figure 4. The graphs clearly illustrate the increase in children’s PRP with the decrease in SOA and the increase in task 1 difficulty. On a related note, whereas the PRP for the A–V subtask is lower than that for the V–A subtask in low task 1 difficulty, the differences in PRP are no longer statistically significant in high task 1 difficulty. These results imply that processing losses in dual-tasking increase in the conditions of short SOA and high task 1 difficulty, and can be minimized when processing A–V tasks of low task 1 difficulty, thereby boosting processing efficiency.
5. Discussion
Young children continuously assimilate and process various sensory information inputs from the environment to which they are exposed. The efficient processing of concurrent information inputs through sensory organs is of pivotal importance not only for their cognitive development, but also as an indispensable part of living in today’s world with increasingly prevalent multiple sensory information processing. Despite its crucial importance, little is known about young children’s dual-tasking mechanisms or processing characteristics. Moreover, there have been hardly any attempts to investigate the effects of the order of processing different sensory modalities on young children’s dual-tasking. This study was conducted to shed light on young children’s dual-tasking mechanisms and characteristics and to investigate the effects of the information processing order of auditory and visual stimuli. This investigation is expected to provide developmental and educational implications for young children. To this end, we developed a systematic toolkit, controlled for various potential confounding factors, and examined the dual-tasking performance of young children under different task presentation conditions. The following summarizes the conclusions and considerations that can be derived based on the collected data.
5.1. Presence of a Sequential Processing System
First, PRP effects were manifested in young children’s dual-tasking performance. The analysis results of this study revealed that the RT2 and PRP decreased with an increase in the SOA, which is consistent with the findings of previous studies on adults (Fischer & Hommel, 2012; McCann & Johnston, 1992; Park & Lee, 2003) and young children (Kim & Yi, 2017). This can be interpreted as a confirmation of the serial arrangement of the RS process in each task trial in young children and the presence of the central bottleneck as its underlying system. This suggests that young children’s dual-tasking mechanisms work in a manner similar to that of adults. It is noteworthy that children’s PRP was found to range between 580 ms and 820 ms in contrast to adults’ PRP of 50–250 ms in similar SOA conditions (Chung & Kim, 1991; Leonard, 1959; E.-S. Song, 1995). This may be attributed to young children’s lower general cognitive ability, such as information processing efficiency, attention, and executive functions, compared with adults. In this regard, particular care will have to be taken to consider preschooler-specific cognitive processing abilities when developing preschooler education tasks that require dual-tasking.
Another noteworthy result of our study is that young children’s RT to the first stimulus increased as the SOA increased. We expected that the children’s RT1 would not be affected by SOA based on the central bottleneck model. Furthermore, in several studies conducted on adult participants, RT1 showed no significant SOA-dependent differences (McCann & Johnston, 1992; Van Selst & Jolicoeur, 1994). Regarding these unexpected results, we must consider the recent proposition of backward crosstalk effects (BCEs) according to which task 1 and task 2 performances can influence each other in a bidirectional manner (Janczyk et al., 2014; Lien & Proctor, 2002). However, previous studies that confirmed the backward crosstalk effects argued that this effect occurs under particular conditions. That is when the response features of the two tasks overlap. For example, the dual-task—in which participants press the left or right button manually according to the color of the presented letter (task 1), then say ‘left’ or ‘right’ based on the written word, left or right (task 2)—includes a spatial feature in two responses. Researchers assume that the response selection stage consists of two sub-stages—response activation and final response selection. They suggest that the BCEs stem from mutual influences in the response activation stage, with action goals, and that coding is needed for response selection (Janczyk et al., 2014; Lien & Proctor, 2002). However, our experiment seemed to have fewer backward crosstalk effects because the two dual-tasking responses do not share a specific feature.
Thus, response grouping was another consideration regarding the RT1 delay with increasing SOA. Ulrich and Miller (Ulrich & Miller, 2008) suggested that response grouping is a ubiquitous phenomenon in PRP tasks, particularly when the responses of the two tasks are conducted manually. The participant who uses this strategy holds the first response (R1) after selecting it until the second response (R2) is initiated. This may be because emitting two responses almost simultaneously is easier than emitting them in succession (Ulrich & Miller, 2008). Researchers have suggested excluding from analysis the data where R1 and R2 are very close to correct for this contamination effect (Ulrich & Miller, 2008). We supposed that this post hoc removal method might be a way to confirm the exact RT1. However, another systematic study should be conducted to find an adequate cutoff value for removing the children’s performance data. Ulrich and Miller (Ulrich & Miller, 2008) clarified that RT2 did not change when applying the new model where data were removed through a simulation. We suspect that the results in our study (RT1 increases as SOA increases) might stem from the response grouping, as the children might be likely to use this strategy for easier performance. Still, we could interpret RT2 and PRP without fear of contamination from the response grouping. We expect that a more exact RT1 in children’s dual-tasking would be confirmed through another systematically designed follow-up study.
5.2. Effects of Cognitive Load in Dual-Tasking
This study revealed that the cognitive load required for dual-tasking influences young children’s dual-task processing interference and performance losses. RT1, RT2, and PRP increased when performing high-difficulty rather than low-difficulty dual-tasks. This result is consistent with those of related previous studies (Chung & Kim, 1991; Hong, 2005; Kim & Yi, 2017; E.-S. Song, 1995), thus verifying the effects of the cognitive load associated with the dual-tasking process on the dual-task processing interference. That is, if the difficulty of task 1 increases, the cognitive load in the task 1 RS stage increases, prolonging the task 1 processing and delaying the task 2 processing. From this it follows that the greater the difficulty of the preceding task (processing an unfamiliar stimulus or high-order perceptual processing), the greater the processing interference on the task to be processed simultaneously.
The effects of cognitive load on young children’s dual-tasking also appeared in the interaction effects between SOA and task 1 difficulty. The processing interference exhibited in a short SOA was much more intense when exhibited in a high task 1 difficulty, which is consistent with the results of previous studies (Chung & Kim, 1991; Kim & Yi, 2017; E.-S. Song, 1995). These conditions require children to perceive the two stimuli presented almost simultaneously in a very short time. Although some earlier studies suggested that the processing delay in dual-tasking stems primarily from the processing interference in the RS stage (Pashler, 1994; Welford, 1952), the processing characteristics exhibited owing to the lack of cognitive resources in such conditions further point to processing interferences in the stimulus perception stage. Given that attentional resources, that is, cognitive resources, are required for stimulus perception (Simons, 2000), the use of scarce cognitive resources for the perception of S1 can lead to processing interferences in perceiving S2, thus delaying its processing. On the other hand, in the event of ample cognitive resources owing to the low cognitive load required for the task, fewer processing interferences arise in the stimulus perception stage, all other conditions being equal. This interpretation can be supported by the findings of previous studies in which adults’ perceptual processing of dual-task stimuli was assessed through the measurement of ERPs (Brisson & Jolicœur, 2007a, 2007b). The exact interference occurring in the stimulus perception stage in these special conditions could be clarified through ERPs studies. Still, an analogical inference would be possible with the results of our study. To sum up, these results suggest that the processing interferences in the stimulus perception stage can be another important issue in young children’s dual-tasking. In view of this, overall task difficulty or familiarity of stimuli (conducive to perception efficiency) should be carefully considered when presenting dual-tasks to regular children or those with specific sensory impairments.
5.3. Efficiency of Auditory Processing and Salience of Visual Stimulus
In this study, it was also found that children’s dual-task processing interferences varied depending on whether the auditory or visual stimulus is processed first. Compared with V–A tasks, children generally demonstrated shorter RT1, RT2, and PRP when processing A–V tasks. This points to the higher efficiency of A–V information processing. Figure 5 is a hypothetical schematic illustrating how the difference in processing efficiency between auditory and visual stimuli in the stimulus perception stage can have different effects on children’s task performance depending on the processing order. Here, the RS and RE stages are assumed to be the same, irrespective of sensory modality. When the processing characteristic that auditory stimuli can be processed more efficiently than visual stimuli (Kim & Yi, 2017; Robinson & Sloutsky, 2004; Sloutsky & Napolitano, 2003) is applied to the early processing stage of a dual-task, the order of processing auditory and visual stimuli will trigger differences in overall dual-tasking and PRP. Accordingly, Figure 5 suggests that A–V dual-tasking can derive shorter RT1, RT2, and PRP than can V–A dual-tasking.
Figure 5.
Graphical representation of the first and second response times and psychological refractory period in each modality order condition (under low task 1 difficulty).
Each value of RT1, RT2, and PRP represents the mean calculated for each condition in this study (unit: seconds). The blue line indicates the changes in RT1, RT2, and PRP in the auditory–visual condition compared to the visual–auditory condition.
Surprisingly, such differences stemming from the stimulus processing order were canceled out in high task 1 difficulty processing. A comparison of RT1, RT2, and PRP between low and high task 1 difficulty, dual-tasking revealed that the higher efficiency of A–V information processing appeared only in processing low-difficulty task 1. We sought to interpret this phenomenon in connection with the salience of visual information in attracting attention. Earlier studies demonstrated that visual information which moves or appears suddenly could grab one’s attention (Mateeff et al., 1985). Therefore, in cases where S1 is a visual stimulus processed first in attentional allocation, S1 processing is not influenced by S2, an auditory stimulus presented right after S1. When it is the other way around, however, attention shift from S1 (auditory) to S2 (visual) will likely interfere with the S1 processing, leading to a delay in initial S1 processing. Furthermore, this could likely affect the response selection stage of task 1 due to the overlapping section. It seems that these interferences in the perception and response selection stages might generally influence the performance of task 1. This phenomenon is illustrated graphically in the hypothetical schematic in Figure 6; in a high-difficulty A–V dual-tasking condition, the visual perception of task 2 can interfere with the auditory perception of task 1, leading to a delay in processing in the perception and response selection stage.
Figure 6.
Graphical representation of the first and second response times and psychological refractory period in each modality order condition (under high task 1 difficulty).
Each value of RT1, RT2, and PRP represents the mean calculated for each condition in this study (unit: seconds). The blue line indicates the changes in RT1, RT2, and PRP in the auditory–visual condition compared to the visual–auditory condition. The red line represents the hypothetical influence of increased cognitive load in a dual-task condition with a short SOA and high task 1 difficulty. Specifically, it illustrates how the processing of the second-presented visual stimulus (at the recognition stage) may interfere with the processing of the first-presented auditory stimulus.
In the same vein, we could also verify the interactions between the processing order of sensory modalities and SOA. More specifically, when the SOA was 800 ms, the RT1 in the auditory–visual (A–V) dual-task condition was significantly shorter than that in the visual–auditory (V–A) condition. However, this significant difference disappeared when the SOA was 250 ms. These results may be explained by the fact that, under shorter SOA conditions, there is greater overlap in the perceptual processing of auditory and visual stimuli during the early stage of A–V dual-tasking. Under these conditions, the phenomenon in which attention initially allocated to the auditory stimulus is diverted to the visual stimulus may lead to a delay in the auditory perception of task 1. As a result, RT1 may increase in A–V dual-tasking under a short SOA condition, thereby reducing the difference from the RT1 in V–A dual-tasking.
These results are significant in that they suggest both the efficiency of auditory perception and the importance of visual information processing in young children. First, from these results it follows that whereas preferential processing of auditory stimulus in multisensory dual-tasking boosts overall processing efficiency, it will improve considerably when requiring a low processing level. For example, when the auditory information is easy and familiar. These results also suggest the importance of visual stimuli. Although visual information may require more time for analysis or processing, it was found that visual inputs are important stimuli that attract young children’s attention. The findings of previous studies suggested that although infants and young children have higher reliance on and sensitivity to auditory inputs than to visual inputs (Robinson & Sloutsky, 2004; Sloutsky & Napolitano, 2003), from early school-age (six to eight years) onwards, visual inputs greatly influence information processing (Hirst et al., 2018a, 2018b; Napolitano & Sloutsky, 2004). The findings of this study analyzing the dual-tasking performance of children of a mean age of 5.7 years support the arguments of previous studies and reaffirm the strong impact of visual stimuli regarding attention capturing.
5.4. Influence of Children’s Attention and Executive Function on Their PRP Dual-Tasking
Traditional PRP studies conducted on adults have generally not controlled for participants’ cognitive abilities. However, subsequent research has demonstrated that individual differences in cognitive abilities, such as attention, memory capacity, and executive function can influence dual-task performance (Bühner et al., 2006; Colom et al., 2010; Crossley & Hiscock, 1992; Holtzer et al., 2005; Irwin-Chase & Burns, 2000; König et al., 2005). Mercimek et al. (2020) examined the multitasking performance of middle school students under different task conditions and highlighted the need to include the participants’ cognitive abilities as co-variates in multitasking experiments. In the present study, a preliminary statistical analysis was conducted to explore the correlation among PRP and a composite measure of attention and executive function in young children, revealing significant associations in certain subtasks.
Notably, significant correlations were observed only in the A–V dual-task condition, and not in the V–A dual-task condition. This finding can be interpreted in light of the fact that the PRP reflects the processing delay of the second task, and that the CCTT used in this study primarily assesses children’s cognitive abilities related to visual stimulus processing, such as visual attention and visual attention shifting. In the A–V dual-task condition, children with stronger visual information-processing abilities exhibited less processing delay and decline in the PRP dual-task performance when engaging in the second task (the visual task). These results suggest the need for future research to examine auditory attention and executive function to further investigate the relationship between young children’s auditory cognitive abilities, and their performance in the V–A dual-task condition.
When the difficulty of the first task increased, dual-task processing efficiency was not observed under conditions of heightened cognitive load (i.e., short SOA and high task 1 difficulty), even among children with strong visual information processing abilities. This finding suggests that while enhanced fundamental information processing abilities may help mitigate performance deterioration in dual-task conditions with lower cognitive load, they may be insufficient to counteract substantial performance decline when the cognitive load becomes excessively high due to task complexity or stimulus characteristics. However, as this interpretation is based on a preliminary analysis, a more systematic investigation is required to validate these findings.
The ANCOVA results, which included attention and executive function as covariates, further demonstrated their significant influence. The analysis showed that the effects of the covariates were not significant for RT1, but statistically significant for both RT2 and PRP, based on the analyses from which Table 4 and Table 6 were derived. Furthermore, the overall effects of the main variables decreased when the covariates were included, suggesting that this reduction was due to the removal of confounding effects. These findings confirm that basic and higher-order cognitive abilities significantly influence PRP performance in young children. Moreover, they underscore the necessity of controlling for participants’ cognitive abilities in experiments designed to examine task-related effects more precisely.
5.5. Significance of the Study
This study has theoretical and practical implications. First, it provides a systematic and controlled experimental approach to examine dual-task performance in young children using the psychological refractory period (PRP) paradigm. This experimental framework enabled a micro-level measurement of dual-task performance, making it particularly well suited for examining the processing mechanisms involved in dual-tasking and the effects of task characteristics on the dual-tasking abilities of young children. By adapting the PRP paradigm—originally developed for adult studies—to assess young children’s dual-task performance, this study uncovers previously unidentified micro-level processing characteristics, and provides new perspectives for discussion.
Second, this study contributes to the understanding of audiovisual dual-task processing, which has been largely unexplored in previous research. Young children receive continuous visual and auditory information during daily cognitive processing. While prior studies have examined the distinct processing characteristics of visual and auditory stimuli and the sequential processing of stimuli within the same sensory modality (Kim & Yi, 2017), little research has investigated how visual and auditory stimuli are processed concurrently. This study fills this gap by elucidating the processing characteristics of concurrent audiovisual dual-task performance in young children.
Third, this study offers important educational and developmental implications in the context of increasing stimulus overload owing to advancements in media and digital environments. This highlights the need for an optimal learning environment that minimizes unnecessary media distractions, and ensures that young children can focus on a single task. Specifically, a well-structured and organized learning environment where extraneous media stimuli are either absent or turned off, may be more conducive to early cognitive development and effective learning. Although not the primary focus of this study, our findings suggest that supporting the development of basic and higher-order cognitive abilities (e.g., attention and executive function) in young children may be beneficial. Educational programs aimed at fostering these cognitive skills can be adapted and implemented in classroom settings to better support young children’s cognitive development.
5.6. Limitations and Future Directions
Despite these contributions, this study has several limitations. First, we could not consider young children’s dual-tasking characteristics involving sensory modalities other than auditory and visual senses. Tactile and kinesthetic senses are other sensory modalities to which young children are constantly exposed. Investigating dual-tasking or multitasking characteristics involving these senses or the simultaneous processing of three senses would provide basic data for extended discussions about young children’s multisensory information processing.
Second, in terms of experimental methodology, it can be pointed out that the stimuli used in the auditory–visual dual-tasking and those used in the visual–auditory dual-tasking were different as a weak point in the research design. However, we did not find any significant difference between the uni-task RTs for the two visual stimuli in the performance of a single task, nor did we find any significant difference between the uni-task RTs for the two auditory stimuli. Therefore, we did not believe that the differences in visual and auditory stimuli significantly affected the performance cost of dual-tasking. However, even if this was minor, we could not rule out the possibility of this effect. Accordingly, the results of this study need to be revalidated through follow-up studies that utilize the same stimuli in V–A and A–V dual-tasking.
Third, this study was conducted on typically developing preschoolers and could not provide data on the dual-tasking characteristics of their peers with developmental specificities; for instance, follow-up studies on young children with early visual or auditory impairments, as well as those with autism, could provide valuable insights into the con-current processing of audiovisual stimuli across a broader population. Such research would enhance the academic understanding of dual-task processing, while informing practical strategies for designing supportive environments and interventions for children with special needs. Additionally, investigating sex differences in PRP dual-task performance could facilitate comparisons of dual-tasking abilities by sex and further exploration of the underlying factors influencing these differences.
Fourth, previous studies have identified several cognitive factors, such as attention, cognitive capacity, and executive function, all of which influence dual-task performance in humans. However, this study does not specifically examine the cognitive variables that predict the level of processing interference in PRP dual-task performance in young children. Future research should incorporate more precise assessments of various cognitive abilities in young children to identify the higher-order information processing skills that most strongly predict micro-level processing interference. These findings offer valuable insights for supporting cognitive development and guiding educational activities for young children.
Finally, this study targeted Korean children, and the results may have been culturally specific due to Korean culture’s background and educational environment. Several previous studies have reported that Korean children show different characteristics from other culture’s children in several aspects of cognitive development (Lewis et al., 2009; Oh & Lewis, 2008; H. Song & Jinyu, 2017). Therefore, it should be considered that the results of dual-tasking in children in this study may differ depending on the characteristics and environments of various cultures. For example, in Mongolian cultures, where visual abilities have been predominantly developed due to the influence of the environment, the characteristics of visual–auditory and auditory–visual information processing of children would vary. Accordingly, it is necessary to interpret the results of this study carefully. That is, the results here can be utilized as data for comparison or reference, not as direct indicators for predicting the development of dual-tasking in children in other cultures.
6. Conclusions
This study systematically investigated audiovisual dual-task performance in young children using a rigorously controlled PRP paradigm, thereby providing fundamental insights into the cognitive mechanisms underlying dual-task processing and its educational implications. These findings confirm the presence of a central bottleneck in dual-task performance in young children. Additionally, when processing demands were low, auditory-to-visual (A–V) processing was more efficient than visual-to-auditory (V–A) processing; however, this advantage disappeared as the task 1 difficulty increased. From the educational and developmental perspectives, the results of this study suggest that simultaneous task execution should be discouraged during early childhood. Creating distraction-free learning environments and supporting focused engagement in structured, single-content activities are essential for optimizing cognitive development. Moreover, this study highlights the importance of both basic and higher-order cognitive abilities in enhancing processing efficiency during dual-task performance. These abilities help mitigate performance decline, and facilitate faster and more effective task execution. Accordingly, this study suggests directions for fostering these cognitive skills during early childhood.
Author Contributions
Conceptualization, B.K. and S.H.Y.; methodology, B.K. and S.H.Y.; validation, B.K. and S.H.Y.; formal analysis, B.K.; investigation, B.K.; data curation, B.K.; writing—original draft preparation, B.K.; writing—review and editing, B.K. and S.H.Y.; visualization, B.K.; supervision, S.H.Y. All authors have read and agreed to the published version of the manuscript.
Funding
This research received no external funding.
Institutional Review Board Statement
This study was approved by the Seoul National University Institutional Review Board (Approval No. 1608/002-001, approval date: 5 August 2016).
Informed Consent Statement
Informed consent was obtained from all subjects involved in the study.
Data Availability Statement
The datasets from this study are available at the following address: http://dx.doi.org/10.6084/m9.figshare.28131362.
Acknowledgments
We would like to thank principals and teachers of the participating daycare centers for their help and cooperation with this study.
Conflicts of Interest
The authors declare no conflicts of interest.
Notes
| 1 | Some studies have investigated responses to audiovisual stimuli using event-related potentials (ERPs), which measure brain activity associated with stimulus processing (Deng et al., 2016). In contrast, the psychological refractory period (PRP) paradigm assesses reaction times during task execution. While it does not directly measure processing depth, it effectively compares performance interference across different stimulus presentation conditions (Pashler, 1994). |
| 2 | For example, if a participant’s reaction time to S1 in a single-task condition is 5 s and to S2 is 7 s, then in a dual-task condition where both stimuli are presented sequentially, the recorded times may be 5 s for S1 and 10 s for S2. This 3 s delay in processing the second stimulus is known as the psychological refractory period (PRP), reflecting the time during which its processing is temporarily postponed due to the ongoing processing of S1. |
| 3 | Short-term memory temporarily stores and simultaneously processes incoming information; it is often interchangeably referred to as working memory. However, its controlled processing function has recently been recognized as a subcomponent of executive function. In this study, we distinguish short-term memory as the storage of visual and auditory information, while categorizing higher-order cognitive functions—such as data processing, evaluation, and decision making—under executive function as part of working memory (Baddeley, 1986; Baddeley & Hitch, 1974). |
| 4 | E-Prime is one of the most comprehensive stimulus presentation software programs, providing systematic control over the timing and duration of visual and auditory stimuli. It also enables precise measurement of participants’ reaction times, making it an essential tool in cognitive psychology experiments. In this study, the dual-task toolkit consisted of a laptop with E-Prime installed and a task execution file specifically designed for the experiment. The researcher ran the task execution file on the laptop to present stimuli to the children, who responded by pressing designated keys on the keyboard when visual or auditory stimuli (such as shapes, colors, and sounds) appeared on the screen. |
| 5 | This measure of the PRP is different than the PRP effect commonly reported in adult studies (RT2_longSOA–RT2_shortSOA). |
References
- Arnell, K. M., & Duncan, J. (2002). Separate and shared sources of dual-task cost in stimulus identification and response selection. Cognitive Psychology, 44(2), 105–147. [Google Scholar] [CrossRef] [PubMed]
- Ayres, A. J., & Mailloux, Z. (1981). Influence of sensory integration procedures on language development. The American Journal of Occupational Therapy, 35(6), 383–390. [Google Scholar] [CrossRef]
- Baddeley, A. D. (1986). Working memory. Oxford University Press. [Google Scholar]
- Baddeley, A. D., & Hitch, G. (1974). Working memory. Psychology of Learning and Motivation, 8, 47–89. [Google Scholar]
- Badwe, N., Patil, K. B., Yelam, S. B., Vikhe, B. B., & Vatve, M. S. (2012). A comparative study of hand reaction time to visual stimuli in students of 1st MBBS of a Rural Medical College. Pravara Medical Review, 4(1), 4–6. [Google Scholar]
- Balaban, M. T., & Waxman, S. R. (1997). Do words facilitate object categorization in 9-month-old infants? Journal of Experimental Child Psychology, 64(1), 3–26. [Google Scholar] [CrossRef]
- Barkley, R. A. (1997). Behavioral inhibition, sustained attention, and executive functions: Constructing a unifying theory of ADHD. Psychological Bulletin, 121(1), 65–94. [Google Scholar] [CrossRef] [PubMed]
- Becker, D. R., Miao, A., Duncan, R., & McClelland, M. M. (2014). Behavioral self-regulation and executive function both predict visuomotor skills and early academic achievement. Early Childhood Research Quarterly, 29(4), 411–424. [Google Scholar] [CrossRef]
- Birch, L. L. (1976). Age trends in children’s time-sharing performance. Journal of Experimental Child Psychology, 22(2), 331–345. [Google Scholar] [CrossRef]
- Birch, L. L. (1978). Baseline differences, attention, and age differences in time-sharing performance. Journal of Experimental Child Psychology, 25(3), 505–513. [Google Scholar] [CrossRef]
- Bogartz, R. S. (1976). On the meaning of statistical interactions. Journal of Experimental Child Psychology, 22(1), 178–183. [Google Scholar] [CrossRef]
- Brisson, B., & Jolicœur, P. (2007a). A psychological refractory period in access to visual short-term memory and the deployment of visual–spatial attention: Multitasking processing deficits revealed by event-related potentials. Psychophysiology, 44(2), 323–333. [Google Scholar] [CrossRef]
- Brisson, B., & Jolicœur, P. (2007b). Cross-modal multitasking processing deficits prior to the central bottleneck revealed by event-related potentials. Neuropsychologia, 45(13), 3038–3053. [Google Scholar] [CrossRef] [PubMed]
- Bruce, V., Green, P. R., & Georgeson, M. A. (1996). Visual perception: Physiology, psychology, and ecology (3rd ed.). Psychology Press. [Google Scholar]
- Bühner, M., König, C. J., Pick, M., & Krumm, S. (2006). Working memory dimensions as differential predictors of the speed and error aspect of multitasking performance. Human Performance, 19(3), 253–275. [Google Scholar] [CrossRef]
- Cardoso-Leite, P., Green, C. S., & Bavelier, D. (2015). On the impact of new technologies on multitasking. Developmental Review, 35, 98–112. [Google Scholar] [CrossRef]
- Case, R. (1985). Intellectual development: Birth to adulthood. Academic Press. [Google Scholar]
- Casey, B. J., Galvan, A., & Hare, T. A. (2005). Changes in cerebral functional organization during cognitive development. Current Opinion in Neurobiology, 15(2), 239–244. [Google Scholar] [CrossRef] [PubMed]
- Chung, C.-H., & Kim, A.-S. (1991). The effects of inter-stimulus intervals and number of alternatives on psychological refractory period. Korean Journal of Sport Psychology, 2(1), 3–12. [Google Scholar]
- Colom, R., Martínez-Molina, A., Shih, P. C., & Santacreu, J. (2010). Intelligence, working memory, and multitasking performance. Intelligence, 38(6), 543–551. [Google Scholar] [CrossRef]
- Crooks, S. M., Cheon, J., Inan, F., Ari, F., & Flores, R. (2012). Modality and cueing in multimedia learning: Examining cognitive and perceptual explanations for the modality effect. Computers in Human Behavior, 28(3), 1063–1071. [Google Scholar] [CrossRef]
- Crossley, M., & Hiscock, M. (1992). Age-related differences in concurrent-task performance of normal adults: Evidence for a decline in processing resources. Psychology and Aging, 7(4), 499–506. [Google Scholar] [CrossRef]
- Danis, A., Pêcheux, M. G., Lefèvre, C., Bourdais, C., & Serres-Ruel, J. (2008). A continuous performance task in preschool children: Relations between attention and performance. European Journal of Developmental Psychology, 5(4), 401–418. [Google Scholar] [CrossRef]
- Deng, X., Rosenfeld, J. P., Ward, A., & Labkovsky, E. (2016). Superiority of visual (verbal) vs. auditory test presentation modality in a P300-based CIT: The Complex Trial Protocol for concealed autobiographical memory detection. International Journal of Psychophysiology, 105, 26–34. [Google Scholar] [CrossRef]
- Fernández, S. R., Leonhard, T., Rolke, B., & Ulrich, R. (2011). Processing two tasks with varying task order: Central stage duration influences central processing order. Acta Psychologica, 137(1), 10–17. [Google Scholar] [CrossRef]
- Fischer, R., & Hommel, B. (2012). Deep thinking increases task-set shielding and reduces shifting flexibility in dual-task performance. Cognition, 123(2), 303–307. [Google Scholar] [CrossRef]
- Fries, P., Reynolds, J. H., Rorie, A. E., & Desimone, R. (2001). Modulation of oscillatory neuronal synchronization by selective visual attention. Science, 291(5508), 1560–1563. [Google Scholar] [CrossRef] [PubMed]
- Garon, N., Bryson, S. E., & Smith, I. M. (2008). Executive function in preschoolers: A review using an integrative framework. Psychological Bulletin, 134(1), 31–60. [Google Scholar] [CrossRef]
- Gathercole, S. E. (1999). Cognitive approaches to the development of short-term memory. Trends in Cognitive Sciences, 3(11), 410–419. [Google Scholar] [CrossRef] [PubMed]
- Ghirardelli, T. G., & Scharine, A. A. (2009). Auditory–visual interactions. In C. E. Rash, M. B. Russo, T. R. Letowski, & E. T. Schmeisser (Eds.), Helmet-mounted displays: Sensation, perception and cognition issues (pp. 599–618). US Army Aeromedical Research Lab. [Google Scholar]
- Guy, J., Rogers, M., & Cornish, K. (2012). Developmental changes in visual and auditory inhibition in early childhood. Infant and Child Development, 21(5), 521–536. [Google Scholar] [CrossRef]
- Halford, G. S., Maybery, M. T., & Bain, J. D. (1986). Capacity limitations in children’s reasoning: A dual-task approach. Child Development, 57, 616–627. [Google Scholar] [CrossRef]
- Hartley, A. A., Jonides, J., & Sylvester, C. Y. C. (2011). Dual-task processing in younger and older adults: Similarities and differences revealed by fMRI. Brain and Cognition, 75(3), 281–291. [Google Scholar] [CrossRef]
- Hibberd, D. L., Jamson, S. L., & Carsten, O. M. (2010, November 11–12). Managing in-vehicle distractions: Evidence from the psychological refractory period paradigm. 2nd International Conference on Automotive User Interfaces and Interactive Vehicular Applications (AutomotiveUI 2010), Pittsburgh, PA, USA. [Google Scholar]
- Hibberd, D. L., Jamson, S. L., & Carsten, O. M. (2013). Mitigating the effects of in-vehicle distractions through use of the Psychological Refractory Period paradigm. Accident Analysis & Prevention, 50, 1096–1103. [Google Scholar]
- Hirst, R. J., Cragg, L., & Allen, H. A. (2018a). Vision dominates audition in adults but not children: A meta-analysis of the Colavita effect. Neuroscience & Biobehavioral Reviews, 94, 286–301. [Google Scholar]
- Hirst, R. J., Stacey, J. E., Cragg, L., Stacey, P. C., & Allen, H. A. (2018b). The threshold for the McGurk effect in audio-visual noise decreases with development. Scientific Reports, 8(1), 12372. [Google Scholar] [CrossRef] [PubMed]
- Holtzer, R., Stern, Y., & Rakitin, B. C. (2005). Predicting age-related dual-task effects with individual differences on neuropsychological tests. Neuropsychology, 19(1), 18–27. [Google Scholar] [CrossRef] [PubMed]
- Hong, S. H. (2005). Difference in information processing capacity by age and sex of elementary and middle school students [Master’s thesis, Changwon National University]. [Google Scholar]
- Irwin-Chase, H., & Burns, B. (2000). Developmental changes in children’s abilities to share and allocate attention in a dual task. Journal of Experimental Child Psychology, 77(1), 61–85. [Google Scholar] [CrossRef]
- Janczyk, M., Pfister, R., Hommel, B., & Kunde, W. (2014). Who is talking in backward crosstalk? Disentangling response-from goal-conflict in dual-task performance. Cognition, 132(1), 30–43. [Google Scholar] [CrossRef]
- Kee, D. W., & Davies, L. (1988). Mental effort and elaboration: A developmental analysis. Contemporary Educational Psychology, 13(3), 221–228. [Google Scholar] [CrossRef]
- Kim, B., & Yi, S. H. (2017). Multiple task performance and Psychological Refractory Period in children: Focusing on PRP paradigm tasks. Korean Journal of Child Studies, 38(3), 75–90. [Google Scholar] [CrossRef]
- Koo, H. J., & Shin, M. S. (2008). A standardization study of children’s color trails test (CCTT). Journal of the Korean Academy of Child and Adolescent Psychiatry, 19(1), 28–37. [Google Scholar]
- König, C. J., Bühner, M., & Mürling, G. (2005). Working memory, fluid intelligence, and attention are predictors of multitasking performance, but polychronicity and extraversion are not. Human Performance, 18(3), 243–266. [Google Scholar] [CrossRef]
- Krumbholz, K., Patterson, R. D., Nobbe, A., & Fastl, H. (2003). Microsecond temporal resolution in monaural hearing without spectral cues? The Journal of the Acoustical Society of America, 113(5), 2790–2800. [Google Scholar] [CrossRef]
- Laguë-Beauvais, M., Gagnon, C., Castonguay, N., & Bherer, L. (2013). Individual differences effects on the psychological refractory period. SpringerPlus, 2, 1–10. [Google Scholar] [CrossRef] [PubMed]
- Lee, J. J., & Chabris, C. F. (2013). General cognitive ability and the psychological refractory period: Individual differences in the mind’s bottleneck. Psychological Science, 24(7), 1226–1233. [Google Scholar] [CrossRef] [PubMed]
- Leonard, J. A. (1959). Tactual choice reactions: I. Quarterly Journal of Experimental Psychology, 11(2), 76–83. [Google Scholar] [CrossRef]
- Lewis, C., Koyasu, M., Oh, S., Ogawa, A., Short, B., & Huang, Z. (2009). Culture, executive function, and social understanding. New Directions for Child and Adolescent Development, 2009(123), 69–85. [Google Scholar] [CrossRef] [PubMed]
- Lien, M. C., & Proctor, R. W. (2002). Stimulus-response compatibility and psychological refractory period effects: Implications for response selection. Psychonomic Bulletin & Review, 9, 212–238. [Google Scholar]
- Logan, G. D., & Gordon, R. D. (2001). Executive control of visual attention in dual-task situations. Psychological Review, 108(2), 393–434. [Google Scholar] [CrossRef]
- Luciana, M., & Nelson, C. A. (2002). Assessment of neuropsychological function through use of the Cambridge Neuropsychological Testing Automated Battery: Performance in 4-to 12-year-old children. Developmental Neuropsychology, 22(3), 595–624. [Google Scholar] [CrossRef]
- Mahar, D., Mackenzie, B., & McNicol, D. (1994). Modality-specific differences in the processing of spatially, temporally, and spatiotemporally distributed information. Perception, 23(11), 1369–1386. [Google Scholar] [CrossRef]
- Mateeff, S., Hohnsbein, J., & Noack, T. (1985). Dynamic visual capture: Apparent auditory motion induced by a moving visual target. Perception, 14(6), 721–727. [Google Scholar] [CrossRef]
- Mayer, R. E., & Moreno, R. (2003). Nine ways to reduce cognitive load in multimedia learning. Educational Psychologist, 38(1), 43–52. [Google Scholar] [CrossRef]
- McCann, R. S., & Johnston, J. C. (1992). Locus of the single-channel bottleneck in dual-task interference. Journal of Experimental Psychology: Human Perception and Performance, 18(2), 471–484. [Google Scholar] [CrossRef]
- McGurk, H., & MacDonald, J. (1976). Hearing lips and seeing voices. Nature, 264(5588), 746–748. [Google Scholar] [CrossRef] [PubMed]
- Mercimek, B., Akbulut, Y., Dönmez, O., & Sak, U. (2020). Multitasking impairs learning from multimedia across gifted and non-gifted students. Educational Technology Research and Development, 68, 995–1016. [Google Scholar] [CrossRef]
- Miyake, A., Friedman, N. P., Emerson, M. J., Witzki, A. H., Howerter, A., & Wager, T. D. (2000). The unity and diversity of executive functions and their contributions to complex “frontal lobe” tasks: A latent variable analysis. Cognitive Psychology, 41(1), 49–100. [Google Scholar] [CrossRef] [PubMed]
- Monsell, S. (2003). Task switching. Trends in Cognitive Sciences, 7(3), 134–140. [Google Scholar] [CrossRef]
- Mousavi, S. Y., Low, R., & Sweller, J. (1995). Reducing cognitive load by mixing auditory and visual presentation modes. Journal of Educational Psychology, 87(2), 319–334. [Google Scholar] [CrossRef]
- Napolitano, A. C., & Sloutsky, V. M. (2004). Is a picture worth a thousand words? The flexible nature of modality dominance in young children. Child Development, 75(6), 1850–1870. [Google Scholar] [CrossRef]
- Norrix, L. W., Plante, E., Vance, R., & Boliek, C. A. (2007). Auditory–visual integration for speech by children with and without specific language impairment. Journal of Speech, Language, and Hearing Research, 50(6), 1639–1651. [Google Scholar] [CrossRef]
- Oh, S., & Lewis, C. (2008). Korean preschoolers’ advanced inhibitory control and its relation to other executive skills and mental state understanding. Child Development, 79(1), 80–99. [Google Scholar] [CrossRef]
- Park, G.-G., & Lee, K.-H. (2003). Effects of the inter-stimulus intervals and the athletic experience on psychological refractory period. Korean Journal of Sports Science, 12(2), 245–254. [Google Scholar]
- Pashler, H. (1994). Dual-task interference in simple tasks: Data and theory. Psychological Bulletin, 116(2), 220–244. [Google Scholar] [CrossRef]
- Piaget, J., & Cook, M. (1952). The origins of intelligence in children. International Universities Press. [Google Scholar]
- Rammsayer, T. H. (2014). The effects of type of interval, sensory modality, base duration, and psychophysical task on the discrimination of brief time intervals. Attention, Perception, & Psychophysics, 76, 1185–1196. [Google Scholar]
- Reck, S. G., & Hund, A. M. (2011). Sustained attention and age predict inhibitory control during early childhood. Journal of Experimental Child Psychology, 108(3), 504–512. [Google Scholar] [CrossRef]
- Riby, L. M., Perfect, T. J., & Stollery, B. T. (2004). The effects of age and task domain on dual task performance: A meta-analysis. European Journal of Cognitive Psychology, 16(6), 863–891. [Google Scholar] [CrossRef]
- Robinson, C. W., & Sloutsky, V. M. (2004). Auditory dominance and its change in the course of development. Child Development, 75(5), 1387–1401. [Google Scholar] [CrossRef] [PubMed]
- Robinson, C. W., & Sloutsky, V. M. (2010). Development of cross-modal processing. Wiley Interdisciplinary Reviews: Cognitive Science, 1(1), 135–141. [Google Scholar] [CrossRef] [PubMed]
- Ruff, H. A., & Lawson, K. R. (1990). Development of sustained, focused attention in young children during free play. Developmental Psychology, 26(1), 85–93. [Google Scholar] [CrossRef]
- Simons, D. J. (2000). Attentional capture and inattentional blindness. Trends in Cognitive Sciences, 4(4), 147–155. [Google Scholar] [CrossRef]
- Simpson, A., & Riggs, K. J. (2005). Inhibitory and working memory demands of the day–night task in children. British Journal of Developmental Psychology, 23(3), 471–486. [Google Scholar] [CrossRef]
- Sloutsky, V. M., & Napolitano, A. C. (2003). Is a picture worth a thousand words? Preference for auditory modality in young children. Child Development, 74(3), 822–833. [Google Scholar] [CrossRef]
- Song, E.-S. (1995). Effects of the length of inter-stimulus intervals, number of stimulus-response alternatives, sport experience and sex on the psychological refractory period. Korean Journal of Sport Psychology, 6(2), 1–16. [Google Scholar]
- Song, H., & Jinyu, A. (2017). The relationship between executive functions and IQ in Korean children and the comparison with Chinese children. Applied Neuropsychology: Child, 6(2), 158–165. [Google Scholar] [CrossRef]
- Spitzer, H., Desimone, R., & Moran, J. (1988). Increased attention enhances both behavioral and neuronal performance. Science, 240(4850), 338–340. [Google Scholar] [CrossRef] [PubMed]
- Steinmetz, P. N., Roy, A., Fitzgerald, P. J., Hsiao, S. S., Johnson, K. O., & Niebur, E. (2000). Attention modulates synchronized neuronal firing in primate somatosensory cortex. Nature, 404(6774), 187–190. [Google Scholar] [CrossRef]
- Thompson, P. M., Giedd, J. N., Woods, R. P., MacDonald, D., Evans, A. C., & Toga, A. W. (2000). Growth patterns in the developing brain detected by using continuum mechanical tensor maps. Nature, 404(6774), 190–193. [Google Scholar] [CrossRef] [PubMed]
- Ulrich, R., & Miller, J. (2008). Response grouping in the psychological refractory period (PRP) paradigm: Models and contamination effects. Cognitive Psychology, 57(2), 75–121. [Google Scholar] [CrossRef]
- Van Selst, M., & Jolicoeur, P. (1994). Can mental rotation occur before the dual-task bottleneck? Journal of Experimental Psychology: Human Perception and Performance, 20(4), 905–921. [Google Scholar] [CrossRef]
- Welford, A. T. (1952). The psychological refractory period and the timing of high-speed performance—A review and a theory. British Journal of Psychology, 43(1), 2. [Google Scholar] [CrossRef]
- Williams, J., Rickert, V., Hogan, J., Zolten, A. J., Satz, P., D’Elia, L. F., Asarnow, R. F., Zaucha, K., & Light, R. (1995). Children’s color trails. Archives of Clinical Neuropsychology, 10(3), 211–223. [Google Scholar] [CrossRef]
Disclaimer/Publisher’s Note: The statements, opinions and data contained in all publications are solely those of the individual author(s) and contributor(s) and not of MDPI and/or the editor(s). MDPI and/or the editor(s) disclaim responsibility for any injury to people or property resulting from any ideas, methods, instructions or products referred to in the content. |
© 2025 by the authors. Licensee MDPI, Basel, Switzerland. This article is an open access article distributed under the terms and conditions of the Creative Commons Attribution (CC BY) license (https://creativecommons.org/licenses/by/4.0/).





