Proteoform Patterns in Hepatocellular Carcinoma Tissues: Aspects of Oncomarkers
Abstract
1. Introduction
2. Materials and Methods
2.1. Extraction of Proteins
2.2. Filter-Aided Sample Preparation (FASP) Method
2.3. Two-Dimensional Gel Electrophoresis (2DE)
2.4. ESI LC-MS/MS Analysis
2.5. Analysis and Statistical Processing of Data
3. Results
3.1. Proteomic Profiling of Samples from Patients with HCC
3.1.1. Panoramic Proteomic Profiling
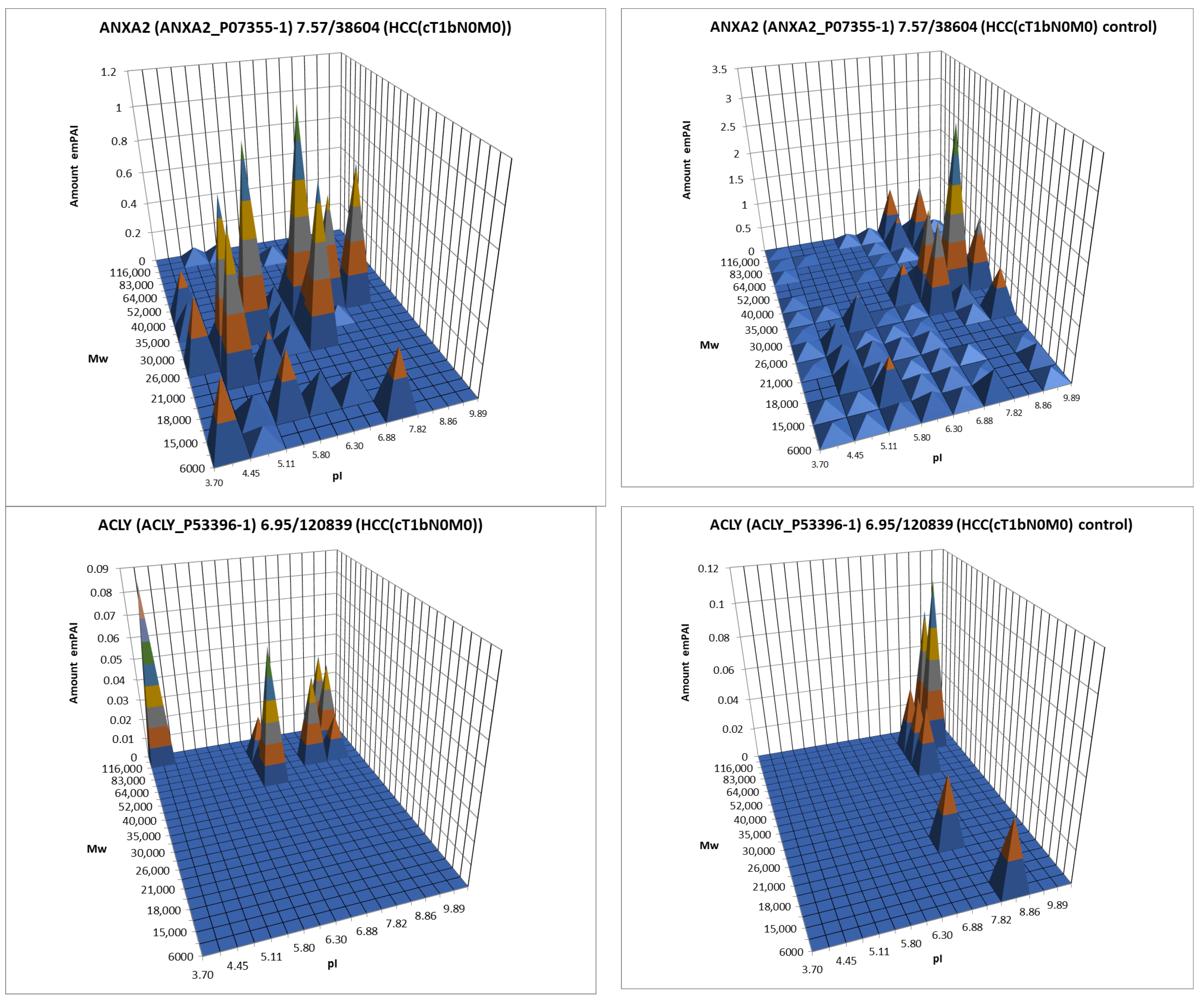
3.1.2. Two-Dimensional Sectional Proteomic Profiling
3.1.3. Combining the Results of Panoramic and 2DE Sectional Proteomic Profiling
3.2. Functional Annotation of Potential HCC Biomarkers
4. Discussion
5. Conclusions
Supplementary Materials
Author Contributions
Funding
Institutional Review Board Statement
Informed Consent Statement
Data Availability Statement
Acknowledgments
Conflicts of Interest
Abbreviations
| ACN | acetonitrile |
| DTT | dithiothreitol |
| FC | fold change |
| GO | gene ontology |
| HCC | hepatocellular carcinoma |
| IAM | iodoacetamide |
| 2DE | two-dimensional electrophoresis |
| ESI LC-MS/MS | liquid chromatography–electrospray ionization–tandem mass spectrometry |
| PTM | post-translation modification |
| emPAI | exponentially modified form of protein abundance index |
| PCG | protein-coding gene |
| TFA | trifluoroacetic acid |
References
- Bray, F.; Ferlay, J.; Soerjomataram, I.; Siegel, R.L.; Torre, L.A.; Jemal, A. Global cancer statistics 2018: GLOBOCAN estimates of incidence and mortality worldwide for 36 cancers in 185 countries. CA. Cancer J. Clin. 2018, 68, 394–424. [Google Scholar] [CrossRef] [PubMed]
- Tarao, K.; Nozaki, A.; Ikeda, T.; Sato, A.; Komatsu, H.; Komatsu, T.; Taguri, M.; Tanaka, K. Real impact of liver cirrhosis on the development of hepatocellular carcinoma in various liver diseases-meta-analytic assessment. Cancer Med. 2019, 8, 1054–1065. [Google Scholar] [CrossRef] [PubMed]
- Sherman, M. Hepatocellular carcinoma: Epidemiology, risk factors, and screening. Semin. Liver Dis. 2005, 25, 143–154. [Google Scholar] [CrossRef]
- Gutiérrez-Cuevas, J.; Lucano-Landeros, S.; López-Cifuentes, D.; Santos, A.; Armendariz-Borunda, J. Epidemiologic, Genetic, Pathogenic, Metabolic, Epigenetic Aspects Involved in NASH-HCC: Current Therapeutic Strategies. Cancers 2022, 15, 23. [Google Scholar] [CrossRef]
- Ganne-Carrié, N.; Nahon, P. Hepatocellular carcinoma in the setting of alcohol-related liver disease. J. Hepatol. 2019, 70, 284–293. [Google Scholar] [CrossRef]
- Daher Darine Dahan Karim Seif El, S.A.G. Non-alcoholic fatty liver disease-related hepatocellular carcinoma. JLC 2023, 23, 127–142. [Google Scholar]
- Forner, A.; Reig, M.; Bruix, J. Hepatocellular carcinoma. Lancet 2018, 391, 1301–1314. [Google Scholar] [CrossRef] [PubMed]
- Tatarinov, I.S. Detection of Embryo-Specific Alpha-Globulin in the Blood Serum of a Patient with Primary Liver Cancer. Vopr. Med. Khim. 1964, 10, 90–91. [Google Scholar]
- Terentiev, A.A.; Moldogazieva, N.T. Alpha-fetoprotein: A renaissance. Tumour Biol. J. Int. Soc. Oncodev. Biol. Med. 2013, 34, 2075–2091. [Google Scholar] [CrossRef]
- Abelev, G.I.; Perova, S.D.; Khramkova, N.I.; Postnikova, Z.A.; Irlin, I.S. Production of embryonal alpha-globulin by transplantable mouse hepatomas. Transplantation 1963, 1, 174–180. [Google Scholar]
- Dunbar, C.; Kushnir, M.M.; Yang, Y.K. Glycosylation Profiling of the Neoplastic Biomarker Alpha Fetoprotein through Intact Mass Protein Analysis. J. Proteome Res. 2023, 22, 226–234. [Google Scholar] [CrossRef] [PubMed]
- Liebman, H.A.; Furie, B.C.; Tong, M.J.; Blanchard, R.A.; Lo, K.J.; Lee, S.D.; Coleman, M.S.; Furie, B. Des-gamma-carboxy (abnormal) prothrombin as a serum marker of primary hepatocellular carcinoma. N. Engl. J. Med. 1984, 310, 1427–1431. [Google Scholar] [CrossRef]
- Lee, N.P.; Chen, L.; Lin, M.C.; Tsang, F.H.; Yeung, C.; Poon, R.T.; Peng, J.; Leng, X.; Beretta, L.; Sun, S.; et al. Proteomic expression signature distinguishes cancerous and nonmalignant tissues in hepatocellular carcinoma. J. Proteome Res. 2009, 8, 1293–1303. [Google Scholar] [CrossRef]
- Roberts, L.R. Biomarkers for hepatocellular carcinoma. Clin. Adv. Hematol. Oncol. 2016, 14, 223–226. [Google Scholar] [PubMed]
- Lisitsa, A.; Moshkovskii, S.; Chernobrovkin, A.; Ponomarenko, E.; Archakov, A. Profiling proteoforms: Promising follow-up of proteomics for biomarker discovery. Expert. Rev. Proteomics 2014, 11, 121–129. [Google Scholar] [CrossRef]
- Carbonara, K.; Andonovski, M.; Coorssen, J.R. Proteomes Are of Proteoforms: Embracing the Complexity. Proteomes 2021, 9, 38. [Google Scholar] [CrossRef] [PubMed]
- Forgrave, L.M.; Wang, M.; Yang, D.; DeMarco, M.L. Proteoforms and their expanding role in laboratory medicine. Pract. Lab. Med. 2022, 28, e00260. [Google Scholar] [CrossRef]
- Pauwels, J.; Gevaert, K. Mass spectrometry-based clinical proteomics—A revival. Expert. Rev. Proteomics 2021, 18, 411–414. [Google Scholar] [CrossRef]
- Naryzhny, S. Inventory of proteoforms as a current challenge of proteomics: Some technical aspects. J. Proteomics 2019, 191, 22–28. [Google Scholar] [CrossRef]
- Jungblut, P.R. Back to the future-The value of single protein species investigations. Proteomics 2013, 13, 3103–3105. [Google Scholar] [CrossRef]
- Marcus, K.; Lelong, C.; Rabilloud, T. What room for two-dimensional gel-based proteomics in a shotgun proteomics world? Proteomes 2020, 8, 17. [Google Scholar] [CrossRef]
- Xie, Y.; Chen, X.; Xu, M.; Zheng, X. Application of the Human Proteome in Disease, Diagnosis, and Translation into Precision Medicine: Current Status and Future Prospects. Biomedicines 2025, 13, 681. [Google Scholar] [CrossRef] [PubMed]
- Naryzhny, S.; Zgoda, V.; Kopylov, A.; Petrenko, E.; Kleist, O.; Archakov, A. Variety and Dynamics of Proteoforms in the Human Proteome: Aspects of Markers for Hepatocellular Carcinoma. Proteomes 2017, 5, 33. [Google Scholar] [CrossRef] [PubMed]
- Naryzhny, S.N.; Lisitsa, A.V.; Zgoda, V.G.; Ponomarenko, E.A.; Archakov, A.I. 2DE-based approach for estimation of number of protein species in a cell. Electrophoresis 2014, 35, 895–900. [Google Scholar] [CrossRef]
- Wisniewski, J.R.; Zougman, A.; Nagaraj, N.; Mann, M. Universal sample preparation method for proteome analysis. Nat. Methods 2009, 6, 359–362. [Google Scholar] [CrossRef] [PubMed]
- Naryzhny, S.; Ronzhina, N.; Zorina, E.; Kabachenko, F.; Klopov, N.; Zgoda, V. Construction of 2DE Patterns of Plasma Proteins: Aspect of Potential Tumor Markers. Int. J. Mol. Sci. 2022, 23, 11113. [Google Scholar] [CrossRef]
- Naryzhny, S.N.; Zgoda, V.G.; Maynskova, M.A.; Novikova, S.E.; Ronzhina, N.L.; Vakhrushev, I.V.; Khryapova, E.V.; Lisitsa, A.V.; Tikhonova, O.V.; Ponomarenko, E.A.; et al. Combination of virtual and experimental 2DE together with ESI LC-MS/MS gives a clearer view about proteomes of human cells and plasma. Electrophoresis 2016, 37, 302–309. [Google Scholar] [CrossRef]
- Naryzhny, S. Towards the full realization of 2DE power. Proteomes 2016, 4, 33. [Google Scholar] [CrossRef]
- Naryzhny, S.N.; Maynskova, M.A.; Zgoda, V.G.; Ronzhina, N.L.; Novikova, S.E.; Belyakova, N.V.; Kleyst, O.A.; Legina, O.K.; Pantina, R.A.; Filatov, M. Proteomic profiling of high-grade glioblastoma using virtual-experimental 2DE. J. Proteomics Bioinform. 2016, 9, 158–165. [Google Scholar] [CrossRef]
- Vaudel, M.; Barsnes, H.; Berven, F.S.; Sickmann, A.; Martens, L. SearchGUI: An open-source graphical user interface for simultaneous OMSSA and X!Tandem searches. Proteomics 2011, 11, 996–999. [Google Scholar] [CrossRef]
- Carr, S.; Aebersold, R.; Baldwin, M.; Burlingame, A.; Clauser, K.; Nesvizhskii, A. The need for guidelines in publication of peptide and protein identification data: Working Group on Publication Guidelines for Peptide and Protein Identification Data. Mol. Cell. Proteomics 2004, 3, 531–533. [Google Scholar] [CrossRef] [PubMed]
- Ishihama, Y.; Oda, Y.; Tabata, T.; Sato, T.; Nagasu, T.; Rappsilber, J.; Mann, M. Exponentially Modified Protein Abundance Index (emPAI) for Estimation of Absolute Protein Amount in Proteomics by the Number of Sequenced Peptides per Protein. Mol. Cell. Proteomics 2005, 4, 1265–1272. [Google Scholar] [CrossRef]
- Thomas, P.D.; Ebert, D.; Muruganujan, A.; Mushayahama, T.; Albou, L.-P.; Mi, H. PANTHER: Making genome-scale phylogenetics accessible to all. Protein Sci. 2022, 31, 8–22. [Google Scholar] [CrossRef] [PubMed]
- Liguori, M.J.; Blomme, E.A.G.; Waring, J.F. Trovafloxacin-induced gene expression changes in liver-derived in vitro systems: Comparison of primary human hepatocytes to HepG2 cells. Drug Metab. Dispos. 2008, 36, 223–233. [Google Scholar] [CrossRef]
- Schicht, G.; Seidemann, L.; Haensel, R.; Seehofer, D.; Damm, G. Critical Investigation of the Usability of Hepatoma Cell Lines HepG2 and Huh7 as Models for the Metabolic Representation of Resectable Hepatocellular Carcinoma. Cancers 2022, 14, 4227. [Google Scholar] [CrossRef] [PubMed]
- Slany, A.; Haudek, V.J.; Zwickl, H.; Gundacker, N.C.; Grusch, M.; Weiss, T.S.; Seir, K.; Rodgarkia-Dara, C.; Hellerbrand, C.; Gerner, C. Cell characterization by proteome profiling applied to primary hepatocytes and hepatocyte cell lines Hep-G2 and Hep-3B. J. Proteome Res. 2010, 9, 6–21. [Google Scholar] [CrossRef]
- Wiśniewski, J.R.; Vildhede, A.; Norén, A.; Artursson, P. In-depth quantitative analysis and comparison of the human hepatocyte and hepatoma cell line HepG2 proteomes. J. Proteomics 2016, 136, 234–247. [Google Scholar] [CrossRef]
- Niu, L.; Geyer, P.E.; Gupta, R.; Santos, A.; Meier, F.; Doll, S.; Wewer Albrechtsen, N.J.; Klein, S.; Ortiz, C.; Uschner, F.E.; et al. Dynamic human liver proteome atlas reveals functional insights into disease pathways. Mol. Syst. Biol. 2022, 18, e10947. [Google Scholar] [CrossRef]
- Sison-Young, R.L.C.; Mitsa, D.; Jenkins, R.E.; Mottram, D.; Alexandre, E.; Richert, L.; Aerts, H.; Weaver, R.J.; Jones, R.P.; Johann, E.; et al. Comparative Proteomic Characterization of 4 Human Liver-Derived Single Cell Culture Models Reveals Significant Variation in the Capacity for Drug Disposition, Bioactivation, and Detoxication. Toxicol. Sci. 2015, 147, 412–424. [Google Scholar] [CrossRef]
- Halligan, B.D.; Ruotti, V.; Jin, W.; Laffoon, S.; Twigger, S.N.; Dratz, E.A. ProMoST (Protein Modification Screening Tool): A web-based tool for mapping protein modifications on two-dimensional gels. Nucleic Acids Res. 2004, 32, W638–W644. [Google Scholar] [CrossRef]











| Uniprot | Protein | Gene | Name | FC (2DE) | FC (FASP) | |
|---|---|---|---|---|---|---|
| 1 | P53396 | ACLY | ACLY | ATP-citrate synthase | 17.24 | 1.79 |
| 2 | O60488 | ACSL4 | ACSL4 | Long-chain fatty acid–CoA ligase 4 | 375.38 | N/A |
| 3 | C9JRZ8 | AK1BF | AKR1B15 | Aldo-keto reductase family 1 member B15 | 81.9 | N/A |
| 4 | P05186 | PPBT | ALPL | Alkaline phosphatase, tissue-nonspecific isozyme | 12.8 | N/A |
| 5 | P04083 | ANXA1 | ANXA1 | Annexin A1 | 1.62 | 2.19 |
| 6 | P07355 | ANXA2 | ANXA2 | Annexin A2 | 1.85 | 1.58 |
| 7 | P12429 | ANXA3 | ANXA3 | Annexin A3 | 7.5 | 6.32 |
| 8 | P48444 | COPD | ARCN1 | Coatomer subunit delta | 3.2 | 1.99 |
| 9 | P40121 | CAPG | CAPG | Macrophage-capping protein | 31.22 | N/A |
| 10 | P02741 | CRP | CRP | C-reactive protein | 35.27 | N/A |
| 11 | P08311 | CATG | CTSG | Cathepsin G | 14.28 | 2.68 |
| 12 | Q12805 | FBLN3 | EFEMP1 | EGF-containing fibulin-like extracellular matrix protein 1 | 11.39 | 7.68 |
| 13 | P58107 | EPIPL | EPPK1 | Epiplakin | 29.61 | N/A |
| 14 | O00602 | FCN1 | FCN1 | Ficolin-1 | 11.97 | N/A |
| 15 | Q10471 | GALT2 | GALNT2 | Polypeptide N-acetylgalactosaminyltransferase 2 | 32.8 | 3.97 |
| 16 | P04062 | GLCM | GBA | Lysosomal acid glucosylceramidase | 23.83 | N/A |
| 17 | P30511 | HLAF | HLA-F | HLA class I histocompatibility antigen, alpha chain F | 8.09 | N/A |
| 18 | P11215 | ITAM | ITGAM | Integrin alpha-M | N/A | 4.96 |
| 19 | P05107 | ITB2 | ITGB2 | Integrin beta-2 | 14.89 | 2.39 |
| 20 | P80188 | NGAL | LCN2 | Neutrophil gelatinase-associated lipocalin | 13.56 | 2.95 |
| 21 | P17931 | LEG3 | LGALS3 | Galectin-3 | 2.21 | N/A |
| 22 | P02788 | TRFL | LTF | Lactotransferrin | 21.11 | 3.74 |
| 23 | O00187 | MASP2 | MASP2 | Mannan-binding lectin serine protease 2 | 2.51 | N/A |
| 24 | P23368 | MAOM | ME2 | NAD-dependent malic enzyme, mitochondrial | 5.58 | 1.56 |
| 25 | P41218 | MNDA | MNDA | Myeloid cell nuclear differentiation antigen | 41.75 | N/A |
| 26 | P05164 | PERM | MPO | Myeloperoxidase | 19.12 | 3.21 |
| 27 | Q32P28 | P3H1 | P3H1 | Prolyl 3-hydroxylase 1 | 2.14 | N/A |
| 28 | P01833 | PIGR | PIGR | Polymeric immunoglobulin receptor | 104.61 | N/A |
| 29 | P14618 | KPYM | PKM | Pyruvate kinase PKM | 3.38 | 2.76 |
| 30 | P07225 | PROS | PROS1 | Vitamin K-dependent protein S | 9.53 | 1.86 |
| 31 | Q96M27 | PRRC1 | PRRC1 | Protein PRRC1 | 4.19 | 1.64 |
| 32 | P08575 | PTPRC | PTPRC | Receptor-type tyrosine-protein phosphatase C | 14.94 | 2.64 |
| 33 | Q8NC51 | PAIRB | SERBP1 | Plasminogen activator inhibitor 1 RNA-binding protein | 18.9 | N/A |
| 34 | Q13243 | SRSF5 | SRSF5 | Serine/arginine-rich splicing factor 5 | 2.92 | N/A |
| 35 | Q9NZ01 | TECR | TECR | Very-long-chain enoyl-CoA reductase | 1.94 | 1.92 |
| 36 | P02786 | TFR1 | TFRC | Transferrin receptor protein 1 | 77.86 | 2.75 |
| 37 | P07996 | TSP1 | THBS1 | Thrombospondin-1 | 11.11 | 3.42 |
| 38 | Q6PCB0 | VWA1 | VWA1 | von Willebrand factor A domain-containing protein 1 | 39.24 | N/A |
Disclaimer/Publisher’s Note: The statements, opinions and data contained in all publications are solely those of the individual author(s) and contributor(s) and not of MDPI and/or the editor(s). MDPI and/or the editor(s) disclaim responsibility for any injury to people or property resulting from any ideas, methods, instructions or products referred to in the content. |
© 2025 by the authors. Licensee MDPI, Basel, Switzerland. This article is an open access article distributed under the terms and conditions of the Creative Commons Attribution (CC BY) license (https://creativecommons.org/licenses/by/4.0/).
Share and Cite
Zorina, E.; Ronzhina, N.; Legina, O.; Klopov, N.; Zgoda, V.; Naryzhny, S. Proteoform Patterns in Hepatocellular Carcinoma Tissues: Aspects of Oncomarkers. Proteomes 2025, 13, 27. https://doi.org/10.3390/proteomes13030027
Zorina E, Ronzhina N, Legina O, Klopov N, Zgoda V, Naryzhny S. Proteoform Patterns in Hepatocellular Carcinoma Tissues: Aspects of Oncomarkers. Proteomes. 2025; 13(3):27. https://doi.org/10.3390/proteomes13030027
Chicago/Turabian StyleZorina, Elena, Natalia Ronzhina, Olga Legina, Nikolai Klopov, Victor Zgoda, and Stanislav Naryzhny. 2025. "Proteoform Patterns in Hepatocellular Carcinoma Tissues: Aspects of Oncomarkers" Proteomes 13, no. 3: 27. https://doi.org/10.3390/proteomes13030027
APA StyleZorina, E., Ronzhina, N., Legina, O., Klopov, N., Zgoda, V., & Naryzhny, S. (2025). Proteoform Patterns in Hepatocellular Carcinoma Tissues: Aspects of Oncomarkers. Proteomes, 13(3), 27. https://doi.org/10.3390/proteomes13030027

