Cognitive Trait Model: Measurement Model for Mastery Level and Progression of Learning
Abstract
:1. Introduction
- (1)
- Assigning zero (0) to the lower boundary (the lowest or ignorance level): a trait level as an expected proportion of the succeeded tasks out of all of the tasks is 0 (or 0%);
- (2)
- Assigning unit (1) to the upper boundary (the highest or mastery level): a trait level for an expected proportion of the succeeded tasks out of all of the tasks is 1 (or 100%);
- (3)
- Assigning a number between the 0 and 1 boundaries: a trait level as an expected proportion of the succeeded tasks out of all of the tasks.
2. Developments
2.1. Traditional Models
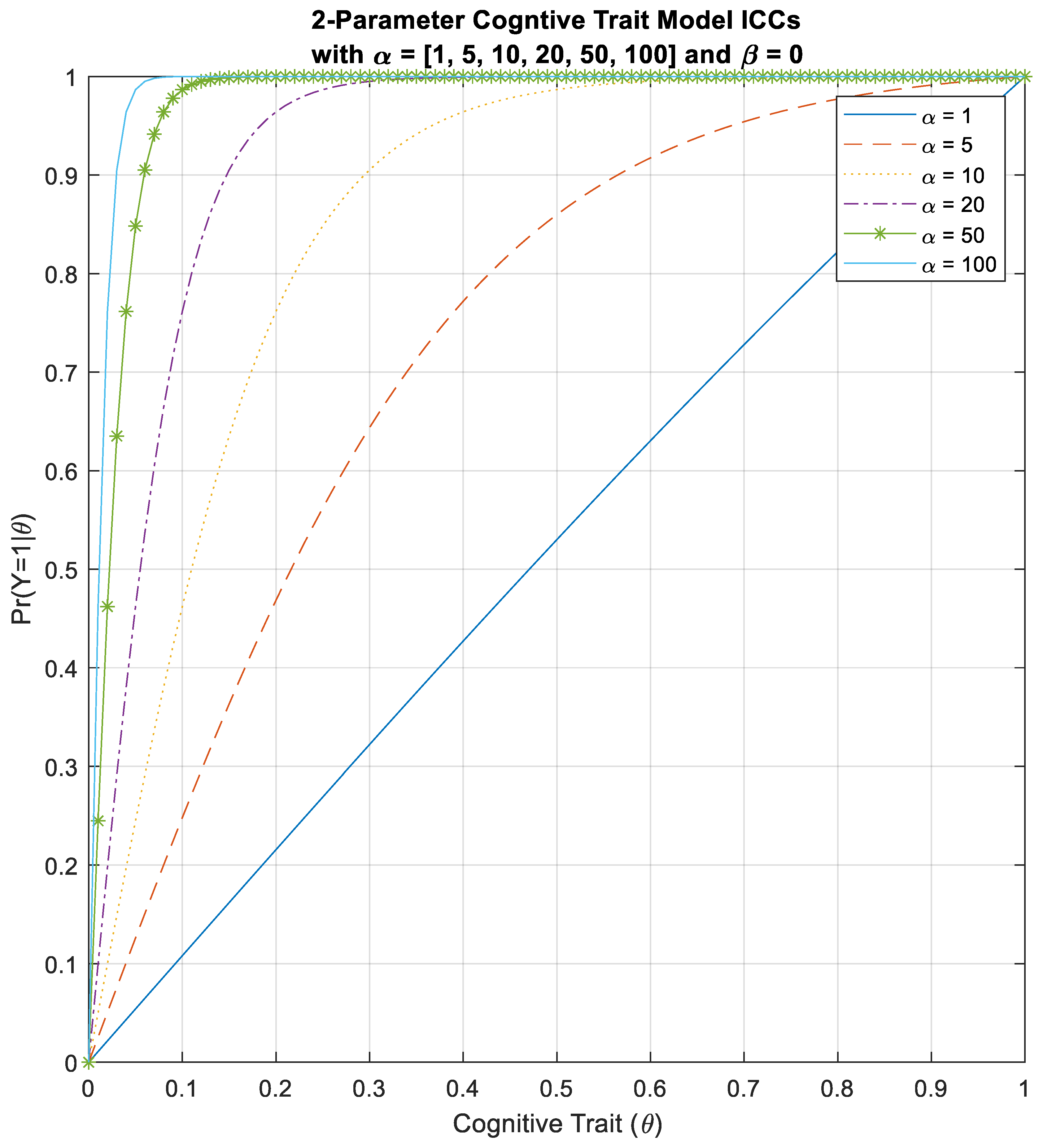
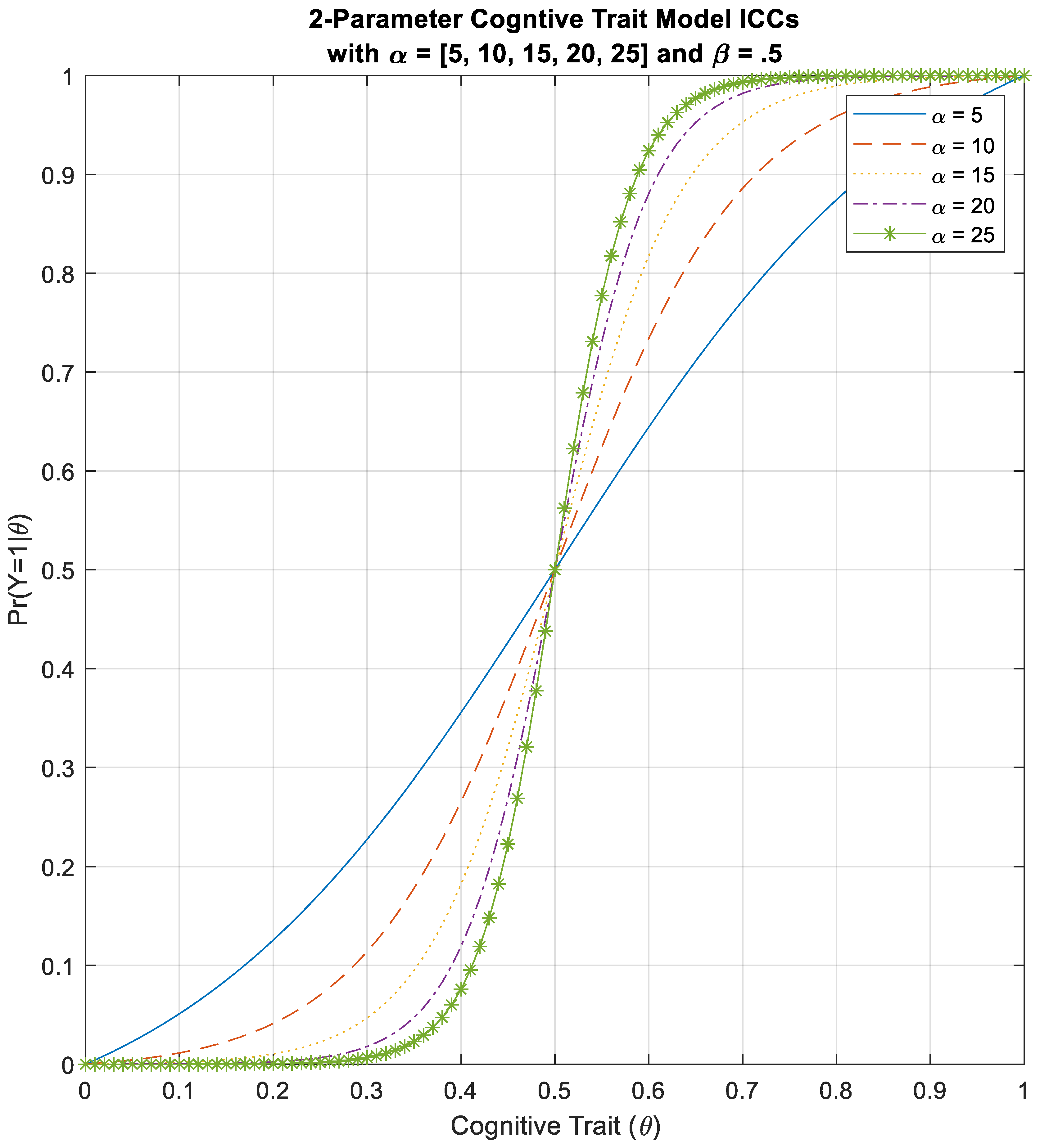
2.2. Proposed Models
2.3. Likelihood Function and Markov Chain Monte Carlo Estimator
2.4. MCMC Specifications
3. Illustrations
3.1. Illustration with a Simulated Dataset
3.2. Illustration with an Empirical Dataset
4. Discussion
Funding
Institutional Review Board Statement
Informed Consent Statement
Conflicts of Interest
Appendix A. WinBUGS Codes for 1P, 2P, and 3P Cognitive Trait Models
| # 3P CTM model { for (i in 1: n) { for (j in 1: J) { p[I, j] <- gamma[j] + (1-gamma[j])*(1-exp(alpha[j]*theta[i]))/(1+exp(alpha[j]*(theta[i]-beta[j])))*(1+exp(alpha[j]*(1-beta[j])))/(1-exp(alpha[j])) Y[i, j] ~ dbern(p[I, j]) } theta[i] ~ dbeta(2, 2) } # Priors for (j in 1:J) { alpha[j] ~ dlnorm(5, 0.1) beta[j] ~ dbeta(2, 2) gamma[j] ~dbeta(7,25) } } # 2P CTM model { for (i in 1: n) { for (j in 1: J) { p[i, j] <- (1-exp(alpha[j]*theta[i]))/(1+exp(alpha[j]*(theta[i]-beta[j])))*(1+exp(alpha[j]*(1-beta[j])))/(1-exp(alpha[j])) Y[I, j] ~ dbern(p[i, j]) } theta[i] ~ dbeta(2, 2) } for (j in 1:J) { alpha[j] ~ dlnorm(5, 0.1) # dlnorm(7.5, 1) for the Simulation Data beta[j] ~ dbeta(2, 2) } } # 1P CTM model { for (i in 1: n) { for (j in 1: J) { p[i, j] <- (1-exp(alpha[j]*theta[i]))/(1+exp(alpha[j]*(theta[i]-beta[j])))*(1+exp(alpha[j]*(1-beta[j])))/(1-exp(alpha[j])) Y[I, j] ~ dbern(p[i, j]) } theta[i] ~ dbeta(2, 2) } for (j in 1:J) { alpha[j] <- 10 beta[j] ~ dbeta(2, 2) } } |
References
- Messick, S. Validity of test interpretation and use. ETS Res. Rep. Ser. 1990, 1487–1495. [Google Scholar] [CrossRef]
- Bloom, B.S.; Engelhart, M.D.; Furst, E.J.; Hill, W.H.; Krathwohl, D.R. (Eds.) Taxonomy of Educational Objectives, Handbook I: The Cognitive Domain; David McKay Co. Inc.: New York, NY, USA, 1956. [Google Scholar]
- American Educational Research Association; American Psychological Association; National Council on Measurement in Education; Joint Committee on Standards for Educational; Psychological Testing (US). Standards for Educational and Psychological Testing; American Educational Research Association: Washington, DC, USA, 2014. [Google Scholar]
- Baker, F.B.; Kim, S.H. Item Response Theory Parameter Estimation Techniques, 2nd ed.; CRC Press: Boca Raton, FL, USA, 2004. [Google Scholar]
- National Governors Association Center for Best Practices; Council of Chief State School Officers. Common Core State Standards for Mathematics: Kindergarten. 2010. Available online: http://www.corestandards.org/Math/Content/K (accessed on 1 January 2020).
- Lord, F.M. Applications of Item Response Theory to Practical Testing Problems; Lawrence Erlbaum: Hillsdale, NJ, USA, 1980. [Google Scholar] [CrossRef]
- Bock, R.D.; Thissen, D.; Zimowski, M.F. IRT estimation of domain scores. J. Educ. Meas. 1997, 34, 197–211. [Google Scholar] [CrossRef]
- Wilson, M.; Draney, K. Standard Mapping: A technique for setting standards and maintaining them over time. Paper in an invited symposium: “Models and analyses for combining and calibrating items of different types over time”. In Proceedings of the International Conference on Measurement and Multivariate Analysis, Banff, AB, Canada, 11–14 May 2000. [Google Scholar]
- Wilcox, R.R. A Review of the Beta-Binomial Model and Its Extensions. J. Educ. Stat. 1981, 6, 3–32. [Google Scholar] [CrossRef]
- Lee, W.-C.; Hanson, B.A.; Brennan, R.L. Estimating Consistency and Accuracy Indices for Multiple Classifications. Appl. Psychol. Meas. 2002, 26, 412–432. [Google Scholar] [CrossRef]
- von Davier, M.; Lee, Y.-S. (Eds.) Handbook of Diagnostic Classification Models; Springer: New York, NY, USA, 2019. [Google Scholar]
- Almond, R.; Dibello, L.V.; Moulder, B.; Zapata-Rivera, D. Modeling Diagnostic Assessments with Bayesian Networks. J. Educ. Meas. 2007, 44, 341–359. [Google Scholar] [CrossRef]
- Gilks, W.R.; Richardson, S.; Spiegelhalter, D.J. Introducing Markov Chain Monte Carlo; Gilks, W.R., Richardson, S., Spiegelhalter, D.J., Eds.; Markov chain Monte Carlo in practice; Chapman and Hall: London, UK, 1996; pp. 1–19. [Google Scholar]
- Birnbaum, A. Estimation of an Ability; Lord, F.M., Novick, M.R., Eds.; Statistical theories of mental test scores; Addison-Wesley: Reading, MA, USA, 1968; pp. 423–479. [Google Scholar]
- Lord., F.M.; Novick, M.R. Statistical Theories of Mental Test Scores; Addison-Wesley: Reading, MA, USA, 1968. [Google Scholar]
- Rasch, G. Studies in Mathematical Psychology: I. Probabilistic Models for Some Intelligence and Attainment Tests; Nielsen & Lydiche: Copenhagen, Denmark, 1960. [Google Scholar]
- Bock, R.D.; Mislevy, R.J. Adaptive EAP Estimation of Ability in a Microcomputer Environment. Appl. Psychol. Meas. 1982, 6, 431–444. [Google Scholar] [CrossRef]
- Bock, R.D.; Aitkin, M. Marginal maximum likelihood estimation of item parameters: Application of an EM algorithm. Psychometrika 1981, 46, 443–459. [Google Scholar] [CrossRef]
- Choi, J.; Kim, S.; Chen, J.; Dannels, S. A Comparison of Maximum Likelihood and Bayesian Estimation for Polychoric Correlation Using Monte Carlo Simulation. J. Educ. Behav. Stat. 2011, 36, 523–549. [Google Scholar] [CrossRef]
- Sorenson, H.W. Parameter Estimation: Principles and Problems; Marcel Dekker: New York, NY, USA, 1980. [Google Scholar]
- Patz, R.; Junker, B.W. Applications and extensions of MCMC in IRT: Multiple item types, missing data, and rated responses. J. Educ. Behav. Stat. 1999, 24, 342–366. [Google Scholar] [CrossRef]
- Wollack, J.A.; Bolt, D.M.; Cohen, A.S.; Lee, Y.S. Recovery of item parameters in the nominal response model: A comparison of Marginal Maximum Likelihood estimation and Markov Chain Monte Carle estimation. Appl. Psychol. Meas. 2002, 26, 339–352. [Google Scholar] [CrossRef]
- Fox, J.-P.; Glas, C.A.W. Bayesian Estimation of a Multilevel IRT Model using Gibbs Sampling. Psychometrika 2001, 66, 269–286. [Google Scholar] [CrossRef]
- Levy, R.; Mislevy, R.J. Bayesian Psychometric Modeling; Chapman and Hall/CRC: Boca Raton, FL, USA, 2017. [Google Scholar]
- Spiegelhalter, D.J.; Thomas, A.; Best, N.G.; Lunn, D. WinBUGS Version 1.4 Users Manual. MRC Biostatistics Unit. 2003. Available online: http://www.mrc-bsu.cam.ac.uk/bugs/ (accessed on 1 January 2020).
- Brooks, S.P.; Gelman, A. General methods for monitoring convergence of iterative simulations. J. Comput. Graph. Stat. 1998, 7, 434. [Google Scholar]
- Gelman, A.; Hill, J. Data Analysis Using Regression and Multilevel/Hierarchical Models, 1st ed.; Cambridge University Press: New York, NY, USA; Cambridge, UK, 2006. [Google Scholar]
- Bock, R.D.; Lieberman, M. Fitting a response model for n dichotomously scored items. Psychometrika 1970, 35, 179–197. [Google Scholar] [CrossRef]
- Verhulst, P. Mathematical researches into the law of population growth increase. Nouv. Mem. L’academie R. Sci. 1845, 18, 1–45. [Google Scholar]
- Kingsland, S. The Refractory Model: The Logistic Curve and the History of Population Ecology. Q. Rev. Biol. 1982, 57, 29–52. [Google Scholar] [CrossRef]
- Marchetti, C. Modeling Innovation Diffusion; Henry, B., Ed.; Forecasting Technological Innovation; Kluwer Academic Publishing: Dordrecht, The Netherlands, 1991; pp. 55–77. [Google Scholar]
- Liao, C.Y.; Podrázský, V.V.; Liu, G.B. Diameter and height growth analysis for individual White Pine trees in the area of Kostelec nad Černými lesy. J. For. Sci. 2003, 49, 544–551. [Google Scholar] [CrossRef] [Green Version]
- Rosenblatt, F. Principles of Neurodynamics; Spartan: New York, NY, USA, 1962. [Google Scholar]
- Schmidhuber, J. Deep Learning in Neural Networks: An Overview. Neural Netw. 2015, 61, 85–117. [Google Scholar] [CrossRef] [PubMed] [Green Version]
- Choi, J.; Harring, J.R.; Hancock, G.R. Latent Growth Modeling for Logistic Response Functions. Multivar. Behav. Res. 2009, 44, 620–645. [Google Scholar] [CrossRef]
- Choi, J.; Chen, J.; Harring, J.R. Logistic Growth Modeling with Markov Chain Monte Carlo Estimation. J. Mod. Appl. Stat. Methods 2019, 18, 2–18. [Google Scholar] [CrossRef]
- Hambleton, R.K.; Swaminathan, H. Item Response Theory Principles and Applications; Kluwer-Nijhoff Publishing: Boston, MA, USA, 1985. [Google Scholar]
- van der Linden, W.J.; Hambleton, R.K. (Eds.) Handbook of Modern Item Response Theory; Springer: New York, NY, USA, 1997. [Google Scholar]
- Mislevy, R.J. Recent developments in the factor analysis of categorical variables. J. Educ. Stat. 1986, 11, 3–31. [Google Scholar] [CrossRef]





| Classical Test Theory Model | Diagnostic Classification Model | Logistic IRT Model and Factor Model | Cognitive Trait Model | |
|---|---|---|---|---|
| Type | Continuous | Discrete | Continuous | Continuous |
| Range | 0 to total score | 0 or 1 | (−∞, +∞) | [0, 1] |
| Interpretation of 0 | All answers were wrong | No-mastery status | Mean of trait * | Ignorance level: The level of trait at which none of the tasks are expected to be successfully performed. |
| Interpretation of 0.5 | Half of answers were correct | 50% chance of mastery status ** | Half SD above mean of trait * | Half of the mastery: The level of trait at which 50% of the tasks are expected to be successfully performed |
| Interpretation of 1 | All answers were correct | Mastery status | One SD above mean of trait * | Mastery level; The level of trait at which all of the tasks are expected to be successfully performed |
| Para. | True | Mean | Median | SD | Para. | True | Mean | Median | SD | Para. | True | Mean | Median | SD |
|---|---|---|---|---|---|---|---|---|---|---|---|---|---|---|
| α1 | 5.000 | 5.166 | 5.083 | 0.600 | β1 | 0.100 | 0.107 | 0.107 | 0.060 | θ1 | 0.320 | 0.287 | 0.286 | 0.072 |
| α2 | 5.000 | 4.784 | 4.717 | 0.704 | β2 | 0.200 | 0.163 | 0.172 | 0.071 | θ2 | 0.281 | 0.270 | 0.268 | 0.069 |
| α3 | 5.000 | 4.316 | 4.289 | 0.753 | β3 | 0.300 | 0.211 | 0.227 | 0.079 | θ3 | 0.133 | 0.157 | 0.152 | 0.060 |
| α4 | 5.000 | 4.105 | 4.137 | 0.837 | β4 | 0.400 | 0.302 | 0.322 | 0.077 | θ4 | 0.814 | 0.729 | 0.732 | 0.067 |
| α5 | 5.000 | 3.674 | 3.873 | 1.221 | β5 | 0.500 | 0.544 | 0.533 | 0.083 | θ5 | 0.261 | 0.233 | 0.230 | 0.070 |
| α6 | 5.000 | 3.389 | 3.438 | 0.927 | β6 | 0.600 | 0.667 | 0.636 | 0.097 | θ6 | 0.429 | 0.506 | 0.508 | 0.075 |
| α7 | 5.000 | 3.465 | 3.376 | 0.541 | β7 | 0.700 | 0.856 | 0.857 | 0.081 | θ7 | 0.109 | 0.123 | 0.118 | 0.056 |
| α8 | 5.000 | 4.690 | 4.662 | 0.759 | β8 | 0.800 | 0.796 | 0.781 | 0.073 | θ8 | 0.439 | 0.411 | 0.409 | 0.075 |
| α9 | 5.000 | 4.736 | 4.690 | 0.373 | β9 | 0.900 | 0.944 | 0.953 | 0.042 | θ9 | 0.566 | 0.662 | 0.663 | 0.071 |
| α10 | 5.000 | 5.480 | 5.413 | 0.463 | β10 | 1.000 | 0.937 | 0.944 | 0.044 | θ10 | 0.419 | 0.321 | 0.319 | 0.073 |
| α11 | 10.000 | 9.890 | 9.733 | 1.060 | β11 | 0.100 | 0.063 | 0.062 | 0.037 | θ11 | 0.344 | 0.352 | 0.349 | 0.076 |
| α12 | 10.000 | 11.740 | 11.680 | 1.458 | β12 | 0.200 | 0.187 | 0.190 | 0.025 | θ12 | 0.641 | 0.755 | 0.758 | 0.068 |
| α13 | 10.000 | 10.120 | 10.090 | 0.968 | β13 | 0.300 | 0.304 | 0.305 | 0.016 | θ13 | 0.764 | 0.761 | 0.765 | 0.064 |
| α14 | 10.000 | 10.790 | 10.760 | 0.962 | β14 | 0.400 | 0.391 | 0.391 | 0.013 | θ14 | 0.863 | 0.862 | 0.867 | 0.055 |
| α15 | 10.000 | 9.271 | 9.262 | 0.826 | β15 | 0.500 | 0.480 | 0.480 | 0.013 | θ15 | 0.935 | 0.893 | 0.899 | 0.051 |
| α16 | 10.000 | 10.940 | 10.910 | 0.969 | β16 | 0.600 | 0.600 | 0.600 | 0.012 | θ16 | 0.748 | 0.762 | 0.764 | 0.065 |
| α17 | 10.000 | 9.936 | 9.911 | 1.017 | β17 | 0.700 | 0.721 | 0.720 | 0.019 | θ17 | 0.637 | 0.615 | 0.616 | 0.075 |
| α18 | 10.000 | 9.509 | 9.487 | 1.147 | β18 | 0.800 | 0.831 | 0.825 | 0.034 | θ18 | 0.492 | 0.542 | 0.543 | 0.076 |
| α19 | 10.000 | 10.600 | 10.500 | 1.352 | β19 | 0.900 | 0.900 | 0.895 | 0.040 | θ19 | 0.303 | 0.316 | 0.314 | 0.073 |
| α20 | 10.000 | 12.460 | 12.250 | 1.358 | β20 | 1.000 | 0.957 | 0.961 | 0.029 | θ20 | 0.642 | 0.570 | 0.571 | 0.076 |
| Parameter | NP | MB | MRB | RMSE | Pearson’s r |
|---|---|---|---|---|---|
| α | 20 | −0.087 | −0.040 | 0.962 | 0.968 |
| β | 20 | −0.002 | −0.032 | 0.050 | 0.987 |
| θ | 1000 | −0.004 | 0.021 | 0.071 | 0.947 |
| Pearson’s r | 1.000 | 0.944 ** | 0.944 ** | 0.947 ** | |
| Spearman’s rho | 1.000 | 0.945 ** | 0.947 ** | 0.947 ** | |
| Pearson’s r | 0.944 ** | 1.000 | 0.993 ** | 0.995 ** | |
| Spearman’s rho | 0.945 ** | 1.000 | 0.996 ** | 0.995 ** | |
| Pearson’s r | 0.944 ** | 0.993 ** | 1.000 | 0.997 ** | |
| Spearman’s rho | 0.947 ** | 0.996 ** | 1.000 | 1.000 ** | |
| Pearson’s r | 0.947 ** | 0.995 ** | 0.997 ** | 1.000 | |
| Spearman’s rho | 0.947 ** | 0.995 ** | 1.000 ** | 1.000 |
| 3PL IRTM | 3P CTM | ||||||||||
|---|---|---|---|---|---|---|---|---|---|---|---|
| Parameter | Mean | Median | SD | 2.5% Perc. | 97.5% Perc. | Parameter | Mean | Median | SD | 2.5% Perc. | 97.5% Perc. |
| A1 | 1.08 | 1.03 | 0.31 | 0.65 | 1.83 | α1 | 8.86 | 8.60 | 8.60 | 1.70 | 6.52 |
| a2 | 0.96 | 0.88 | 0.42 | 0.47 | 2.04 | α2 | 1.25 | 0.95 | 0.95 | 1.17 | 0.02 |
| a3 | 1.41 | 1.26 | 0.65 | 0.62 | 3.26 | α3 | 2.61 | 2.18 | 2.18 | 2.44 | 0.06 |
| a4 | 0.84 | 0.79 | 0.29 | 0.46 | 1.54 | α4 | 1.98 | 1.96 | 1.96 | 1.42 | 0.03 |
| a5 | 0.85 | 0.83 | 0.22 | 0.49 | 1.36 | α5 | 5.21 | 5.19 | 5.19 | 1.03 | 3.33 |
| b1 | −2.50 | −2.45 | 0.52 | −3.64 | −1.59 | β1 | 0.08 | 0.08 | 0.08 | 0.04 | 0.01 |
| b2 | −0.58 | −0.61 | 0.43 | −1.38 | 0.30 | β2 | 0.43 | 0.42 | 0.42 | 0.21 | 0.08 |
| b3 | 0.34 | 0.33 | 0.24 | −0.11 | 0.84 | β3 | 0.67 | 0.70 | 0.70 | 0.18 | 0.21 |
| b4 | −1.10 | −1.09 | 0.42 | −1.94 | −0.27 | β4 | 0.35 | 0.32 | 0.32 | 0.20 | 0.05 |
| b5 | −2.13 | −2.06 | 0.51 | −3.29 | −1.27 | β5 | 0.13 | 0.11 | 0.11 | 0.08 | 0.02 |
| c1 | 0.26 | 0.25 | 0.10 | 0.10 | 0.47 | γ1 | 0.33 | 0.33 | 0.33 | 0.10 | 0.16 |
| c2 | 0.26 | 0.25 | 0.10 | 0.09 | 0.49 | γ2 | 0.38 | 0.39 | 0.39 | 0.05 | 0.26 |
| c3 | 0.23 | 0.22 | 0.08 | 0.09 | 0.37 | γ3 | 0.20 | 0.19 | 0.19 | 0.07 | 0.09 |
| c4 | 0.25 | 0.25 | 0.09 | 0.09 | 0.46 | γ4 | 0.45 | 0.47 | 0.47 | 0.07 | 0.29 |
| c5 | 0.27 | 0.26 | 0.10 | 0.10 | 0.48 | γ5 | 0.44 | 0.44 | 0.44 | 0.10 | 0.26 |
| θ1 | −1.75 | −1.75 | 0.75 | −3.26 | −0.26 | θ1 | 0.14 | 0.12 | 0.12 | 0.09 | 0.02 |
| θ2 | −1.75 | −1.76 | 0.75 | −3.22 | −0.26 | θ2 | 0.14 | 0.13 | 0.13 | 0.08 | 0.02 |
| θ3 | −1.74 | −1.72 | 0.74 | −3.21 | −0.30 | θ3 | 0.14 | 0.13 | 0.13 | 0.08 | 0.02 |
| θ4 | −1.36 | −1.35 | 0.77 | −2.89 | 0.12 | θ4 | 0.19 | 0.17 | 0.17 | 0.11 | 0.03 |
| θ5 | −1.36 | −1.35 | 0.77 | −2.91 | 0.12 | θ5 | 0.19 | 0.17 | 0.17 | 0.11 | 0.03 |
| Pearson’s r | 1.000 | 0.953 ** | 0.985 ** | 0.940 ** | |
| Spearman’s rho | 1.000 | 0.869 ** | 0.948 ** | 0.922 ** | |
| Pearson’s r | 0.953 ** | 1.000 | 0.987 ** | 0.986 ** | |
| Spearman’s rho | 0.869 ** | 1.000 | 0.896 ** | 0.918 ** | |
| Pearson’s r | 0.985 ** | 0.987 ** | 1.000 | 0.980 ** | |
| Spearman’s rho | 0.948 ** | 0.896 ** | 1.000 | 0.957 ** | |
| Pearson’s r | 0.940 ** | 0.986 ** | 0.980 ** | 1.000 | |
| Spearman’s rho | 0.922 ** | 0.918 ** | 0.957 ** | 1.000 |
Publisher’s Note: MDPI stays neutral with regard to jurisdictional claims in published maps and institutional affiliations. |
© 2022 by the author. Licensee MDPI, Basel, Switzerland. This article is an open access article distributed under the terms and conditions of the Creative Commons Attribution (CC BY) license (https://creativecommons.org/licenses/by/4.0/).
Share and Cite
Choi, J. Cognitive Trait Model: Measurement Model for Mastery Level and Progression of Learning. Mathematics 2022, 10, 2651. https://doi.org/10.3390/math10152651
Choi J. Cognitive Trait Model: Measurement Model for Mastery Level and Progression of Learning. Mathematics. 2022; 10(15):2651. https://doi.org/10.3390/math10152651
Chicago/Turabian StyleChoi, Jaehwa. 2022. "Cognitive Trait Model: Measurement Model for Mastery Level and Progression of Learning" Mathematics 10, no. 15: 2651. https://doi.org/10.3390/math10152651
APA StyleChoi, J. (2022). Cognitive Trait Model: Measurement Model for Mastery Level and Progression of Learning. Mathematics, 10(15), 2651. https://doi.org/10.3390/math10152651

