Abstract
The event-triggered consensus of multi-agent systems received extensive attention in academia and industry perspectives since it ensures all agents eventually converge to a stable state while reducing the utilization of network communication resources effectively. However, the practical limitation of the actuator could lead to a saturation phenomenon, which may degrade the systems or even induce instability. This paper plans to offer a detailed review of some recent results in the event-triggered consensus of multi-agent systems subject to actuator saturation. First, the multi-agent system model with actuator saturation constraints is given, and the basic framework of the event-triggering mechanism is introduced. Second, representative results reported in recent valuable papers are reviewed based on methods for dealing with saturated terms, including low-gain feedback, sector-bounded conditions, and convex hull representations. Finally, some challenging topics worthy of research efforts are dicussed for future research.
Keywords:
event-triggered consensus; multi-agent systems; actuator saturation; low-gain feedback; sector-bounded condition; convex hull representation MSC:
93D50
1. Introduction
The investigation on multi-agent systems (MASs) received great attention due to its wide range of application scenarios, including robot team control [1,2,3], unmanned aerial vehicle formation control [4,5], sensor network control [6,7,8], power grid control [9], etc. The consensus problem is one of the most popular issues among researchers, which intended to make all agents of MASs converge to the expected state. A key issue about consensus control of MASs is how to design an appropriate control protocol such that the consensus of MASs can be achieved. However, due to large-scale agent actions and the complexity of information exchange in MASs, it is really difficult or even unrealistic to adopt a conventional simple centralized control strategy. In order to investigate the consensus problem of MASs, academia prefers to employ a distributed control method that uses the information exchange between neighboring agents in a shared information network. Over the past decade, some distributed control methods have been presented [10,11,12,13,14,15].
According to the traditional consensus control protocol, it is widely assumed that control signals can be transmitted to agents in MASs continuously. However, the aforementioned assumption is harsh because it requires the network of the MASs to provide sufficient communication resources, which is difficult in practical environments, especially considering that agents are powered by limited energy devices, such as batteries. Moreover, the communication resources and bandwidth of the MASs are limited at a certain time. Therefore, a suitable distributed control protocol not only needs to ensure the control performance of the system but also needs to consider the limitation of communication resources. One formerly adopted method is time-triggered control (TTC), where the action of information sampling is triggered by preset sampling periodic intervals [16,17,18,19]. However, subsequent research studies have found that this method not only consumes excessive communication resources but also behaves poorly in the presence of external interference in systems [20]. On the other hand, if control protocols require frequent information updates, it may lead to detrimental results in the system, such as communication congestion and increased packet loss. It is well-known that communication congestion will deteriorate related performance indicators, such as severe time-delay phenomenon and reduced throughput, thus inevitably destroying the stability, reliability, and rapidity of the system. Therefore, it is of great theoretical and practical significance to design a distributed control protocol that can not only satisfy the control performance to the greatest extent but also simultaneously reduce the communication frequency in the system as much as possible.
The adoption of the event-triggered control (ETC) provides an effective solution to the above problems [21]; since then, it has been a focus of attention from the researchers [22,23]. Distinct from the TTC, the controller update is implemented if the predefined event-triggered mechanism (ETM) is violated, which helps save communication resources [24]. Essentially, the triggered instant of ETC depends on the state change inside the system, while the triggered instant of TTC depends on the time period pre-defined by the designer, which cannot reflect the internal laws of the system. For example, if the system has a stable trend, i.e., the system state changes are quite small, the ETC can significantly reduce the update frequency of information and economize communication resources compared with TTC [24]. Benefiting from this advantage, research studies related to ETC attracted tremendous attention in the last decade. The research on ETC are quite mature, particularly on fault detection approaches, the influence of disturbances, modeling errors, and various uncertainties in the real systems. The event-triggered consensus problem of a fuzzy-basis-dependent event generator and an asynchronous filter of fuzzy Markovian jump systems was investgated in [25]. Djordjevic [26] considered the data-driven optimal controller of hydraulic servo actuators with completely unknown dynamics. An event-triggered observation scheme was considered for a perturbed nonlinear dynamical system in [27]. Moreover, [28] investigated the adaptive neural network fixed-time tracking control issue. In addition to the above results, a number of meaningful results emerged [20,29,30,31,32,33,34,35,36,37].
It can be seen from the above discussion that ETC has obvious practical significance, i.e., to reduce the utilization of system communication network resources. While it is obvious that ETC is aimed at the optimization of the control input, another practical issue concerning the control input also deserves special attention, namely the saturation phenomenon of the actuator. In practical situations, the amplitude and frequency of the controller output current and voltage are limited, and the motor output torque and rotational speed are limited. A large number of engineering practices have shown that ignoring the constraints of the saturation phenomenon will degrade the performance of the system and even lead to catastrophic consequences. One of the most famous examples is the crash of Plane YF-22 [38]. Therefore, the saturation treatment of the system is a issue worthy of great efforts, and a series of important results emerged. Among the current methods, the sector-bounded condition, low-gain feedback, and convex hull representation are the most popular methods. Da Silva et al. [39] proposed the sector-bounded condition, and the stability analysis of system is successfully transformed into the solution of linear matrix inequalities (LMIs) by introducing the sector inequality. Lin [40] proved that by solving the parametric algebraic Riccati equation (ARE), the low-gain feedback method can retain the control input within the saturation threshold, i.e., the system does not exhibit the saturation. As a novel result, Hu [41] introduced the convex hull theory to the treatment of saturation terms. Since then, a large number of meaningful research results on saturation control emerged in academia; see [42,43,44,45,46,47,48,49,50].
It is widely acknowledged that research studies of event-triggered consensus control protocols for MASs with actuator saturation are more challenging compared to the ones for a single system. The difficulties of research studies mainly come from the following aspects.
(i) The distributed control protocol and ETM contain complex information coupling, i.e., the state information of individual agents and their neighbors in the communication network.
(ii) Distinct from the low-gain feedback method, the sector-bounded condition and convex hull representation focus on semi-global stabilization, so there is an effective vector space domain called the domain of attraction (DOA), and the processing of saturation terms is reasonable only in this domain. Due to the introduction of the ETM, which makes the control input more complex, the estimation of DOA will be more complicated and difficult than the situation without ETM.
(iii) Difficulty in ruling out Zeno phenomenon, which means an infinite number of triggered events for a limited period of time: When it comes to saturated systems under ETC, some existing studies use the sector-bounded condition method to simplify the estimation problem of the DOA [51,52], whlie few studies focus on convex hull representation, which is a less conservative approach. The estimation problem of the DOA will be analyzed in detail below.
On the basis of the review papers [23,53,54,55], we review the event-triggered consensus problem of saturated MASs in recent years. Based on the different methods dealing with saturation, the design problem of feasible event-triggered consensus control protocols for MAS subjects relative to actuator saturation is analyzed. The structure of this paper is organized as follows. Section 2 provides the description of common MASs actuator saturation and the introduction of the working mechanisms of ETC. Based on three methods dealing with saturation, i.e., sector-bounded condition, low-gain feedback, and convex hull representation, this paper reviews the design problems of control strategies with reference values in recent years and analyzes their respective advantages and disadvantages in Section 3. Section 4 reviews one simulation example and its comparative experiments to specify performance evaluation indicators. Section 5 summarizes challenging topics about related fields in the future. The conclusion of this paper is provided in Section 6.
Throughout the paper, the following symbols will be used. represents the set of consecutive integers , and means the symbol function. ⊗ is the Kronecker product. For matrix A, represents a semi-positive definite matrix, and represents a semi-negative definite matrix.
2. System Description and Preliminaries
In this section, we first provide a description of the common model of MAS that is subject to actuator saturation, along with the distributed control protocol. Next, a general framework of the distributed ETM is proposed.
2.1. Multi-Agent Systems with Actuator Saturation
In order to summarize the existing theoretical results in a unified manner, we provide the following system description based on [56]. Two types of MASs are provided: leaderless one and leader–follower one, respectively.
MAS (1) represents leaderless one, and (2) represents leader–follower one. N represents the number of agents in MAS (2), and the nunber of agents in the MAS (1) is because of the existence of one leader agent. indicates the state of the leader agent, represents the state of the follower agent, and is the control input of the ith agent. and are given matrices related to the systems. It is assumed that matrices are stabilizable. The saturation function is described by , where , and is the saturation threshold.
The communication network of the MASs can be represented by a directed or undirected graph , where stands for the set of vertex, which represents N agents (for example, stands for the 1th agent in the MAS), and represents the set of edges. In graph , edge represents the fact that agent can receive information from agent . Therefore, vertex is called a neighbor of agent and } is called the neighbourhood of the agent . The weighting adjacency matrix is defined by , which represents the existence and strength of inter-agent communications. Thus, it is defined that if and if . We define a degree matrix with . Afterall, the Laplacian matrix of the araph is given by .
The above graph theory describes a leaderless MAS. When MAS has a leader, an additional matrix needs to be defined by , where means that agent is able to receive information from leader agent ; otherwise, . We define the Laplacian matrix of graph with the leader agent by .
It is said that MAS (1) with actuator saturation has achieved consensus if all agents’ states converge to the same value under control protocol and initial conditions , i.e., . Set as the DOA mentioned above. As for the leader–follower MAS (2), the consensus requires all follower agents to be consistent with the leader agent eventually, i.e., .
Compared with the common linear MASs studied before, the difference between MASs (1), (2) and the linear ones is that there exists the limitation of actuator saturation , which also makes the system nonlinear. Therefore, the lemmas required to deal with the saturation term are presented below.
Lemma 1
([57]). Define the dead zone function , where . Then, for any diagonal positive definite matrix , the following inequality holds:
if vectors s and w belong to the set .
Lemma 2
([58]). If all eigenvalues of matrix A are in the closed left-half s-plane, then for any , there exists a unique matrix such that the following ARE is satisfied:
and .
Lemma 3
([59]). If there exist matrices F, , then the saturation term can be represented by the following:
where , co is the convex hull of a set, and is a diagonal matrix with diagonal elements being either 1 or 0, . .
Lemmas 1–3 are the basis for using the three saturation-processing methods, i.e., sector-bounded condition, low-gain feedback, and convex hull representation, respectively. For details, please refer to the papers in Section 1, and they will also be analyzed in the next section.
In order to achieve the consensus of MAS, the following common control protocol is proposed [56]:
where K is the gain matrix to be designed. Moreover, we have if MASs have a leader agent, and otherwise.
In the application of the control protocol (3), the control protocol needs to continuously acquire all required agents’ states, which will cause a large consumption of communication resources. To solve this problem, ETC is proposed and widely used because it can effectively save communication resources since it avoids continuous updates of the controller. Next, we introduce its basic framework and mechanism.
Remark 1.
Different from the event-triggered consensus problem reviewed in [23], this paper considers the limitation of actuator saturation additionally, so the content of this paper can be regarded as a broader and general result. According to the commonly used saturation-processing methods mentioned above, this paper specifically discusses the processing methods for the event-triggered consensus problem in the presence of saturation phenomena.
2.2. The Framework of Event-Triggered Mechanism
Figure 1 shows the basic working principle of ETC roughly, and it can be seen that the difference from traditional MASs is the introduction of event-triggered detectors (marked by dotted lines). As a key component of ETC, the detector is responsible for collecting measurement information from the sensor, and then it judges whether the triggered mechanism is violated according to the pre-designed ETM. If the triggered mechanism is violated, the trigger is switched on, allowing the information of the sensor to be transmitted to the controller of the agent i, along with the update of the information of the controller i. Moreover, the real-time information will be transmitted to the neighbors of agent i through the communication network. It should be noted that the communication between the sensor and the detector may be continuous, i.e., the ETM is continuously monitored for violations, which also causes a certain degree of waste of communication resources. Therefore, inspired by the principle of TTC, researchers propose to conduct the communication between sensors and detectors in time segments (see Section 3 for details).
Figure 1.
The framework of ETM.
In order to ensure that ETC can work effectively under MASs with actuator saturation, the following issues need to be considered:
(1) Design of ETM: When it comes to the event-triggered strategy, the design problem of ETM is of great importanance, which is related to the scheduling of communication resources and the update of the controller. However, the design of the ETM must also take into account the practical implementation, i.e., being practically executable. This leads to a contradiction between the mechanism’s design and practical application. If the designed ETM is sophisticated, the controller is effective, but a sophisticated ETM may consume numerous communication and computing resources, becoming a real burden and vice versa. Therefore, the design of ETM is an art of achieving a balance between mechanism and reality. Thus far, the ETC widely used in the literature can be mainly divided into three types according to information utilization in the communication network: (i) centralized: all agents’ measurement information is required [60]; (ii) decentralized: only its own measurement information is required [61,62,63]; (iii) distributed: measurement information of itself and the neighbours is required [64,65,66]. Decentralized and distributed ETC are adopted by the mainstream because they cover less agents than centralized ones.
(2) Saturation Phenomenon: When the limitation of actuator saturation exists in systems, there are certain difficulties in designing the ETM. The first one is the estimation of DOA. When it comes to the sector-bounded condition and convex hull representation methods, the stability analysis of the system is constrained in a limited space, namely DOA. The DOA estimation problem has mature solutions in research studies without ETM. However, after ETM is introduced, the control input becomes more complicated, which adds difficulty in the estimation problem of DOA. Second, the saturation of the actuator means that there is a threshold for the control input, and it is also questionable whether the ETM can be successfully implemented within this limitation.
(3) Interval Between Events: Compared with traditional continuous control methods, the largest difference with respect to ETC is that it decides to update the controller according to whether the triggered mechanism is violated. It needs to ensure the elimination of the Zeno phenomenon; otherwise, it will degenerate into continuous control. However, this is not simple, and the difficulty comes from theoretical analyses and external information interferences. In addition, the interval between triggered events is often uncontrollable and may cause valuable information to be ignored generally.
The above issues deserve great attention when discussing event-triggered consensus in MASs with actuator saturation. Thus far, a majority of the literature studied control strategies in this field, which will be briefly reviewed in the next section.
3. Main Results
As discussed in Section 2, a key problem of the event-triggered consensus for MASs with actuator saturation lies in designing the control protocol, ETM, and handling the saturation terms. The mainstream saturation treatment methods include low-gain feedback, sector-bounded condition, and convex hull representation. In this section, we will review some interesting research results based on different approaches in dealing with saturation terms.
3.1. Low-Gain Feedback
The main idea of low-gain feedback is that, for any given bounded set in the state space, there exists a linear feedback control that makes all system trajectories starting from converge to the origin. The low-gain feedback method mainly uses a family of parameterized gain matrices to design linear feedback controllers by solving the ARE (Lemma 2). The in matrix is called a low-gain parameter. As low-gain parameter tends to zero, also tends to the zero matrix. Achieving semi-global stabilization with low-gain feedback means that for any given bounded set , no matter how large it is, a low-gain parameter value always exists such that all control signals on are within the saturation threshold. That is, the low-gain feedback can make the saturated system maintain the behavior of the unsaturated system in set . The advantage of the low-gain feedback compared with other methods lies in the fact that it can discard the saturation constraint in theoretical analysis, which reduces the complexity for the system’s analysis and design, especially when ETM is introduced. Therefore, it has received extensive attention from researchers in the studies of event-triggered consensus for saturated MASs.
In [67], the following ARE is adopted,
With the help of ARE (4), the actuator does not exhibit saturation, i.e., .
For , the control protocol and ETM are given by the following:
where is the kth-triggered instant of agent i, ,
, ; is the triggered threshold; is the control gain matrix to be designed. If the trigger function in (5) is violated, this means that the event is triggered. It can be explained that the difference between measurement error in the system at the current instant and combined measurement exceeds the threshold, so the controller needs to update the acquisition of the system state to stabilize the system. Furthermore, the proposed ETM has demonstrated that it can reduce the update frequency of the controller effectively and avoid the Zeno phenomenon successfully.
Although control strategy has considerable advantages, it also has certain disadvantages, which are given as follows.
(D1) Continuous Monitoring on ETM: According to the definition of in ETM (5), it can be seen that the control strategy needs to continuously monitor the state of agent i itself and its neighbors, which will lead to the substantial consumption of network communication resources and is inconsistent with the intention of ETC.
(D2) Excessive Sampling: From the control protocol in strategy (5), it is found that the information required for the control input of a single agent needs to be updated under the same clock sequence. That is to say that the information collection of the neighbor agent needs to be implemented in its own clock sequence, along with its neighbors’ clock additionally, which increases the consumption burden on a single agent and the entire MAS.
(D3) System Limitations: If the low-gain feedback method is adopted in the studies of saturated systems, the ARE of the system needs to be addressed first. From the AREs discussed above, it can be found that the involved systems are the simple linear systems only with additional saturation constraints. Therefore, this method may have some limitations, when the system studied has more complex characteristics, such as the presence of external nonlinear disturbances, unfixed communication topologies, and perturbed internal parameters of the systems.
In order to overcome the above disadvantages, researchers have made great efforts into improving (5). Considering the disadvantage of D1, [67] proposed a self-triggered ETM on the basis of (5) as follows:
where is the measurement error, is the triggered threshold, and function is defined as follows:
Compared with (5), the most meaningful change in (6) is that it overcomes disadvantage D1. Specifically, the ETM and protocol in control strategy (6) only need to sample its information at the triggered instant ( and ) of the desired agents. Instead of continuous sampling in (5), it can reduce the utilization of communication resources, in line with the intention of the ETC. However, this control strategy still has its limitation. For a certain agent, its control update depends on both its own triggered instant and the neighbors’ triggered instant, while the control update only depends on the agent’s own triggered instant in (5). Therefore, as the number of neighbors of the agent increases, its control update interval may become shorter and shorter, even leading to the Zeno phenomenon [65,68].
It is worth mentioning that when discussing event-triggered strategies, the existing literature often studies the case where information sampling and actuator update are implemented synchronously [65,69,70], i.e., there does not exist time delay between this two actions. However, this type of delay phenomenon is widespread in the field of practical engineering, which is called update delay. ETC is sensitive to time delays, and ignoring the delay may degrade the control quality or even destroy the stability of the system. Therefore, it is of great practical significance to consider this time delay when designing ETC strategies. Inspired by the topics discussed above, Wang et al. [58] proposed one fully distributed ETC scheme with the consideration of update delays, and the control strategy is given as follows:
where N is the number of agents, and represent updating sequences and sampling sequences, respectively. Define , , , , and . By solving the ARE (7), the gain matrix is obtained by .
Note that the control protocol in (8) is different from that in (6). The control input in (8) only updates according to its corresponding triggered instant sequence for a certain agent i and does not depend the sequence of other agents, which will greatly reduce the consumption of resources in the network of MASs. That is to say that the aforementioned shortcoming D2 is overcome. However, it also has limitations with respect to D1. The ETM in (8) requires continuous information sampling of agent i and its neighbors, which may cause the burden of communication. Moreover, meticulous differentiation of the time sequencecs may lead to shorter triggered intervals, reducing the quality of control performance.
The ETMs discussed above have one thing in common, that is, the coefficients of their triggered functions are all fixed constants. In [71], a dynamic strategy is proposed as follows:
Define as the measurement of between the triggered interval, and the measurement error is defined by . Furthermore, the parameters and functions of this dynamic control strategy can be described by the following equations:
where , , , and satisfy .
The following linear matrix inequality (LMI) is introduced.
By solving the LMI (10), feedback matrices are obtained by , .
Compared with the control gain matrix scheme (5), (6), and (8) based on solving ARE above, this control strategy provides greater flexibility because it only needs to solve matrix inequalities (10) instead of AREs (4) and (7). The design of gain matrix dose not rely on the solution of a parametric ARE. Another difference is that the parameters in control strategy (10) are dynamically changed rather than fixed ones aforementioned. The dynamic ETM adopted by strategy (10) can ensure that the interval time between triggered events is longer than that one of the fixed-parameter ETM, which is beneficial for the saving of communication resources.
In addition to the low-gain feedback-based event-triggered consensus studies discussed above, there are many interesting results that have not been discussed in detail. Xu [72] studied the bipartite consensus problem for high-order MAS subject to actuator saturation. The centralized and distributed event-triggering strategies for saturated MASs are both presented in [73]. Thus, it is concluded that the distributed control strategy can effectively reduce the number of triggered instants and the update frequency of the system, which saved the utilization of communication resources.
Remark 2.
The low-gain feedback method has significant advantages in the analysis of the system and the design of the control protocol because it can reduce saturation constraints. However, it depends on the solution of ARE, so it has higher requirements on studied systems; that is to say that the analyzed system needs to be relatively simple. If the system has more complex characteristics, such as external nonlinear interference, or the communication topology of the system is time-varying, the low-gain feedback method may fail. Therefore, other saturation processing methods will be introduced next, which can be applied to more complex systems.
3.2. Sector-Bounded Condition
The sector-bounded condition is the most widely and frequently used saturation treatment method in the study of event-triggered consensus problems for MASs with actuator saturation. The system with saturation limition is difficult to analyze by using common Lyapunov stability theory, so the saturation term needs to be dealt with in advance. The sector-bounded condition provides an effective solution for transforming the stability analysis of the system into solvable LMIs. Its main idea is to convert the saturation term into a dead-band function so that sector inequalities can be used (see Lemma 1). Unlike the low-gain feedback method discussed above, this method can be used in a wider range of systems because it does not avoid the saturation term, but processes it directly. In addition, unlike the low-gain feedback method, the sector-bounded condition and convex hull representation have their applicable range, namely DOA. The estimation of DOA is a common problem in the use of these two types of methods. The method widely adopted by researchers is to use the level set of the Lyapunov function to estimate the range of DOA. Compared with the convex hull representation, the sector-bounded condition has unique advantages in DOA estimation. Because of the higher flexibility of the sector inequality, it is widely used in event-triggered related research studies.
Unlike the systems studied above, Yin [52] investigated the MAS that is additionally accompanied by a nonlinear term, and the system can be described as follows:
where represents the nonlinear function that satisfies the following Lipschitz condition.
Definition 1
([74]). The nonlinear function : satisfies the Lipschitz condition if there exists such that
and l is the Lipschitz constant.
As a novel research achievement, [52] proposed an adaptive dynamic ETM as follows:
where is the detection value of agent i for . , if agent i can receive information from the leader. Otherwise, , , is any neighbor of agent i, , is the undetermined coefficient matrix, and is determined by the following differential equation.
Different from the ETMs discussed above, this triggered mechanism uses dynamic parameters instead of fixed ones. Unlike the ETMs proposed in [58,70], the triggered parameters will dynamically adjust as the system’s state changes instead of being fixed, which gives the triggered mechanism more flexibility. In addition, most triggered functions above take the form of multiplying a vector norm and a constant coefficient, and the constant coefficient is generally preset. This mechanism adopts the form of multiplying a vector and a coefficient matrix , and the coefficient matrix is designed together with the control protocol, which increases the flexibility of the control protocol design and expands the solvable range.
After completing the design of the control protocol and the ETM, it is necessary to consider the problem of DOA range estimation. The author of [52] provides a typical demonstration of DOA estimation.
Define , and the following variables, , , .
The Lyapunov function is defined as follows:
along with the level set .
The control input u can be rewritten as follows:
where is the Laplace matrix mentioned in Section 2, and K is the gain matrix to be designed. We set , and G is a suitable dimensional matrix; we obtain the following set:
where represents the jth row of matrix G. Lemma 1 ensures that if belongs to set , then the following sector inequality holds.
Set is the required DOA, but it is difficult to directly measure , so the level set of Lyapunov function is used for indirect estimation. As [52] stated, if the following inequality is satisfied, then it can be proved that is enclosed in .
Thus far, the issues related to ETC based on the sector-bounded condition have been fully considered, including the design of ETM, the control protocol, and the estimation of DOA, which are also three issues that must be considered in the research studies based on this method. An interesting point can be found from the above discussion, the construction of has flexibility, and the researchers design . The introduction of enables the range estimation of DOA to be concatenated with . So even in the context of ETC, where the input is more complex, the utilization of sector-bounded conditions is not affected. This is different from the convex hull representation, which will be shown in the next subsection.
When studying the consensus problem of saturated MASs by a sector-bounded condition, the systems studied can be more complicated than those of low-gain feedback methods. The above discussion focused on MASs with nonlinear disturbances, while Dai [75] studied the event-triggered consensus problem of a class of saturated MASs with Markovian switching topologies. A novel ETM was adopted in [75], and the feature of which is that the inspection of events is not continuous but depends on a time-interval. The novel control strategy can be described as follows:
where h is the sampling period, is the kth sequence at the sampling instant of agent i, represents the current sampling instant, is the triggered threshold, is consistent with the one in (12), and .
The relevant variables are defined as follows.
Different from the event-based triggered mechanisms () discussed above, this type of mechanism is a type of sampled-data-based ETM. It is worth mentioning that this type of triggered mechanism only judges the violation of ETM at the sampling interval, and the sampling interval is h, which leads to an interesting conclusion that this type of mechanism can naturally avoid the Zeno phenomenon. A number of improved ETMs have been proposed above for the disadvantage D1, but these improvements have limitations, and such a sampled-data-based ETM overcomes this disadvantage and completely avoids the continuous monitoring of the ETM. Therefore, there is no doubt that this type of triggered mechanism can save communication resources and computing costs effectively.
Although this type of sampled-data-based ETM has its advantages, such as avoiding continuous monitoring of ETM and ruling out the Zeno phenomenon, it still has certain limitations. Firstly, the existence of sampling interval h greatly reduces the update frequency of the controller, but the long interval may lead to ignoring useful information, especially when the system has large oscillations. Secondly, existing research studies on this type of triggered mechanism assume that all agents follow the same clock sequence, so when the scale of MAS is quite large, this type of mechanism may be difficult to implement practically.
The adaptive coefficient is determined by the following:
where , , if agent i can receive information from the leader. Otherwise, , and is any neighbor of agent i. Define , m is an integer satisfying , and .
Compared with the ETM in (13), this control strategy uses dynamically changing parameters instead of preset fixed ones, which avoids some difficulties in choosing suitable initial values. Each agent has its specific triggered clock sequence and a not uniformly fixed one in (13). This overcomes the second limitation mentioned above and provides favorable conditions for implementation in the context of large-scale MASs. In addition, it can be seen that the adaptive parameter in (12) depends on the differential equation, while that in (14) depends on the difference equation, which is more conducive to the implementation and operation.
Recently, the event-triggered consensus problem of saturated MASs based on the sector-bounded condition received extensive attention from the academic community [76,77,78]. Based on this flexible saturation-processing method, researchers are no longer limited by the limitations of simple systems with low-gain feedback and turn to more complex systems. The event-triggered consensus problem for one type of second-order MAS subject to actuator saturation and input time delay was investgated in [76], and Ref. [77] focused on the bipartite-tracking consensus problem of nonlinear MASs with cooperative–competitive interactions. Furthermore, [78] dealt with the leaderless consensus problem for saturated MASs with a directed communication topology.
Remark 3.
It is worth noting that most of the systems studied in the above mentioned references are linear systems or simple Lipschitz nonlinear systems, and there is still an open topic to study the event-triggered consensus problem for more general nonlinear systems, such as one-side Lipschitz or incremental quadratic constraints. The proper treatment of nonlinear systems is a challenge in this field; thus, the research in this direction is worthy of future efforts.
3.3. Convex Hull Representation
Compared with the two saturation processing methods introduced above, the convex hull representation method is less studied. However, the convex hull representation method is less conservative than the sector-bounded condition since it introduces a convex hull to analyze the saturation term and it is not necessary to introduce additional sector inequality conditions in the analysis. The convex hull representation method is the least conservative in terms of the design of the control protocol. As stated in Lemma 3, the convex hull representation transforms the saturation term into a linear superposition by introducing auxiliary matrices H. The utilization of the convex hull representation method to study systems with actuator saturation has been welcomed by more and more researchers, but in the context of event-triggered controls, such studies are still scarce. The main reason is that, similarly to the sector-bounded condition, the convex hull representation method also needs to provide an estimation of DOA. Distinct from the flexible selection object of the former method, the DOA estimation of the convex hull representation method is directly related to auxiliary matrix H. Although researchers have given many mature methods for estimating the DOA of the convex hull representation method, the complexity of the control input creates a huge challenge with respect to the estimation problem of DOA when the ETC is introduced.
As an outstanding achievement, [79] presented a output–feedback control strategy, and the MAS can be described as follows:
where is the measurement output of agent i, and the rest of the parameters are the same as MAS (11). The output feedback control strategy is given as follows.
Define consensus error , current output consensus error , measurement error , measurement error of as , , and matrix G and are matrices that satisfy certain properties (see Lemma 2 in [79]). Let , , , ,
.
There are some advantages about strategy (16). Firstly, agent i samples information and to update the control protocol in (16) only at triggered instant . Second, the next trigger instant depends on triggered variable , which consists of and . This can avoid continuous communication between neighbors in the MAS network and save communication resources. Moreover, unlike the event-based ETMs above, the event interval of this ETM not only relies on whether the event is triggered but also takes as the lower limit; that is, if the interval between two events is less than , the event will not be triggered even if the ETM is satisfied. Therefore, the triggered interval of the ETM is at least greater than , which can effectively avoid the Zeno phenomenon. Finally, in the actual background, the state of the agent may not be fully acquired, so the control protocol using output-feedback instead of state-feedback can effectively avoid the difficulty of state acquisition and save information sampling consumption.
As discussed in (12), after completing the design of ETM and control protocol, the convex hull representation method also needs to deal with the estimation problem of DOA. Define the set , where denotes the mth row of the auxiliary matrix H and . It is well known that the premise of using the above convex hull representation method is to satisfy condition , and it is ensured by . Taking the context of MASs into consideration, premise can be expressed as . Therefore, the overall premise of using the convex hull representation method to solve the design of the ETM and control protocol is to provide an estimation for set . Similarly to the DOA discussion of the sector-bounded condition above, the direct solution of set has computational difficulties, so the indirect estimation method using the level set of the Lyapunov function is adopted. The Lyapunov function is chosen as follows:
and the level set is . It is worth noting that vector corresponding to level set is a composite vector composed of and , and it is difficult to describe DOA in detail. Therefore, a subset of level set is defined, and it can be seen that vector of subset has a specific meaning, that is, the state difference between the leader agent and the follower agent. Using the result in [80], the optimal estimation of DOA can be obtained by solving the formulated problem (see Theorem 1 in [79]). The outstanding contribution of [79] is that it not only provides a method for estimating DOA but also gives an optimization problem on this basis, that is, maximizing the estimation of DOA, which is not presented in previous results.
In recent years, some researchers also studied the event-triggered consensus problem for MASs with actuator saturation using the convex hull representation method, and some interesting results have been proposed. The problem of event-triggered stabilization for positive systems subject to actuator saturation was investgated in [47]. However, the studied system was limited to a single system, and conclusions were not generalized to MASs. Moreover, a self-triggered consensus control strategy for nonlinear MASs with sensor saturation was proposed in [81].
Remark 4.
The convex hull representation method can effectively reduce the conservatism when dealing with saturated terms, but this method also has its drawbacks. First, as discussed above, this method is more cumbersome than the sector-bounded condition in terms of estimating DOA, which is more popular among researchers, especially in the context of ETC. Second, it can be seen from Lemma 3 that using the convex hull representation method to design the control protocol will increase the computation burden of LMI, which is directly related to input dimension m. In detail, the computational complexity of the convex hull representation method is , so the computational burden grows exponentially, which also suggests that the method may not be suitable for systems with large inputs. Therefore, this method is rarely adopted in the study of event-triggered consensus for MASs with actuator saturation. The existence of few related studies shows that this is a topic that requires further exploration.
Remark 5.
In Section 3, we review some representative studies about the event-triggered consensus for satarated MASs in detail. In order to show the advantages and disadvantages of each research result more intuitively, we provide Table 1 to facilitate readers’ better understanding. In Table 1, the important feature of the control strategies reviewed in this paper is listed. As observed from the table, although research studies have been conducted extensively on the event-triggered consensus problem for MASs with actuator saturation, there are still some important issues worthy of consideration in the future.
Table 1.
Advantages and disadvantages of control strategies.
4. Simulation
In this section, we will review one simulation example and its comparative experiments in [52] to specify the performance evaluation indicators that should be paid attention to in the event-triggered consensus problem for saturated MASs. It mainly includes performance indicators related to ETC, such as the number of triggered instants and average interval time between events.
Consider the MAS (11) with four followers and one leader, and the agents are determined by a vertical taking-off and landing (VTOL) aircraft model in [52], where the following is the case.
The meaning of the state variable is as follows: —horizontal velocity; —vertical velocity; —pitch rate; —pitch angle.
Figure 2 shows the communication topology graph between agents, and the numbers represent the agents labeled 0–5. On the basis of control strategies (12) and (14), ETMs are designed by event-based triggered mechanisms and sampled-data-based mechanisms, respectively. Effects of the control protocols are shown in the following figures.
Figure 2.
The communication topology graph.
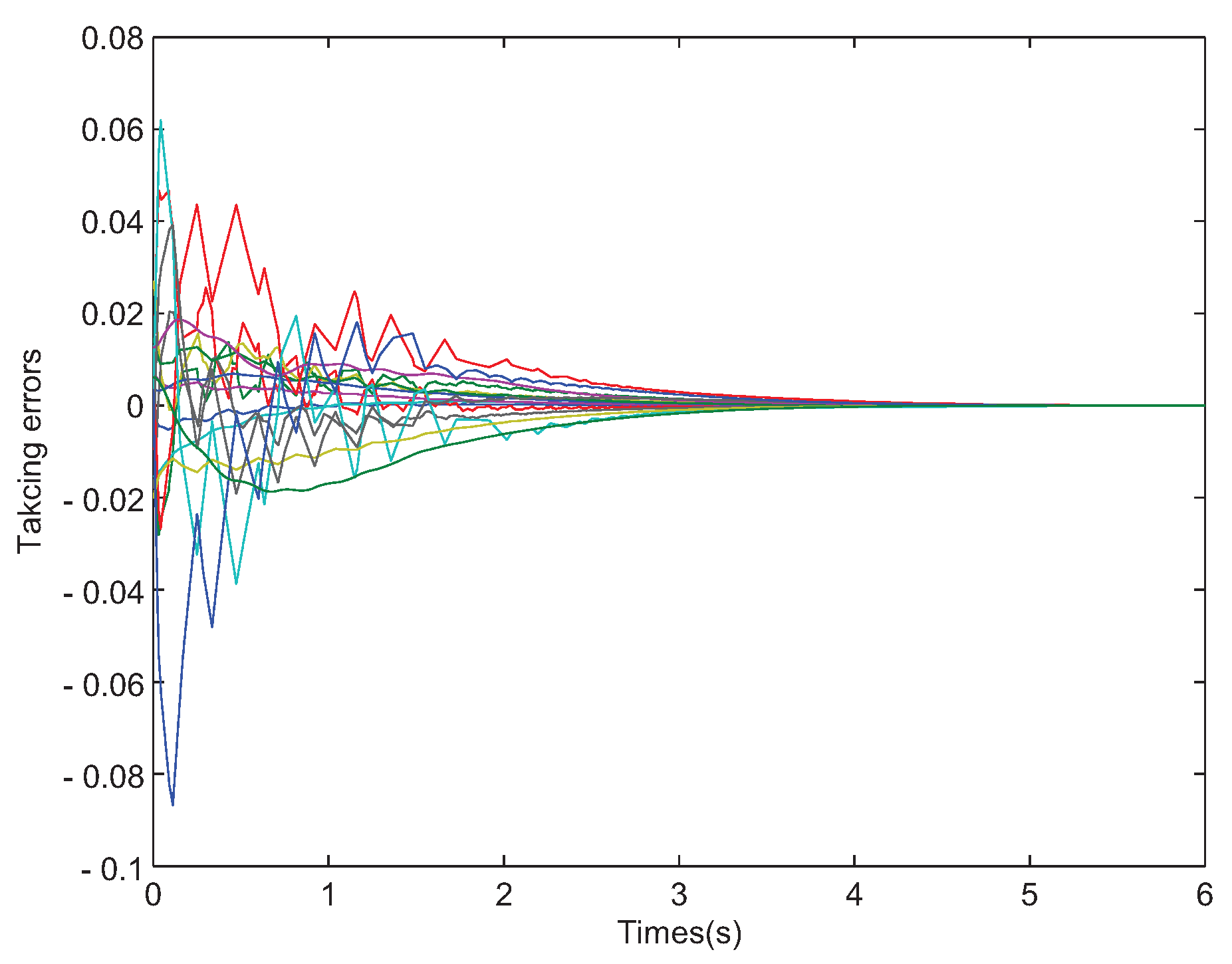
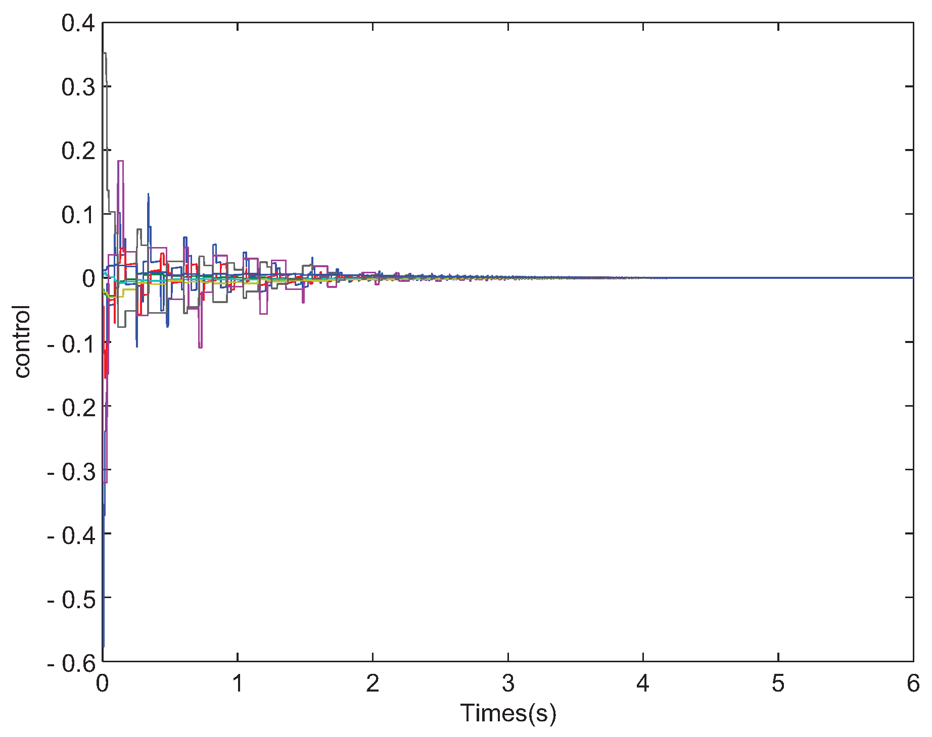
The tracking errors and control input under are shown in Figure 3 and Figure 4. It can be seen from the figure that the tracking error of the system finally tends to zero, indicating that the consensus of the MAS (11) is achieved. At the same time, the control input is different from the traditional continuous one, and the update of the control input is intermittent rather than continuous, which depends on the predefined ETM. Moreover, the tracking errors and control input under are shown in Figure 5 and Figure 6.
Figure 3.
The tracking errors under .
Figure 4.
The control input under .
Figure 5.
The tracking errors under .
Figure 6.
The control input under .
However, appropriate control performances often require the utilization of communication resources. It can be seen from Figure 4 and Figure 6 that the control input is updated intermittently. In the context of ETC, the number of triggered instants and the average interval time between triggered events are important performance indicators to measure the ETM, so we will provide a quantitative experiment next.
According to the data in Table 2 and Table 3, compared with , control strategy can reduce the number of triggered instants by about and prolong the average interval time between events by about . The data prove that control strategy has significant advantages in saving communication resources. Compared with event-based triggered mechanisms, the important feature of sampled-data-based mechanisms is that it checks the ETM according to sampling period h. However, the selection of h is also sensitive. If the selection of h is large, the update of control input may be slow, leading to the failure of the ETM; if the selection of h is small, the update of control input will be frequent, and the significance of ETC will be lost, resulting in a huge waste of communication resources.
Table 2.
The number of triggered instants.
Table 3.
Average interval time between triggered events.
5. Prospects for Future Research
A detailed review of event-triggered consensus has been provided in the previous section. Although some control problems have been studied in detail, there are still limitations on mechanistic studies and system limitations, which also brings potential room for improvements to existing research studies. Next, some challenging but meaningful topics will be raised.
(1) Diversified event-triggered mechanisms: Most triggered mechanisms involved in this paper are limited to two types of triggered mechanisms: event-based and sampled-data-based ETMs. In fact, with the development of resaerch studies on ETC, various novel ETMs have been proposed in academia, such as model-based schemes [82,83,84,85] and self-triggered sampling schemes [86,87,88,89]. Under the background that research studies on actuator saturation have been developed in recent years, it is a topic worthy of researchers’ efforts to study the issue of event-triggered consensus problem of MASs with actuator saturation by using novel ETMs.
(2) Complex conditions about the MASs: In existing studies, most studied systems are described by simple dynamical models in order to simplify the difficulty of theoretical analysis. However, in practice (robots, unmanned aerial vehicle, and complex industrial process), such simple dynamics cannot fully describe the characteristics of the system, and many important factors may be ignored. A notable example is stochastic processes. In practice, stochastic processes can manifest in many aspects, such as stochastic external noise, stochastic measurement errors, and stochastic communication topologies. These stochastic phenomena pose a huge challenge to the event-triggered consensus for MASs due to its uncertainty. To the best of the authors’ knowledge, investigations on this issue under the premise of stochastic phenomena are still lacking.
(3) Optimal problems for the estimation of DOA: When the phenomenon of actuator saturation is involved in MASs, the estimation problem of the DOA is an unavoidable topic, especially when dealing with saturated items using the sector-bounded condition or convex hull representation methods. In the context of ETC, estimating the DOA of the MASs is a difficult task, and it is even more difficult to provide its optimization problem based on the estimation of the DOA, i.e., to maximize the estimation of the DOA. As pointed out in Table 3, most resaerch studies only consider the estimation problem of DOA and do not give a method to maximize the estimation, so this area is also an area worthy of future research.
(4) Event-triggered consensus for the MASs in finite time: Notably, most studies currently focus on the asymptotic consensus of MASs. However, in practical engineering, the convergence speed of the system is a key indicator to measure the control effect, and it is generally expected that the consensus of MASs can be achieved in a short and finite time [90]. However, this contradicts the mechanism of ETC. Since the purpose of ETC is to reduce the sampling of information and the frequency of the controller update and finally decrease the utilization of communication resources, but this will inevitably slow down the convergence speed of the system. So it will be a difficult but promising topic for designing a suitable control strategy, which can not only reduce the utilization of communication resources but also ensure a fast convergence effect.
6. Conclusions
This paper mainly reviews recent studeis on the issue of event-triggered consensus for MASs with actuator saturation, classifies them according to the saturation-processing methods used, and summarizes their advantages and disadvantages, as well as room for improvement. It is worth noting that ETC and actuator saturation are aimed at different aspects of the control input. ETC is intended to enable the control input to still meet the performance requirements at a lower cost, while the saturation phenomenon focuses on solving the practical limitation of the control input. The studies on event-triggered consensus for MASs with actuator saturation have brought out certain results, and it is interesting to witness more in the future.
7. Discussion
Recent studies on the issue of event-triggered consensus for MASs with actuator saturation are discussed in this paper, and our future research in this area will focus on novel ETMs and the optimal estimation of DOA.
Author Contributions
Conceptualization, J.X. and J.H.; methodology, J.X.; software, J.X.; validation, J.X. and J.H.; formal analysis, J.X.; investigation, J.X.; resources, J.X. and J.H.; data curation, J.X.; writing—original draft preparation, J.X.; writing—review and editing, J.H.; visualization, J.X.; supervision, J.X.; project administration, J.H.; funding acquisition, J.H. All authors have read and agreed to the published version of the manuscript.
Funding
This work is supported by the Natural Science Foundation of Jiangsu Province of China (BK2021-1309), the Open Fund for Jiangsu Key Laboratory of Advanced Manufacturing Technology (HGAMTL-2101), and the open project (No. Scip202207) of Key Laboratory of System Control and 589 Information Processing, Ministry of Education, China.
Institutional Review Board Statement
Not applicable.
Informed Consent Statement
Not applicable.
Data Availability Statement
Not applicable.
Conflicts of Interest
The authors declare no conflict of interest.
Abbreviations
The following abbreviations are used in this manuscript:
| MASs | Multi-agent systems; |
| TTC | Time triggered control; |
| ETC | Event-triggered control; |
| ETM | Event-triggered mechanism; |
| LMIs | Linear matrix inequalities; |
| ARE | Algebraic Riccati equation; |
| DOA | Domain of attraction. |
References
- Jolly, K.; Kumar, R.S.; Vijayakumar, R. Intelligent task planning and action selection of a mobile robot in a multi-agent system through a fuzzy neural network approach. Eng. Appl. Artif. Intell. 2010, 23, 923–933. [Google Scholar] [CrossRef]
- Nazarova, A.V.; Zhai, M. Distributed Solution of Problems in Multi Agent Robotic Systems. In Studies in Systems, Decision and Control; Springer International Publishing: Berlin/Heidelberg, Germany, 2018; pp. 107–124. [Google Scholar] [CrossRef]
- Freudenthaler, G.; Meurer, T. PDE-based multi-agent formation control using flatness and backstepping: Analysis, design and robot experiments. Automatica 2020, 115, 108897. [Google Scholar] [CrossRef]
- Kapitonov, A.; Lonshakov, S.; Krupenkin, A.; Berman, I. Blockchain-based protocol of autonomous business activity for multi-agent systems consisting of UAVs. In Proceedings of the 2017 Workshop on Research, Education and Development of Unmanned Aerial Systems (RED-UAS), Linköping, Sweden, 3–5 October 2017; IEEE: Piscataway, NJ, USA, 2017. [Google Scholar] [CrossRef]
- Silva, L.A.; Blas, H.S.S.; García, D.P.; Mendes, A.S.; González, G.V. An Architectural Multi-Agent System for a Pavement Monitoring System with Pothole Recognition in UAV Images. Sensors 2020, 20, 6205. [Google Scholar] [CrossRef] [PubMed]
- Barriuso, A.; González, G.V.; Paz, J.D.; Lozano, Á.; Bajo, J. Combination of Multi-Agent Systems and Wireless Sensor Networks for the Monitoring of Cattle. Sensors 2018, 18, 108. [Google Scholar] [CrossRef]
- Ge, X.; Han, Q.L.; Wang, Z. A Threshold-Parameter-Dependent Approach to Designing Distributed Event-Triggered H∞ Consensus Filters Over Sensor Networks. IEEE Trans. Cybern. 2019, 49, 1148–1159. [Google Scholar] [CrossRef]
- Cai, X.; Wang, J.; Zhong, S.; Shi, K.; Tang, Y. Fuzzy quantized sampled-data control for extended dissipative analysis of T–S fuzzy system and its application to WPGSs. J. Frankl. Inst. 2021, 358, 1350–1375. [Google Scholar] [CrossRef]
- Pipattanasomporn, M.; Feroze, H.; Rahman, S. Multi-agent systems in a distributed smart grid: Design and implementation. In Proceedings of the 2009 IEEE/PES Power Systems Conference and Exposition, Seattle, WA, USA, 15–18 March 2009; IEEE: Piscataway, NJ, USA, 2009. [Google Scholar] [CrossRef]
- Olfati-Saber, R.; Fax, J.A.; Murray, R.M. Consensus and Cooperation in Networked Multi-Agent Systems. Proc. IEEE 2007, 95, 215–233. [Google Scholar] [CrossRef]
- Li, Z.; Duan, Z.; Chen, G.; Huang, L. Consensus of multiagent systems and synchronization of complex networks: A unified viewpoint. IEEE Trans. Circuits Syst. I Regul. Pap. 2009, 57, 213–224. [Google Scholar]
- Shao, J.; Zheng, W.X.; Huang, T.Z.; Bishop, A.N. On Leader–Follower Consensus With Switching Topologies: An Analysis Inspired by Pigeon Hierarchies. IEEE Trans. Autom. Control 2018, 63, 3588–3593. [Google Scholar] [CrossRef]
- Yang, Y.; Xu, H.; Yue, D. Observer-Based Distributed Secure Consensus Control of a Class of Linear Multi-Agent Systems Subject to Random Attacks. IEEE Trans. Circuits Syst. I Regul. Pap. 2019, 66, 3089–3099. [Google Scholar] [CrossRef]
- Wei, X.; Yu, W.; Wang, H.; Yao, Y.; Mei, F. An Observer-Based Fixed-Time Consensus Control for Second-Order Multi-Agent Systems with Disturbances. IEEE Trans. Circuits Syst. II Express Briefs 2019, 66, 247–251. [Google Scholar] [CrossRef]
- Zhang, J.; Zhang, H.; Sun, S.; Gao, Z. Leader-follower consensus control for linear multi-agent systems by fully distributed edge-event-triggered adaptive strategies. Inf. Sci. 2021, 555, 314–338. [Google Scholar] [CrossRef]
- Yu, W.; Zheng, W.X.; Chen, G.; Ren, W.; Cao, J. Second-order consensus in multi-agent dynamical systems with sampled position data. Automatica 2011, 47, 1496–1503. [Google Scholar] [CrossRef]
- Wen, G.; Duan, Z.; Yu, W.; Chen, G. Consensus of multi-agent systems with nonlinear dynamics and sampled-data information: A delayed-input approach. Int. J. Robust Nonlinear Control 2012, 23, 602–619. [Google Scholar] [CrossRef]
- Ding, L.; Guo, G. Sampled-data leader-following consensus for nonlinear multi-agent systems with Markovian switching topologies and communication delay. J. Frankl. Inst. 2015, 352, 369–383. [Google Scholar] [CrossRef]
- Ding, L.; Zheng, W.X. Consensus tracking in heterogeneous nonlinear multi-agent networks with asynchronous sampled-data communication. Syst. Control Lett. 2016, 96, 151–157. [Google Scholar] [CrossRef]
- Tabuada, P. Event-Triggered Real-Time Scheduling of Stabilizing Control Tasks. IEEE Trans. Autom. Control 2007, 52, 1680–1685. [Google Scholar] [CrossRef]
- Åarzén, K.E. A simple event-based PID controller. IFAC Proc. Vol. 1999, 32, 8687–8692. [Google Scholar] [CrossRef]
- Peng, C.; Li, F. A survey on recent advances in event-triggered communication and control. Inf. Sci. 2018, 457–458, 113–125. [Google Scholar] [CrossRef]
- Ding, L.; Han, Q.L.; Ge, X.; Zhang, X.M. An Overview of Recent Advances in Event-Triggered Consensus of Multiagent Systems. IEEE Trans. Cybern. 2018, 48, 1110–1123. [Google Scholar] [CrossRef]
- Heemels, W.; Johansson, K.; Tabuada, P. An introduction to event-triggered and self-triggered control. In Proceedings of the 2012 IEEE 51st IEEE Conference on Decision and Control (CDC), Maui, HI, USA, 10–13 December 2012; IEEE: Piscataway, NJ, USA, 2012. [Google Scholar] [CrossRef]
- Nguyen, K.H.; Kim, S.H. Event-Triggered Non-PDC Filter Design of Fuzzy Markovian Jump Systems under Mismatch Phenomena. Mathematics 2022, 10, 2917. [Google Scholar] [CrossRef]
- Djordjevic, V.; Stojanovic, V.; Tao, H.; Song, X.; He, S.; Gao, W. Data-driven control of hydraulic servo actuator based on adaptive dynamic programming. Discret. Contin. Dyn. Syst.-S 2022, 15, 1633. [Google Scholar] [CrossRef]
- Voortman, Q.; Efimov, D.; Pogromsky, A.Y.; Richard, J.P.; Nijmeijer, H. An event-triggered observation scheme for systems with perturbations and data rate constraints. Automatica 2022, 145, 110512. [Google Scholar] [CrossRef]
- Song, X.; Sun, P.; Song, S.; Stojanovic, V. Event-driven NN adaptive fixed-time control for nonlinear systems with guaranteed performance. J. Frankl. Inst. 2022, 359, 4138–4159. [Google Scholar] [CrossRef]
- Heemels, W.P.M.H.; Sandee, J.H.; Bosch, P.P.J.V.D. Analysis of event-driven controllers for linear systems. Int. J. Control 2008, 81, 571–590. [Google Scholar] [CrossRef]
- Eqtami, A.; Dimarogonas, D.V.; Kyriakopoulos, K.J. Event-triggered control for discrete-time systems. In Proceedings of the 2010 American Control Conference, Baltimore, MA, USA, 30 June–2 July 2010; IEEE: Piscataway, NJ, USA, 2010. [Google Scholar] [CrossRef]
- Heemels, W.P.M.H.; Donkers, M.C.F.; Teel, A.R. Periodic Event-Triggered Control for Linear Systems. IEEE Trans. Autom. Control 2013, 58, 847–861. [Google Scholar] [CrossRef]
- Yue, D.; Tian, E.; Han, Q.L. A Delay System Method for Designing Event-Triggered Controllers of Networked Control Systems. IEEE Trans. Autom. Control 2013, 58, 475–481. [Google Scholar] [CrossRef]
- Peng, C.; Han, Q.L.; Yue, D. To Transmit or Not to Transmit: A Discrete Event-Triggered Communication Scheme for Networked Takagi–Sugeno Fuzzy Systems. IEEE Trans. Fuzzy Syst. 2013, 21, 164–170. [Google Scholar] [CrossRef]
- Zhang, D.; Han, Q.L.; Jia, X. Network-based output tracking control for T–S fuzzy systems using an event-triggered communication scheme. Fuzzy Sets Syst. 2015, 273, 26–48. [Google Scholar] [CrossRef]
- Wen, S.; Yu, X.; Zeng, Z.; Wang, J. Event-Triggering Load Frequency Control for Multiarea Power Systems With Communication Delays. IEEE Trans. Ind. Electron. 2016, 63, 1308–1317. [Google Scholar] [CrossRef]
- Zhang, X.M.; Han, Q.L. A Decentralized Event-Triggered Dissipative Control Scheme for Systems With Multiple Sensors to Sample the System Outputs. IEEE Trans. Cybern. 2016, 46, 2745–2757. [Google Scholar] [CrossRef] [PubMed]
- Wen, S.; Zeng, Z.; Chen, M.Z.Q.; Huang, T. Synchronization of Switched Neural Networks With Communication Delays via the Event-Triggered Control. IEEE Trans. Neural Netw. Learn. Syst. 2017, 28, 2334–2343. [Google Scholar] [CrossRef] [PubMed]
- Dornhein, M. Report pinpoints factors leading to YF-22 crash. Aviat. Week Space Technol. 1992, 9, 53–54. [Google Scholar]
- Da Silva, J.G.; Tarbouriech, S. Antiwindup design with guaranteed regions of stability: An LMI-based approach. IEEE Trans. Autom. Control 2005, 50, 106–111. [Google Scholar] [CrossRef]
- Lin, Z.; Saberi, A. Semi-global exponential stabilization of linear discrete-time systems subject to input saturation via linear feedbacks. In Proceedings of the 1994 American Control Conference-ACC ’94, Baltimore, MD, USA, 29 June–1 July 1994; IEEE: Piscataway, NJ, USA, 1994. [Google Scholar] [CrossRef]
- Hu, T.; Lin, Z.; Chen, B.M. Analysis and design for discrete-time linear systems subject to actuator saturation. Syst. Control Lett. 2002, 45, 97–112. [Google Scholar] [CrossRef]
- Meng, Z.; Zhao, Z.; Lin, Z. On global leader-following consensus of identical linear dynamic systems subject to actuator saturation. Syst. Control Lett. 2013, 62, 132–142. [Google Scholar] [CrossRef]
- Yang, T.; Meng, Z.; Dimarogonas, D.V.; Johansson, K.H. Global consensus for discrete-time multi-agent systems with input saturation constraints. Automatica 2014, 50, 499–506. [Google Scholar] [CrossRef]
- Geng, H.; Chen, Z.; Liu, Z.; Zhang, Q. Consensus of a heterogeneous multi-agent system with input saturation. Neurocomputing 2015, 166, 382–388. [Google Scholar] [CrossRef]
- Su, H.; Chen, M.Z.Q. Multi-agent containment control with input saturation on switching topologies. IET Control Theory Appl. 2015, 9, 399–409. [Google Scholar] [CrossRef]
- Deng, C.; Yang, G.H. Consensus of Linear Multiagent Systems with Actuator Saturation and External Disturbances. IEEE Trans. Circuits Syst. II Express Briefs 2017, 64, 284–288. [Google Scholar] [CrossRef]
- Yin, Y.; Lin, Z.; Liu, Y.; Teo, K.L. Event-triggered constrained control of positive systems with input saturation. Int. J. Robust Nonlinear Control 2018, 28, 3532–3542. [Google Scholar] [CrossRef]
- Fu, J.; Wen, G.; Huang, T.; Duan, Z. Consensus of Multi-Agent Systems With Heterogeneous Input Saturation Levels. IEEE Trans. Circuits Syst. II Express Briefs 2019, 66, 1053–1057. [Google Scholar] [CrossRef]
- Su, H.; Sun, Y.; Zeng, Z. Semiglobal Observer-Based Non-Negative Edge Consensus of Networked Systems With Actuator Saturation. IEEE Trans. Cybern. 2020, 50, 2827–2836. [Google Scholar] [CrossRef]
- Lu, M.; Wu, J.; Zhan, X.; Han, T.; Yan, H. Consensus of second-order heterogeneous multi-agent systems with and without input saturation. ISA Trans. 2022, 126, 14–20. [Google Scholar] [CrossRef] [PubMed]
- Zuo, Z.; Li, Y.; Wang, Y.; Li, H. Event-triggered control for switched systems in the presence of actuator saturation. Int. J. Syst. Sci. 2018, 49, 1478–1490. [Google Scholar] [CrossRef]
- Yin, X.; Yue, D.; Hu, S. Adaptive periodic event-triggered consensus for multi-agent systems subject to input saturation. Int. J. Control 2015, 89, 653–667. [Google Scholar] [CrossRef]
- Ge, X.; Yang, F.; Han, Q.L. Distributed networked control systems: A brief overview. Inf. Sci. 2017, 380, 117–131. [Google Scholar] [CrossRef]
- Qin, J.; Ma, Q.; Shi, Y.; Wang, L. Recent Advances in Consensus of Multi-Agent Systems: A Brief Survey. IEEE Trans. Ind. Electron. 2017, 64, 4972–4983. [Google Scholar] [CrossRef]
- Ge, X.; Han, Q.L.; Ding, D.; Zhang, X.M.; Ning, B. A survey on recent advances in distributed sampled-data cooperative control of multi-agent systems. Neurocomputing 2018, 275, 1684–1701. [Google Scholar] [CrossRef]
- Ma, C.Q.; Zhang, J.F. Necessary and Sufficient Conditions for Consensusability of Linear Multi-Agent Systems. IEEE Trans. Autom. Control 2010, 55, 1263–1268. [Google Scholar] [CrossRef]
- Tarbouriech, S.; Prieur, C.; Silva, J.G.D. Stability Analysis and Stabilization of Systems Presenting Nested Saturations. IEEE Trans. Autom. Control 2006, 51, 1364–1371. [Google Scholar] [CrossRef]
- Wang, X.; Su, H.; Wang, X.; Chen, G. Fully Distributed Event-Triggered Semiglobal Consensus of Multi-agent Systems with Input Saturation. IEEE Trans. Ind. Electron. 2017, 64, 5055–5064. [Google Scholar] [CrossRef]
- Hu, T.; Lin, Z. Control Systems with Actuator Saturation; Birkhauser: Boston, MA, USA, 2001. [Google Scholar] [CrossRef]
- Dimarogonas, D.V.; Frazzoli, E.; Johansson, K.H. Distributed Event-Triggered Control for Multi-Agent Systems. IEEE Trans. Autom. Control 2012, 57, 1291–1297. [Google Scholar] [CrossRef]
- Seyboth, G.S.; Dimarogonas, D.V.; Johansson, K.H. Event-based broadcasting for multi-agent average consensus. Automatica 2013, 49, 245–252. [Google Scholar] [CrossRef]
- Garcia, E.; Cao, Y.; Yu, H.; Antsaklis, P.; Casbeer, D. Decentralised event-triggered cooperative control with limited communication. Int. J. Control 2013, 86, 1479–1488. [Google Scholar] [CrossRef]
- Yang, D.; Ren, W.; Liu, X.; Chen, W. Decentralized event-triggered consensus for linear multi-agent systems under general directed graphs. Automatica 2016, 69, 242–249. [Google Scholar] [CrossRef]
- Fan, Y.; Feng, G.; Wang, Y.; Song, C. Distributed event-triggered control of multi-agent systems with combinational measurements. Automatica 2013, 49, 671–675. [Google Scholar] [CrossRef]
- Zhu, W.; Jiang, Z.P.; Feng, G. Event-based consensus of multi-agent systems with general linear models. Automatica 2014, 50, 552–558. [Google Scholar] [CrossRef]
- Guo, G.; Ding, L.; Han, Q.L. A distributed event-triggered transmission strategy for sampled-data consensus of multi-agent systems. Automatica 2014, 50, 1489–1496. [Google Scholar] [CrossRef]
- Zhou, B.; Liao, X.; Huang, T.; Li, H.; Chen, G. Event-Based Semiglobal Consensus of Homogenous Linear Multi-Agent Systems Subject to Input Saturation. Asian J. Control 2016, 19, 564–574. [Google Scholar] [CrossRef]
- Li, H.; Liao, X.; Huang, T.; Zhu, W. Event-Triggering Sampling Based Leader-Following Consensus in Second-Order Multi-Agent Systems. IEEE Trans. Autom. Control 2015, 60, 1998–2003. [Google Scholar] [CrossRef]
- Hu, W.; Liu, L.; Feng, G. Consensus of Linear Multi-Agent Systems by Distributed Event-Triggered Strategy. IEEE Trans. Cybern. 2016, 46, 148–157. [Google Scholar] [CrossRef] [PubMed]
- Du, S.L.; Liu, T.; Ho, D.W.C. Dynamic Event-Triggered Control for Leader-Following Consensus of Multiagent Systems. IEEE Trans. Syst. Man Cybern. Syst. 2020, 50, 3243–3251. [Google Scholar] [CrossRef]
- Zhao, G.; Wang, Z.; Fu, X. Fully Distributed Dynamic Event-Triggered Semiglobal Consensus of Multi-agent Uncertain Systems with Input Saturation via Low-gain Feedback. Int. J. Control Autom. Syst. 2021, 19, 1451–1460. [Google Scholar] [CrossRef]
- Xu, Y.; Wang, J.; Zhang, Y.; Xu, Y. Event-triggered bipartite consensus for high-order multi-agent systems with input saturation. Neurocomputing 2020, 379, 284–295. [Google Scholar] [CrossRef]
- Chen, S.; Jiang, H.; Yu, Z. Fully Distributed Event-triggered Semi-global Consensus of Multi-agent Systems with Input Saturation and Directed Topology. Int. J. Control Autom. Syst. 2019, 17, 3102–3112. [Google Scholar] [CrossRef]
- Min, H.; Wang, S.; Sun, F.; Zhang, J. Robust consensus for networked mechanical systems with coupling time delay. Int. J. Control Autom. Syst. 2012, 10, 227–237. [Google Scholar] [CrossRef]
- Dai, J.; Guo, G. Event-based consensus for second-order multi-agent systems with actuator saturation under fixed and Markovian switching topologies. J. Frankl. Inst. 2017, 354, 6098–6118. [Google Scholar] [CrossRef]
- Gao, H.Y.; Hu, A.H. Event-triggered Pinning Bipartite Tracking Consensus of the Multi-agent System Subject to Input Saturation. Int. J. Control Autom. Syst. 2020, 18, 2195–2205. [Google Scholar] [CrossRef]
- Wang, J.; Luo, X.; Yan, J.; Guan, X. Event-triggered consensus control for second-order multi-agent system subject to saturation and time delay. J. Frankl. Inst. 2021, 358, 4895–4916. [Google Scholar] [CrossRef]
- Rehan, M.; Tufail, M.; Ahmed, S. Leaderless consensus control of nonlinear multi-agent systems under directed topologies subject to input saturation using adaptive event-triggered mechanism. J. Frankl. Inst. 2021, 358, 6217–6239. [Google Scholar] [CrossRef]
- You, X.; Hua, C.; Guan, X. Event-Triggered Leader-Following Consensus for Nonlinear Multiagent Systems Subject to Actuator Saturation Using Dynamic Output Feedback Method. IEEE Trans. Autom. Control 2018, 63, 4391–4396. [Google Scholar] [CrossRef]
- Hu, T.; Lin, Z.; Chen, B.M. An analysis and design method for linear systems subject to actuator saturation and disturbance. Automatica 2002, 38, 351–359. [Google Scholar] [CrossRef]
- Chen, D.; Liu, X.; Yu, W.; Zhu, L.; Tang, Q. Neural-Network Based Adaptive Self-Triggered Consensus of Nonlinear Multi-Agent Systems With Sensor Saturation. IEEE Trans. Netw. Sci. Eng. 2021, 8, 1531–1541. [Google Scholar] [CrossRef]
- Zhang, H.; Feng, G.; Yan, H.; Chen, Q. Observer-Based Output Feedback Event-Triggered Control for Consensus of Multi-Agent Systems. IEEE Trans. Ind. Electron. 2014, 61, 4885–4894. [Google Scholar] [CrossRef]
- Yin, X.; Yue, D.; Hu, S.; Peng, C.; Xue, Y. Model-Based Event-Triggered Predictive Control for Networked Systems with Data Dropout. SIAM J. Control Optim. 2016, 54, 567–586. [Google Scholar] [CrossRef]
- Xu, W.; Ho, D.W.C. Clustered Event-Triggered Consensus Analysis: An Impulsive Framework. IEEE Trans. Ind. Electron. 2016, 63, 7133–7143. [Google Scholar] [CrossRef]
- Liu, X.; Du, C.; Lu, P.; Yang, D. Distributed event-triggered feedback consensus control with state-dependent threshold for general linear multi-agent systems. Int. J. Robust Nonlinear Control 2016, 27, 2589–2609. [Google Scholar] [CrossRef]
- Wang, X.; Lemmon, M. Self-Triggered Feedback Control Systems With Finite-Gain L2 Stability. IEEE Trans. Autom. Control 2009, 54, 452–467. [Google Scholar] [CrossRef]
- Wang, X.; Lemmon, M.D. Self-Triggering Under State-Independent Disturbances. IEEE Trans. Autom. Control 2010, 55, 1494–1500. [Google Scholar] [CrossRef]
- Anta, A.; Tabuada, P. To Sample or not to Sample: Self-Triggered Control for Nonlinear Systems. IEEE Trans. Autom. Control 2010, 55, 2030–2042. [Google Scholar] [CrossRef]
- Peng, C.; Han, Q.L. On Designing a Novel Self-Triggered Sampling Scheme for Networked Control Systems With Data Losses and Communication Delays. IEEE Trans. Ind. Electron. 2016, 63, 1239–1248. [Google Scholar] [CrossRef]
- Lu, Q.; Han, Q.L.; Zhang, B.; Liu, D.; Liu, S. Cooperative Control of Mobile Sensor Networks for Environmental Monitoring: An Event-Triggered Finite-Time Control Scheme. IEEE Trans. Cybern. 2017, 47, 4134–4147. [Google Scholar] [CrossRef] [PubMed]
Publisher’s Note: MDPI stays neutral with regard to jurisdictional claims in published maps and institutional affiliations. |
© 2022 by the authors. Licensee MDPI, Basel, Switzerland. This article is an open access article distributed under the terms and conditions of the Creative Commons Attribution (CC BY) license (https://creativecommons.org/licenses/by/4.0/).





