Generalized Thermoelastic Interactions in an Infinite Viscothermoelastic Medium under the Nonlocal Thermoelastic Model
Abstract
1. Introduction
2. The Nonlocal Viscothermoelasticity Models
3. Application
4. Analytical Method
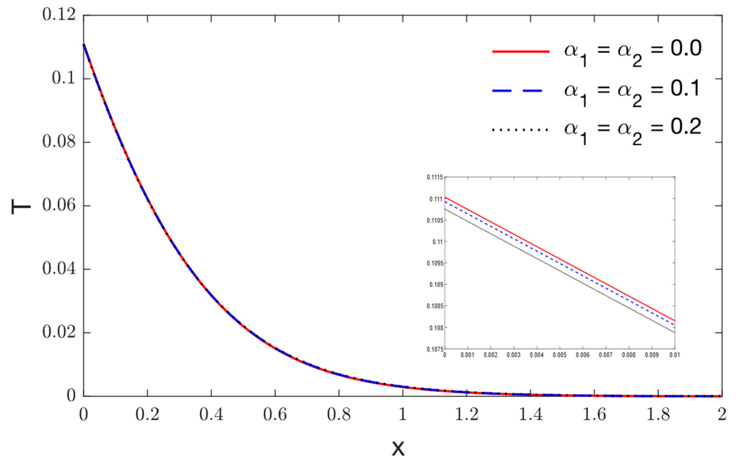
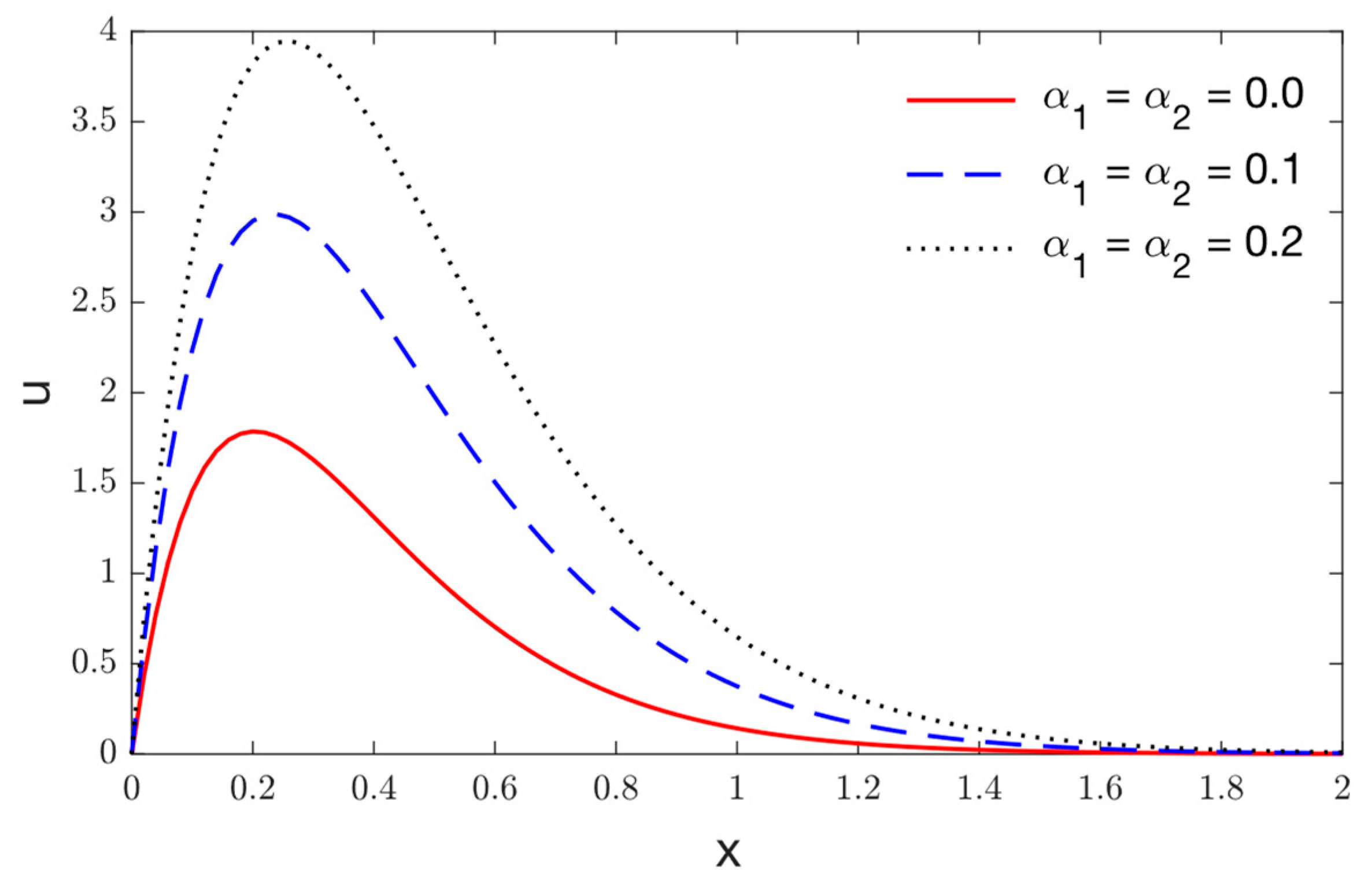
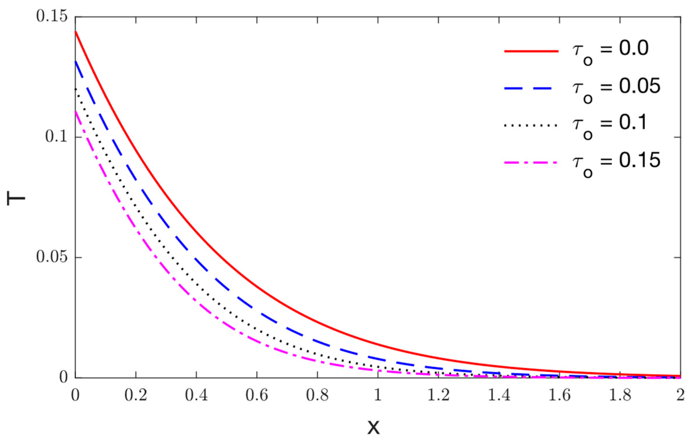
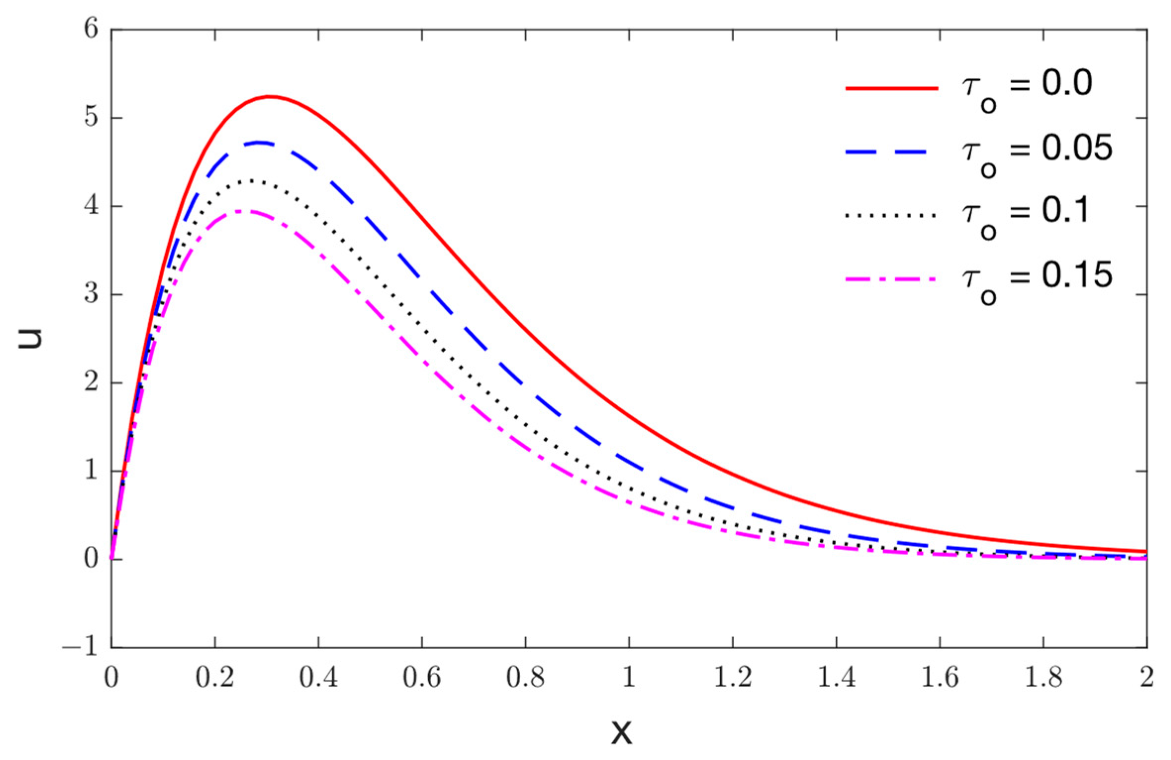
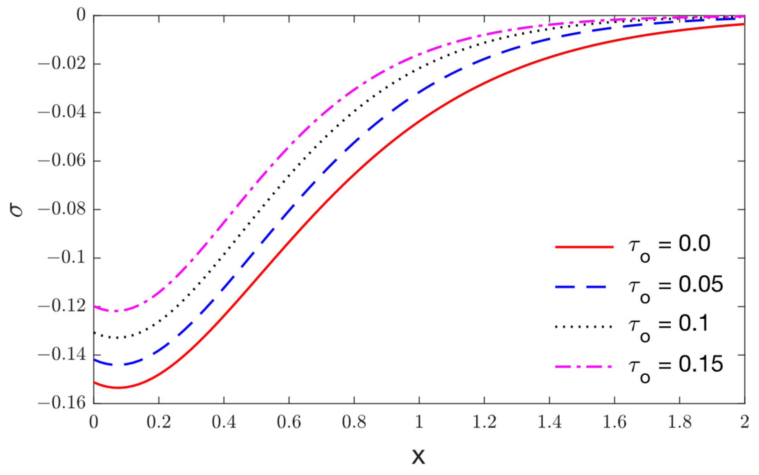
5. Results and Discussions
6. Conclusions
- According to the extended theory of thermoelasticity, all thermophysical values disappear beyond a certain distance.
- Magnitudes of temperature, displacement, and stress, corresponding to the nonlocal thermoelastic model, are larger than the local thermoelastic model in the viscothermoelastic medium.
- Significant effects of viscothermoelastic relaxation parameters on the distributions of thermophysical quantities are observed.
- As the viscothermoelastic relaxation parameter rises, the maximum magnitude of the displacement and the stress grow and move further away from the surface before disappearing.
Funding
Data Availability Statement
Conflicts of Interest
References
- Eringen, A.C. Nonlocal polar elastic continua. Int. J. Eng. Sci. 1972, 10, 1–16. [Google Scholar] [CrossRef]
- Eringen, A.C. Theory of nonlocal thermoelasticity. Int. J. Eng. Sci. 1974, 12, 1063–1077. [Google Scholar] [CrossRef]
- Eringen, A.C. Memory-dependent nonlocal electromagnetic elastic solids and superconductivity. J. Math. Phys. 1991, 32, 787–796. [Google Scholar] [CrossRef]
- Eringen, A.C.; Wegner, J. Nonlocal continuum field theories. Appl. Mech. Rev. 2003, 56, B20–B22. [Google Scholar] [CrossRef]
- Povstenko, Y.Z. The nonlocal theory of elasticity and its applications to the description of defects in solid bodies. J. Math. Sci. 1999, 97, 3840–3845. [Google Scholar] [CrossRef]
- Abouelregal, A.E.; Zenkour, A.M. Nonlocal thermoelastic model for temperature-dependent thermal conductivity nanobeams due to dynamic varying loads. Microsyst. Technol. 2017, 24, 1189–1199. [Google Scholar] [CrossRef]
- Yu, Y.J.; Tian, X.-G.; Liu, X.-R. Size-dependent generalized thermoelasticity using Eringen’s nonlocal model. Eur. J. Mech.-A/Solids 2015, 51, 96–106. [Google Scholar] [CrossRef]
- Narendar, S.; Gopalakrishnan, S. Nonlocal scale effects on ultrasonic wave characteristics of nanorods. Phys. E 2010, 42, 1601–1604. [Google Scholar] [CrossRef]
- Biot, M.A. Thermoelasticity and Irreversible Thermodynamics. J. Appl. Phys. 1956, 27, 240–253. [Google Scholar] [CrossRef]
- Lord, H.W.; Shulman, Y. A generalized dynamical theory of thermoelasticity. J. Mech. Phys. Solids 1967, 15, 299–309. [Google Scholar] [CrossRef]
- Sarkar, N.; Mondal, S.; Othman, M.I.A. L–S theory for the propagation of the photo-thermal waves in a semiconducting nonlocal elastic medium. Waves Random Complex Media 2022, 32, 2622–2635. [Google Scholar] [CrossRef]
- Saeed, T. Hybrid Finite Element Method to Thermo-Elastic Interactions in a Piezo-Thermo-Elastic Medium under a Fractional Time Derivative Model. Mathematics 2022, 10, 650. [Google Scholar] [CrossRef]
- Sarkar, N. Thermoelastic responses of a nonlocal elastic rod due to nonlocal heat conduction. ZAMM Z. Angew. Math. Mech. 2020, 100, e201900252. [Google Scholar] [CrossRef]
- Bachher, M.; Sarkar, N. Nonlocal theory of thermoelastic materials with voids and fractional derivative heat transfer. Waves Random Complex Media 2019, 29, 595–613. [Google Scholar] [CrossRef]
- Bayones, F.S.; Mondal, S.; Abo-Dahab, S.M.; Kilany, A.A. Effect of moving heat source on a magneto-thermoelastic rod in the context of Eringen’s nonlocal theory under three-phase lag with a memory dependent derivative. Mech. Based Des. Struct. Mach. 2021. [Google Scholar] [CrossRef]
- Lata, P.; Singh, S. Deformation in a nonlocal magneto-thermoelastic solid with hall current due to normal force. Geomach. Eng. 2020, 22, 109–117. [Google Scholar] [CrossRef]
- Lataa, P.; Kaur, I. Effect of time harmonic sources on transversely isotropic thermoelastic thin circular plate. Geomach. Eng. 2019, 19, 29–36. [Google Scholar] [CrossRef]
- Lata, P.; Zakhmi, H. Fractional order generalized thermoelastic study in orthotropic medium of type GN-III. Geomach. Eng. 2019, 19, 295–305. [Google Scholar] [CrossRef]
- Lata, P.; Kaur, H. Deformation in transversely isotropic thermoelastic medium using new modified couple stress theory in frequency domain. Geomach. Eng. 2019, 19, 369–381. [Google Scholar] [CrossRef]
- Anya, A.I.; Khan, A. Reflection and propagation of plane waves at free surfaces of a rotating micropolar fibre-reinforced medium with voids. Geomach. Eng. 2019, 18, 605–614. [Google Scholar] [CrossRef]
- Othman, M.I.A.; Zidan, M.E.M.; Mohamed, I.E.A. Dual-phase-lag model on thermo-microstretch elastic solid under the effect of initial stress and temperature-dependent. Steel Compos. Struct. 2021, 38, 355–363. [Google Scholar] [CrossRef]
- Lata, P.; Singh, S. Stoneley wave propagation in nonlocal isotropic magneto-thermoelastic solid with multi-dual-phase lag heat transfer. Steel Compos. Struct. 2021, 38, 141–150. [Google Scholar] [CrossRef]
- Ezzat, M.A. Transient memory response of a thermoelectric half-space with temperature-dependent thermal conductivity and exponentially graded modulii. Steel Compos. Struct. 2021, 38, 447–462. [Google Scholar] [CrossRef]
- Alharbi, A.M.; Said, S.M.; Othman, M.I.A. The effect of multi-phase-lag and coriolis acceleration on a fiber-reinforced isotropic thermoelastic medium. Steel Compos. Struct. 2021, 39, 125–134. [Google Scholar] [CrossRef]
- Lata, P.; Kaur, I.; Singh, K. Transversely isotropic thin circular plate with multi-dual-phase lag heat transfer. Steel Compos. Struct. 2020, 35, 343–351. [Google Scholar] [CrossRef]
- Kaur, H.; Lata, P. Effect of thermal conductivity on isotropic modified couple stress thermoelastic medium with two temperatures. Steel Compos. Struct. 2020, 34, 309–319. [Google Scholar] [CrossRef]
- Hobiny, A.D.; Abbas, I.A. Generalized thermo-elastic interaction in a fiber-reinforced material with spherical holes. Struct. Eng. Mech. 2021, 78, 297–303. [Google Scholar] [CrossRef]
- Lata, P.; Kaur, I. Thermomechanical interactions in transversely isotropic thick circular plate with axisymmetric heat supply. Struct. Eng. Mech. 2019, 69, 607–614. [Google Scholar] [CrossRef]
- Marin, M.; Abbas, I.; Kumar, R. Relaxed Saint-Venant principle for thermoelastic micropolar diffusion. Struct. Eng. Mech. 2014, 51, 651–662. [Google Scholar] [CrossRef]
- Abbas, I.; Hobiny, A.D. Analytical-numerical solutions of photo-thermal interactions in semiconductor materials. Inf. Sci. Lett. 2021, 10, 189–196. [Google Scholar] [CrossRef]
- Abbas, I.A. A GN model for thermoelastic interaction in an unbounded fiber-reinforced anisotropic medium with a circular hole. Appl. Math. Lett. 2013, 26, 232–239. [Google Scholar] [CrossRef]
- Abbas, I.A. Eigenvalue approach on fractional order theory of thermoelastic diffusion problem for an infinite elastic medium with a spherical cavity. Appl. Math. Model. 2015, 39, 6196–6206. [Google Scholar] [CrossRef]
- Abbas, I.A.; Abdalla, A.E.N.N.; Alzahrani, F.S.; Spagnuolo, M. Wave propagation in a generalized thermoelastic plate using eigenvalue approach. J. Therm. Stress. 2016, 39, 1367–1377. [Google Scholar] [CrossRef]
- Abbas, I.A. Analytical solution for a free vibration of a thermoelastic hollow sphere. Mech. Based Des. Struct. Mach. 2015, 43, 265–276. [Google Scholar] [CrossRef]
- Abbas, I.A. A two-dimensional problem for a fibre-reinforced anisotropic thermoelastic half-space with energy dissipation. Sadhana 2011, 36, 411–423. [Google Scholar] [CrossRef]
- Abbas, I.A. Generalized magneto-thermoelasticity in a nonhomogeneous isotropic hollow cylinder using the finite element method. Arch. Appl. Mech. 2009, 79, 41–50. [Google Scholar] [CrossRef]
- Othman, M.I.A.; Marin, M. Effect of thermal loading due to laser pulse on thermoelastic porous medium under G-N theory. Results Phys. 2017, 7, 3863–3872. [Google Scholar] [CrossRef]
- Abouelregal, A.E.; Marin, M. The Size-Dependent Thermoelastic Vibrations of Nanobeams Subjected to Harmonic Excitation and Rectified Sine Wave Heating. Mathematics 2020, 8, 1128. [Google Scholar] [CrossRef]
- Abouelregal, A.E.; Marin, M. The response of nanobeams with temperature-dependent properties using state-space method via modified couple stress theory. Symmetry 2020, 12, 1276. [Google Scholar] [CrossRef]
- Zhang, L.; Bhatti, M.M.; Michaelides, E.E.; Marin, M.; Ellahi, R. Hybrid nanofluid flow towards an elastic surface with tantalum and nickel nanoparticles, under the influence of an induced magnetic field. Eur. Phys. J. Spec. Top. 2022, 231, 521–533. [Google Scholar] [CrossRef]
- Yang, M.; Li, C.; Zhang, Y.; Jia, D.; Zhang, X.; Hou, Y.; Li, R.; Wang, J. Maximum undeformed equivalent chip thickness for ductile-brittle transition of zirconia ceramics under different lubrication conditions. Int. J. Mach. Tools Manuf. 2017, 122, 55–65. [Google Scholar] [CrossRef]
- Ye, R.; Liu, P.; Shi, K.; Yan, B. State damping control: A novel simple method of rotor UAV with high performance. IEEE Access 2020, 8, 214346–214357. [Google Scholar] [CrossRef]
- Davydov, S.A.; Zemskov, A.V.; Akhmetova, E.R. Thermoelastic Diffusion Multicomponent Half-Space under the Effect of Surface and Bulk Unsteady Perturbations. Math. Comput. Appl. 2019, 24, 26. [Google Scholar] [CrossRef]
- Davydov, S.A.; Zemskov, A.V. Thermoelastic diffusion phase-lag model for a layer with internal heat and mass sources. Int. J. Heat Mass Transf. 2022, 183, 122213. [Google Scholar] [CrossRef]
- Eringen, A.C. Plane waves in nonlocal micropolar elasticity. Int. J. Eng. Sci. 1984, 22, 1113–1121. [Google Scholar] [CrossRef]
- Zenkour, A.M.; Abouelregal, A.E. Effect of temperature dependency on constrained orthotropic unbounded body with a cylindrical cavity due to pulse heat flux. J. Therm. Sci. Technol. 2015, 10, JTST0019. [Google Scholar] [CrossRef]
- Das, N.C.; Lahiri, A.; Giri, R.R. Eigenvalue approach to generalized thermoelasticity. Indian J. Pure Appl. Math. 1997, 28, 1573–1594. [Google Scholar]
- Alzahrani, F.S.; Abbas, I.A. Fractional order gl model on thermoelastic interaction in porous media due to pulse heat flux. Geomach. Eng. 2020, 23, 217–225. [Google Scholar] [CrossRef]
- Hobiny, A.D.; Abbas, I.A. Fractional order thermoelastic wave assessment in a two-dimension medium with voids. Geomach. Eng. 2020, 21, 85–93. [Google Scholar] [CrossRef]
- Stehfest, H. Algorithm 368: Numerical inversion of Laplace transforms [D5]. Commun. ACM 1970, 13, 47–49. [Google Scholar] [CrossRef]
- Lee, S.; Chien, M.; Culham, W. Vertical single-well pulse testing of a three-layer stratified reservoir. In Proceedings of the SPE Annual Technical Conference and Exhibition, Houston, TX, USA, 16–19 September 1984. [Google Scholar]










Publisher’s Note: MDPI stays neutral with regard to jurisdictional claims in published maps and institutional affiliations. |
© 2022 by the author. Licensee MDPI, Basel, Switzerland. This article is an open access article distributed under the terms and conditions of the Creative Commons Attribution (CC BY) license (https://creativecommons.org/licenses/by/4.0/).
Share and Cite
Saeed, T. Generalized Thermoelastic Interactions in an Infinite Viscothermoelastic Medium under the Nonlocal Thermoelastic Model. Mathematics 2022, 10, 4425. https://doi.org/10.3390/math10234425
Saeed T. Generalized Thermoelastic Interactions in an Infinite Viscothermoelastic Medium under the Nonlocal Thermoelastic Model. Mathematics. 2022; 10(23):4425. https://doi.org/10.3390/math10234425
Chicago/Turabian StyleSaeed, Tareq. 2022. "Generalized Thermoelastic Interactions in an Infinite Viscothermoelastic Medium under the Nonlocal Thermoelastic Model" Mathematics 10, no. 23: 4425. https://doi.org/10.3390/math10234425
APA StyleSaeed, T. (2022). Generalized Thermoelastic Interactions in an Infinite Viscothermoelastic Medium under the Nonlocal Thermoelastic Model. Mathematics, 10(23), 4425. https://doi.org/10.3390/math10234425

