Abstract
Investor interest in single-trigger catastrophe bonds (STCB) has the potential to decline in the future. It is triggered by the increasing trend of global catastrophe loss and intensity every year, which increases the probability that a claim of STCB will occur. To increase investor interest again, the issuance of multiple-trigger catastrophe bonds (MTCB) can be one solution. However, to issue MTCB, its pricing is more complex because it involves more factors than STCB. Therefore, this study aims to design a simple MTCB pricing model. The claim trigger indices used are actual loss and fatality. Then, a nonhomogeneous compound Poisson process is used to model actual losses and fatalities aggregate to consider catastrophe intensity. In addition, this study proposes numerical methods, namely the continuous distribution approximation method and the Nuel recursive method, to facilitate the application of the model. Finally, an analysis of the effect of catastrophe intensity and other factors on MTCB prices is also presented. This study is expected to help special-purpose vehicles as MTCB issuers in MTCB pricing.
Keywords:
multiple-trigger catastrophe bonds; numerical methods; continuous distribution approximation method; Nuel recursive method; nonhomogeneous compound Poisson process MSC:
91B70; 91B84; 91G15; 91G30; 91G60
1. Introduction
Catastrophe intensity in all countries worldwide has tended to increase in recent decades [1,2]. This trend of increasing catastrophe intensity is predicted to continue in the future [3]. To deal with it, the government of a country needs to improve its preparedness [4], one of which is the preparedness of catastrophe management funds. However, many countries have limited catastrophe management funds because they only rely on the budget and social aid [5]. Therefore, new fund sources to improve preparedness catastrophe management funds are needed.
To obtain new fund sources for preparedness catastrophe management, sponsors (governments, insurers, or reinsurers) can transfer their catastrophe risk to the capital market. A special mechanism is used here. It involves the role of investors to jointly bear the catastrophe risk of sponsors [6,7,8]. The involvement of investors is assessed by associating catastrophe risk with financial securities in the capital market. The associated catastrophe risk is generally in the form of a single index, namely the loss index or parameter index [9]. The loss index represents the actual catastrophe loss experienced by the insured or by the property claim service (PCS), while the parameter index represents the magnitude of the earthquake and the number of fatalities [10,11]. Among the financial securities in the capital market, bonds are essential securities and successfully relate the catastrophe risk of sponsors to investors [12,13,14,15,16,17,18,19]. For sponsors, the funds obtained from bonds are significant and quickly raised, and for investors, the yields generated from these bonds are high. These bonds are then referred to as catastrophe bonds.
Pricing is an essential step in issuing a catastrophe bond. Several studies have focused on modeling single-trigger catastrophe bond prices (STCB) with a loss trigger index. Chernobai et al. [20] designed an STCB price model in which the aggregate of the catastrophe losses is modeled by a nonhomogeneous compound Poisson process (NCPP) whose cumulative distribution function is left-truncated. Then, in their study, Ma and Ma [21] proposed a numerical method, a mixed approximation method, to design the STCB price model. Schmidt [22] carried out an STCB price modeling in which the aggregate of catastrophe losses is designed using a shot-noise process with time-nonhomogeneous drivers. Ma et al. [23] modeled a zero-coupon STCB price whose catastrophe intensity and aggregate catastrophe losses are designed using the Black Derman Toy model and NCPP. Then, Tang and Yuan [24] integrated a product pricing measure and a distorted probability measure to model the STCB price. Deng et al. [25] use the peaks over threshold (POT) method to design a drought STCB price model. Several studies also use parameter indices to model STCB prices. Zimbidis et al. [26] modeled an earthquake STCB pricing using the earthquake magnitude index. The model’s maximum earthquake magnitude during the STCB period is designed with an extreme value theory (EVT) approach. Romaniuk [27] proposed using the Monte Carlo method and the iterative stochastic equation method to determine the earthquake STCB price with an earthquake magnitude index. Kurniawan et al. [28] applied a jump-diffusion process to model the flood STCB price by considering the number of flooded areas index.
Given that loss and the intensity of global catastrophes tend to increase every year, investor interest in purchasing STCB can decline in the future because the probability that a claim of STCB will occur is increasing. Therefore, efforts to attract investors to purchase catastrophe bonds are necessary. One of the efforts is to issue a multiple-trigger catastrophe bond (MTCB) [29,30]. MTCB can be more attractive to investors because it will lose its principal if two events of trigger claims occur. Another advantage is that MTCB can reduce the moral hazard of the sponsor [5]. In addition, MTCB can describe the actual catastrophe severity better than STCB. However, there are obstacles to issuing MTCB, where pricing is more complex than STCB [31]. It is because MTCB involves more factors in determining its price. Therefore, a study on MTCB price modeling needs to be conducted.
Based on the literature review that has been completed, two studies focus on MTCB price modeling. These studies were carried out by Reshetar [31] and Chao and Zou [5]. The MTCB claim trigger indices used are the actual loss and fatality indices. To describe the risk distribution, Reshetar [31] modeled it parametrically, while Chao and Zou [5] modeled it using a homogeneous compound Poisson process (HCPP). Then, the joint risk distribution of both models is designed with a copula approach. Finally, the use of both models is carried out using the Monte Carlo simulation.
The gap from the MTCB pricing model designed by Reshetar [31] is that the catastrophe intensity factor is not considered, even though this factor may affect MTCB prices. Then, there is no closed-form solution to the model, making it challenging to determine the model solution. Furthermore, Chao and Zou’s [5] model has included the catastrophe intensity factor. It overcomes the gap from Reshetar’s [31] model. However, another gap emerges: the catastrophe intensity is assumed to be constant. It is not appropriate because the catastrophe intensity tends to increase every year. In addition, the risk distribution of fatalities in this model is designed with a continuous distribution, even though this risk is a discrete random variable, so it is not appropriate. Finally, there is no closed-form solution in this model, so it is also challenging to determine the solution of its model.
Based on the gap related to the MTCB price modeling described, the MTCB pricing modeling that involves the increasing catastrophe intensity factor currently is very open to being performed. In addition, a tool to determine the model solution so that it can be determined easily also needs to be developed. Therefore, this study aims to design an MTCB pricing model that involves the increasing catastrophe intensity factor and develop a method to make its solution easier to determine. The MTCB price modeled in this study is zero-coupon MTCB and coupon-paying MTCB with an annual term. The actual loss and fatality indices are used as claim trigger indices on the MTCB. The NCPP is used to model the aggregate of actual losses and fatalities to account for the increasing catastrophe intensity. Then, this study proposes using the new numerical methods to find solutions to the model, namely the continuous distribution approximation method and the Nuel recursive method. The continuous distribution approximation method is used to calculate the cumulative distribution function (CDF) value of actual loss aggregate, while the Nuel recursive method is used to calculate the CDF value of fatality aggregate. Then, after we obtained the model, a simulation of its use is performed on storm catastrophe data in the United States. This simulation analyzes how the catastrophe intensity and other factors influence MTCB prices. This model has the advantage of involving the increasing catastrophe intensity, and the search for the model solution has been facilitated by the previously mentioned numerical method. Therefore, this model is expected to help special-purpose vehicles as MTCB issuers in pricing MTCB. The simulations provide a reference for investors in choosing the MTCB they want to purchase based on the influence of catastrophe intensity and other factors on its price.
2. A Brief Explanation of Multiple-Trigger Catastrophe Bonds
Catastrophe bonds are bonds that are associated with catastrophe risk [32]. The issuer will obtain funds from the catastrophe bond if a predetermined claim trigger event occurs within the bond’s life span [33,34]. In addition to a single-trigger index, catastrophe bonds can also use an independent multiple-trigger index [30]. A catastrophe bond that uses a multiple-trigger index is called a multiple-trigger catastrophe bond (MTCB). In the future, MTCB is potentially more attractive to investors than single-trigger catastrophe bonds (STCB). The increasing trend of global catastrophe loss and intensity every year causes the probability that a claim of STCB will occur higher. It is detrimental to investors because the possibility of losing the principal is also higher. On MTCB, the investor’s principal is lost when two claim triggering events occur. It certainly benefits investors because moral hazard can be reduced so that the two events that trigger claims on MTCB can occur more slowly or even not occur at all. In addition, MTCB can also better describe the catastrophe severity that occurs than STCB. It is clear because the catastrophe severity in MTCB is measured by multiple-trigger indices, whereas in STCB, it is only measured by a single-trigger index.
A simple schematic of MTCB is described in this paragraph. The sponsor (government, insurer, or reinsurer) establishes a special-purpose vehicle (SPV) that acts as the issuer of the MTCB. Generally, SPV issues MTCB for one to five years [35,36]. Apart from acting as an MTCB issuer, SPV also acts as a claim fund provider for sponsors. After the SPV is established, the sponsor signs a protection contract and pays a premium to the SPV. The SPV then invests the proceeds from the sale of MTCB and sponsor premiums into short-term safe securities such as treasury bonds. The return from the investment is deposited into a trust account. These returns are then exchanged for floating returns based on the London Interbank Offered Rate (LIBOR) to immunize sponsors and investors from interest rate risk and default risk [10,35]. The funds raised usually exceed the required amount and have been arranged so that the payment of a claim for sponsors and coupons and MTCB principal for investors is guaranteed. If one of the trigger events occurs within the MTCB’s life span, the investor will not receive the coupon back from that period until the maturity date. Then, if two trigger events occur within the MTCB’s life span, the investor will receive the principal parts or not receive them at all [37]. Then, if the two trigger events do not occur within the MTCB’s life span, the investor will receive the coupon and principal in total [5,31].
3. Valuation Framework
3.1. MCTB Price Modeling Assumptions
The following are the MTCB price modeling assumptions used in this study:
- (a)
- The claim trigger indices used are the actual loss and fatality indices.
- (b)
- The MTCB term is years.
- (c)
- Coupons are paid annually at the end of each year.
- (d)
- is the process of the number of catastrophes until year .
- (e)
- is a sequence of independent and identically distributed random variables representing the actual loss of the -th catastrophe.
- (f)
- is a sequence of independent and identically geometrically distributed random variables representing the number of fatalities of the -th catastrophe.
- (g)
- and are assumed to be independent.
- (h)
- and are assumed to be independent.
- (i)
- is the process of the actual loss aggregate until year .
- (j)
- is the process of the fatality aggregate until year .
- (k)
- and are assumed to be independent.
- (l)
- is the annual force of interest in year .
3.2. Annual Force of Interest
This study uses the annual force of interest to determine the present value of the annual coupon and principal of MTCB. The present value of one unit in year is expressed as follows [38,39,40,41]:
where represents the annual force of interest in year . In this study, the annual force of interest in year is modeled using the autoregressive integrated moving average (ARIMA) model. The ARIMA model of is stated as follows [42]:
where , , and respectively represent autoregressive, differentiation, and moving-average order, represents the differentiation operator, where given , and represents a random error. In Equation (2), the ARIMA model can also write as ARIMA (, , ). The assumptions in modeling the annual force of interest with ARIMA are as follows:
- (a)
- is independent and identically normally distributed with zero mean and constant variance ().
- (b)
- is stationary, that is, and .
3.3. Aggregate of Actual Losses and Fatalities
The process of the number of catastrophes until time , , in this study is defined as a nonhomogeneous Poisson process with catastrophe intensity . Meanwhile, the aggregate of actual losses and fatalities are modeled by the nonhomogeneous compound Poisson process (NCPP), and both are assumed to be independent. The NCPP for the aggregate of actual losses is stated as follows:
where is a sequence of independent and identically distributed random variables of actual catastrophe losses with the distribution function cumulative (CDF) and probability density functions (PDF), which are expressed as and , respectively. Note that and are assumed to be independent. The CDF of is expressed as follows:
where represents the convolution function of the -th fold of , which is expressed as follows:
where and [43]. Then, the NCPP for the aggregate of fatalities is stated as follows:
where is a sequence of independent and identically geometric distributed random variables of catastrophe fatalities with the CDF and probability mass functions (PMF), which are expressed as and , respectively. Note that and are assumed to be independent. The CDF of is expressed as follows:
where represents the convolution function of the -th fold of , which is expressed as follows:
where and [43].
The first time the threshold value of the actual loss aggregate is exceeded is expressed as follows:
where is the threshold value of the actual loss aggregate . Note that is equivalent to , and is equivalent to [44]. The first time the threshold value of the fatality aggregate is exceeded is expressed as follows:
where is the threshold value of the fatality aggregate . Note that is equivalent to , and is equivalent to .
The first time when one of the threshold values of the aggregate of actual losses and fatalities is exceeded is expressed as follows:
The first time when both threshold values of the aggregate of actual losses and fatalities are exceeded is expressed as follows:
3.4. MTCB Price Modeling
The MTCB price modeled in this study is zero-coupon MTCB and coupon paying MTCB. First, the zero-coupon MTCB price is modeled in advance. If both threshold values of the aggregate of actual losses and fatalities occur within the MTCB’s life span, then the principal paid to investors is the same as the proportion, whereas otherwise, the principal paid to investors is intact. Mathematically, the structure of principal payment () to investors on the maturity date is expressed as follows:
where represents the principal, is the proportion of principal payments, represents the year of maturity, and represents the first time both threshold values of the aggregate of actual losses and fatalities occurred. The zero-coupon MTCB pricing model is designed as the present value of the expectations. Mathematically, the zero-coupon MTCB price is expressed as follows:
Proof.
See Appendix A. □
Next is coupon-paying MTCB price modeling. If one of the threshold values of the aggregate of actual losses and fatalities occurs in a year within the MTCB’s life span, then the coupon for that year until the maturity date will not be paid. If both threshold values of the aggregate of actual losses and fatalities occur within the MTCB’s life span, the principal will be paid in proportion. If both threshold values of the aggregate of actual losses and fatalities do not occur within the MTCB’s life span, the coupon and principal will be paid in full. The structure of coupon payments in year () is mathematically expressed as follows:
where represents the coupon, and represents the first time one of the threshold values of the aggregate of actual losses and fatalities occurred. The principal structure on the maturity date () is the same as shown in Equation (13). The coupon-paying MTCB pricing model is designed as the sum of the present value of the expectations in each year in MTCB’s life span and the present value of the expectation on the maturity date. Mathematically, the coupon-paying MTCB price () is expressed as follows:
Proof.
See Appendix B. □
3.5. The Numerical Methods in the MTCB Pricing Model
Calculation of the price of MTCB using the model in Equations (14) and (16) is difficult to do analytically. In general, the calculation of the CDF value of the aggregate of actual losses and fatalities is very complex, except for some cases where there are already closed solutions. This complexity is found in the calculation of the convolution function values and for high -folds. Therefore, numerical methods can be a tool to solve this problem. In this study, the CDF value of and is calculated using the continuous distribution approximation method and the Nuel recursive method, respectively.
3.5.1. The Continuous Distribution Approximation Method
The continuous distribution approximation method is the approach used to calculate the CDF value of the continuous NCPP [43]. Two of the continuous distributions used to approximate the distribution of the NCPP are the inverse-Gaussian (IG) distribution and the gamma-inverse-Gaussian (GIG) distribution. These two approaches were proposed by Chaubey et al. [45], and Reijnen et al. [46] later developed a rule of thumb for both.
Suppose that the skewness of on the aggregate of actual losses is expressed as . Then, suppose that the mean, variance, skewness, and kurtosis of are expressed as , , , and , respectively. The PDF of can be approximated by the PDF of the IG distribution if and The PDF of approximated by the PDF of the IG distribution () is expressed as follows:
where , , and . Then, the PDF of can be approximated by the PDF of the GIG distribution if and . The PDF of approximated by the PDF of the GIG distribution () is expressed as follows:
where and represents the PDF of the Gamma distribution expressed as follows:
where , , , and is Gamma function.
3.5.2. The Nuel Recursive Method
The Nuel recursive method proposed by Nuel [47] is a numerical method used to calculate the CDF value of NCPP whose individual random variables are geometrically distributed with parameter . For , and for , , where . For the algorithm for calculating the value of is as follows:
- (a)
- Initialize that
- (b)
- Determine the value of with the following equation:
- (c)
- Determine the value of with the following equation:
- (d)
- Determine the value of and . If , thenIf , then
- (e)
- Determine the value of . If , then the process is complete, and
If , then is restated as , and the process returns to step (b).
4. Simulation
4.1. Data Description
The data used for the simulation of the MTCB price model are as follows:
- (a)
- Adjusted non-zero actual loss of storm catastrophe data in the United States from 2012 to 2021.
- (b)
- The number of non-zero fatality of storm catastrophe data in the United States from 2012 to 2021.
- (c)
- The annual number of storm catastrophe data in the United States from 1986 to 2021.
- (d)
- The annual force of interest data for USD LIBOR from 1986 to 2021.
Data (a), (b), and (c) are obtained from the International Disaster Database website (accessed on 14 February 2022 at https://www.emdat.be), while data (d) are obtained from LIBOR Current and Historical Data (accessed on 14 February 2022 at http://iborate.com/usd-libor/). The data size (a) and (b) are 134, while the data size (c) and (d) are 35.
4.2. ARIMA Parameter Estimation of the Annual Force of Interest Data and Its Forecasting
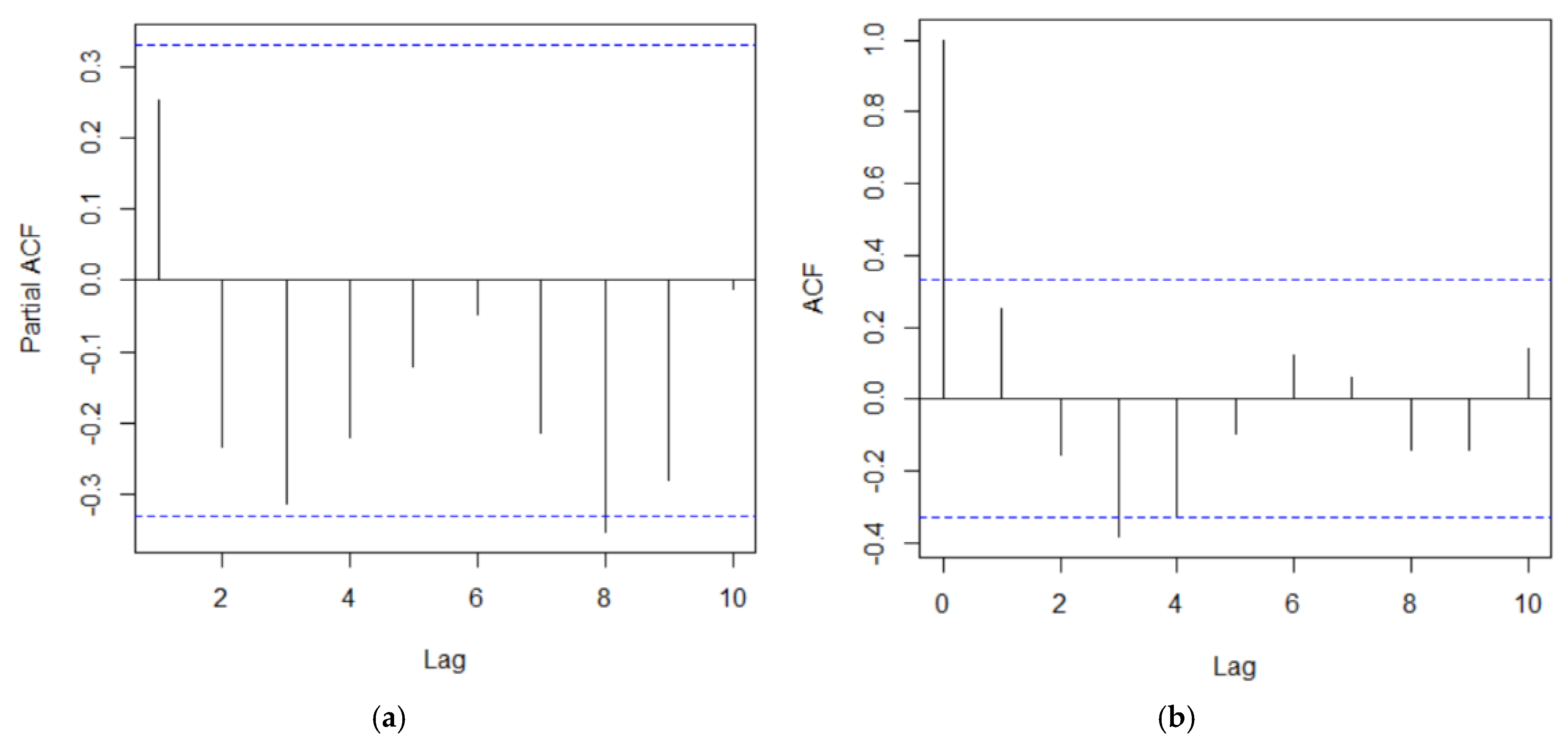
The stationarity assumption of is tested first. The test is carried out using the Augmented Dickey–Fuller (ADF) test. Briefly, with a significance level of 0.05, the test statistic value of , −3.4135, is greater than the critical value, −3.5560. Therefore, is not stationary, so is differentiated. differentiation is performed so that is obtained. Briefly, the new test statistic value of , −3.9161, is smaller than the critical value, −3.4135. Therefore, is stationary. The next step is to determine the autoregressive order and the moving-average order . The order and are determined using the partial autocorrelation function (PACF) and autocorrelation function (ACF) diagrams. Lags cut off from the PACF and ACF diagrams are selected as autoregressive order and moving-average order, respectively. In this study, the maximum lag considered is ten. The PACF and ACF diagrams from lag one to lag ten are presented in Figure 1.
Figure 1.
PACF (a) and ACF (b) Diagrams.
Figure 1 shows that PACF and ACF are cut off at lags 8 and 3, respectively. It indicates that the and orders are 8 and 3, respectively. Therefore, the ARIMA (8, 1, 3) model is chosen to candidate the best ARIMA models. Next, the parameters of the model are estimated. This parameter estimation is completed by using the maximum-likelihood (ML) method. The parameter estimation results are presented in Table 1.
Table 1.
The Results of the ARIMA (8, 1, 3) Model Parameter Estimation.
After the estimated parameters of the ARIMA model (8, 1, 3) presented in Table 1 were obtained, a test of the assumption that is carried out. The test that is independent is carried out by the Ljung–Box (LB) test, while the test that is carried out by the Kolmogorov–Smirnov (KS) test. Briefly, with a significance level of 0.01, the LB and KS test statistic values are 1.0626 and 0.1685, respectively. Both test statistics are smaller than critical values, namely 8.1132 and 0.2653, respectively. Therefore, . After that, checking the feasibility of the ARIMA (8, 1, 3) model based on the error is carried out. The error checked is the mean absolute percentage error (MAPE). The MAPE of the ARIMA model (8, 1, 3) is 17.6181%. This MAPE value is in the 10% to 20% interval, indicating that the ARIMA (8, 1, 3) model is good for practical forecasting of annual forces of interest in the next few years [48]. The results of force of interest forecasts for the next five years, obtained practically using the ARIMA (8, 1, 3) model, are presented in Table 2.
Table 2.
Annual Force of Interest Forecast for the Next Five Years.
4.3. Fitting Data Distributions of Catastrophe Loss and Fatality to Theoretical Distributions
The fitting test is carried out first between the actual catastrophe loss data distribution and the theoretical distribution. The actual catastrophe loss data distribution generally has a heavy tail [21]. Therefore, the actual catastrophe loss data distribution is fitted to the heavy-tailed theoretical distribution. Some of the heavy-tailed theoretical distributions considered are presented in Table 3.
Table 3.
Some Heavy-Tailed Theoretical Distributions.
Parameter estimation of theoretical distributions is completed first. The method used is the ML method. The parameter estimation results of all theoretical distributions are presented in Table 4. After the parameter estimators of the theoretical distributions are obtained, the fitting test between the actual catastrophe loss data distribution and the theoretical distributions is carried out using the KS test. The level of significance used is 0.01. As shown in Table 5, the KS test statistic value of each theoretical distribution appears to be smaller than the critical value, 0.1407. It indicates that all theoretical distributions are suitable for approaching the actual catastrophe loss data distribution. However, the most suitable among the theoretical distributions must be selected. The most suitable theoretical distribution is the smallest KS test statistic value. The Weibull distribution appears to have the smallest KS test statistic value, 0.0800. Therefore, the Weibull distribution is chosen as the most suitable theoretical distribution to describe the actual catastrophe loss data distribution.
Table 4.
The Parameter Estimation Results.
Table 5.
KS Test Statistic Values of Each Theoretical Distribution.
Next is the fitting test between the catastrophe fatality data and the geometric distribution. Geometric distribution parameter estimation is completed first. The estimation is carried out using the ML method. The parameter estimator of the geometric distribution obtained is . The fitting test used is the KS test. In short, with a significance level of 0.01, the KS test statistic value obtained, 0.1325, is less than the critical value, 0.1407. It indicates that the geometric distribution is suitable for describing the catastrophe fatality data distribution.
4.4. Parameter Estimation for the Annual Number of Catastrophe Data and Its Forecasting
The annual number of catastrophes modeling is carried out similarly to the annual force of interest modeling with ARIMA. In short, with a significance level of 0.01 for each statistical test performed, the ARIMA model (3, 1, 9) satisfies all assumptions in the ARIMA modeling. The model also has an MAPE in the 10% to 20% interval, namely 14.7897%. Therefore, the ARIMA model (3, 1, 9), whose parameter estimates are presented in Table 6, is practically good for forecasting the annual catastrophe intensity in the next few years [48]. The catastrophe intensity forecast results in year , are presented in Table 7.
Table 6.
The Results of the ARIMA (3, 1, 9) Model Parameter Estimation.
Table 7.
Catastrophe Intensity Forecast in Year , .
Table 7 shows that the catastrophe intensity at the year , tends to increase. We must be aware of this.
4.5. Determination of the Continuous Distribution to Approximate
To determine which continuous distribution is used to approximate , the skewness of and the kurtosis of are determined first. Previously, is Weibull distributed with parameters and . With this information, the skewness of can be determined, which is 3.2973. It is constant for all . Then, to determine the kurtosis of , information on the catastrophe intensity in year , is required. Then, using the information obtained in Table 7, the kurtosis of for is presented in Table 8.
Table 8.
The Kurtosis of in Year , .
Table 8 shows that for It means that for and , so the PDF of the GIG distribution is used to approximate .
4.6. Pricing of MTCB
Suppose that
- (a)
- The principal of MTCB is USD.
- (b)
- The coupon of MTCB is USD.
- (c)
- MTCB term is years.
- (d)
- The threshold value for the aggregate of actual losses and fatalities is three times the average actual annual loss and three times the average annual fatality, namely billion USD and people, respectively.
- (e)
- The proportion of principal payments to investors when two claim triggers occur within the MTCB life span is .
- (f)
- The annual force of interest can be seen in Table 2.
- (g)
- The annual catastrophe intensity can be seen in Table 7.
Applying the continuous distribution approximation method and the Nuel recursive method in Equations (14) and (16), the price of zero-coupon MTCB and coupon-paying MTCB is 0.8759 USD and 0.9308 USD, respectively.
4.7. Analyzing the Effect of Catastrophe Intensity and Other Factors on MTCB Prices
4.7.1. Analysis of the Effect of Catastrophe Intensity on MTCB Prices
Suppose that for , . With the same assumptions as points (a) to (f) in Section 4.6, the visualization of the MTCB price for each is presented in Figure 2.
Figure 2.
The Zero-Coupon MTCB Price (a) and the Coupon-Paying MTCB Price (b) under Assumptions That for .
Figure 2 shows that the annual catastrophe intensity and MTCB prices, both the zero-coupon MTCB price and the coupon-paying MTCB price, have a negative relationship, where the higher the annual catastrophe intensity, the cheaper the MTCB price.
4.7.2. Analysis of the Effect of MTCB Term on MTCB Prices
Suppose that . With the same assumptions as points (a), (b), (d), (e), (f), and (g) in Section 4.6, visualization MTCB prices for each are presented in Figure 3.
Figure 3.
The Zero-Coupon MTCB Price (a) and the Coupon-Paying MTCB Price (b) for .
Figure 3 shows that the MTCB term and the price MTCB, both zero-coupon MTCB and coupon-paying MTCB, have a negative relationship. It means that the longer the MTCB term, the cheaper the MTCB price.
4.7.3. Analysis of the Effect of Both Threshold Values on MTCB Prices
Suppose that billion USD and people. With the same assumptions as in points (a), (b), (c), (e), (f), and (g) in Section 4.6, a visualization of MTCB prices for each and is presented in Figure 4.

Figure 4.
The Zero-Coupon MTCB Price (a) and the Coupon-Paying MTCB Price (b) for Each Billion USD and People.
Figure 4 shows that both threshold values of MTCB and its price, both zero-coupon MTCB and coupon-paying MTCB, have a positive relationship. It means that the higher both threshold values of MTCB, the higher its price. It can also be seen that the larger both threshold values of MTCB, the brighter the green and purple colors.
5. Discussion
5.1. The Increasing Catastrophe Intensity
The findings of this study are in line with Hoeppe [3], who stated that the catastrophe intensity worldwide, including in the United States, due to changes in weather and climate will tend to continue to increase in the future. From the model simulation results, the forecast for the annual catastrophe storm intensity in the United States carried out in Section 4.4 will tend to increase in the next five years (see Table 7). According to Zhang et al. [49], this is partly due to rising sea temperatures, particularly along the east coast of the United States, due to climate change. Warmer sea temperatures on the east coast of the United States can sustain hurricanes and increase the frequency of storm events.
5.2. Considerations for Investors in Purchasing MTCB
The increasing catastrophe intensity should be considered by investors when purchasing MTCB so that the probability that the coupon and principal are lost is low. The following is further information regarding the relationship between catastrophe intensity and MTCB prices that investors can consider when purchasing MTCB. Based on the analysis of the effect of catastrophe intensity on MTCB prices carried out in Section 4.7.1, the higher the catastrophe intensity, the lower the MTCB price. It is logically appropriate that if the catastrophe intensity is high, then the probability that MTCB claims occur so that investors lose their coupons and principal is also high. It causes investor demand for MTCB in the capital market to decrease so that the price will also decrease. Therefore, in purchasing MTCB, investors should pay attention to the catastrophe intensity so that it is not too high to reduce the probability of losing the coupon and principal.
In addition to considering the catastrophe intensity, investors must also consider the MTCB term when purchasing it. It is also so that the probability of losing the coupon and principal is low. The following is further information regarding the relationship between the MTCB term and its price that investors can consider when purchasing MTCB. Based on the analysis of the effect of the MTCB term on its prices carried out in Section 4.7.2, the longer the MTCB term, the lower its price. It makes sense that if the MTCB term is long, then the probability that MTCB claims occur is high. It is in line with the high probability that the investor will lose the coupon and principal, which is also high. It causes investor demand for MTCB with a long term in the capital market to decrease so that the price will also decrease. Therefore, in purchasing the MTCB, investors should pay attention to its term so that it is not too long to minimize the probability of the coupon and principal being lost.
Finally, when purchasing MTCB, investors should consider both threshold values. The probability of receiving the total coupon and principal is undoubtedly the goal. The following is further information regarding the relationship between threshold values and MTCB prices that investors can consider when purchasing MTCB. Based on the analysis of the influence of both MTCB threshold values on its price carried out in Section 4.7.3, the larger both MTCB threshold values are, the higher its price. It follows intuition, where if both MTCB threshold values are rising, then the probability that MTCB claims will occur is low. It is proportional to the loss of the investor’s coupon and principal probability, which is also low. It certainly causes investor demand for MTCB with high threshold values in the capital market to increase its price. Therefore, in choosing the MTCB to purchase, investors should pay attention to both threshold values so that they are not too small to avoid the high probability of losing coupons and principal.
6. Conclusions
This study develops a zero-coupon and coupon-paying MTCB pricing model involving the increasing catastrophe intensity factor. The involvement of these factors is essential considering that the catastrophe intensity in countries worldwide tends to increase every year. The increasing catastrophe intensity is included in the modeling aggregate of losses and fatalities via NCPP.
There is no closed-form solution to the MTCB pricing model because the CDF values of and are difficult to compute analytically in most cases. Therefore, we propose using numerical methods, the continuous distribution approximation method, and the Nuel recursive method to facilitate its calculation. With these numerical methods, the model solution can be determined simpler and more efficient.
The model simulation results show that the catastrophe intensity and other factors such as the term and both threshold values of MTCB affect the MTCB price. The catastrophe intensity and the MTCB term have a negative relationship with the MTCB price, where the greater the catastrophe intensity and the longer the MTCB term, the lower the MTCB price. The reason is that the greater the catastrophe intensity and the longer the MTCB term, the greater the probability that the claim will occur. It causes investor interest to purchase MTCB to decrease so that the price also decreases. Meanwhile, both threshold values of MTCB have a positive relationship with the price, where the larger both threshold values of MTCB, the higher the price. The reason is that the larger both threshold values of the MTCB, the smaller the probability that the claim will occur. It causes investor interest to purchase it to increase so that the price of MTCB becomes expensive.
This study can help practitioners/professionals, including sponsors, SPV, and investors. For sponsors and SPV, this study can help manage their catastrophe risk through MTCB (particularly in the pricing section), which can interest investors in the future. For investors, the results of model simulations related to the effect of catastrophe intensity, term, and threshold value on MTCB price can contribute to purchasing MTCB with the risk of claim events they want. For academics, as a further suggestion study, the factor of the correlation rate between aggregate losses and fatalities may affect the MTCB price. The involvement of this factor in MTCB price modeling can be used as an opportunity to develop the MTCB model in this study in the future.
Author Contributions
Conceptualization, R.A.I. and S.; methodology, R.A.I. and S.; software, R.A.I. and H.N.; validation, R.A.I., S. and H.N.; formal analysis, S.; investigation, H.N.; resources, S.; data curation, R.A.I.; writing—original draft preparation, R.A.I.; writing—review and editing, S. and H.N.; visualization, R.A.I. and H.N.; supervision, S.; project administration, R.A.I. and S.; funding acquisition, S. All authors have read and agreed to the published version of the manuscript.
Funding
The APC was funded by Universitas Padjadjaran.
Institutional Review Board Statement
Not applicable.
Informed Consent Statement
Not applicable.
Data Availability Statement
Data are contained within the article.
Acknowledgments
The authors would like to thank the Directorate of Research and Community Service (DRPM) Universitas Padjadjaran.
Conflicts of Interest
The authors declare no conflict of interest.
Appendix A
| , | |
| , | |
Appendix B
References
- Siyamah, I.; Putri, E.R.M.; Imron, C. CAT bond valuation using Monte Carlo and quasi Monte Carlo method. J. Phys. Conf. Ser. 2021, 1821, 012053. [Google Scholar] [CrossRef]
- Iglesias, V.; Braswell, A.E.; Rossi, M.W.; Joseph, M.B.; McShane, C.; Cattau, M.; Knoontz, M.J.; McGlinchy, J.; Nagy, R.C.; Balch, J.; et al. Risky development: Increasing exposure to natural hazards in the United States. Earth’s Future 2021, 9, 2020EF001795. [Google Scholar] [CrossRef] [PubMed]
- Hoeppe, P. Trends in weather related disasters—Consequences for insurers and society. Weather Clim. Extrem. 2016, 11, 70–79. [Google Scholar] [CrossRef]
- Caglayan, N.; Satoglu, S.I. Multi-objective two-stage stochastic programming model for a proposed casualty transportation system in large-scale disasters: A case study. Mathematics 2021, 9, 316. [Google Scholar] [CrossRef]
- Chao, W.; Zou, H. Multiple-event catastrophe bond pricing based on CIR-Copula-POT model. Discret. Dyn. Nat. Soc. 2018, 2018, 5068480. [Google Scholar] [CrossRef]
- Shao, J.; Pantelous, A.; Papaioannou, A.D. Catastrophe risk bonds with applications to earthquakes. Eur. Actuar. J. 2015, 5, 113–138. [Google Scholar] [CrossRef]
- Harrington, S.E.; Niehaus, G. Capital, corporate income taxes, and catastrophe insurance. J. Financ. Intermediation 2003, 12, 365–389. [Google Scholar] [CrossRef]
- Froot, K.A. The market for catastrophe risk: A clinical examination. J. Financ. Econ. 2001, 60, 529–571. [Google Scholar] [CrossRef]
- Lee, J.P.; Yu, M.T. Valuation of catastrophe reinsurance with catastrophe bonds. Insur. Math. Econ. 2007, 41, 264–278. [Google Scholar] [CrossRef]
- Cummins, J.D.; Weiss, M.A. Convergence of insurance and financial markets: Hybrid and securitized risk-transfer solutions. J. Risk Insur. 2009, 76, 493–545. [Google Scholar] [CrossRef]
- Burnecki, K.; Kukla, G.; Taylor, D. Pricing catastrophe bonds. In Statistical Tools for Finance and Insurance, 2nd ed.; Cizek, P., Härdle, W., Weron, R., Eds.; Springer: Berlin, Germany, 2005; pp. 97–114. [Google Scholar] [CrossRef]
- Liu, J.; Xiao, J.; Yan, L.; Wen, F. Valuing catastrophe bonds involving credit risks. Math. Probl. Eng. 2014, 2014, 563086. [Google Scholar] [CrossRef]
- Burnecki, K.; Giuricich, M.N. Stable weak approximation at work in index-linked catastrophe bond pricing. Risks 2017, 5, 64. [Google Scholar] [CrossRef]
- Nowak, P.; Romaniuk, M. Valuing catastrophe bonds involving correlation and CIR interest rate model. Comput. Appl. Math. 2018, 37, 365–394. [Google Scholar] [CrossRef]
- Vedenov, D.V.; Epperson, J.E.; Barnett, B.J. Designing catastrophe bonds to securitize systemic risks in agriculture: The case of Georgia cotton. J. Agric. Resour. Econ. 2006, 31, 318–338. [Google Scholar]
- Vaugirard, V.E. Pricing catastrophe bonds by an arbitrage approach. Q. Rev. Econ. Financ. 2003, 43, 119–132. [Google Scholar] [CrossRef]
- Jarrow, R.A. A simple robust model for CAT bond valuation. Financ. Res. Lett. 2010, 7, 72–79. [Google Scholar] [CrossRef]
- Karagiannis, N.; Assa, H.; Pantelous, A.A.; Turvey, C.G. Modeling and pricing of catastrophe risk bonds with a temperature-based agricultural application. Quant. Financ. 2016, 16, 1949–1959. [Google Scholar] [CrossRef]
- Ermolieva, T.; Romaniuk, M.; Fischer, G.; Makowski, M. Integrated model-based decision support for management of weather-related agricultural losses. Environ. Inform. Syst. Res. 2007, 1, 389–398. [Google Scholar]
- Chernobai, A.; Burnecki, K.; Rachev, S.; Trück, S.; Weron, R. Modeling catastrophe claims with left-truncated severity distributions. Comput. Stat. 2006, 21, 537–555. [Google Scholar] [CrossRef]
- Ma, Z.G.; Ma, C.Q. Pricing catastrophe risk bonds: A mixed approximation method. Insur. Math. Econ. 2013, 52, 243–254. [Google Scholar] [CrossRef]
- Schmidt, T. Catastrophe insurance modeled by shot-noise processes. Risks 2014, 2, 3–24. [Google Scholar] [CrossRef]
- Ma, Z.; Ma, C.; Xiao, S. Pricing zero-coupon catastrophe bonds using EVT with doubly stochastic Poisson arrivals. Discret. Dyn. Nat. Soc. 2017, 2017, 3279647. [Google Scholar] [CrossRef]
- Tang, Q.; Yuan, Z. CAT bond pricing under a product probability measure with POT risk characterization. ASTIN Bull. 2019, 49, 457–490. [Google Scholar] [CrossRef]
- Deng, G.; Liu, S.; Li, L.; Deng, C. Research on the pricing of global drought catastrophe bonds. Math. Probl. Eng. 2020, 2020, 3898191. [Google Scholar] [CrossRef]
- Zimbidis, A.A.; Frangos, N.E.; Pantelous, A.A. Modeling earthquake risk via extreme value theory and pricing the respective catastrophe bonds. ASTIN Bull. 2007, 37, 163–183. [Google Scholar] [CrossRef][Green Version]
- Romaniuk, M. Pricing the risk-transfer financial instruments via Monte Carlo methods. Syst. Anal. Model. Simul. 2003, 43, 1043–1064. [Google Scholar] [CrossRef][Green Version]
- Kurniawan, H.; Putri, E.R.M.; Imron, C.; Prastyo, D.D. Monte Carlo method to valuate CAT bonds of flood in Surabaya under jump diffusion process. J. Phys. Conf. Ser. 2021, 1821, 012026. [Google Scholar] [CrossRef]
- Chao, W. Valuing multirisk catastrophe reinsurance based on the Cox-Ingersoll-Ross (CIR) model. Discret. Dyn. Nat. Soc. 2021, 2021, 8818486. [Google Scholar] [CrossRef]
- Woo, G. A catastrophe bond niche: Multiple event risk. In Proceedings of the NBER Insurance Workshop, Cambridge, UK, 6–7 February 2004. [Google Scholar]
- Reshetar, G. Pricing of Multiple-Event Coupon Paying CAT Bond; Working Paper; Swiss Banking Institute: Zürich, Switzerland, 2008. [Google Scholar]
- Cox, S.H.; Pedersen, H.W. Catastrophe Risk Bonds. N. Am. Actuar. J. 2000, 4, 56–82. [Google Scholar] [CrossRef]
- Michel-Kerjan, E.; Zelenko, I.; Cardenas, V.; Turgel, D. Catastrophe Financing for Governments; Working Paper; OECD Publishing: Paris, France, 2011. [Google Scholar] [CrossRef]
- Burnecki, K.; Kukla, G. Pricing of zero-coupon and coupon CAT bonds. Appl. Math. 2003, 30, 315–324. [Google Scholar] [CrossRef]
- Cummins, J.D. CAT bonds and other risk-linked securities: State of the market and recent developments. Risk Manag. Insur. Rev. 2008, 11, 23–47. [Google Scholar] [CrossRef]
- Hofer, L.; Gardoni, P.; Zanini, M.A. Risk-based catastrophe bond pricing considering parameter uncertainties. Sustain. Resilient Infrastruct. 2021, 6, 315–329. [Google Scholar] [CrossRef]
- Loubergé, H.; Kellezi, E.; Gilli, M. Using catastrophe-linked securities to diversity insurance risk: A financial analysis of CAT bonds. J. Insur. Issues 1999, 22, 125–146. [Google Scholar]
- Kellison, S.G. The Theory of Interest, 2nd ed.; Richard, D., Ed.; Irwin: Huntersville, NC, USA, 1991; pp. 22–29. [Google Scholar]
- Panjer, H.H.; Bellhouse, D.R. Stochastic modelling of interest rates with applications to life contingencies. J. Risk Insur. 1980, 47, 91–110. [Google Scholar] [CrossRef]
- Bellhouse, D.R.; Panjer, H.H. Stochastic modelling of interest rates with applications to life contingencies. J. Risk Insur. 1981, 48, 628–637. [Google Scholar] [CrossRef]
- Tan, X.; Li, S.; Wang, S. Pricing European-style options in general Lévy process with stochastics interest rate. Mathematics 2020, 8, 731. [Google Scholar] [CrossRef]
- Dhaene, J. Stochastic interest rates and autoregressive integrated moving average processes. ASTIN Bull. 1989, 19, 43–50. [Google Scholar] [CrossRef][Green Version]
- Dickson, D.C.M. Insurance Risk and Ruin; Cambridge University Press: Cambridge, UK, 2005; pp. 83–89. [Google Scholar]
- Horáková, G.; Slaninka, F.; Zsolt, S. The reduction of initial reserves using the optimal reinsurance chains in non-life insurance. Mathematics 2021, 9, 1350. [Google Scholar] [CrossRef]
- Chaubey, Y.P.; Garrido, J.; Trudeau, S. On the computation of aggregate claims distributions: Some new approximations. Insur. Math. Econ. 1998, 23, 215–230. [Google Scholar] [CrossRef]
- Reijnen, R.; Albers, W.; Kallenberg, W.C.M. Approximation of stop-loss reinsurance premiums. Insur. Math. Econ. 2005, 36, 237–250. [Google Scholar] [CrossRef]
- Nuel, G. Cumulative distribution function of a geometric Poisson distribution. J. Stat. Comput. Simul. 2008, 78, 385–394. [Google Scholar] [CrossRef]
- Wei, W.W.S. Time Series Analysis: Univariate and Multivariate Methods, 2nd ed.; Pearson Addison Wesley: White Plains, NY, USA, 2006; pp. 10–15. [Google Scholar]
- Zhang, K.; Douglas, B.C.; Leatherman, S.P. Twentieth-Century Storm Activity along the U.S. East Coast. J. Clim. 2000, 13, 1748–1761. [Google Scholar] [CrossRef]
Publisher’s Note: MDPI stays neutral with regard to jurisdictional claims in published maps and institutional affiliations. |
© 2022 by the authors. Licensee MDPI, Basel, Switzerland. This article is an open access article distributed under the terms and conditions of the Creative Commons Attribution (CC BY) license (https://creativecommons.org/licenses/by/4.0/).




