Abstract
The metaverse is emerging as a next-generation internet paradigm that will enhance human interaction and connectivity. Digital twinning, a fundamental strategy used in the metaverse, allows for the virtualization of real-world items, people, actions, and settings. A virtual world called the metaverse is built on a variety of technologies. Wireless communication is an important part of these technologies. In particular, wireless 6G communication can be essential for the growth of the metaverse. In line with the goal of achieving higher rates in the next-generation wireless network for the metaverse, in this paper, a novel conceptualization of intelligent reflecting surface (IRS)-assisted multiple-input single output-based wireless communication in physical world environments is proposed. More specifically, this paper proposes that in the physical world, the IRS-assisted communication between a communication network and users can be reflected in the metaverse through the virtual world (such as digital avatars and the virtual environment). In the simulations, the bit-error rate and spectral efficiency of the receiver terminal were performed and calculated in the metaverse engine for future consideration.
Keywords:
metaverse; wireless communication; intelligent reflecting surface; spectral efficiency; bit-error rate MSC:
94A14
1. Introduction
The term “metaverse” refers to a shared and persistent online 3D virtual reality environment that integrates several technologies, including sensing, communication, and computation, and emphasizes the blending of virtual and real worlds [1]. In the metaverse, augmented reality (AR), virtual reality (VR), extended reality (XR), and mixed reality (MR) can be used to create virtual environments that enable interactions between virtual models (i.e., digital twins) and avatars (i.e., human models) (MR) [2]. The overview of the metaverse framework is displayed in Figure 1a, and the connections between the three worlds of the metaverse are explained as follows [3]:
Figure 1.
(a) The overview of the metaverse framework with different parts (such as the physical world, virtual world, and metaverse engine); (b) conceptualization of the metaverse summary.
- Physical world: The physical universe offers metaverse-enabling frameworks (including sensing/control, communication, computing, and storing structures) in order to facilitate multimodal data perception, transmission, processing, and caching along with physical restraints. Effective interactions between the human and computer worlds are made possible by the physical universe. The sensing/control infrastructure is specifically made up of ubiquitous smart devices, sensors, and actuators that allow for overall, multimodal data interpretation from the circumstances and human bodies as well as very precise instrument management. The communication architecture, which is comprised of multiple heterogeneous wireless or wired communications (such as satellite communications, cellular communications, and communications from unmanned aerial vehicles), provides networking. Additionally, the computation and storage structures supported by cloud–edge-end computing make significant computation and storage capacities available [4]. For example, a virtual world must generate high-quality images for each avatar at a minimal frame rate of 30 frames per second [5], creating enormous processing requirements and delay limitations (e.g., within 1/30th of a second at most).
- Virtual world: As with ISO/IEC 23005 and IEEE 2888 regulations, the digital world can be constituted of several linked–dispersed virtual worlds (also known as sub-metaverses) [6]. Each sub-metaverse can provide users—portrayed as digital avatars—with particular ranges of virtual surroundings and services (such as gaming, social dating, online museums, and online concerts).
- Metaverse engine: Through the use of interactive AI, digital twin, and blockchain technologies, the metaverse engine [7] creates, updates, and maintains the virtual environment, utilizing extensive data from the real world as input. In particular, with the aid of XR and human–computer interactions (especially brain–computer interfaces), people situated in real environments are now able to immersively control their digital avatars in the metaverse by using their sensations and bodies for a variety of group and social activities, including vehicle racing, dating, and virtual goods trading. Because of these avatar-based digital manufacturing activities, the metaverse enables the development of the virtual economy.
In addition, a 3D virtual environment where virtual characters may communicate with one another is known as the metaverse. These characters may be avatars of actual people or virtual versions of actual people. The main concept of the metaverse is summarized according to Figure 1b, as follows:
- Avatar: An avatar is often thought of as a computer icon that symbolizes a player’s character in a video game. But it is much more than that. The idea of an avatar and a digital twin is comparable in the metaverse. It is a computerized representation of a person. The movements and gestures of humans are mirrored by avatars in the metaverse [8].
- Extended reality: The term “extended reality” (XR) covers VR, AR, and MR. AR allows actual items to be controlled using virtual controls, whereas VR only permits the remote control of virtual objects from the real world. AR allows for the overlay of virtual things over real-world objects. Users may smoothly engage between the virtual and real worlds due to MR, which unites them and combines VR and AR [8].
- Digital twin: The virtual or digital version of anything that exists in the actual world is called a “digital twin.” A physical object in the actual world must have the required sensors to enable its reproduction into the digital form, in that a digital twin exists.
2. Conceptual Motivation
The metaverse will leverage cutting-edge technologies, like blockchain, machine learning, network slicing, semantic web, computer vision, natural language processing, and wireless communication and networking [9], to examine and manage physical systems. The sixth-generation (6G) wireless system faces many previously unheard-of challenges, including ubiquitous connectivity, ultra-low latency, ultra-high capacity, reliability, and strict security, due to the strict requirements of the metaverse for a fully immersive experience, numerous concurrent users, and seamless connectivity [1]. Additionally, to ensure a high-quality user experience, wireless systems for metaverse applications must have high capacity and ultra-reliability, which cannot be achieved with the existing 5G technology. The 6G wireless communication revolution, which is expected to offer low latency, high throughput, and security services will, thus, be necessary in order to access the metaverse. As a result, 6G mobile communication is expected to revolutionize wireless networks and support a wide range of top-notch metaverse applications [10]. In [11], the authors proposed a revolutionary digital twin strategy that was supported by the metaverse by jointly taking into account the integrated model of communications, computation, and storage, utilizing mobile edge computing and very dependable and low latency communications. Most of the time, mmWave and THz transmissions operate in obstructed line-of-sight (LOS). Only when the beams of the receiver and transmitter are lined up can the communication be successful. Any small misalignment can cause the data stream from the metaverse services to stop [12]. In recent years, the communication community has devoted a lot of time to study intelligent reflecting surfaces (IRSs) [13]. In [10], the authors outlined an architecture for the metaverse geared towards a 6G system with a high possibility of using an IRS device. The impinging signal may be reflected by the IRS in the target direction. On the other hand, the IRS is made up of a large number of passive reflecting components that may intelligently alter the wireless propagation environment by adjusting the phase shifts. THz, IRS, and mobile edge computing (MEC) in [14] were utilized to enable VR systems in small inside spaces. High data speeds and dependable low latency are, therefore, guaranteed for smooth user connectivity. The architecture of an IRS is shown in Figure 2.
Figure 2.
The architecture of an IRS reflector.
The key features of an IRS can be implemented with a modest investment in hardware and minimal energy; this provides high-gain beamforming and serves as a backup link when a direct link is not available [15]. The 6G wireless networks offer an incredibly high data rate, great dependability, extensive worldwide coverage, minimal latency, high energy efficiency, and high reliability [16]. We demand more sophisticated network hardware as well as fresh strategies for effective wireless communication in order to fulfill these objectives. According to recent academic publications, IRSs and terahertz communication are the key concepts for 6G [17,18]. Thus, to achieve the goal of 6G, it is preferred to employ the IRS. Therefore, an IRS-assisted system can significantly impact high throughput and achievable rates in metaverse research for the next generation. In addition to wireless communication systems in metaverse scenarios, the implementation of an IRS-aided communication system may be a potential solution for achieving low latency and higher throughput systems. In [19], the authors proposed the unique utility-oriented communications (UOC) concept and discussed its significance for 6G wireless technology. In addition to incorporating newly developed human-centric and task-oriented communications principles, UOC embraces established communication paradigms. The authors used the vehicular metaverse as a case study of UOC to examine semantic communications and semantic information transfer for IRS-aided systems. Moreover, IRS-assisted wireless communication systems based on deep machine learning [16,20] could be a possible applicable emerging field in metaverse scenarios.
Motivated by the aforementioned useful applications, conceptualization, and possible field of the metaverse toward 6G, this paper focuses on the wireless communication system in the physical world environments for enhancing the high data rate and high throughput between the physical world and virtual environments. In this paper, we propose a novel physical layer of technology in an IRS-assisted communication system to implement the above proposal in the metaverse environment. More specifically, an IRS-assisted multi-user (MU) multiple-input single-output (MISO) system is proposed to analyze the bit error rate (BER) and spectral efficiency (SE); the achievable outcome is reflected in the metaverse environment for the fulfillment of the goal of 6G wireless communications. The major contributions of this paper are as follows:
- A novel conceptualization of metaverse scenarios with an IRS-assisted MISO system is proposed for the 6G-enabled wireless communication system. We propose the concept of physical layer communication (PHC), which provides novel connectivity in the physical world and metaverse by enhancing the desired achievable rate, bandwidth, and low latency for smooth communication paradigms. Thus, IRS-assisted wireless communication enhances the overall network performance for 6G communication expectations in metaverse scenarios.
- In PHC, the IRS-cascaded communication channel between the based station (BS) and IRS and the IRS and user equipment (UE) is considered to overcome the signal loss attributed to various obstacles, such as buildings, trees, and so on. Thus, PHC can run the digital twin of the real world and virtual world and reduce the bandwidth requirement and latency using semantic communication.
- To remove the inter-user interference (IUI), the BS employs zero-forcing (ZF) precoding with power allocation for the effective channel. Additionally, the water-filling technique [21] is employed for effective power distribution.
- Finally, the BER, SE, and throughput are observed with respect to the different modulation schemes and IRS elements. The simulation results demonstrate that these results can play a vital role in achieving the goal of 6G in the metaverse.
The rest of the paper is organized as follows. Section 3 describes the metaverse-enabled system modeling. Section 4 describes communication channel modeling with spectral efficiency and precoder formulation. Section 5 presents simulation results; finally, future research directions and conclusions are represented in Section 6 and Section 7, respectively.
3. Metaverse-Enabled System Modeling
The proposed system includes different network parameters in the physical communication network, depicted in Figure 3. To implement the metaverse in the wireless communication network, the physical circumstances are realistically modeled (i.e., digital twinning) as the initial stage for the building of a metaverse. A variety of methodologies, including mathematical, simulation, experimental, and data-driven modeling, can be used to carry out this type of modeling. Then, new information using different sensing and monitoring techniques is superimposed on the virtual model (such as virtual objects in mobile contexts). Finally, in the metaverse, human digital avatars are built as models for wireless networks that may represent a range of stakeholders, including network operators and UE.
Figure 3.
The proposed framework of metaverse scenarios in an IRS-assisted MISO communication system.
In the proposed concept, this is the preliminary conceptualization stage of implementing the IRS-based communication network, which is involved in physical world scenarios, as shown in Figure 3. The goal of the proposed system is to provide a high data rate and throughput to the UE terminal by considering the IRS-supported downlink multi-user MISO system in the metaverse environments. The direct channels between the BS and UE are obstructed because of obstructions (like buildings), which cause significant propagation loss. To overcome this issue, the IRS-assisted reflected cascaded downlink channel between BS and IRS and IRS and UE is implemented. The BS to IRS and IRS to UE channels are defined as and , respectively. Therefore, the cascaded channel is written as follows: = + with additional noise. It is assumed that the proposed communication scenario in the physical world is connected to virtual reality, where an IRS-assisted wireless communication system can be enhanced with the network capacity and a high achievable rate. In addition, the proposed IRS-assisted system can be compensated for the challenging issues of the 6G communication system without an IRS communication link.
In this paper, it is assumed that the BS has M antennas, and the UE has K single antennas. A single IRS is considered with the number of elements of N. The received signal at the UE can be formulated as follows [22]:
where the channel matrix between the IRS and UE is ∈, with representing the channel vector between IRS and the fth UE, the channel matrix between BS and IRS is represented by , is the additive white Gaussian noise (AWGN) at user f, the phase shift matrix of the IRS can be represented as = diag, where the phase shift variable of n IRS reflecting elements (REs) is denoted by . Thereafter, the transmitted signal of x from BS is , where the data symbols of the fth UE are denoted by , = is the precoding matrix of column vector F.
4. Communication Channel Modeling with Spectral Efficiency and Precoder Formulation
We apply the widely utilized 3D Saleh–Valenzuela channel model [23] to the application of mmWave propagation characteristics, where the scatterers are R. Therefore, the representation of channel between BS and IRS can be expressed as follows:
where R represents the number of pathways between the BS and IRS, the gain for the rth pathway is , the array vectors are denoted by and , respectively, the azimuth angle of departure (AOD) as well as the AO arrival (AOA) are symbolized by and ; finally, the factor of normalization is represented by . However, the array response vector (ARV) of the uniform planar array (UPA) with N IRS elements can be written as follows [24]:
where d and are the spacings of the REs and the signal wavelengths of and are the horizontal and perpendicular indices of the RE. In addition, at BS, the ARV of the uniform linear array (ULA) can be formulated as follows [24]:
Furthermore, the channel between the IRS and UE can be written as follows:
Finally, the channel from BS to UE (i.e., the cascaded channel ) can be expressed as follows:
Here, the SE and precoding matrix design are described. The overall SE of the system can be formulated as follows [22]:
However, for eliminating inter-user interference (IUI), the BS takes into account the zero-forcing (ZF) precoding matrix for the cascaded channel. Therefore, the precoding matrix P can be designed as follows [22]:
where the ZF matrix is . The following requirement should be met in order to properly reduce the IUI through the ZF precoding matrix , i.e., . Finally, the = diag is the UE power allocation matrix, which is made up of diagonal components and is intended to meet the highest power constraint.
5. Simulation Results
To observe the achievable rate and throughput of the proposed scheme for IRS-aided MU-MISO wireless communication systems in the physical world of the metaverse scenarios, simulation results were evaluated with consideration of different IRS elements and modulation schemes. In the simulation, the combinations of different IRS elements are setup with and . The modulation schemes of binary phase-shift keying (BPSK), quadrature phase-shift keying (QPSK), and 16 quadrature amplitude modulation (16QAM) are considered. The channel propagation of pathways is considered. In addition, the BS antenna separation and IRS element spacings of and are assumed. The BS to IRS channel LOS route has a Rician factor of 15 dB. The simulation parameters are shown in Table 1. The random IRS scheme, which is a mechanism for randomly generating the phases of the IRS RE, i.e., with , , is employed in this paper.
Table 1.
The simulation parameters of the proposed system.
Figure 4 depicts the BER performance of the proposed system in terms of different SNR ranges. From Figure 4, the results show that the BPSK modulation with 256 IRS elements achieves the highest performance compared to the different simulation modulations, such as QPSK, 16QAM, and IRS elements. In addition, the simulation results show that the BER is enhanced according to the increase in the IRS element. In addition, we compared the simulation results with the analytical case; it can be seen that the simulation results follow the same trend as the analytical result.
Figure 4.
BER versus SNR results of the proposed and analytical cases for the IRS-based wireless system in the metaverse.
Figure 5 shows the SE performance of the proposed system in terms of different modulation schemes and IRS element numbers. From Figure 5, it is indicated that by utilizing the modulation schemes of BPSK, QPSK, and 16QAM with IRS elements 64 and 256, the SE achievements show minimal variations across different SNR values, as evident in the zoomed-in view of the graph. Figure 6 shows the overall SE performance of the proposed system with other optimization schemes and an ideal case in terms of the number of IRS elements and different SNR values. For the results of this simulation concept of the metaverse, we selected the common IRS phase shift scheme, which is a random phase shift scheme. From Figure 6, it is indicated that the SE achievements of the proposed scheme follow the SE trend of the ideal case with the IRS numbers 64 and 256, respectively. In addition, the SE performance of the proposed scheme (in terms of different SNRs) outperforms the studies in [25] and [26], respectively. The achievable SE of this simulation is gained by almost 21 and 23 bps per Hz with IRS elements 64 and 256. However, we can also implement many good optimization schemes (e.g., minimum mean square error (MMSE), largest eigenvalue, and iterative optimization) in the proposed conceptualization system. In [22], the above schemes were proposed in an IRS-based communication system. They demonstrated promising SE performance and, thus, could be potentially applied in this proposed metaverse-enabled system.
Figure 5.
SE versus SNR results of the proposed system for IRS-based wireless communication in terms of different modulation techniques.
Figure 6.
SE versus SNR results of the proposed and other methods for the IRS-based wireless system in the metaverse [22,25,26].
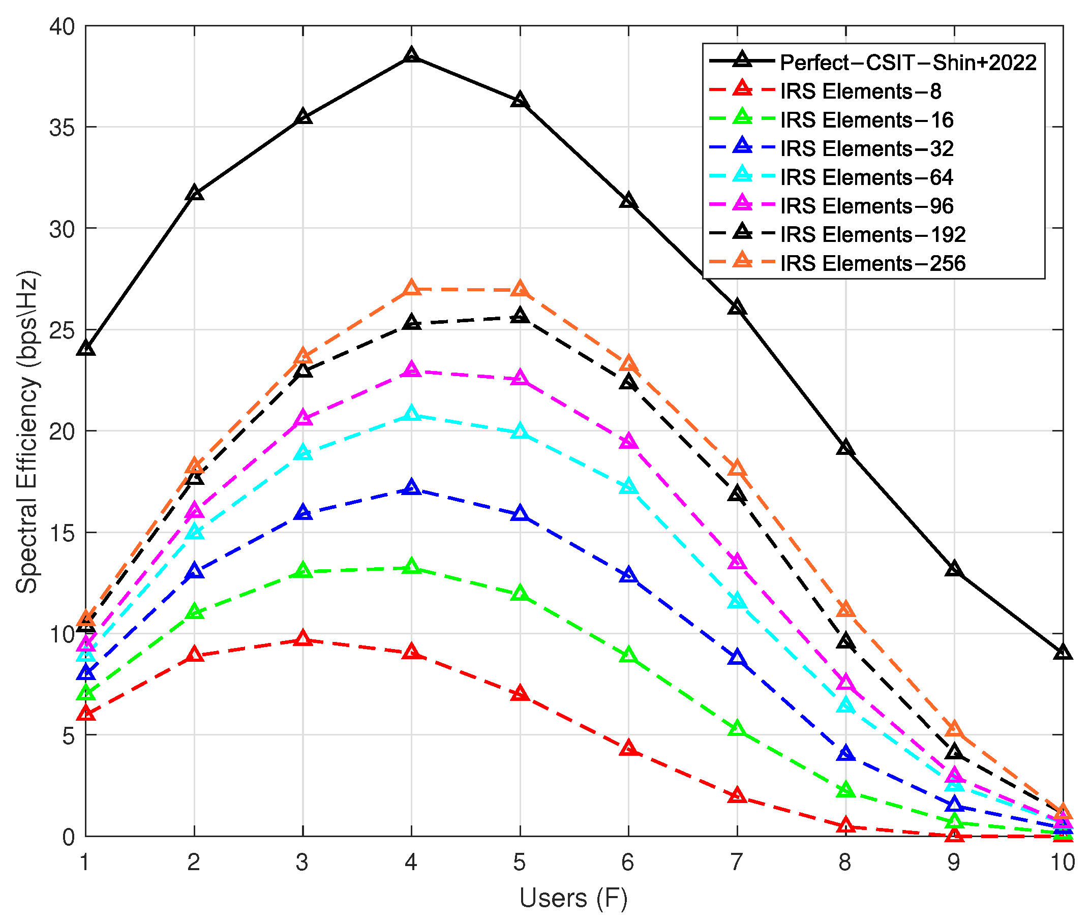
The SE performance, according to user count, is shown in Figure 7. It has been demonstrated that the SE is increased according to the number of IRS elements. In particular, the IRS element number 256 achieves the most significant SE with UE 4 and 5, respectively. However, because of the low-rank issue, performance suffers when there are more than 6 users. Generally speaking, it is anticipated that the IRS will be stationed near to the BS. Additionally, the LOS route is included in the Rician fading channel between the BS and the IRS. Because of the increased spatial correlation of channels in this system setting, IRS-aided multi-user systems struggle with a shortage of rank. Low-rank issues are also brought on by channel sparsity of the short mmWave wavelength. Figure 7 demonstrates that the lack of rank causes the performance curve to appear as the user grows. As a result, numerous IRSs are employed in systems with more users, or a robust scattering environment is required. Furthermore, Figure 7 indicates that in the proposed systems, the SE performs almost identically when there are 10 users. The perfect channel state information at the transmitter (CSIT) [27] curve is shown in a black line. A similar trend is compared to the other results.
Figure 7.
The results of SE versus user numbers with different IRSs reflecting elements and the BPSK modulation scheme of the proposed wireless system in the metaverse [27].
Figure 8 shows the performance of the actual transmitted and processed data throughout the network with the different SNR values. For this analysis, the three different modulation techniques—BPSK, QPSK, and 16QAM—are considered. Also, the analytical results are compared with the modulations; it can be seen that the simulation results follow a similar trend to the analytical results. In addition, the performance is measured by changing IRS element numbers 64 and 256, respectively. It can be seen from Figure 8 that the throughput of the system is gradually increased with the IRS elements and the change in modulation orders. After an SNR of 15 dB, most of the modulation techniques reach the highest throughput values. With the IRS element number of 256 as well as BPSK modulation, the throughput is maximized. In contrast, the lowest throughput is achieved with an IRS element number of 64 and a QAM modulation of 16.
Figure 8.
The results of throughput versus SNRs with different IRS reflecting elements and analytical cases, including BPSK, QPSK, and the 16QAM modulation schemes of the proposed wireless system in the metaverse.
6. Future Research Directions
Along with achievable rate concerns, there are a number of unresolved communication and networking research questions that must be addressed in order to advance the implementation of the metaverse.
- Green communication networking: For constant sensing, data transfer, and real-time communication in the metaverse, significant energy resources are needed. In order to achieve green networking, it is necessary to develop energy-efficient [28] communication protocols and use energy harvesting techniques to ensure network functioning. These topics should be researched in future works.
- Enhanced ultra-reliability and low latency system: To support VR/AR devices, metaverse services demand excellent data dependability and transmission stability in expanding high-bandwidth situations. In order to increase the transmission dependability of 6G wireless networks, IRS elements and artificial metasurfaces that may change the reflector array of incoming electromagnetic waves by autonomously manipulating the phase shift are being investigated as viable solutions. Furthermore, extremely low latency is required for critical real-time metaverse applications in order to ensure user satisfaction and avoid vertigo from the delay. To design a metaverse-enabled system, improving the latency in 6G communication is a challenging task that can be explored in future research.
- Management of heterogeneous networks: Diverse communities are brought together in the metaverse. An important area that needs to be researched is how to manage various resources and services while integrating numerous heterogeneous networks.
- Combining multiple systems: The network must incorporate several sensing, communication, and computation techniques in order to meet the stringent criteria for 6G, including Tera-Hertz (THz) communication, edge AI, energy transfer and harvesting, and communications with huge IRS elements.
- Standard specifications: Standardized network access, networking, routing, and congestion management protocols are necessary for the communication and network technologies underpinning the metaverse. While this needs a great deal of rigorous follow-up study efforts because of the heterogeneity of the unified metaverse network, these standards must be tailored to each subsystem in the metaverse.
- User experience enhancement: In a metaverse scenario, user experience is given ultimate preference to make the virtual environment real. Different wireless communication perspectives can be utilized to test the performance of metaverse environments. Parameters can be considered as channel impairment effects, channel paths, modulation techniques, data rates, and so on.
7. Conclusions
In this paper, we propose a novel IRS-assisted MISO communication system in the conceptualization of the metaverse environment. The proposed system is implemented as a primary concept in the physical world of the metaverse. The aim of this concept in the metaverse is to enhance the network capacity and achievable rate over the general communication link by implementing an IRS-aided communication link. To justify this concept, the outcome of the initial simulation was investigated over different channel parameters and settings. It is shown that the achievable rate of the proposed system is extensively improved, and it can be a promising solution in the metaverse for the next-generation communication system. The proposed system can achieve up to 50% more spectral efficiency at 20 dB SNR as compared to what was presented in [25,26]. In the future, this work will be extended for the connection of the physical world to a virtual environment to implement the full infrastructure of the metaverse using an IRS-assisted communication system. In addition, machine learning can be executed to enhance the performance of the proposed system.
Author Contributions
Conceptualization, M.H.R. and M.A.S.S.; methodology, M.H.R.; software, M.H.R., M.A.S.S. and M.A.A.; validation, M.H.R. and M.A.S.S.; formal analysis, M.H.R., M.A.S.S. and M.A.A.; investigation, M.H.R. and M.A.S.S.; resources, H.-K.S.; data curation, M.H.R. and M.A.S.S.; writing—original draft preparation, M.H.R. and M.A.S.S.; writing—review and editing, M.H.R., M.A.S.S., M.A.A., D.-S.K. and H.-K.S.; visualization, M.H.R., M.A.S.S. and M.A.A.; supervision, Y.-H.Y., D.-S.K. and H.-K.S.; project administration, Y.-H.Y., D.-S.K. and H.-K.S.; funding acquisition, H.-K.S. All authors have read and agreed to the published version of the manuscript.
Funding
This work was supported by the Institute of Information & Communications Technology Planning & Evaluation (IITP) under the metaverse support program to nurture the best talents (IITP-2023-RS-2023-00254529) grant funded by the Korean government (MSIT), and in part by the Basic Science Research Program through the National Research Foundation of Korea (NRF) funded by the Ministry of Education (2020R1A6A1A03038540).
Institutional Review Board Statement
Not applicable.
Informed Consent Statement
Not applicable.
Data Availability Statement
Not applicable.
Conflicts of Interest
The authors declare no conflict of interest.
References
- Tang, F.; Chen, X.; Zhao, M.; Kato, N. The Roadmap of Communication and Networking in 6G for the Metaverse. IEEE Wirel. Commun. 2022, 1–15. [Google Scholar] [CrossRef]
- Ning, H.; Wang, H.; Lin, Y.; Wang, W.; Dhelim, S.; Farha, F.; Ding, J.; Daneshmand, M. A Survey on Metaverse: The State-of-the-art, Technologies, Applications, and Challenges. arXiv 2021, arXiv:2111.09673. [Google Scholar] [CrossRef]
- Wang, Y.; Su, Z.; Zhang, N.; Xing, R.; Liu, D.; Luan, T.H.; Shen, X. A Survey on Metaverse: Fundamentals, Security, and Privacy. IEEE Commun. Surv. Tutor. 2022. [Google Scholar] [CrossRef]
- Kai, C.; Zhou, H.; Yi, Y.; Huang, W. Collaborative cloud-edge-end task offloading in mobile-edge computing networks with limited communication capability. IEEE Trans. Cogn. Commun. Netw. 2020, 7, 624–634. [Google Scholar] [CrossRef]
- Kumar, S.; Chhugani, J.; Kim, C.; Kim, D.; Nguyen, A.; Dubey, P.; Bienia, C.; Kim, Y. Second life and the new generation of virtual worlds. Computer 2008, 41, 46–53. [Google Scholar] [CrossRef]
- Yoon, K.; Kim, S.K.; Jeong, S.P.; Choi, J.H. Interfacing Cyber and Physical Worlds: Introduction to IEEE 2888 Standards. In Proceedings of the 2021 IEEE International Conference on Intelligent Reality (ICIR), Piscataway, NJ, USA, 12–13 May 2021; pp. 49–50. [Google Scholar] [CrossRef]
- Xu, M.; Ng, W.C.; Lim, W.Y.B.; Kang, J.; Xiong, Z.; Niyato, D.; Yang, Q.; Shen, X.S.; Miao, C. A Full Dive into Realizing the Edge-enabled Metaverse: Visions, Enabling Technologies, and Challenges. IEEE Commun. Surv. Tutor. 2022. [Google Scholar] [CrossRef]
- Park, S.M.; Kim, Y.G. A Metaverse: Taxonomy, components, applications, and open challenges. IEEE Access 2022, 10, 4209–4251. [Google Scholar] [CrossRef]
- Njoku, J.N.; Nwakanma, C.I.; Kim, D.S. The Role of 5G Wireless Communication System in the Metaverse. In Proceedings of the 2022 27th Asia Pacific Conference on Communications (APCC), Jeju Island, Republic of Korea, 19–21 October 2022; pp. 290–294. [Google Scholar]
- Peng, H.; Chen, P.C.; Chen, P.H.; Yang, Y.S.; Hsia, C.C.; Wang, L.C. 6G toward Metaverse: Technologies, Applications, and Challenges. In Proceedings of the 2022 IEEE VTS Asia Pacific Wireless Communications Symposium (APWCS), Seoul, Republic of Korea, 24–26 August 2022; pp. 6–10. [Google Scholar]
- Van Huynh, D.; Khosravirad, S.R.; Masaracchia, A.; Dobre, O.A.; Duong, T.Q. Edge Intelligence-Based Ultra-Reliable and Low-Latency Communications for Digital Twin-Enabled Metaverse. IEEE Wirel. Commun. Lett. 2022, 11, 1733–1737. [Google Scholar] [CrossRef]
- Yu, J.; Alhilal, A.; Hui, P.; Tsang, D.H. 6G mobile-edge empowered metaverse: Requirements, technologies, challenges and research directions. arXiv 2022, arXiv:2211.04854. [Google Scholar]
- Jalaja, R.R.U.; Thirumavalavan, V.C.; Velmurugan, P.G.S.; Thiruvengadam, S.J. Spatially correlated dual hop RIS aided next generation wireless systems: An outage perspective. IEEE Access 2021, 9, 56127–56139. [Google Scholar] [CrossRef]
- Chaccour, C.; Soorki, M.N.; Saad, W.; Bennis, M.; Popovski, P. Risk-based optimization of virtual reality over terahertz reconfigurable intelligent surfaces. In Proceedings of the ICC 2020 IEEE International Conference on Communications (ICC), Virtual, 7–11 June 2020; pp. 1–6. [Google Scholar]
- Sejan, M.A.S.; Rahman, M.H.; Song, H.K. Demod-CNN: A Robust Deep Learning Approach for Intelligent Reflecting Surface-Assisted Multiuser MIMO Communication. Sensors 2022, 22, 5971. [Google Scholar] [CrossRef] [PubMed]
- Sejan, M.A.S.; Rahman, M.H.; Shin, B.S.; Oh, J.H.; You, Y.H.; Song, H.K. Machine Learning for Intelligent-Reflecting-Surface-Based Wireless Communication towards 6G: A Review. Sensors 2022, 22, 5405. [Google Scholar] [CrossRef] [PubMed]
- Dang, S.; Amin, O.; Shihada, B.; Alouini, M.S. What should 6G be? Nat. Electron. 2020, 3, 20–29. [Google Scholar] [CrossRef]
- Viswanathan, H.; Mogensen, P.E. Communications in the 6G era. IEEE Access 2020, 8, 57063–57074. [Google Scholar] [CrossRef]
- Wang, Z.; Zhao, J. Utility-Oriented Wireless Communications for 6G Networks: Semantic Information Transfer for IRS aided Vehicular Metaverse. arXiv 2023, arXiv:2305.05891. [Google Scholar]
- Rahman, M.H.; Sejan, M.A.S.; Aziz, M.A.; Baik, J.I.; Kim, D.S.; Song, H.K. Deep Learning Based Improved Cascaded Channel Estimation and Signal Detection for Reconfigurable Intelligent Surfaces-Assisted MU-MISO Systems. IEEE Trans. Green Commun. Netw. 2023. [Google Scholar] [CrossRef]
- Di, B.; Zhang, H.; Li, L.; Song, L.; Li, Y.; Han, Z. Practical Hybrid Beamforming With Finite-Resolution Phase Shifters for Reconfigurable Intelligent Surface Based Multi-User Communications. IEEE Trans. Veh. Technol. 2020, 69, 4565–4570. [Google Scholar] [CrossRef]
- Jung, J.S.; Park, C.Y.; Oh, J.H.; Song, H.K. Intelligent reflecting surface for spectral efficiency maximization in the multi-user MISO communication systems. IEEE Access 2021, 9, 134695–134702. [Google Scholar] [CrossRef]
- Wei, X.; Shen, D.; Dai, L. Channel Estimation for RIS Assisted Wireless Communications—Part II: An Improved Solution Based on Double-Structured Sparsity. IEEE Commun. Lett. 2021, 25, 1403–1407. [Google Scholar] [CrossRef]
- El Ayach, O.; Rajagopal, S.; Abu-Surra, S.; Pi, Z.; Heath, R.W. Spatially sparse precoding in millimeter wave MIMO systems. IEEE Trans. Wirel. Commun. 2014, 13, 1499–1513. [Google Scholar] [CrossRef]
- Chen, J.; Tan, W.; Liu, T.; Li, S.; Li, Y.; Zhou, M. Spectral efficiency for IRS-assisted uplink mmWave massive MISO systems with low-resolution ADCs. Phys. Commun. 2022, 55, 101865. [Google Scholar] [CrossRef]
- Zhou, S.; Xu, W.; Wang, K.; Di Renzo, M.; Alouini, M.S. Spectral and energy efficiency of IRS-assisted MISO communication with hardware impairments. IEEE Wirel. Commun. Lett. 2020, 9, 1366–1369. [Google Scholar] [CrossRef]
- Shin, B.S.; Oh, J.H.; You, Y.H.; Hwang, D.D.; Song, H.K. Limited Channel Feedback Scheme for Reconfigurable Intelligent Surface Assisted MU-MIMO Wireless Communication Systems. IEEE Access 2022, 10, 50288–50297. [Google Scholar] [CrossRef]
- Nain, M.; Goyal, N. Energy efficient localization through node mobility and propagation delay prediction in underwater wireless sensor network. Wirel. Pers. Commun. 2022, 122, 2667–2685. [Google Scholar] [CrossRef]
Disclaimer/Publisher’s Note: The statements, opinions and data contained in all publications are solely those of the individual author(s) and contributor(s) and not of MDPI and/or the editor(s). MDPI and/or the editor(s) disclaim responsibility for any injury to people or property resulting from any ideas, methods, instructions or products referred to in the content. |
© 2023 by the authors. Licensee MDPI, Basel, Switzerland. This article is an open access article distributed under the terms and conditions of the Creative Commons Attribution (CC BY) license (https://creativecommons.org/licenses/by/4.0/).







