Model-Based Optimization Approach for PID Control of Pitch–Roll UAV Orientation
Abstract
1. Introduction
2. System Framework
2.1. Non-Linear Model of the UAV
2.2. Simulation Model and Validation
3. Control System
- is the process-controlled variable.
- is the set point for the process output.
- is the controller’s output signal.
- is the load disturbance of the system.
Performance of the Control System
4. Controller Design
4.1. Model Identification
- The response for to a step increment of µs at ;
- The response for to a step increment of µs at .
- The PID controller was designed using the internal model controller (IMC) approach in (23).
4.2. Initial IMC Controller
4.3. Improved Optimized Controller
4.4. Optimized Controller for the Non-Linear Model
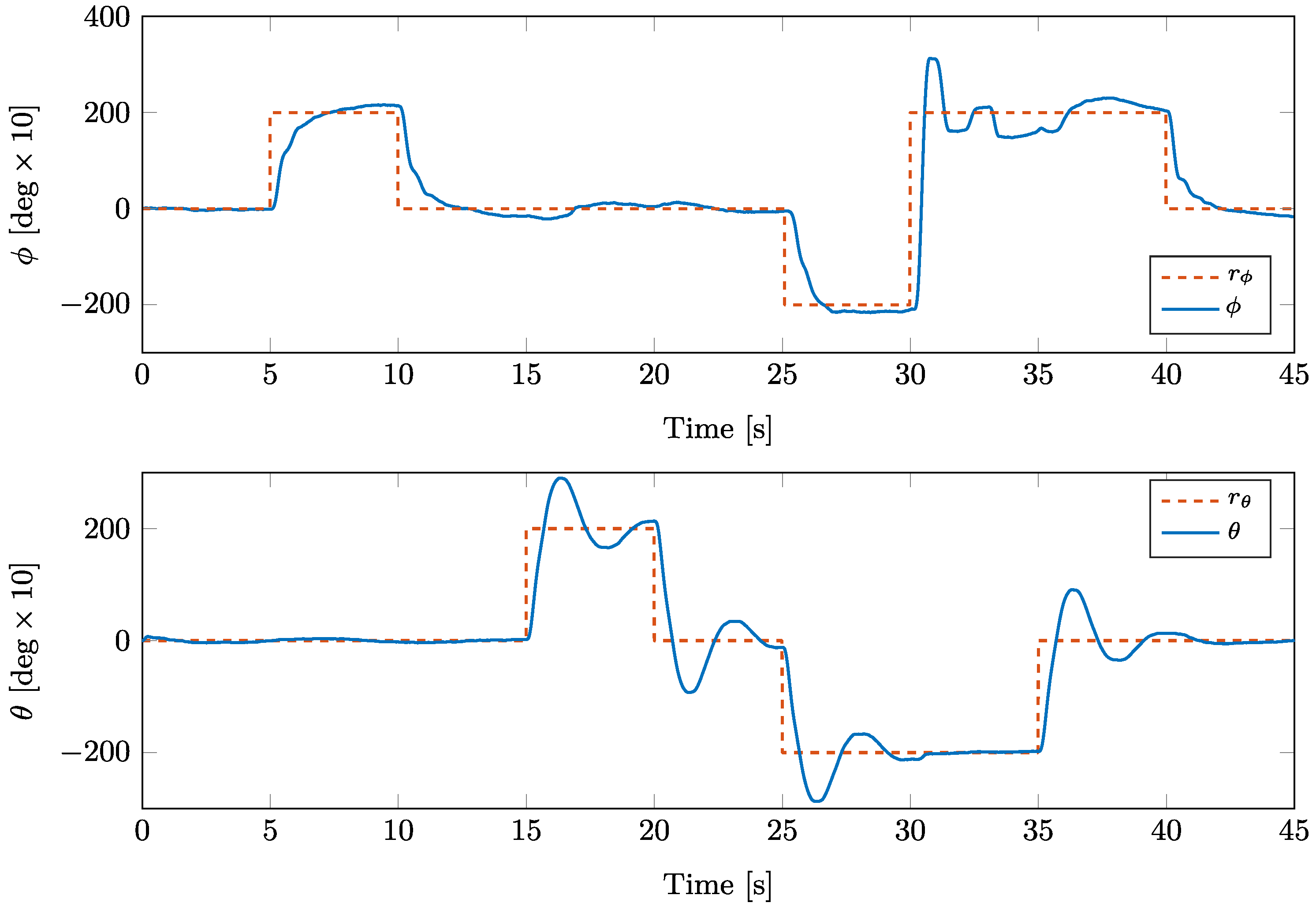
5. Implementation and Validation Results
6. Conclusions
Author Contributions
Funding
Data Availability Statement
Conflicts of Interest
References
- Mohsan, S.A.H.; Khan, M.A.; Noor, F.; Ullah, I.; Alsharif, M.H. Towards the Unmanned Aerial Vehicles (UAVs): A Comprehensive Review. Drones 2022, 6, 147. [Google Scholar] [CrossRef]
- Rejeb, A.; Abdollahi, A.; Rejeb, K.; Treiblmaier, H. Drones in agriculture: A review and bibliometric analysis. Comput. Electron. Agric. 2022, 198, 107017. [Google Scholar] [CrossRef]
- Ecke, S.; Dempewolf, J.; Frey, J.; Schwaller, A.; Endres, E.; Klemmt, H.J.; Tiede, D.; Seifert, T. UAV-Based Forest Health Monitoring: A Systematic Review. Remote Sens. 2022, 14, 3205. [Google Scholar] [CrossRef]
- Shakhatreh, H.; Sawalmeh, A.H.; Al-Fuqaha, A.; Dou, Z.; Almaita, E.; Khalil, I.; Othman, N.S.; Khreishah, A.; Guizani, M. Unmanned Aerial Vehicles (UAVs): A Survey on Civil Applications and Key Research Challenges. IEEE Access 2019, 7, 48572–48634. [Google Scholar] [CrossRef]
- Madridano, A.; Campos, S.; Al-Kaff, A.; García, F.; Martín, D.; Escalera, A. Unmanned aerial vehicle for fire surveillance and monitoring. Rev. Iberoam. Autom. Inform. Ind. 2020, 17, 254–263. [Google Scholar] [CrossRef]
- Kangunde, V.; Jamisola, R.S.; Theophilus, E.K. A review on drones controlled in real-time. Int. J. Dyn. Control 2021, 9, 1832–1846. [Google Scholar] [CrossRef]
- Bigazzi, L.; Gherardini, S.; Innocenti, G.; Basso, M. Development of Non Expensive Technologies for Precise Maneuvering of Completely Autonomous Unmanned Aerial Vehicles. Sensors 2021, 21, 391. [Google Scholar] [CrossRef]
- Rico, R.; Rico-Azagra, J.; Gil-Martínez, M. Hardware and RTOS Design of a Flight Controller for Professional Applications. IEEE Access 2022, 10, 134870–134883. [Google Scholar] [CrossRef]
- Khan, S.; Jaffery, M.H.; Hanif, A.; Asif, M.R. Teaching Tool for a Control Systems Laboratory Using a Quadrotor as a Plant in MATLAB. IEEE Trans. Educ. 2017, 60, 249–256. [Google Scholar] [CrossRef]
- Gonzalez-Vargas, A.M.; Serna-Ramirez, J.M.; Fory-Aguirre, C.; Ojeda-Misses, A.; Cardona-Ordoñez, J.M.; Tomba-Andrade, J.; Soria-Lopez, A. A low-cost, free-software platform with hard real-time performance for control engineering education. Comput. Appl. Eng. Educ. 2019, 27, 406–418. [Google Scholar] [CrossRef]
- Zhang, X.; Li, X.; Wang, K.; Lu, Y. A Survey of Modelling and Identification of Quadrotor Robot. Abstr. Appl. Anal. 2014, 2014, 320526. [Google Scholar] [CrossRef]
- Shraim, H.; Awada, A.; Youness, R. A survey on quadrotors: Configurations, modeling and identification, control, collision avoidance, fault diagnosis and tolerant control. IEEE Aerosp. Electron. Syst. Mag. 2018, 33, 14–33. [Google Scholar] [CrossRef]
- Nascimento, T.P.; Saska, M. Position and attitude control of multi-rotor aerial vehicles: A survey. Annu. Rev. Control. 2019, 48, 129–146. [Google Scholar] [CrossRef]
- Marshall, J.A.; Sun, W.; L’Afflitto, A. A survey of guidance, navigation, and control systems for autonomous multi-rotor small unmanned aerial systems. Annu. Rev. Control. 2021, 52, 390–427. [Google Scholar] [CrossRef]
- Gil-Martinez, M.; Rico-Azagra, J. Multi-rotor robust trajectory tracking. In Proceedings of the 2015 23rd Mediterranean Conference on Control and Automation (MED), Torremolinos, Spain, 16–19 June 2015; pp. 865–870. [Google Scholar] [CrossRef]
- Rubí, B.; Pérez, R.; Morcego, B. A Survey of Path Following Control Strategies for UAVs Focused on Quadrotors. J. Intell. Robot. Syst. 2020, 98, 241–265. [Google Scholar] [CrossRef]
- Lotufo, M.A.; Colangelo, L.; Perez-Montenegro, C.; Canuto, E.; Novara, C. UAV quadrotor attitude control: An ADRC-EMC combined approach. Control. Eng. Pract. 2019, 84, 13–22. [Google Scholar] [CrossRef]
- Chen, Y.; Zhang, G.; Zhuang, Y.; Hu, H. Autonomous Flight Control for Multi-Rotor UAVs Flying at Low Altitude. IEEE Access 2019, 7, 42614–42625. [Google Scholar] [CrossRef]
- Invernizzi, D.; Panizza, P.; Riccardi, F.; Formentin, S.; Lovera, M. Data-driven attitude control law of a variable-pitch quadrotor: A comparison study. IFAC-PapersOnLine 2016, 49, 236–241. [Google Scholar] [CrossRef]
- Capocchiano, S.; Panizza, P.; Invernizzi, D.; Lovera, M. Closed-loop data-driven attitude control design for a multirotor UAV. In Proceedings of the IEEE Conference on Control Technology and Applications (CCTA), Copenhagen, Denmark, 21–24 August 2018; pp. 153–158. [Google Scholar]
- Zangarini, A.; Invernizzi, D.; Panizza, P.; Lovera, M. Closed-loop MIMO data-driven attitude control design for a multirotor UAV. CEAS Aeronaut. J. 2020, 11, 873–884. [Google Scholar] [CrossRef]
- Bo, G.; Xin, L.; Hui, Z.; Ling, W. Quadrotor helicopter attitude control using cascade PID. In Proceedings of the 28th Chinese Control and Decision Conference, CCDC 2016, Yinchuan, China, 28–30 May 2016; pp. 5158–5163. [Google Scholar] [CrossRef]
- Wang, P.; Man, Z.; Cao, Z.; Zheng, J.; Zhao, Y. Dynamics modelling and linear control of quadcopter. In Proceedings of the International Conference on Advanced Mechatronic Systems, ICAMechS, Melbourne, Australia, 30 November–3 December 2016; pp. 498–503. [Google Scholar] [CrossRef]
- Rico-Azagra, J.; Gil-Martínez, M.; Rico, R.; Nájera, S.; Elvira, C. A benchmark for orientation control of a multirotor in a three degrees-of-freedom rotation structure. Rev. Iberoam. Autom. Inform. Ind. 2021, 18, 265–276. [Google Scholar] [CrossRef]
- Hancer, M.; Bitirgen, R.; Bayezit, I. Designing 3-DOF Hardware-In-The-Loop Test Platform Controlling Multirotor Vehicles. IFAC-PapersOnLine 2018, 51, 119–124. [Google Scholar] [CrossRef]
- Bajelani, M.; Tayefi, M.; Zhu, M. A real-test and simulation combined platform for developing intelligent tracking control of multirotors. Int. J. Intell. Unmanned Syst. 2022, in press. [CrossRef]
- Chávez-Gudiño, M.A.; Concha-Sánchez, A.; Maciel-Barboza, F.M.; Gadi, S.K.; Thenozhi, S.; Jiménez Betancourt, R. Development and control of a low cost 2 DOF laboratory helicopter. RIAI Rev. Iberoam. Autom. Inform. Ind. 2023, in press. [Google Scholar] [CrossRef]
- Ebeid, E.; Skriver, M.; Terkildsen, K.; Jensen, K.; Schultz, U. A survey of open-source UAV flight controllers and flight simulators. Microprocess. Microsyst. 2018, 61, 11–20. [Google Scholar] [CrossRef]
- Gallarta-Sáenz, D.; Rico-Azagra, J.; Gil-Martínez, M. Learning Enhancement of Control Engineering: A Competition-Based Case. IEEE Access 2023, 11, 38240–38250. [Google Scholar] [CrossRef]
- Control Engineering—Spanish Automatic Committee (CEA) and University of La Rioja Research Group. Competition: Orientation Control of a Multirotor—CIC2021. 2021. Available online: https://www.unirioja.es/dptos/die/cic2021/resultados.shtml (accessed on 16 July 2023).










| Value | Value | ||
|---|---|---|---|
| l | 0.25 (m) | 0.006 (Nm/rad) | |
| d | 0.015 (m) | 0.006 (Nm/rad) | |
| m | 0.375 (kg) | 0.004 (Nm/rad) | |
| 0.00135 (kg2) | 0.0015 (Nms/rad) | ||
| 0.019 (kg2) | 0.0015 (Nms/rad) | ||
| 0.04 (kg2) | 0.05 (Nms/rad) | ||
| (kg2) | 
| 9 V | 10 V | 11 V | 12 V | |
|---|---|---|---|---|
| 1.7796 | 1.2082 | 2.0105 | 2.0593 | |
| 0.9554 | 1.1179 | 1.5707 | 1.9021 | |
| 0.0238 | 0.0239 | 0.0318 | 0.0326 | |
| 0.0202 | 0.0227 | 0.0266 | 0.0298 | |
| 1445.8 | 1592.4 | 1762.9 | 1921.5 | |
| 63.472 | 70.505 | 75.907 | 84.729 | 
| K | 14.400 | 14.700 | 
| 3.000 | 2.000 | |
| 0.452 | 0.316 | 
| IMC | ||
|---|---|---|
| 0.039 | 0.358 | |
| 0.129 | 1.134 | |
| 0.014 | 0.283 | |
| 1 | 1 | |
| IAE | ITAE | IAVU | ||
|---|---|---|---|---|
| Roll () | 2.996 | 3.365 | 0.059 | 2.556 | 
| Pitch () | 2.437 | 3.967 | 0.333 | 2.628 | 
| Optimal (L) | ||
|---|---|---|
| 0.129 | 0.803 | |
| 0.004 | 0.403 | |
| 0.024 | 0.159 | |
| 1.519 | 0.984 | |
| IAE | ITAE | IAVU | ||
|---|---|---|---|---|
| Roll () | 1.063 | 0.781 | 0.174 | 0.772 | 
| Pitch () | 0.894 | 0.525 | 0.410 | 0.650 | 
| Optimal (NL) | ||
|---|---|---|
| 0.137 | 0.936 | |
| 0.149 | 0.803 | |
| 0.028 | 0.234 | |
| 1.273 | 0.826 | |
| IAE | ITAE | IAVU | ||
|---|---|---|---|---|
| Roll () | 0.958 | 0.609 | 0.222 | 0.671 | 
| Pitch () | 0.646 | 0.317 | 0.498 | 0.484 | 
| Control Design | [V] | Roll() | |||
| IAE | ITAE | IAVU | |||
| 10 | 1.268 | 1.000 | 0.200 | 0.947 | |
| T1 | 11 | 1.309 | 1.261 | 0.245 | 1.077 | 
| 12 | 1.591 | 2.082 | 0.389 | 1.547 | |
| 10 | 1.523 | 2.327 | 0.077 | 1.556 | |
| T2 | 11 | 1.526 | 1.754 | 0.092 | 1.327 | 
| 12 | 1.498 | 1.897 | 0.129 | 1.384 | |
| 10 | 1.405 | 1.290 | 0.179 | 1.114 | |
| T3 | 11 | 1.408 | 1.647 | 0.232 | 1.268 | 
| 12 | 1.384 | 2.233 | 0.380 | 1.523 | |
| Control Design | [V] | Pitch () | |||
| IAE | ITAE | IAVU | |||
| 10 | 1.280 | 1.937 | 0.304 | 1.348 | |
| T1 | 11 | 1.094 | 1.380 | 0.309 | 1.056 | 
| 12 | 0.973 | 1.049 | 0.503 | 0.905 | |
| 10 | 1.740 | 2.264 | 0.118 | 1.625 | |
| T2 | 11 | 1.670 | 2.565 | 0.159 | 1.726 | 
| 12 | 1.511 | 1.943 | 0.185 | 1.418 | |
| 10 | 0.867 | 0.735 | 0.456 | 0.732 | |
| T3 | 11 | 0.818 | 0.677 | 0.586 | 0.715 | 
| 12 | 0.780 | 0.641 | 0.759 | 0.720 | |
| Control Design | [V] | ||
|---|---|---|---|
| 10 | 1.148 | ||
| T1 | 11 | 1.066 | 1.147 | 
| 12 | 1.228 | ||
| 10 | 1.590 | ||
| T2 | 11 | 1.526 | 1.506 | 
| 12 | 1.401 | ||
| 10 | 0.923 | ||
| T3 | 11 | 0.992 | 1.012 | 
| 12 | 1.121 | 
| Disclaimer/Publisher’s Note: The statements, opinions and data contained in all publications are solely those of the individual author(s) and contributor(s) and not of MDPI and/or the editor(s). MDPI and/or the editor(s) disclaim responsibility for any injury to people or property resulting from any ideas, methods, instructions or products referred to in the content. | 
© 2023 by the authors. Licensee MDPI, Basel, Switzerland. This article is an open access article distributed under the terms and conditions of the Creative Commons Attribution (CC BY) license (https://creativecommons.org/licenses/by/4.0/).
Share and Cite
Arrieta, O.; Campos, D.; Rico-Azagra, J.; Gil-Martínez, M.; Rojas, J.D.; Vilanova, R. Model-Based Optimization Approach for PID Control of Pitch–Roll UAV Orientation. Mathematics 2023, 11, 3390. https://doi.org/10.3390/math11153390
Arrieta O, Campos D, Rico-Azagra J, Gil-Martínez M, Rojas JD, Vilanova R. Model-Based Optimization Approach for PID Control of Pitch–Roll UAV Orientation. Mathematics. 2023; 11(15):3390. https://doi.org/10.3390/math11153390
Chicago/Turabian StyleArrieta, Orlando, Daniel Campos, Javier Rico-Azagra, Montserrat Gil-Martínez, José D. Rojas, and Ramon Vilanova. 2023. "Model-Based Optimization Approach for PID Control of Pitch–Roll UAV Orientation" Mathematics 11, no. 15: 3390. https://doi.org/10.3390/math11153390
APA StyleArrieta, O., Campos, D., Rico-Azagra, J., Gil-Martínez, M., Rojas, J. D., & Vilanova, R. (2023). Model-Based Optimization Approach for PID Control of Pitch–Roll UAV Orientation. Mathematics, 11(15), 3390. https://doi.org/10.3390/math11153390
 
        





 
       