Modeling Income Data via New Parametric Quantile Regressions: Formulation, Computational Statistics, and Application
Abstract
1. Introduction
2. Traditional and Quantile-Based Income Distributions
2.1. Singh–Maddala Distribution
2.2. Quantile-Based Singh–Maddala Distribution
2.3. Dagum Distribution
2.4. Quantile-Based Dagum Distribution
2.5. Summary Table and PDF Plots
3. Income Quantile Regression Models
3.1. Formulation
3.2. Estimation
3.3. Diagnostics
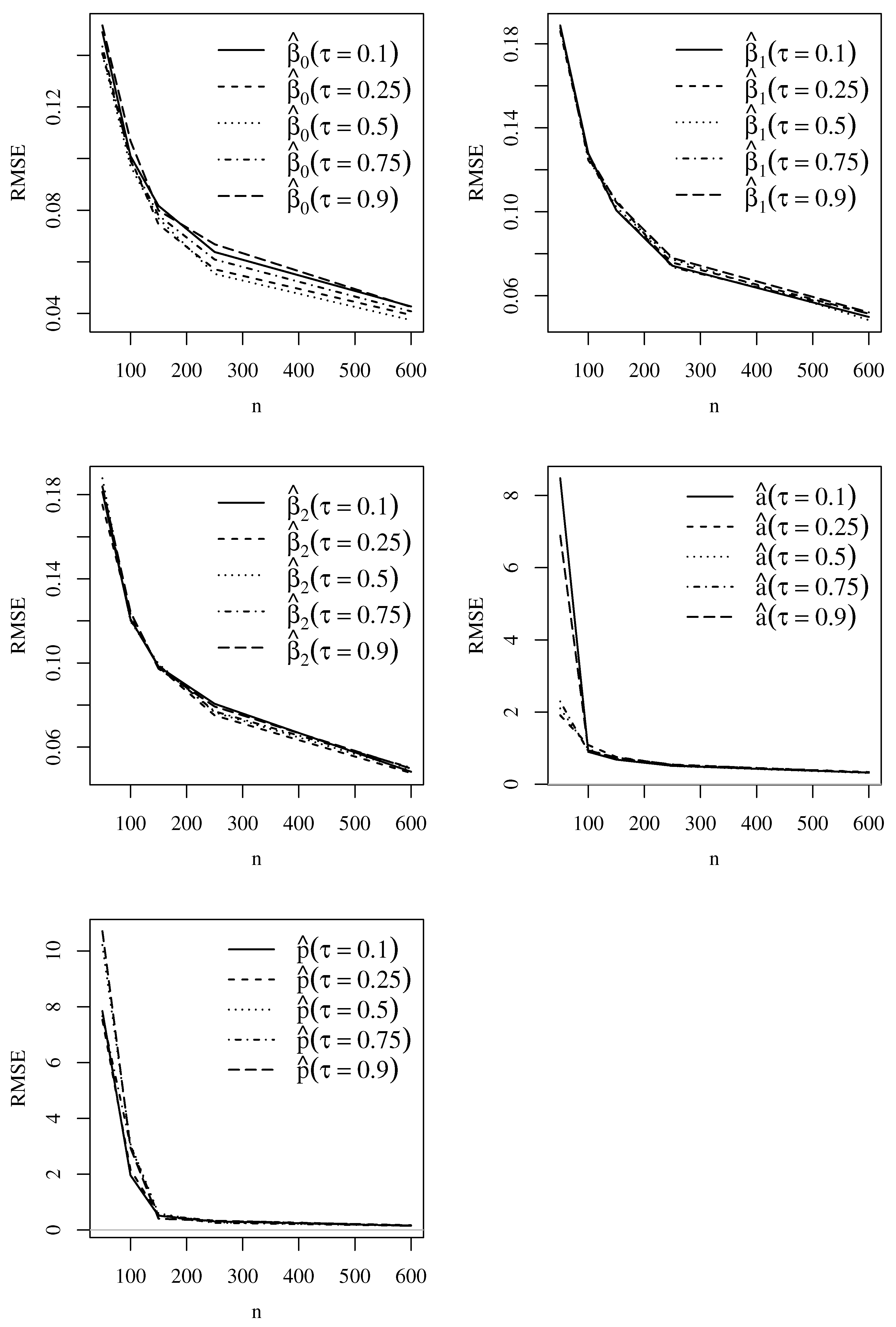
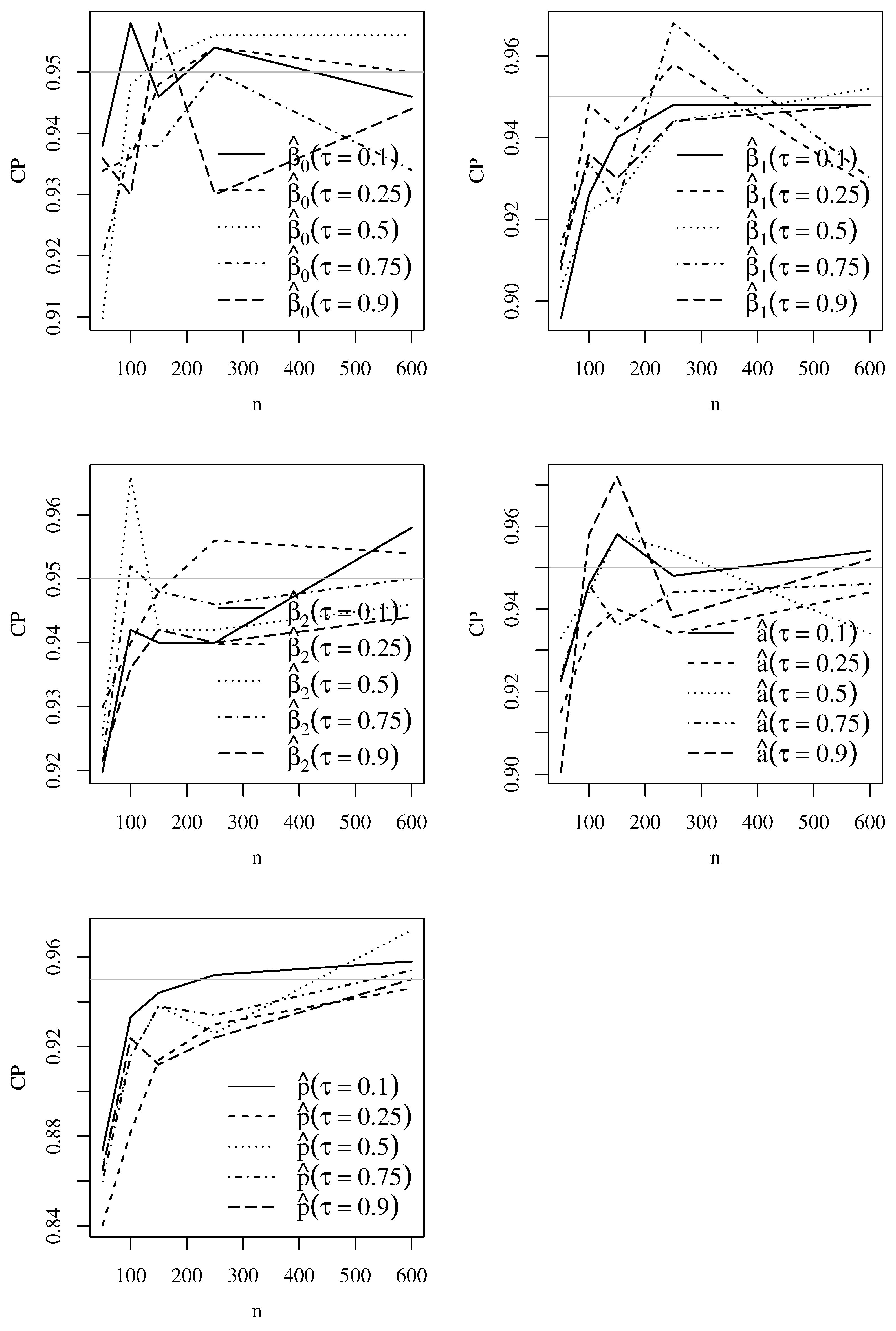
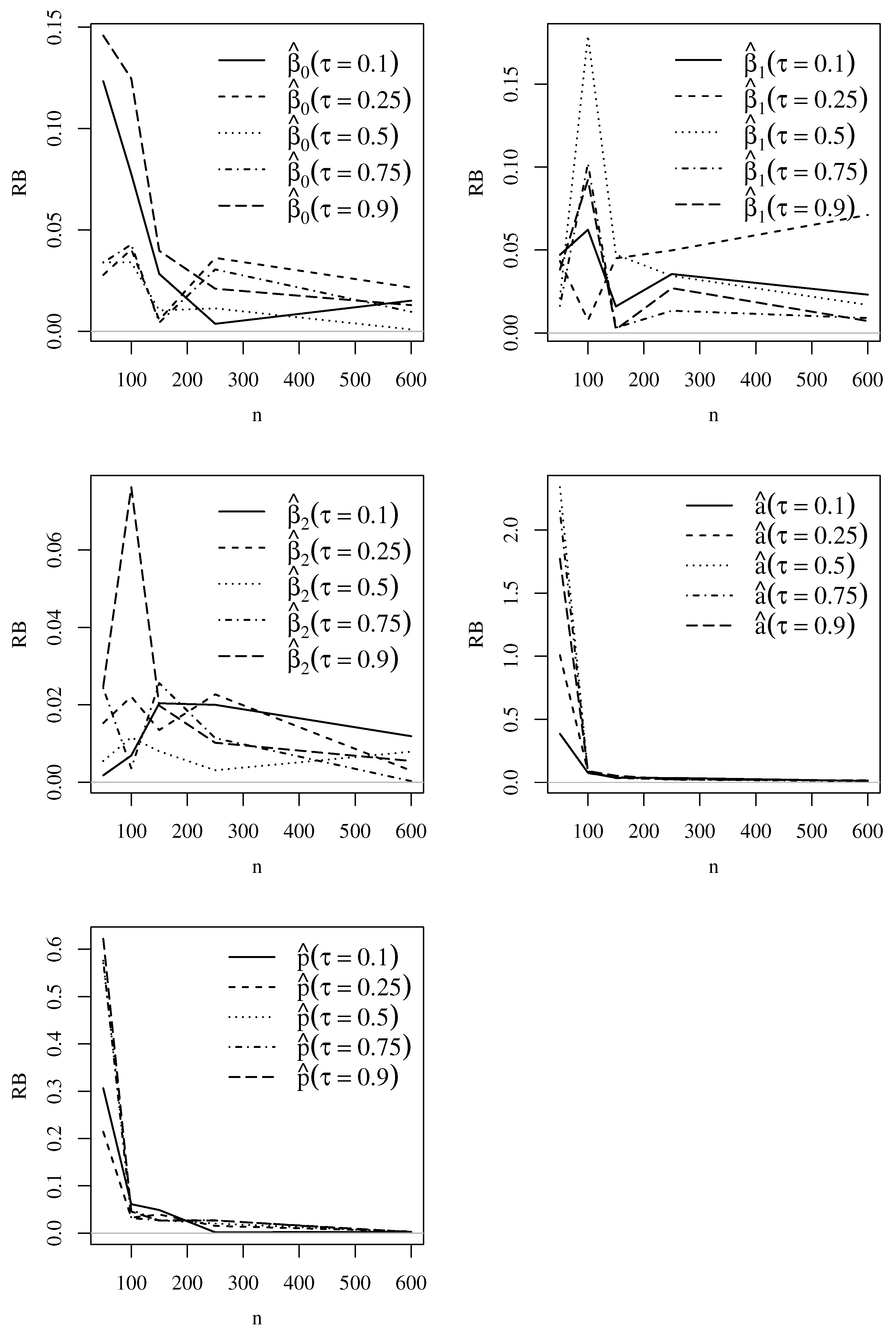
3.4. Simulations
4. Application to Income Data
4.1. Data Set and Variables
4.2. Exploratory Data Analysis
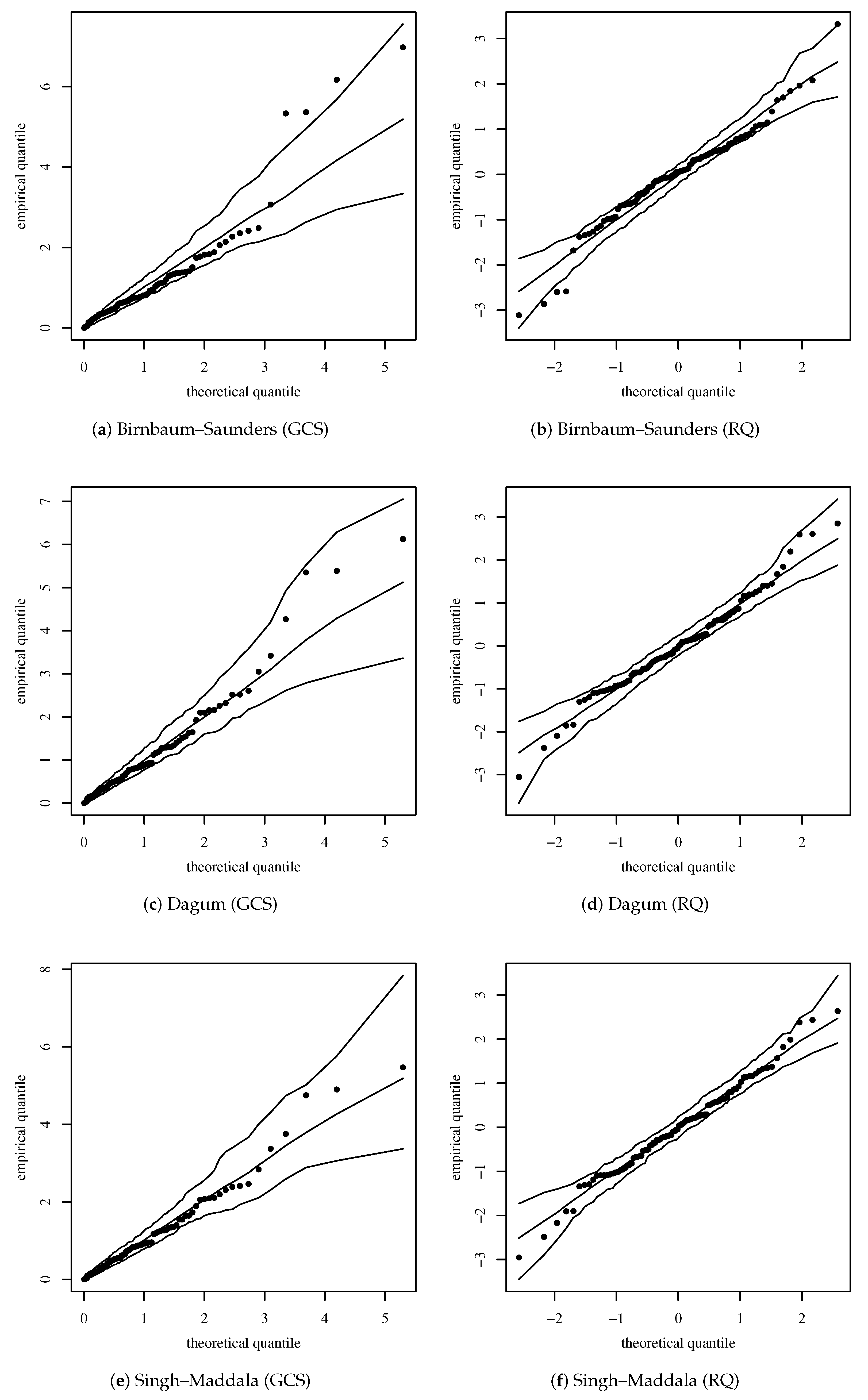
4.3. Modeling
5. Concluding Remarks
5.1. Economic Statements
5.2. Concluding Remarks
5.3. Further Investigation
Author Contributions
Funding
Data Availability Statement
Acknowledgments
Conflicts of Interest
References
- Galarza, C.E.; Zhang, P.; Lachos, V.H. Logistic quantile regression for bounded outcomes using a family of heavy-tailed distributions. Sankhya B 2021, 83, 325–349. [Google Scholar] [CrossRef]
 - Sánchez, L.; Leiva, V.; Saulo, H.; Marchant, C.; Sarabia, J.M. A new quantile regression model and its diagnostic analytics for a Weibull distributed response with applications. Mathematics 2021, 9, 2768. [Google Scholar] [CrossRef]
 - Saulo, H.; Dasilva, A.; Leiva, V.; Sánchez, L.; Fuente-Mella, H.L. Log-symmetric quantile regression models. Stat. Neerl. 2021, 76, 124–163. [Google Scholar] [CrossRef]
 - Haupt, H.; Fritsch, M. Quantile trend regression and its application to central England temperature. Mathematics 2022, 10, 413. [Google Scholar] [CrossRef]
 - Shin, K.; You, S. Quantile regression analysis between the after-school exercise and the academic performance of Korean middle school students. Mathematics 2021, 10, 58. [Google Scholar] [CrossRef]
 - Koenker, R. Quantile Regression; Cambridge University Press: Cambridge, UK, 2005. [Google Scholar]
 - Pareto, V. Cours d’éEonomie Politique; Librairie Droz: Paris, France, 1897; Volume 1. [Google Scholar]
 - Reed, W.J. The Pareto law of incomes—An explanation and an extension. Phys. A Stat. Mech. Its Appl. 2003, 319, 469–486. [Google Scholar] [CrossRef]
 - Shirras, G.F. The Pareto law and the distribution of income. Econ. J. 1935, 45, 663–681. [Google Scholar] [CrossRef]
 - Johnson, N.L.; Kotz, S.; Balakrishnan, N. Continuous Univariate Distributions; Wiley: New York, NY, USA, 1995; Volume 2. [Google Scholar]
 - Kotz, S.; Leiva, V.; Sanhueza, A. Two new mixture models related to the inverse Gaussian distribution. Methodol. Comput. Appl. Probab. 2010, 12, 199–212. [Google Scholar] [CrossRef]
 - Cramer, J.S. Empirical Econometrics; North-Holland: Amsterdam, The Netherlands, 1971. [Google Scholar]
 - Dagum, C. A new model of personal income distribution: Specification and estimation. In Modeling Income Distributions and Lorenz Curves; Springer: New York, NY, USA, 2008; pp. 3–25. [Google Scholar]
 - Dagum, C. Un modèle Nonlinéaire de Répartition Fonctionnelle du Revenu; Department of Economical Sciences, University of Ottawa: Ottawa, ON, Canada, 1973. [Google Scholar]
 - Dagum, C. A model of income distribution and the conditions of existence of moments of finite order. Bull. Int. Stat. Inst. 1975, 46, 199–205. [Google Scholar]
 - Elbatal, I.; Aryal, G. Transmuted Dagum distribution with applications. Chil. J. Stat. 2015, 6, 31–45. [Google Scholar]
 - Kleiber, C. A guide to the Dagum distributions. In Modeling Income Distributions and Lorenz Curves; Springer: New York, NY, USA, 2008; pp. 97–117. [Google Scholar]
 - Krämer, W.; Ziebach, T. The Weak Pareto Law and Regular Variation in the Tails; Technical Report; University of Dortmund: Dortmund, Germany, 2002. [Google Scholar]
 - Singh, S.; Maddala, G.S. A function for size distribution of incomes. In Modeling Income Distributions and Lorenz Curves; Springer: New York, NY, USA, 2008; pp. 27–35. [Google Scholar]
 - Kumar, D. The Singh-Maddala distribution: Properties and estimation. Int. J. Syst. Assur. Eng. Manag. 2017, 8, 1297–1311. [Google Scholar] [CrossRef]
 - Hajargasht, G.; Griffiths, W.E.; Brice, J.; Rao, D.P.; Chotikapanich, D. Inference for income distributions using grouped data. J. Bus. Econ. Stat. 2012, 30, 563–575. [Google Scholar] [CrossRef]
 - Kleiber, C. Dagum vs. Singh-Maddala income distributions. Econ. Lett. 1996, 53, 265–268. [Google Scholar] [CrossRef]
 - Jodrá, P.; Jiménez-Gamero, M.D. A quantile regression model for bounded responses based on the exponential-geometric distribution. REVSTAT—Stat. J. 2020, 4, 415–436. [Google Scholar]
 - Korkmaz, M.Ç.; Chesneau, C. On the unit Burr-XII distribution with the quantile regression modeling and applications. Comput. Appl. Math. 2021, 40, 29. [Google Scholar] [CrossRef]
 - Korkmaz, M.Ç.; Chesneau, C.; Korkmaz, Z.S. A new alternative quantile regression model for the bounded response with educational measurements applications of OECD countries. J. Appl. Stat. 2023, 50, 131–154. [Google Scholar] [CrossRef]
 - Korkmaz, M.Ç.; Chesneau, C.; Korkmaz, Z.S. On the arcsecant hyperbolic normal distribution. Properties, quantile regression modeling and applications. Symmetry 2021, 13, 117. [Google Scholar] [CrossRef]
 - Korkmaz, M.Ç.; Chesneau, C.; Korkmaz, Z.S. Transmuted unit Rayleigh quantile regression model: Alternative to beta and Kumaraswamy quantile regression models. Univ. Politeh. Buchar. Sci. Bull. A Appl. Math. Phys. 2021, 83, 149–158. [Google Scholar]
 - Korkmaz, M.Ç.; Emrah, A.; Chesneau, C.; Yousof, H.M. On the unit-Chen distribution with associated quantile regression and applications. Math. Slovaca 2021, 72, 765–786. [Google Scholar] [CrossRef]
 - Korkmaz, M.Ç.; Korkmaz, Z.S. The unit log–log distribution: A new unit distribution with alternative quantile regression modeling and educational measurements applications. J. Appl. Stat. 2023. [Google Scholar] [CrossRef]
 - Mazucheli, M.; Alves, B.; Korkmaz, M.C.; Leiva, V. Vasicek quantile and mean regression models for bounded data: New formulation, mathematical derivations, and numerical applications. Mathematics 2022, 10, 1389. [Google Scholar] [CrossRef]
 - Mazucheli, M.; Korkmaz, M.C.; Menezes, A.F.B.; Leiva, V. The unit generalized half-normal quantile regression model: Formulation, estimation, diagnostics, and numerical applications. Soft Comput. 2023, 27, 279–295. [Google Scholar] [CrossRef] [PubMed]
 - Saulo, H.; Vila, R.; Bittencourt, V.L.; Leao, J.; Leiva, V.; Christakos, G. On a new extreme value distribution: Characterization, parametric quantile regression, and application to extreme air pollution events. Stoch. Environ. Res. Risk Assess. 2023. [Google Scholar] [CrossRef]
 - Mazucheli, J.; Leiva, V.; Alves, B.; Menezes, A.F.B. A new quantile regression for modeling bounded data under a unit Birnbaum-Saunders distribution with applications in medicine and politics. Symmetry 2021, 13, 682. [Google Scholar] [CrossRef]
 - Mazucheli, J.; Menezes, A.F.B.; Fernandes, L.B.; de Oliveira, R.P.; Ghitany, M.E. The unit-Weibull distribution as an alternative to the Kumaraswamy distribution for the modeling of quantiles conditional on covariates. J. Appl. Stat. 2020, 47, 954–974. [Google Scholar] [CrossRef]
 - Mazucheli, J.; Menezes, A.F.B.; Ghitany, M.E. The unit-Weibull distribution and associated inference. J. Appl. Probab. Stat. 2018, 13, 1–22. [Google Scholar]
 - Mazucheli, M.; Alves, B.; Menezes, A.F.B.; Leiva, V. An overview on parametric quantile regression models and their computational implementation with applications to biomedical problems including COVID-19 data. Comput. Methods Programs Biomed. 2022, 221, 106816. [Google Scholar] [CrossRef] [PubMed]
 - Sánchez, L.; Leiva, V.; Galea, M.; Saulo, H. Birnbaum-saunders quantile regression and its diagnostics with application to economic data. Appl. Stoch. Model. Bus. Ind. 2021, 37, 53–73. [Google Scholar] [CrossRef]
 - Guiraud, P.; Leiva, V.; Fierro, R. A non-central version of the Birnbaum-Saunders distribution for reliability analysis. IEEE Trans. Reliab. 2009, 58, 152–160. [Google Scholar] [CrossRef]
 - Klugman, S.A.; Panjer, H.H.; Willmot, G.E. Loss Models: From Data to Decisions; Wiley: New York, NY, USA, 2019. [Google Scholar]
 - Gradshteyn, I.; Ryzhik, I. Table of Integrals, Series and Products; Academic Press: San Diego, CA, USA, 2015. [Google Scholar]
 - Mittelhammer, R.C.; Judge, G.G.; Miller, D.J. Econometric Foundations Pack with CD-ROM; Cambridge University Press: Cambridge, UK, 2000. [Google Scholar]
 - Cox, D.R.; Hinkley, D.V. Theoretical Statistics; CRC Press: Boca-Raton, FL, USA, 1979. [Google Scholar]
 - Mazucheli, J.; Menezes, A.F.; Dey, S. The unit-Birnbaum-Saunders distribution with applications. Chil. J. Stat. 2018, 9, 47–57. [Google Scholar]
 - Huerta, M.; Leiva, V.; Liu, S.; Rodriguez, M.; Villegas, D. On a partial least squares regression model for asymmetric data with a chemical application in mining. Chemom. Intell. Lab. Syst. 2019, 190, 55–68. [Google Scholar] [CrossRef]
 - Leao, J.; Leiva, V.; Saulo, H.; Tomazella, V. Incorporation of frailties into a cure rate regression model and its diagnostics and application to melanoma data. Stat. Med. 2018, 37, 4421–4440. [Google Scholar] [CrossRef] [PubMed]
 - Marchant, C.; Leiva, V.; Cavieres, M.F.; Sanhueza, A. Air contaminant statistical distributions with application to PM10 in Santiago, Chile. Rev. Environ. Contam. Toxicol. 2013, 223, 1–31. [Google Scholar] [PubMed]
 - Mazucheli, J.; Bapat, S.R.; Menezes, A.F.B. A new one-parameter unit-Lindley distribution. Chil. J. Stat. 2020, 11, 53–67. [Google Scholar]
 - Rousseeuw, P.; Croux, C.; Todorov, V.; Ruckstuhl, A.; Salibian-Barrera, M.; Verbeke, T.; Koller, M.; Maechler, M. Robustbase: Basic Robust Statistics. R Package Version 0.92-6. 2016. Available online: https://cran.r-project.org/web/packages/robustbase/index.html (accessed on 18 December 2022).
 - R Core Team. R: A Language and Environment for Statistical Computing; R Foundation for Statistical Computing: Vienna, Austria, 2019. [Google Scholar]
 - Ventura, M.; Saulo, H.; Leiva, V.; Monsueto, S. Log-symmetric regression models: Information criteria, application to movie business and industry data with economic implications. Appl. Stoch. Model. Bus. Ind. 2019, 35, 963–977. [Google Scholar] [CrossRef]
 - Leiva, V.; Saulo, H.; Leao, J.; Marchant, C. A family of autoregressive conditional duration models applied to financial data. Comput. Stat. Data Anal. 2014, 79, 175–191. [Google Scholar] [CrossRef]
 - Garcia-Papani, F.; Leiva, V.; Ruggeri, F.; Uribe-Opazo, M.A. Kriging with external drift in a Birnbaum-Saunders geostatistical model. Stoch. Environ. Res. Risk Assess. 2018, 32, 1517–1530. [Google Scholar] [CrossRef]
 - Garcia-Papani, F.; Leiva, V.; Uribe-Opazo, M.A.; Aykroyd, R.G. Birnbaum-Saunders spatial regression models: Diagnostics and application to chemical data. Chemom. Intell. Lab. Syst. 2018, 177, 114–128. [Google Scholar] [CrossRef]
 - Marchant, C.; Leiva, V.; Cysneiros, F.J.A.; Liu, S. Robust multivariate control charts based on Birnbaum-Saunders distributions. J. Stat. Comput. Simul. 2018, 88, 182–202. [Google Scholar] [CrossRef]
 - Martinez, S.; Giraldo, R.; Leiva, V. Birnbaum-Saunders functional regression models for spatial data. Stoch. Environ. Res. Risk Assess. 2019, 33, 1765–1780. [Google Scholar] [CrossRef]
 - Saulo, H.; Leao, J.; Leiva, V.; Aykroyd, R.G. Birnbaum-Saunders autoregressive conditional duration models applied to high-frequency financial data. Stat. Pap. 2019, 60, 1605–1629. [Google Scholar] [CrossRef]
 - Leiva, V.; Sanchez, L.; Galea, M.; Saulo, H. Global and local diagnostic analytics for a geostatistical model based on a new approach to quantile regression. Stoch. Environ. Res. Risk Assess. 2020, 34, 1457–1471. [Google Scholar] [CrossRef]
 - Sanchez, L.; Leiva, V.; Galea, M.; Saulo, H. Birnbaum-Saunders quantile regression models with application to spatial data. Mathematics 2020, 8, 1000. [Google Scholar] [CrossRef]
 - Desousa, M.; Saulo, H.; Leiva, V.; Scalco, P. On a tobit-Birnbaum-Saunders model with an application to medical data. J. Appl. Stat. 2018, 45, 932–955. [Google Scholar] [CrossRef]
 - Cysneiros, F.J.A.; Leiva, V.; Liu, S.; Marchant, C.; Scalco, P. A Cobb-Douglas type model with stochastic restrictions: Formulation, local influence diagnostics and data analytics in economics. Qual. Quant. 2019, 53, 1693–1719. [Google Scholar] [CrossRef]
 - de la Fuente-Mella, H.; Rojas-Fuentes, J.L.; Leiva, V. Econometric modeling of productivity and technical efficiency in the Chilean manufacturing industry. Comput. Ind. Eng. 2020, 139, 105793. [Google Scholar] [CrossRef]
 - Leiva, V.; dos Santos, R.A.; Saulo, H.; Marchant, C.; Lio, Y. Bootstrap control charts for quantiles based on log-symmetric distributions with applications to monitoring of reliability data. Qual. Reliab. Eng. Int. 2023, 39, 1–24. [Google Scholar] [CrossRef]
 
















| Distribution | Traditional PDF | : -th Quantile | Substitution | Quantile-Based PDF | 
|---|---|---|---|---|
| Singh–Maddala | ||||
| Dagum | 
| Mean | Median | Sd | Coefficient of Variation | Coefficient of Skewness | Coefficient of Kurtosis | Minimum | Maximum | n | 
|---|---|---|---|---|---|---|---|---|
| 698.80 | 938.10 | 837.52 | 0.89 | 2.45 | 11.03 | 70 | 5369.90 | 100 | 
| Parameter | Birnbaum–Saunders  ()  | Dagum  ()  | Singh–Maddala  ()  | 
|---|---|---|---|
| 198.0903 * | 150.8307 * | 137.8478 * | |
| (22.3166) | (3.0771) | ( 3.2826) | |
| 1.0440 * | 1.1173 * | 1.1252 * | |
| (0.0870) | (0.0636) | (0.0569) | |
| 1.1090 * | 1.2424 * | 1.2805 * | |
| (0.1502) | (0.1172) | (0.1103) | |
| 1.0865 * | 1.1562 * | 1.1730 * | |
| (0.1759) | (0.1395) | (0.1382) | |
| 0.3646 * | |||
| (0.0087) | |||
| a | 4.3720 | 8.3380 | |
| (0.5692) | (1.4720) | ||
| 2.2100 | 0.4034 | ||
| (1.0290) | (0.1144) | ||
| Log-likelihood | −692.8373 | −686.9182 | −685.2337 | 
| AIC | 1395.675 | 1385.836 | 1382.467 | 
| BIC | 1408.701 | 1386.740 | 1383.371 | 
Disclaimer/Publisher’s Note: The statements, opinions and data contained in all publications are solely those of the individual author(s) and contributor(s) and not of MDPI and/or the editor(s). MDPI and/or the editor(s) disclaim responsibility for any injury to people or property resulting from any ideas, methods, instructions or products referred to in the content.  | 
© 2023 by the authors. Licensee MDPI, Basel, Switzerland. This article is an open access article distributed under the terms and conditions of the Creative Commons Attribution (CC BY) license (https://creativecommons.org/licenses/by/4.0/).
Share and Cite
Saulo, H.; Vila, R.; Borges, G.V.; Bourguignon, M.; Leiva, V.; Marchant, C. Modeling Income Data via New Parametric Quantile Regressions: Formulation, Computational Statistics, and Application. Mathematics 2023, 11, 448. https://doi.org/10.3390/math11020448
Saulo H, Vila R, Borges GV, Bourguignon M, Leiva V, Marchant C. Modeling Income Data via New Parametric Quantile Regressions: Formulation, Computational Statistics, and Application. Mathematics. 2023; 11(2):448. https://doi.org/10.3390/math11020448
Chicago/Turabian StyleSaulo, Helton, Roberto Vila, Giovanna V. Borges, Marcelo Bourguignon, Víctor Leiva, and Carolina Marchant. 2023. "Modeling Income Data via New Parametric Quantile Regressions: Formulation, Computational Statistics, and Application" Mathematics 11, no. 2: 448. https://doi.org/10.3390/math11020448
APA StyleSaulo, H., Vila, R., Borges, G. V., Bourguignon, M., Leiva, V., & Marchant, C. (2023). Modeling Income Data via New Parametric Quantile Regressions: Formulation, Computational Statistics, and Application. Mathematics, 11(2), 448. https://doi.org/10.3390/math11020448
        
