The Maximum Correntropy Criterion-Based Identification for Fractional-Order Systems under Stable Distribution Noises
Abstract
:1. Introduction
2. Preliminaries
2.1. Definition of Fractional-Order Integral and Derivative
2.2. Generalized Operational Matrices of Block Pulse Functions
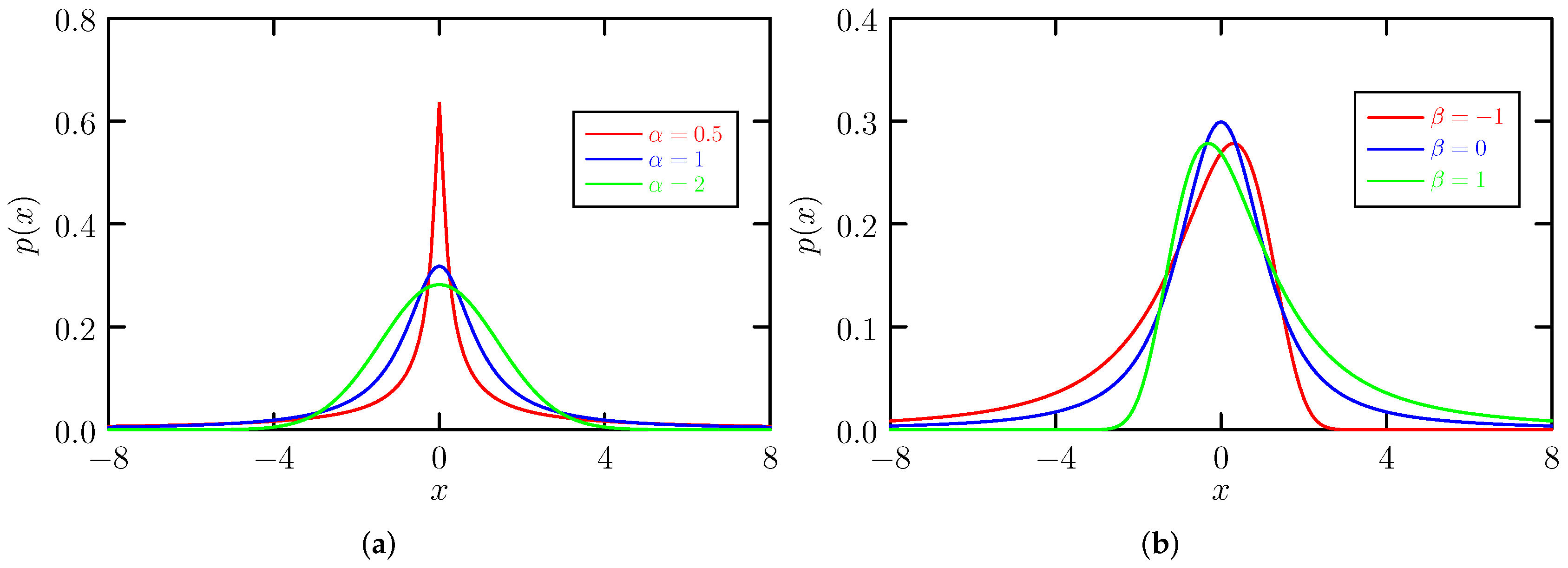
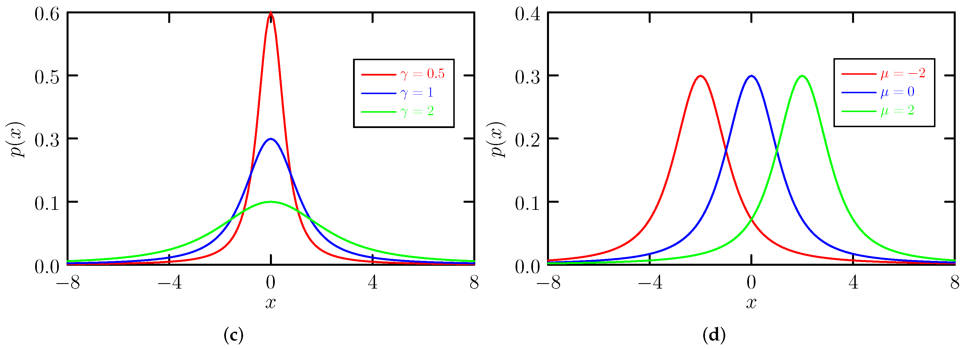
2.3. Stable Distribution for Impulse Noise
- Gaussian distribution: When , the stable distribution turns to be a Gaussian distribution, and the skewness loses its effect. The probability density function of Gaussian distribution is written as:
- Cauchy distribution: When and , the stable distribution turns to be a Cauchy distribution. The probability density function of Cauchy distribution is written as:
- Lévy distribution: When and , the stable distribution reduces to be a Lévy distribution, and the probability density function of Lévy distribution is written as:
3. Parameter Identification of FOS Based on MCC
3.1. Problem Formulation
3.2. Correntropy
3.3. Parameter Identification Based on Maximum Correntropy Criterion
- 1.
- In a certain noisy environment, when , , then the MCC-SGA algorithm degenerates intowhich is the LMS-based stochastic gradient descent (LMS-SGD) algorithm.
- 2.
- The MCC-SGA algorithm can be regarded as the LMS-SGD algorithm with a variable step size , satisfying . This leads to the convergence of the MCC-SGA algorithm being slightly slower than that of the LMS-SGD algorithm when using the same step size. But it also makes the MCC-SGA algorithm be more robust to change of step size.
- 3.
- For a given , if the prediction error is far from 0, the term will approximate to 0, then the MCC-SGA algorithm stops updating. Thus, the MCC-SGA algorithm given in Equation (38) has good robustness to the noise. And the smaller the value of , the higher robustness the MCC-SGA algorithm has.
3.4. Analysis of Estimation Bias
4. Experiments and Results Analysis
4.1. Example 1
4.2. Example 2
5. Conclusions
Funding
Data Availability Statement
Conflicts of Interest
Abbreviations
| FOS | Fractional-order system |
| FOC | Fractional-order calculus |
| R-L | Riemann–Liouville |
| G-L | Grünwald–Letnikov |
| BPFs | Block pulse functions |
| MCC | Maximum correntropy criterion |
| LMS | Least mean square |
| MSE | Mean square error |
| MCC-SGA | MCC-based stochastic gradient ascent |
| LMS-SGD | LMS-based stochastic gradient descent |
References
- Cai, W.; Wang, P.; Fan, J. A variable-order fractional model of tensile and shear behaviors for sintered nano-silver paste used in high power electronics-ScienceDirect. Mech. Mater. 2020, 145, 103391. [Google Scholar] [CrossRef]
- Nasser-Eddine, A.; Huard, B.; Gabano, J.D.; Poinot, T.; Thomas, A. Fast time domain identification of electrochemical systems at low frequencies using fractional modeling. J. Electroanal. Chem. 2020, 862, 113957. [Google Scholar] [CrossRef]
- Wang, Y.; Sun, L.; Yang, R.; He, W.; Tang, Y.; Zhang, Z.; Wang, Y.; Sapnken, F.E. A novel structure adaptive fractional derivative grey model and its application in energy consumption prediction. Energy 2023, 282, 128380. [Google Scholar] [CrossRef]
- Xie, B.; Ge, F. Parameters and order identification of fractional-order epidemiological systems by Lévy-PSO and its application for the spread of COVID-19. Chaos Solitons Fractals 2023, 168, 113163. [Google Scholar] [CrossRef]
- Zhang, X.; Chen, S.; Zhang, J. Adaptive sliding mode consensus control based on neural network for singular fractional order multi-agent systems. Appl. Math. Comput. 2022, 434, 127442. [Google Scholar] [CrossRef]
- Jin, K.; Zhang, J.; Zhang, X. Output Feedback Robust Fault-Tolerant Control of Interval Type-2 Fuzzy Fractional Order Systems With Actuator Faults. Int. J. Fuzzy Syst. 2022, 24, 3277–3292. [Google Scholar] [CrossRef]
- Yu, W.; Luo, Y.; Pi, Y.G. Fractional order modeling and control for permanent magnet synchronous motor velocity servo system. Mechatronics 2013, 23, 813–820. [Google Scholar] [CrossRef]
- Kothari, K.; Mehta, U.; Vanualailai, J. A novel approach of fractional-order time delay system modeling based on Haar wavelet. ISA Trans. 2018, 80, 371–380. [Google Scholar] [CrossRef]
- Malti, R.; Raïssi, T.; Thomassin, M.; Khemane, F. Set membership parameter estimation of fractional models based on bounded frequency domain data. Commun. Nonlinear Sci. Numer. Simul. 2010, 15, 927–938. [Google Scholar] [CrossRef]
- Valério, D.; Tejado, I. Identifying a non-commensurable fractional transfer function from a frequency response. Signal Process. 2015, 107, 254–264. [Google Scholar] [CrossRef]
- Jun, L.; Thierry, P.; Shoutao, L.; Claude, T.J. Identification of non-integer-order systems in frequency domain. Control. Theory Appl. 2008, 25, 517–520. (In Chinese) [Google Scholar]
- Li, Y.; Yu, S. Frequency domain identification of non-integer order dynamical systems. J. Southeast Univ. (Engl. Ed.) 2007, 23, 47–50. [Google Scholar]
- Victor, S.; Malti, R.; Oustaloup, A. An Optimal Instrumental Variable Method for Continuous-Time Fractional Model Identification. IFAC Proc. Vol. 2008, 41, 14379–14384. [Google Scholar]
- Duhé, J.F.; Victor, S.; Melchior, P.; Abdelmounen, Y.; Roubertie, F. Recursive system identification for coefficient estimation of continuous-time fractional order systems. IFAC-PapersOnLine 2021, 54, 114–119. [Google Scholar] [CrossRef]
- Du, W.; Tong, L.; Tang, Y. Metaheuristic optimization-based identification of fractional-order systems under stable distribution noises. Phys. Lett. A 2018, 382, 2313–2320. [Google Scholar] [CrossRef]
- Tang, Y.; Li, N.; Liu, M.; Lu, Y.; Wang, W. Identification of fractional-order systems with time delays using block pulse functions. Mech. Syst. Signal Process. 2017, 91, 382–394. [Google Scholar] [CrossRef]
- Xie, J.; Wang, T.; Ren, Z.; Zhang, J.; Quan, L. Haar wavelet method for approximating the solution of a coupled system of fractional-order integral-differential equations. Math. Comput. Simul. 2019, 163, 80–89. [Google Scholar] [CrossRef]
- Wang, Z.; Wang, C.; Ding, L.; Wang, Z.; Liang, S. Parameter identification of fractional-order time delay system based on Legendre wavelet. Mech. Syst. Signal Process. 2022, 163, 108141. [Google Scholar] [CrossRef]
- Gao, G.; Sun, G.; Na, J.; Guo, Y.; Wu, X. Structural parameter identification for 6 DOF industrial robots. Mech. Syst. Signal Process. 2018, 113, 145–155. [Google Scholar] [CrossRef]
- Zhang, T.; Lu, Z.-R.; Liu, J.-K.; Chen, Y.-M.; Liu, G. Parameter estimation of linear fractional-order system from laplace domain data. Appl. Math. Comput. 2023, 438, 127522. [Google Scholar] [CrossRef]
- Cui, R.; Wei, Y.; Cheng, S.; Wang, Y. An innovative parameter estimation for fractional order systems with impulse noise. ISA Trans. 2018, 82, 120–129. [Google Scholar] [CrossRef] [PubMed]
- Liu, Y.; Chen, J. Correntropy-based kernel learning for nonlinear system identification with unknown noise: An industrial case study. IFAC Proc. Vol. 2013, 46, 361–366. [Google Scholar] [CrossRef]
- Yu, L.; Liu, L.; Yue, Z.; Kang, J. A maximum correntropy criterion based recursive method for output-only modal identification of time-varying structures under non-Gaussian impulsive noise. J. Sound Vib. 2019, 448, 178–194. [Google Scholar] [CrossRef]
- Lv, S.; Zhao, H.; Zhou, L. Maximum mixture total correntropy adaptive filtering against impulsive noises. Signal Process. 2021, 189, 108236. [Google Scholar] [CrossRef]
- Zhao, J.; Zhang, J.A.; Li, Q.; Zhang, H.; Wang, X. Recursive constrained generalized maximum correntropy algorithms for adaptive filtering. Signal Process. 2022, 199, 108611. [Google Scholar] [CrossRef]
- Wang, B.; Gao, S.; Ge, H.; Wang, W. A Variable Step Size for Maximum Correntropy Criterion Algorithm with Improved Variable Kernel Width. IEEJ Trans. Electr. Electron. Eng. 2020, 15, 1465–1474. [Google Scholar] [CrossRef]
- Li, Y.; Jia, L.; Yang, Z.J.; Tao, R. Diffusion bias-compensated recursive maximum correntropy criterion algorithm with noisy input. Digit. Signal Process. 2022, 122, 103373. [Google Scholar] [CrossRef]
- Tian, T.; Wu, F.-Y.; Yang, K. Block-sparsity regularized maximum correntropy criterion for structured-sparse system identification. J. Frankl. Inst. 2020, 357, 12960–12985. [Google Scholar] [CrossRef]
- Podlubny, I. Fractional Differential Equations: An Introduction to Fractional Derivatives, Fractional Differential Equations, to Methods of Their Solution and Some of Their Applications; Academic: San Diego, CA, USA, 1998. [Google Scholar]
- Tang, Y.; Liu, H.; Wang, W.; Lian, Q.; Guan, X. Parameter identification of fractional order systems using block pulse functions. Signal Process. 2015, 107, 272–281. [Google Scholar] [CrossRef]
- Babolian, E.; Masouri, Z. Direct method to solve Volterra integral equation of the first kind using operational matrix with block-pulse functions. J. Comput. Appl. Math. 2008, 220, 51–57. [Google Scholar] [CrossRef]
- Zhang, B.; Tang, Y.; Zhang, X.; Lu, Y. Operational matrix based set-membership method for fractional order systems parameter identification. J. Frankl. Inst. 2021, 358, 10141–10164. [Google Scholar] [CrossRef]
- Li, J.; Hua, C.; Tang, Y.; Guan, X. Stochastic gradient with changing forgetting factor-based parameter identification for Wiener systems. Appl. Math. Lett. 2014, 33, 40–45. [Google Scholar] [CrossRef]













| MCC-SGA | ||||
| LMS-SGD | ∞ |
| Noise | Parameter | True Value | MCC-SGA | LMS-SGD | ||
|---|---|---|---|---|---|---|
| avg | std | avg | std | |||
| Gaussian | 1 | |||||
| b | 3 | |||||
| - | - | - | ||||
| Cauchy | 1 | |||||
| b | 3 | |||||
| - | - | - | ||||
| Lévy | 1 | ∞ | ∞ | |||
| b | 3 | ∞ | ∞ | |||
| - | - | ∞ | - | |||
| , | , | ||||||
| , | , | ||||||
| , | , | ||||||
| , | , | ||||||
| , | , | ||||||
| , | , | ||||||
| Noise | Parameter | True Value | MCC-SGA | LMS-SGD | ||
|---|---|---|---|---|---|---|
| avg | std | avg | std | |||
| 2 | ||||||
| 5 | ||||||
| b | 4 | |||||
| - | - | - | ||||
| 2 | ||||||
| 5 | ||||||
| b | 4 | |||||
| - | - | - | ||||
Disclaimer/Publisher’s Note: The statements, opinions and data contained in all publications are solely those of the individual author(s) and contributor(s) and not of MDPI and/or the editor(s). MDPI and/or the editor(s) disclaim responsibility for any injury to people or property resulting from any ideas, methods, instructions or products referred to in the content. |
© 2023 by the author. Licensee MDPI, Basel, Switzerland. This article is an open access article distributed under the terms and conditions of the Creative Commons Attribution (CC BY) license (https://creativecommons.org/licenses/by/4.0/).
Share and Cite
Lu, Y. The Maximum Correntropy Criterion-Based Identification for Fractional-Order Systems under Stable Distribution Noises. Mathematics 2023, 11, 4299. https://doi.org/10.3390/math11204299
Lu Y. The Maximum Correntropy Criterion-Based Identification for Fractional-Order Systems under Stable Distribution Noises. Mathematics. 2023; 11(20):4299. https://doi.org/10.3390/math11204299
Chicago/Turabian StyleLu, Yao. 2023. "The Maximum Correntropy Criterion-Based Identification for Fractional-Order Systems under Stable Distribution Noises" Mathematics 11, no. 20: 4299. https://doi.org/10.3390/math11204299
APA StyleLu, Y. (2023). The Maximum Correntropy Criterion-Based Identification for Fractional-Order Systems under Stable Distribution Noises. Mathematics, 11(20), 4299. https://doi.org/10.3390/math11204299

