Next Article in Journal
Transient Convective Heat Transfer in Porous Media
Next Article in Special Issue
Metaheuristic Procedures for the Determination of a Bank of Switching Observers toward Soft Sensor Design with Application to an Alcoholic Fermentation Process
Previous Article in Journal
A Customized ADMM Approach for Large-Scale Nonconvex Semidefinite Programming
Previous Article in Special Issue
Neuroadaptive Dynamic Surface Asymptotic Tracking Control of a VTOL Aircraft with Unknown Dynamics and External Disturbances
 
 
Font Type:
Arial Georgia Verdana
Font Size:
Aa Aa Aa
Line Spacing:
Column Width:
Background:
Article

A Simplified Controller Design for Fixed/Preassigned-Time Synchronization of Stochastic Discontinuous Neural Networks

1
School of Automation, China University of Geosciences, Wuhan 430074, China
2
College of Information Engineering (College of Artificial Intelligence), Yangzhou University, Yangzhou 225127, China
*
Author to whom correspondence should be addressed.
Mathematics 2023, 11(21), 4414; https://doi.org/10.3390/math11214414
Submission received: 12 September 2023 / Revised: 23 September 2023 / Accepted: 25 September 2023 / Published: 25 October 2023
(This article belongs to the Special Issue Artificial Neural Networks and Dynamic Control Systems)

Abstract

:
This paper addresses the synchronization problem of delayed stochastic neural networks with discontinuous activation functions (DSNNsDF), specifically focusing on fixed/preassigned-time synchronization. The objective is to develop a class of simplified controllers capable of effectively addressing the challenges posed by time delays, discontinuous activation functions, and stochastic perturbations during the synchronization process. In this regard, we propose several controllers with simpler structures to achieve the desired preassigned-time synchronization (PTS) result. To enhance the accuracy of time estimation, stochastic fixed-time control theory is employed. Rigorous numerical simulations are conducted to validate the effectiveness of our approach. The utilization of our proposed results significantly improves the performance of the synchronization controller for DSNNsDF, thereby enabling advancements and diverse applications in the field.

1. Introduction

Neural networks (NNs) have been of interest to scholars since they simulate biological network models and find their numerical applications in pattern recognition [1], optimization [2] and so on. The introduction of energy functions into recursive NNs by biophysicist Hopfield established the basis for stability analysis and opened the door to dynamical analysis of NNs. This approach has led to remarkable insights into the inner workings of NNs and has explored new possibilities for applications [3,4]. Synchronization, a significant dynamical property, refers to the convergence of different NN states to the same trajectory, resulting in a zero synchronization error. To date, investigations into synchronization of NNs have yielded impressive achievements and continue to attract widespread attention [5,6,7].
With the rise in popularity of neural network (NN) applications, researchers have observed that stochastic perturbations can often have a detrimental impact on the dynamic behavior of NNs, leading to potentially severe consequences. Haykin, in his work referenced as [8], highlights that synaptic transmission in real nervous systems is subject to noise due to random fluctuations resulting from neurotransmitter release and other probabilistic factors. Hence, it becomes imperative to consider stochastic perturbations when analyzing NN dynamics, leading to the development of a model known as stochastic neural networks (SNNs) [9,10].
Moreover, time-delay and discontinuous signal transmissions exist among numerous neurons, such as circuit switching and high slope non-linearity [11,12], which leads to a serious negative impact on synchronization and even completely destroy the existing synchronization results. Mathematically, these phenomena can be represented as time-varying delays and discontinuous activation functions within NNs’ mathematical model. Therefore, a major focus of our research is centered around developing a synchronization controller that can effectively mitigate the negative effects caused by discontinuous activation functions (DF) and time delays in SNNs, i.e., delayed SNNs with discontinuous activation functions (DSNNsDF).
The finite-time control was introduced in [13] offering distinct advantages over traditional asymptotic and exponential control methods. Finite-time control is anticipated to exhibit faster convergence and superior control performance. The core idea of finite-time control is to give an estimated time for the control effect to be achieved by system parameters and initial states [14,15]. In various application fields in [16,17], synchronization outcomes achieved through the utilization of finite-time control have been extensively documented, highlighting their significance and indispensable role. However, for synchronization of SNNs, the existence of stochastic perturbations results in the initial states of SNNs always being in fluctuating, which in turn finite-time control still fails to provide an accurate estimate of time for synchronization.
Fortunately, the field of non-linear control for stochastic systems has witnessed significant advancements with the introduction of fixed-time control. This approach has proved to be practical and feasible, especially after it was further improved as stochastic fixed-time stability [18]. Building upon these foundations, fixed-time synchronization (FxTS) has emerged as a popular choice due to its ability to achieve fast convergence rates, all while being free from the constraint of initial states [19]. Recently, several approaches have been proposed to address the FxTS problem, showcasing the versatility and effectiveness of this technique in [20,21]. In [20], stochastic Lyapunov functional and matrix analysis techniques were adopted to solve the FxTS problem for DSNNs. In [21], the FxTS for SNNs was achieved by quantified adaptive controllers. The above results provide effective tools and techniques for the application and promotion of SNNs to achieve synchronization behavior with guaranteed convergence in a fixed time frame.
Although FxTS has an excellent performance in numerous issues, it still has some problems. On the one hand, considerable conservatism exists in the estimation for synchronization time. On the other hand, the settling time, as an a posterior estimate, is still difficult to apply in some specific cases. Considering the above limitations, the preassigned-time synchronization (PTS) was put forward, meant to specify the settling time of synchronization as an a priori explicit value [22,23]. Up to now, PTS-related research is in full swing and has been applied in engineering cases [24,25,26]. In [24], the preassigned time was designed as a complex function for specific parameters in the PTS controller. In [25], a pure power-low controller was designed to achieve PTS. Ref. [26] employed PTS to address control problems related to a group of nonlinear systems that do not possess a triangular structure. As PTS is considered for optimal control on time scales, we can foresee a wide range of applications for this technique, and there is no doubt that it will be an active area of research in the future.
So far, most of the subsequent research on PTS has focused on how to optimize the existing PTS controllers. In early PTS studies, there were always unbounded inputs or extremely complex structures in controller designs [27,28], which hinders the popularity of PTS. In fact, plenty of investigations have been discussed around how to simplify the PTS controller [29,30]. In [29], the PTS controller was simplified to only two absolute power terms of error states, yet this can still pose slight difficulties for practical applications. In [30], the PTS controller was greatly simplified while it is only valid for specific circuit systems. As a result, the above motivation is to explore the exploitation of simple as well as efficient PTS controllers.
Building upon the aforementioned discussions, our key innovations are summarized as
(1)
The PTS problem for delayed SNNs with DF (DSNNsDF) is solved. Compared with the previous PTS results in [23,25], this paper focuses on effective control design that can eliminate the negative effects caused by time delays, DF, and stochastic perturbations. Thus, our obtained PTS results are more valuable and practical.
(2)
Based on a preliminary design of the FxTS controller with simple structure, the criteria of FxTS as well as an estimation time are obtained by the incomplete beta functions. Compared to previous FxTS controllers in [20,21,29], our controller has the simplest structure. Moreover, due to the reduction of criteria and the improvement of estimation method, the obtained estimation for the synchronization time is more accurate and less conservative.
(3)
A simple and efficient PTS controller is designed based on the former FxTS result. Compared with the previous PTS controller in [21,27,28], our PTS controller is capable of achieving the ideal synchronization effect with minimal control gains owing to more accurate time estimation and the simplest controller.
Notations: R represents the totality of real numbers. R + represents the set of non-negative real numbers. R n represents the n-dimensional Euclidean space, and N represents the set of { 1 , 2 , , n }. For a function f : R R , if the right and left limits f + ( x ) , f ( x ) exist at a point x, the notation K [ f ( x ) ] represents the closed interval [ min { f ( x ) , f + ( x ) } , max { f ( x ) , f + ( x ) } ] . A continuous function F : R R is said to, if it is strictly increasing, belong to the class K and F ( 0 ) = 0 . sign ( · ) represents the classical signum function. For a matrix Y, Y T denotes its transpose and if Y is square matrix thus T r { Y } denotes its trace. P { A } denotes the probability of the event A occurring. E ( · ) denotes mathematical expectation. a.a and a.s denote the abbreviation of “almost all” and “almost surely”.

2. Preliminaries

Consider a class of DSNNsDF as follows
d p s ( t ) = c s p s ( t ) + r = 1 n α s r f r ( p r ( t ) ) + r = 1 n β s r f r ( p r ( t τ r ( t ) ) ) d t + σ s ( p s ( t ) , t ) d ω ( t )
where positive integers s , r N represent the indices of neurons. p s ( t ) represents the state of p-th neuron. τ r ( t ) R represents the time-varying delay for the q-th neuron for 0 τ r ( t ) τ . f r ( · ) represents the discontinuous activation function. The self-feedback connection weight is considered as c s > 0 . The connection weight between p-th and q-th neurons is denoted by α s r , delayed connection weight β s r . Moreover, a complete filtered probability space ( Ω , F , F , P ) is specified, in which a natural filtration F = { F t 0 ; t R + } is satisfied the usual conditions; in that case, the algebra F 0 contains all P -null sets in the algebra F , and F is right-continuous in the sense that s > t F s = F t , for t R + . The function σ s ( · , t ) is the noise intensity of Borel measurable continuous.
Then, some indispensable assumptions and lemmas are provided to facilitate our proof.
Assumption 1
([31]). The activation function f r ( · ) is continuous for all points except for a finite set of isolated point ι, with left limit f r ( ι ) and right limit f r + ( ι ) exist. Moreover, there exist positive constants h r , m r and M r , such that
sup | Φ r Ψ r | h r | x y | + m r | Φ r | M r
where x , y R , Φ r K [ f r ( x ) ] , Ψ r K [ f r ( y ) ] .
Assumption 2
([13]). For σ s ( · , t ) , there exist constants ρ s > 0 , such that
σ s p s ( t ) , t σ s q s ( t ) , t T σ s p s ( t ) , t σ s q s ( t ) , t ρ s ( p s ( t ) q s ( t ) ) 2
where p s ( t ) , q s ( t ) R .
Remark 1.
Both Assumptions 1 and 2 are very widely used in research related to SNNs. On the one hand, the Linear growth conditions in Assumption 1 is a restriction for the NNs’ activation function term. Attributed to the Linear growth conditions has a regularization effect, it can both solve the problem of gradient explosion in the fitting process of neural networks and avoid the overfitting of NNs. On the other hand, Assumption 2 is a restriction for the presence of random noise in NNs. Since Ito noise is essentially a random signal with mean value 0, its effects can be limited and assumed to seek a more simplified control effect.
The conventional sense solution of the system (1) does not exist owing to the fact that it is a differential equation with discontinuous right-hand side. To tackle this issue, the Filippov solution, introduced in [12], is employed to obtain a meaningful solution for system (1).
Definition 1
([12]). For the function p ( t ) : [ τ , T ) R n , for T [ 0 , + ) , to be considered a solution (in Filippov’s sense) of system (1) on [ τ , T ) , it must satisfy the following conditions
(1)
p ( t ) is continuous on [ τ , T ) and absolutely continuous on [ 0 , T ) .
(2)
there exists a measurable function g ( t ) = ( g 1 ( t ) , g 2 ( t ) , , g n ( t ) ) : [ τ , T ) R n such that for almost every t [ 0 , T ) , the component g r ( t ) satisfies g r ( t ) K [ f r ( p r ( t ) ) ] and
d p s ( t ) = c s p s ( t ) + r = 1 n α s r g r ( t ) + r = 1 n β s r g r ( t τ r ( t ) ) d t + σ s ( p s ( t ) , t ) d ω ( t )
Definition 2
([12]). Given a continuous function ϕ = ( ϕ 1 , ϕ 2 , , ϕ n ) T : [ τ , 0 ] R n and any measurable selection φ = ( φ 1 , φ 2 , , φ n ) T : [ τ , 0 ] R n where φ r ( l ) K [ f r ( ϕ r ( l ) ) ] for almost every l [ τ , 0 ] , and initial condition ( ϕ , φ ) can be defined for the initial value problem associated with system (1): Select functions p ( t ) and g ( t ) such that p ( t ) is a solution of system (1) on [ τ , T ) for some T > 0 , g ( t ) is the output associated with p ( t ) , and
d p s ( t ) = c s p s ( t ) + r = 1 n α s r g r ( t ) + r = 1 n β s r g r ( t τ r ( t ) ) d t + σ s ( p s ( t ) , t ) d ω ( t ) for a . a . t [ 0 , T ) , g r ( t ) K [ f r ( p r ( t ) ) ] , for a . a . t [ 0 , T ) , p s ( l ) = ϕ s ( l ) , l [ τ , 0 ] , g r ( l ) = φ r ( l ) , for a . a . l [ τ , 0 ] .
Remark 2.
From Definitions 1 and 2, Filippov’s solution provides a mathematical framework to handle non-smooth behavior and discontinuous terms in dynamic systems, allowing for accurate modeling and analysis of systems with abrupt changes. By defining Filippov’s solution precisely, we can capture such systems’ dynamics effectively. The initial value problem finds solutions to differential equations that satisfy specified initial conditions. In the context of Filippov’s solution, it determines system behavior at a starting point considering the impact of discontinuities, crucial for accurate predictions and understanding system response over time.
Regard (1) as drive system, then the response system is defined as follows:
d q s ( t ) = ( c s q s ( t ) + r = 1 n α s r f r ( q r ( t ) ) + r = 1 n β s r f r ( q r ( t τ r ( t ) ) ) + u s ( t ) ) d t + σ s ( q s ( t ) , t ) d ω ( t )
where q s ( t ) represents the s-th state and u s ( t ) is the designed controller, which maybe discontinuous. The other parameters have the same physical interpretations with system (1).
The initial value problem associated with system (4) is formulated as, according to Definition 2,
d q s ( t ) = c s q s ( t ) + r = 1 n α s r g ˜ r ( t ) + r = 1 n β s r g ˜ r ( t τ r ( t ) ) + u ˜ s ( t ) d t + σ s ( q s ( t ) , t ) d ω ( t ) for a . a . t [ 0 , T ) , g ˜ r ( t ) K [ f r ( q r ( t ) ) ] , u ˜ s ( t ) K [ u s ( t ) ] for a . a . t [ 0 , T ) , q s ( l ) = χ s ( l ) , l [ τ , 0 ] , g ˜ r ( l ) = ψ r ( l ) , for a . a . l [ τ , 0 ] .
In this paper, the synchronization error is defined as e s ( t ) = q s ( t ) p s ( t ) , for s N + , thus
d e s ( t ) = ( c s e s ( t ) + r = 1 n α s r ( g ˜ r ( t ) g r ( t ) ) + r = 1 n β s r ( g ˜ r ( t τ r ( t ) ) g r ( t τ r ( t ) ) ) + u ˜ s ( t ) ) d t + σ s ( e s ( t ) , t ) d ω ( t )
where parameters are the same as systems (1) and (4).
To promote the illustrations of synchronization result, below are some definitions and lemmas related to stochastic systems that are applicable to the error system (6).
Definition 3
([13]). For any C 2 function V ( t ) R and error system (6), the infinitesimal generator L is denoted as the differential operator of V ( t )
L V ( e ( t ) ) = V ( e ( t ) ) e ( c s e s ( t ) + r = 1 n α s r ( g ˜ r ( t ) g r ( t ) ) + r = 1 n β s r ( g ˜ r ( t τ r ( t ) ) g r ( t τ r ( t ) ) ) + u ˜ s ( t ) ) + 1 2 Tr { σ s T ( e s ( t ) , t ) 2 V ( e ) e 2 σ s ( e s ( t ) , t ) }
in which 1 2 Tr { σ s T ( e s ( t ) , t ) 2 V ( t ) p 2 σ s ( e s ( t ) , t ) } represents the Hessian term.
Definition 4
([13]). It is said that the error system (6) is finite-time stable in probability, for any initial value e ( l ) R n , if system (6) admits the solution e ( t ; e ( l ) ) and satisfies
(1)
Finite-time attractiveness in probability: For any non-zero initial error e ( l ) , the first hitting time t ( e ( l ) ) = inf { t 0 ; e ( t ; e ( l ) ) = 0 } , regarded as stochastic settling time, is almost surely finite, i.e., P { t ( e ( l ) ) < + } = 1 and e ( t + t ( e ( l ) ) ; e ( l ) ) = 0 , a.s., t 0 .
(2)
Stability in probability: For given values r > 0 and ε ( 0 , 1 ) , there exists a positive value δ ( ε , r ) such that the probability of the error e ( t ; e ( l ) ) being within a specified range | e ( t ; e ( l ) ) | < r in which r 1 ε holds for any t 0 and for initial error | e ( l ) | < δ ( ε , r ) .
Definition 5
([18]). The error system (6) is said to be fixed-time stability in probability, if constant T m a x > 0 and the following conditions are satisfied, for any initial state e ( l ) R n ,
(1)
The error system (6) is finite-time stability in probability;
(2)
Mathematical expectation E ( t ( e ( l ) ) ) for settling time function is bounded with T m a x , which is independent of the initial state for E ( t ( e ( l ) ) ) T m a x , e ( l ) R n . Furthermore, if T m a x can be arbitrarily selected as required, error system (6) is said to be preassigned-time stability in probability.
Remark 3.
The fixed-time stability for stochastic system is much more complicated than deterministic system due to the stochastic perturbation present in system (6), as reflected in the two points of the first hitting time and mathematical expectation for settling time function. The former aims at determining the time when the state of the drive-response system is initially achieved, then the latter, from a statistical point of view, provides a method for estimating the mean value of an upper bound on the time required to complete the synchronization.
Lemma 1
([18]). For error system (6), suppose there exists a continuous differentiable function Λ ( · ) > 0 , 0 ϵ 1 Λ ( l ) d l G for any Λ ˙ ( e ) 0 , e > 0 , G > 0 and 0 < ϵ < + , and there also exists a positive definite, radially unbounded C 2 function V ( · ) : R n R + such that
L V ( e ) Λ ( V ( e ) ) ,
then, the error system (6) is fixed-time stable in probability for e ( l ) R n { 0 } with the stochastic settling time E ( t ( e ( l ) ) ) G .
Lemma 2
([22]). For any C 2 function V ( · ) : R n R + , there exist constants k , k 1 > 0 , k 2 > 0 , ϰ > 0 , > 0 and 0 < z 1 < 1 < z 2 such that
(1)
k 1 e ( t ) 2 V ( e ) k 2 e ( t ) 2 ,
(2)
L V ( e ) k V ( e ) ϰ V z 1 ( e ) V z 2 ( e ) ,
then error system (6) is fixed-time stability in probability with E ( t ( e ( l ) ) ) T m a x and
T max T max 1 = π csc ( κ π ) ϰ ( z 2 z 1 ) ( ϰ ) κ , k 0 , T max 2 = π csc ( κ π ) ( z 2 z 1 ) ( ϰ k ) 1 κ I ( Υ , κ , 1 κ ) + π csc ( κ π ) ϰ ( z 2 z 1 ) ( ϰ k ) κ I ( ϰ Υ , 1 κ , κ ) , 0 < k < min { a , b } ,
where κ = ( 1 z 1 ) / ( z 2 z 1 ) , Υ = ϰ + k and the incomplete beta function ratio, denoted as I ( z 3 , z 4 , z 5 ) is defined as
I ( z 3 , z 4 , z 5 ) = 1 B ( z 4 , z 5 ) 0 z 3 t z 4 1 ( 1 t ) z 5 1 d t ,
and
B ( z 4 , z 5 ) = 0 1 t z 4 1 ( 1 t ) z 5 1 d t
where 0 z 3 1 and z 4 , z 5 > 0 .
Lemma 3
([22]). For any C 2 function V ( t ) : R n R + , there exists an arbitrary positive T p such that
L V ( e ) T max T p k V ( e ) ϰ V z 1 ( e ) V z 2 ( e ) ,
where variables are the same as Lemma 2, then error system (6) is preassigned-time stability in probability within T p .
Lemma 4
([32]). For any real number δ 1 , δ 2 , , δ s 0 , the follow inequalities are satisfied
s = 1 n | δ s | ϱ ( s = 1 n | δ s | ) ϱ , ϱ ( 0 , 1 ] , n 1 ϱ ( s = 1 n | δ s | ) ϱ , ϱ > 1 .

3. Main Results

This part will give the simplified controller and derive the sufficient criteria for achieving FxTS and PTS of systems (1) and (4).

3.1. Simplified Controller Design

Firstly, the simplified controller u s ( t ) of (4) is designed as
u s ( t ) = γ s 1 sign ( e s ( t ) ) γ s 2 sign ( e s ( t ) ) | e s ( t ) | θ ,
where s N , γ s 1 , γ s 2 > 0 and θ > 1 .
Thus, from systems (1) and (4), the error system (6) is transformed into
d e s ( t ) = ( c s e s ( t ) + r = 1 n α s r ( g ˜ r ( t ) g r ( t ) ) + r = 1 n β s r ( g ˜ r ( t τ r ( t ) ) g r ( t τ r ( t ) ) ) + u ˜ s ( t ) ) d t + σ s ( e s ( t ) , t ) d ω ( t )
where
u ˜ s ( t ) K [ u s ( t ) ] = γ s 1 h s ( t ) γ s 2 h s ( t ) | e s ( t ) | θ
with
h s ( t ) = K [ sign ( e s ( t ) ) ] = 1 e s ( t ) < 0 , [ 1 , 1 ] e s ( t ) = 0 , 1 e s ( t ) > 0 .
Let
k s = 2 c s + r = 1 n ( | α s r | h r + | α r s | h s + ρ r ) ,
ϰ s = 2 γ s 1 r = 1 n ( m r | α s r | 2 M r | β s r | ) ,
and
s = 2 n 1 θ 2 γ s 2 .

3.2. FxTS of DSNNsDF

Theorem 1.
Suppose that Assumptions 1 and 2 are satisfied, if for r , s N + ,
max s { k s } < min { min s { ϰ s } , min s { s } } ,
then systems (1) and (4) realize FxTS under the controller (11) with T m a x estimated as (9) with the parameters k = max s { k s } , ϰ = min s { ϰ s } and = min s { s } .
Proof. 
Choose the Lyapunov function
V ( t ) = s = 1 n e s 2 ( t ) .
To obtain the infinitesimal generator of V ( t ) along the trajectories of the error system (6) along these trajectories of e s ( t ) R { 0 } and a . a . t [ 0 , T ) ,
L V ( t ) = 2 s = 1 n e s ( t ) e ˙ s ( t ) = 2 s = 1 n [ e s ( t ) ( c s e s ( t ) + r = 1 n α s r ( g ˜ r ( t ) g r ( t ) ) + r = 1 n β s r ( g ˜ r ( t τ r ( t ) ) g r ( t τ r ( t ) ) ) γ s 1 sign ( e s ( t ) ) γ s 2 sign ( e s ( t ) ) | e s ( t ) | θ ) ] + Tr { σ s T ( e s ( t ) , t ) σ s ( e s ( t ) , t ) } .
From Assumption 1, one has
2 s = 1 n r = 1 n e s ( t ) α s r ( g ˜ r ( t ) g r ( t ) ) 2 s = 1 n r = 1 n | e s ( t ) | | α s r | | g ˜ r ( t ) g r ( t ) | 2 s = 1 n r = 1 n | e s ( t ) | | α s r | ( h r | e r ( t ) | + m r ) s = 1 n r = 1 n e s 2 ( t ) ( | α s r | h r + | α r s | h s ) + 2 m r | e s ( t ) | | α s r | .
By Assumption 2 and (11), we can
L V ( t ) = s = 1 n e s 2 ( t ) 2 c s + r = 1 n ( | α s r | h r + | α r s | h s + ρ r ) s = 1 n 2 e s ( t ) γ s 1 r = 1 n m r ( | α s r | + | β s r | ) s = 1 n 2 γ s 2 | e s ( t ) | θ + 1
where ρ r > 0 .
From Lemma 4, it follows
s = 1 n e s ( t ) = s = 1 n ( e s 2 ( t ) ) 1 2 s = 1 n e s 2 ( t ) 1 2 = V 1 2 ( t ) , s = 1 n e s θ + 1 ( t ) n 1 θ 2 ( s = 1 n e s 2 ( t ) ) θ + 1 2 = n 1 θ 2 V θ + 1 2 ( t ) .
If (17) is satisfied, (21) is transformed as
L V ( t ) k V ( t ) ϰ V 1 2 ( t ) V θ + 1 2 ( t ) ,
From Lemma 2, we can obtain that error system (6) is fixed-time stable in probability, which means systems (1) and (4) achieve FxTS in probability. Besides, there exists a settling time E ( t ( e ( l ) ) ) satisfies e ( t ) = 0 as t E ( t ( e ( l ) ) ) and a upper bound T m a x , for e ( l ) R n { 0 } . Combined with Lemma 3 and (22), we can make an estimation of the settling time based on the following two cases.
Case 1: If k 0 , the settling time E ( t ( e ( l ) ) ) is estimated as
T max 1 = 2 π csc ( π θ ) ϰ θ ( ϰ ) 1 θ .
Case 2: If 0 < k < min { ϰ , } , the settling time E ( t ( e ( l ) ) ) is estimated as, for Υ = ϰ + k ,
T max 2 = 2 π csc ( π θ ) θ ( ϰ k ) 1 1 θ I ( Υ , 1 θ , 1 1 θ ) + 2 π csc ( π θ ) ϰ θ ( ϰ k ) 1 θ I ( ϰ Υ , 1 1 θ , 1 θ ) .
The proof is completed. □
Remark 4.
In Theorem 1, the FxTS result for DSNNsDF and the settling time E ( t ( e ( l ) ) ) are obtained. Compared with existing results in [21,23,25], the FxTS for stochastic systems is more challenging. Due to the existence of stochastic perturbations, on the one hand, Ito’s formula and the infinitesimal operator are utilized necessarily to derive the results for stochastic system. On the other hand, the initial state may change rapidly or cannot be measured in practical applications, so the stochastic finite-time result is hard to estimate the exact settling time. Therefore, it is indispensable to derive the sufficient conditions for FxTS and obtain settling time in (23) or (24).
Remark 5.
The first task in FxTS is how to estimate the settling time more accurately, which ensures that the systems achieve the desired control effect. Different from (22) in this paper, most of the existing FXTS results are obtained by means of L V ( t ) ϰ V z 1 ( x ) V z 2 ( x ) . This paper offers two key advantages: (1) Our result includes the existing k 0 results, i.e., Case 1, and further supplies the situation in Case 2 when k > 0 . (2) The direct integration incorporates a beta function, eliminating the need for scaling and reducing conservatism, thereby enabling a more precise estimation of the settling time.
Remark 6.
Although the utilization of the beta function improves the accuracy of settling time estimation, the resulting expression in (24) is overly complex, posing a challenge for practical calculations and applications.
For convenience, a special group of controller parameters is presented as a simplified case in Corollary 1.
Corollary 1.
Suppose that Theorem 1 is satisfied, when θ = 2 , systems (1) and (4) achieve FxTS, for F = 4 ϰ k 2 , and the settling time is estimated by
T max 3 = 2 F ( π 2 arctan k F ) , 0 < k < 2 ϰ 2 k , k = 2 ϰ 1 F ln k + F k F , k > 2 ϰ .
Remark 7.
Another important task in FxTS is how to design an effective and concise controller. Compared with previous works in [19,20,21,23,25,29,33,34,35], the FxTS effect is ensured by only one sign function item and one the power of absolute error item ( θ > 1 ) in this paper. Without considering the time delay, several basic items of FxTS controller are shown in Table 1 along with the specific comparison between u s ( t ) in this paper and previous work.
Remark 8.
One of the major innovations of this paper is to greatly simplify the controller architecture for realizing FxTS. By choosing a simplified controller design, several key advantages are aimed to be addressed: (1) Ease of implementation: a simpler controller architecture contributes to an easier implementation in a practical setup. (2) Reduced conservatism: More controller parameters means more sufficient conditions in the results, each of which increases conservatism and is reflected in the final estimation time. (3) Reduced computational complexity: The simplicity of the controller design usually reduces the computational complexity. By minimizing computational requirements, a simplified controller can effectively improve overall system performance. (4) Enhanced Robustness:In some scenarios, a simpler controller architecture can enhance the robustness of the system. The fewer components and parameters that need to be fine-tuned, the lower the likelihood of error or instability. Certainly, fewer parameters means higher requirements for each parameter while maintaining the same control effect. The increased energy consumption in this process will be discussed in our future work.
Remark 9.
To further simplify the controller (11) employs an upper bound of activation functions to mitigate the negative effect of time delay. This scheme, while further simplifying the controller, increases the conservatism of the estimated time considerably. Additionally, a less conservative approach is to use a time-delay controller to counteract the effect of the time delay, but this would make the controller structure more complex. The detailed results are shown in Corollary 2.
Corollary 2.
For a more complex controller
u s ( t ) = γ s 1 sign ( e s ( t ) ) γ s 2 sign ( e s ( t ) ) | e s ( t ) | θ γ s 3 sign ( e s ( t ) ) r = 1 n | e r ( t τ r ( t ) ) | ,
suppose that Assumptions 1 and 2 are satisfied and
max s { k s } < min { min s { ϰ s * } , min s { s } } , γ s 3 max s { | β s r | h r } ,
where
ϰ s * = γ s 1 r = 1 n m r ( | α s r | + | β s r | ) ,
then systems (1) and (4) achieve FxTS with the settling time
T max 4 = 2 π csc ( π θ ) ϰ * θ ( ϰ * ) 1 θ , k 0 , 2 π csc ( π θ ) θ ( ϰ * k ) 1 1 θ I ( Υ , 1 θ , 1 1 θ ) + 2 π csc ( π θ ) ϰ * θ ( ϰ * k ) 1 θ I ( ϰ * Υ , 1 1 θ , 1 θ ) , 0 < k < min { ϰ , } .

3.3. PTS of DSNNsDF

To further optimize the FxTS results, we adjust the parameters of controller (11) to achieve PTS of systems (1) and (4).
The adjusted controller is designed as follows
u ˜ s ( t ) = γ s 1 + k s ( T ˜ T p 1 ) sign ( e s ( t ) ) T ˜ T p γ s 2 sign ( e s ( t ) ) | e s ( t ) | θ
where k s is defined in (14), T p is a arbitrarily preassigned time, T ˜ is selected as
T ˜ = T max 1 , k 0 , T max 2 , 0 < k < min { ϰ , }
and remaining parameters are the same as those in (11).
Theorem 2.
Assume that Assumptions 1, 2 and (17) are satisfied, then systems (1) and (4) can achieve PTS via the controller (26) within T p .
Proof. 
Continuing with the selection of V ( t ) = s = 1 n e s ( t ) 2 , we can obtain the proof of Theorem 1 in a similar approach to directly obtain
L V ( t ) k V ( t ) ϰ T ˜ T p V 1 2 ( t ) T ˜ T p V θ + 1 2 ( t ) .
Case 1: When k 0 , we have
L V ( t ) T max 1 T p ϰ V 1 2 ( t ) V θ + 1 2 ( t )
then, according to Lemma 3 and Theorem 1, systems (1) and (4) achieve PTS within the preassigned time T p .
Case 2: When 0 < k < min { ϰ , } , we can get k V ( t ) T max 2 T p k V ( t ) and
L V ( t ) T max 2 T p k V ( t ) ϰ V 1 2 ( t ) V θ + 1 2 ( t )
then, systems (1) and (4) achieve PTS within the preassigned time T p .
The proof is completed. □
Remark 10.
It is worth noting that the conditions for guaranteeing PTS in Theorem 2 are the same as in Theorem 1. On the one hand, users need to compute the negative effects due to random perturbations, time delays, and discontinuous terms, from (14)–(17), only once. On the other hand, users can still guarantee the stabilization of the error system when designing the PTS controller.
Remark 11.
Note that PTS discussed in this paper are all in the case of T p < T ˜ , whose goal is to further shorten the synchronization time. Therefore, if T p T ˜ , the controller (11) still meets the requirements of PTS without adjustment.

4. Numerical Simulation

In this section, we will verify the validity of the FxTS and PTS results of the discussed DSNNsDF with a numerical example using Matlab R2022b, see Appendix A for more detailed code. For n = 2 , we consider the following model
d p s ( t ) = c s p s ( t ) + r = 1 2 α s r f r ( p r ( t ) ) + r = 1 2 β s r f r ( p r ( t τ r ( t ) ) ) d t + σ s ( p s ( t ) , t ) d ω ( t )
where c 1 = c 2 = 1 , α 11 = 2 , α 12 = 0.1 , α 21 = 5 , α 22 = 4.5 , β 11 = 1.5 , β 12 = 0.1 , β 21 = 0.2 , β 22 = 4 , τ r ( t ) = e t / ( 1 + e t ) and σ s ( p s ( t ) , t ) = 0.05 p ( t ) . The activation function is
f r ( p r ( t ) ) = tanh ( p r ( t ) ) + 0.1 , p r ( t ) > 0 , tanh ( p r ( t ) ) 0.1 , p r ( t ) 0
with M 1 = M 2 = 1.1 , h 1 = h 2 = 1 and m 1 = m 2 = 0.2 . Then, the phase plot of system (34) is shown in Figure 1a with p ( l ) = ( 0.6 , 0.2 ) T , l [ 1 , 0 ] . Figure 1b shows the time evolution of states of system (34) with the same initial states in Figure 1a.
Regard the system (34) as the drive system (2), thus system (4) is described as
d q s ( t ) = ( c s q s ( t ) + r = 1 2 α s r f r ( q r ( t ) ) + r = 1 2 β s r f r ( q r ( t τ r ( t ) ) ) + u s ( t ) ) d t + σ s ( q s ( t ) , t ) d ω ( t )
where u s ( t ) is the designed as follows
u 1 ( t ) = 3.5 sign ( e 1 ( t ) ) 3 sign ( e 1 ( t ) ) | e 1 ( t ) | 2 , u 2 ( t ) = 3.5 sign ( e 2 ( t ) ) 3 sign ( e 2 ( t ) ) | e 2 ( t ) | 2 .
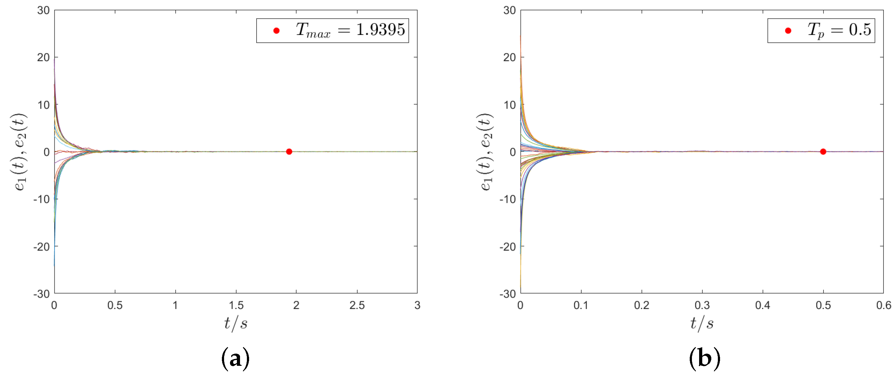
From (34), we can calculate that k = 3.1 , ϰ = 10.32 and = 4.2426 , thus (17) is satisfied. In this case, (34) and (35) can achieve FxTS within T m a x = 1.9395 s. Then, we select 10 sets of random numbers from [−15,15] as the initial states of (34) and (35). Figure 2a depicts the error trajectories in FxTS via controller (36).
In order to achieve PTS within T p = 0.5 s, the controller parameters are adjusted according as follow
u 1 ( t ) = 12.4249 sign ( e 1 ( t ) ) 11.6370 sign ( e 1 ( t ) ) | e 1 ( t ) | 2 , u 2 ( t ) = 12.4249 sign ( e 2 ( t ) ) 11.6370 sign ( e 2 ( t ) ) | e 2 ( t ) | 2 .
Figure 2b depicts the error trajectories in PTS via controller (37) with T p = 0.5 s. Thus, Figure 2 demonstrates the feasibility of main results that (34) and (35) can realize synchronization before the calculated fixed time or an preassigned time.
Remark 12.
Based on the FxTS controller (11), the PTS controller (29) is designed. If the estimation for synchronization time can be estimated as small as possible, the controller gain can be effectively reduced. Owing to the flexible utilization of the beta function, our work is much more accurate in estimated time than previous work in [21,25,36,37] with the same conditions in Example 1, as shown in Table 2.
Remark 13.
From Figure 2b, it is evident that by modifying only specific parameters of the FxTS controller, PTS of (34) and (35), can be achieved accordingly. This modification enables optimal control from a time perspective. In comparison to existing results on preassigned-time control in [24,26], Table 3 illustrates the compared controller gains for the case of various PTS.
Remark 14.
The above simulation results demonstrate that the controller we designed in is feasible and effective in theory for the FxTS and PTS problems of DSNNsDF, which motivates us to extend the DSNNsDF synchronization controller to neural network applications that are more practical applications, especially in the areas of cooperative task execution, intelligent robot control and adaptive control. In these areas, the results in this paper can help us both estimate/assign synchronization time more accurately and save energy consumption by designing simple and efficient controllers.

5. Conclusions

This paper has presented a novel approach for designing a controller with simple structure to solve the PTS problem for DSNNsDF. The proposed approach has involved designing a controller within the framework of Filippov’s solution to achieve FxTS while mitigating the negative effects of time delays, discontinuous activation functions, and stochastic disturbance. Subsequently, criteria ensuring FxTS have been derived and the settling time has been calculated for two cases ( k 0 and 0 < k < min { ϰ , } ) with a more accurate method. Based on the obtained FxTS results, an effective controller has been modified to achieve PTS of DSNNsDF. The superiority of our work has been demonstrated through several comparisons between the designed controller and the estimated times. Finally, numerical simulation has been presented to validate the FxTS and PTS controller design scheme.
In future research, our interest will focus on investigating the impact of controller simplification on energy consumption, and then seeking the optimal balance between them. Besides, we also will strive for the promotion and popularization of DSNNsDF in practical application fields, such as automation robotic control systems, distributed sensor networks, intelligent transportation systems and so on.

Author Contributions

Conceptualization, H.L. and L.W.; methodology, H.L.; writing—original draft preparation, H.L.; writing—review and editing, L.W. and W.S.; supervision, W.S. All authors have read and agreed to the published version of the manuscript.

Funding

This work was supported by the National Natural Science Foundation of China under Grant 62076229, and the Fundamental Research Funds for the Central Universities, China University of Geosciences (Wuhan) under Grant G1323523061.

Data Availability Statement

All of our authors agree that scholars share this data, and you can find our code at: https://github.com/limengxixi/MDPI.git.

Conflicts of Interest

The authors declare no conflict of interest.

Appendix A

To improve the transparency and reproducibility of the numerical results, we provide the MATLAB code used to obtain the numerical results in the appendix below: https://github.com/limengxixi/MDPI.git, accessed on 22 September 2023.

Abbreviations

The following abbreviations are used in this manuscript:
FxTSfixed-time synchronization
PTSpreassigned-time synchronization
DSNNsDFdelayed stochastic neural networks with discontinuous activation functions

References

  1. Lawrence, S.; Giles, C.L.; Tsoi, A.C.; Back, A.D. Face recognition: A convolutional neural-network approach. IEEE Trans. Neural Netw. 1997, 8, 98–113. [Google Scholar] [CrossRef] [PubMed]
  2. Cochocki, A.; Unbehauen, R. Neural Networks for Optimization and Signal Processing; John Wiley & Sons, Inc.: Hoboken, NJ, USA, 1993. [Google Scholar]
  3. Tang, Y.; Qian, F.; Gao, H.; Kurths, J. Synchronization in complex networks and its application–a survey of recent advances and challenges. Annu. Rev. Control 2014, 38, 184–198. [Google Scholar] [CrossRef]
  4. Chung, S.J.; Ahsun, U.; Slotine, J.J.E. Application of synchronization to formation flying spacecraft: Lagrangian approach. J. Guid. Control Dyn. 2009, 32, 512–526. [Google Scholar] [CrossRef]
  5. Wang, L.; He, H.; Zeng, Z. Global synchronization of fuzzy memristive neural networks with discrete and distributed delays. IEEE Trans. Fuzzy Syst. 2019, 28, 2022–2034. [Google Scholar] [CrossRef]
  6. Hu, X.; Wang, L.; Zhang, C.K.; Wan, X.; He, Y. Fixed-time stabilization of discontinuous spatiotemporal neural networks with time-varying coefficients via aperiodically switching control. Sci. China Inf. Sci. 2023, 66, 1–14. [Google Scholar] [CrossRef]
  7. Li, H.; Hu, X.; Wang, Q.; Wang, L. Anti-synchronization in fixed-/preassigned-time of delayed memristive neural networks with discontinuous activation functions. Int. J. Control 2023. accepted. [Google Scholar] [CrossRef]
  8. Haykin, S. Neural Networks; IEEE Computer Society Press: Washington, DC, USA, 1994. [Google Scholar]
  9. Yao, Y.; Zhang, G.; Li, Y. Fixed/Preassigned-Time Stabilization for Complex-Valued Inertial Neural Networks with Distributed Delays: A Non-Separation Approach. Mathematics 2023, 11, 2275. [Google Scholar] [CrossRef]
  10. Abudusaimaiti, M.; Abudukeremu, A.; Sabir, A. Fixed/Preassigned-Time Stochastic Synchronization of Complex-Valued Fuzzy Neural Networks with Time Delay. Mathematics 2023, 11, 3769. [Google Scholar] [CrossRef]
  11. Danca, M.F. Controlling chaos in discontinuous dynamical systems. Chaos Solitons Fractals 2004, 22, 605–612. [Google Scholar] [CrossRef]
  12. Forti, M.; Grazzini, M.; Nistri, P.; Pancioni, L. Generalized Lyapunov approach for convergence of neural networks with discontinuous or non-Lipschitz activations. Phys. D Nonlinear Phenom. 2006, 214, 88–99. [Google Scholar] [CrossRef]
  13. Yu, X.; Yin, J.; Khoo, S. Generalized Lyapunov criteria on finite-time stability of stochastic nonlinear systems. Automatica 2019, 107, 183–189. [Google Scholar] [CrossRef]
  14. Liu, J.; Niu, B.; Zhao, P.; Li, X.; Qi, W. Almost fast finite-time adaptive tracking control for a class of full-state constrained pure-feedback nonlinear systems. Int. J. Robust Nonlinear Control 2020, 30, 7517–7532. [Google Scholar] [CrossRef]
  15. Su, Y. Global continuous finite-time tracking of robot manipulators. Int. J. Robust Nonlinear Control IFAC-Affil. J. 2009, 19, 1871–1885. [Google Scholar] [CrossRef]
  16. Du, H.; Li, S.; Qian, C. Finite-time attitude tracking control of spacecraft with application to attitude synchronization. IEEE Trans. Autom. Control 2011, 56, 2711–2717. [Google Scholar] [CrossRef]
  17. Perruquetti, W.; Floquet, T.; Moulay, E. Finite-time observers: Application to secure communication. IEEE Trans. Autom. Control 2008, 53, 356–360. [Google Scholar] [CrossRef]
  18. Yu, J.; Yu, S.; Li, J.; Yan, Y. Fixed-time stability theorem of stochastic nonlinear systems. Int. J. Control 2019, 92, 2194–2200. [Google Scholar] [CrossRef]
  19. Kong, F.; Zhu, Q.; Sakthivel, R. New fixed-time stability in probability lemmas of stochastic discontinuous systems and applications. Nonlinear Dyn. 2022, 110, 2753–2768. [Google Scholar] [CrossRef]
  20. Cui, W.; Wang, Z.; Jin, W. Fixed-time synchronization of Markovian jump fuzzy cellular neural networks with stochastic disturbance and time-varying delays. Fuzzy Sets Syst. 2021, 411, 68–84. [Google Scholar] [CrossRef]
  21. Hou, M.; He, Q.; Ma, Y. Preassigned/fixed-time stochastic synchronization of complex networks via simpler nonchattering quantified adaptive control strategies. Neural Comput. Appl. 2022, 34, 19161–19179. [Google Scholar] [CrossRef]
  22. Hu, C.; He, H.; Jiang, H. Fixed/preassigned-time synchronization of complex networks via improving fixed-time stability. IEEE Trans. Cybern. 2020, 51, 2882–2892. [Google Scholar] [CrossRef]
  23. Li, H.; Hu, C.; Zhang, G.; Hu, J.; Wang, L. Fixed-/Preassigned-time stabilization of delayed memristive neural networks. Inf. Sci. 2022, 610, 624–636. [Google Scholar] [CrossRef]
  24. Chen, C.; Mi, L.; Zhao, D.; Guan, H.; Li, L.; Zhao, H. A new judgment theorem for predefined-time stability and its application in the synchronization analysis of neural networks. Int. J. Robust Nonlinear Control 2022, 32, 10072–10086. [Google Scholar] [CrossRef]
  25. Wei, W.; Yu, J.; Wang, L.; Hu, C.; Jiang, H. Fixed/Preassigned-time synchronization of quaternion-valued neural networks via pure power-law control. Neural Netw. 2022, 146, 341–349. [Google Scholar] [CrossRef] [PubMed]
  26. Zhou, S.; Wang, X.; Song, Y. Prescribed performance tracking control under uncertain initial conditions: A neuroadaptive output feedback approach. IEEE Trans. Cybern. 2022, 1–11. [Google Scholar] [CrossRef]
  27. Pal, A.K.; Kamal, S.; Nagar, S.K.; Bandyopadhyay, B.; Fridman, L. Design of controllers with arbitrary convergence time. Automatica 2020, 112, 108710. [Google Scholar] [CrossRef]
  28. Krishnamurthy, P.; Khorrami, F.; Krstic, M. A dynamic high-gain design for prescribed-time regulation of nonlinear systems. Automatica 2020, 115, 108860. [Google Scholar] [CrossRef]
  29. Abudusaimaiti, M.; Abdurahman, A.; Jiang, H.; Hu, C. Fixed/predefined-time synchronization of fuzzy neural networks with stochastic perturbations. Chaos Solitons Fractals 2022, 154, 111596. [Google Scholar] [CrossRef]
  30. Wang, Y.; Li, H.; Guan, Y.; Chen, M. Predefined-time chaos synchronization of memristor chaotic systems by using simplified control inputs. Chaos Solitons Fractals 2022, 161, 112282. [Google Scholar] [CrossRef]
  31. Clarke, F.H. Optimization and Nonsmooth Analysis; SIAM: Philadelphia, PA, USA, 1990. [Google Scholar]
  32. Hardy, G.; Littlewood, J.; Polya, G. Inequalities; Cambridge University Press: Cambridge, UK, 1952. [Google Scholar]
  33. Li, N.; Wu, X.; Feng, J.; Lü, J. Fixed-time synchronization of complex dynamical networks: A novel and economical mechanism. IEEE Trans. Cybern. 2020, 52, 4430–4440. [Google Scholar] [CrossRef]
  34. Yang, S.; Zhang, W.; Ruan, D.; Yang, T.; Li, Y. Fast fixed-time impulsive bipartite synchronization of TS fuzzy complex networks with signed graphs. Nonlinear Anal. Hybrid Syst. 2023, 48, 101325. [Google Scholar] [CrossRef]
  35. Zhou, L.; Lin, H.; Tan, F. Fixed/predefined-time synchronization of coupled memristor-based neural networks with stochastic disturbance. Chaos Solitons Fractals 2023, 173, 113643. [Google Scholar] [CrossRef]
  36. He, Q.; Ma, Y. Quantized adaptive pinning control for fixed/preassigned-time cluster synchronization of multi-weighted complex networks with stochastic disturbances. Nonlinear Anal. Hybrid Syst. 2022, 44, 101157. [Google Scholar] [CrossRef]
  37. Li, N.; Wu, X.; Feng, J.; Xu, Y. Fixed-time synchronization in probability of drive-response networks with discontinuous nodes and noise disturbances. Nonlinear Dyn. 2019, 97, 297–311. [Google Scholar] [CrossRef]
Figure 1. The time evolutions of states. (a) The phase plot of system (34). (b) The trajectories of p 1 ( t ) and p 2 ( t ) .
Figure 1. The time evolutions of states. (a) The phase plot of system (34). (b) The trajectories of p 1 ( t ) and p 2 ( t ) .
Mathematics 11 04414 g001
Figure 2. The error trajectories of (a) FxTS and (b) PTS with initial states in [−15, 15].
Figure 2. The error trajectories of (a) FxTS and (b) PTS with initial states in [−15, 15].
Mathematics 11 04414 g002
Table 1. The comparison of different FxTS controllers.
Table 1. The comparison of different FxTS controllers.
K Sign ( e s ( t ) ) K = 1 K = | e s ( t ) | K = | e s ( t ) | θ   ( 0 < θ < 1 ) K = | e s ( t ) | θ   ( θ > 1 )
this paper
[29,33]
[21,25,34]
[19,20,23,35,36]
Table 2. The derived settling-time from various results.
Table 2. The derived settling-time from various results.
Theorem 1[21,25][36,37]
settling-time1.93953.35523.4452
Table 3. The controller inputs of various PTS schemes.
Table 3. The controller inputs of various PTS schemes.
Theorem 2[24][26]
gain form T ˜ T p k k V k ( t ) V k ( t ) ln ( k ) T p k t T p
gain value
( t : 0 T P )
ConstantsChange rapidly +   ( t T P )
Disclaimer/Publisher’s Note: The statements, opinions and data contained in all publications are solely those of the individual author(s) and contributor(s) and not of MDPI and/or the editor(s). MDPI and/or the editor(s) disclaim responsibility for any injury to people or property resulting from any ideas, methods, instructions or products referred to in the content.

Share and Cite

MDPI and ACS Style

Li, H.; Wang, L.; Shen, W. A Simplified Controller Design for Fixed/Preassigned-Time Synchronization of Stochastic Discontinuous Neural Networks. Mathematics 2023, 11, 4414. https://doi.org/10.3390/math11214414

AMA Style

Li H, Wang L, Shen W. A Simplified Controller Design for Fixed/Preassigned-Time Synchronization of Stochastic Discontinuous Neural Networks. Mathematics. 2023; 11(21):4414. https://doi.org/10.3390/math11214414

Chicago/Turabian Style

Li, Haoyu, Leimin Wang, and Wenwen Shen. 2023. "A Simplified Controller Design for Fixed/Preassigned-Time Synchronization of Stochastic Discontinuous Neural Networks" Mathematics 11, no. 21: 4414. https://doi.org/10.3390/math11214414

APA Style

Li, H., Wang, L., & Shen, W. (2023). A Simplified Controller Design for Fixed/Preassigned-Time Synchronization of Stochastic Discontinuous Neural Networks. Mathematics, 11(21), 4414. https://doi.org/10.3390/math11214414

Note that from the first issue of 2016, this journal uses article numbers instead of page numbers. See further details here.

Article Metrics

Back to TopTop