Double Risk Catastrophe Reinsurance Premium Based on Houses Damaged and Deaths
Abstract
1. Introduction
2. Literature Review
2.1. CAT Reinsurance
Excess of Loss CAT Reinsurance Scheme
2.2. Extreme Value Theory
Peaks over Threshold
2.3. The Standard Deviation Premium Principle
3. Materials and Methods
3.1. Materials
3.2. Methods
3.2.1. Threshold Value Selection Method
- Sort data from largest to smallest.
- Calculate the number of extreme data with the following equation.where and are the number of extreme data and the number of samples, respectively.
- Determine the threshold value with the following equation.
3.2.2. Goodness of Fit Test
3.2.3. Maximum Likelihood Estimation
4. Results
4.1. Premium Model Framework
4.1.1. Single Risk CAT Reinsurance Premium Model
4.1.2. Double Risk CAT Reinsurance Premium Model
4.2. Simulation
4.2.1. Data Description
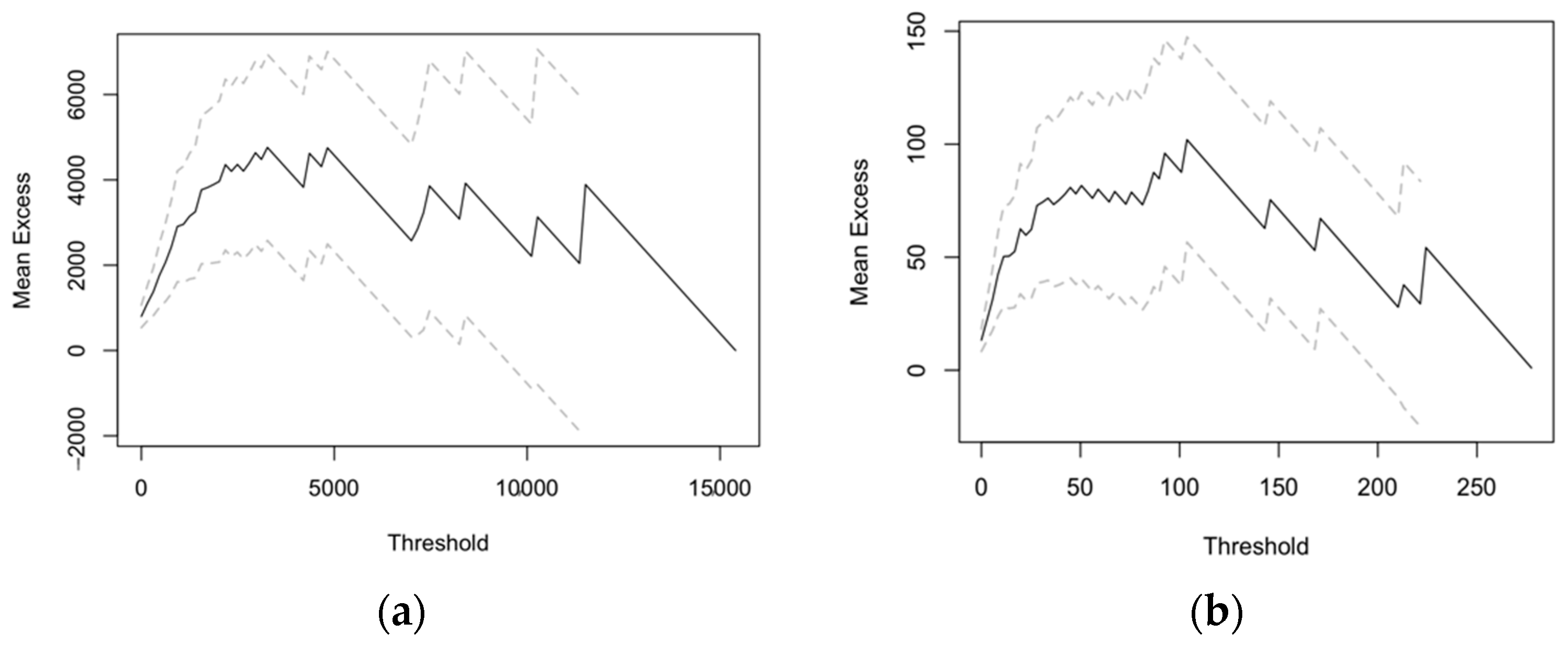
4.2.2. Threshold Value Selection
4.2.3. Goodness of Fit Test
4.2.4. Parameter Estimation of General Pareto Distribution
4.2.5. Pricing of CAT Reinsurance Premium
- The calculation of the single risk CAT reinsurance premium is shown as follows.
- 2.
- The calculation of the double risk CAT reinsurance premium is shown as follows.
5. Discussion
5.1. The Benefit of Double Risk CAT Premium
5.2. The Effect of Loading Factor
5.3. The Effect of the Percentage of Threshold Value
6. Conclusions
Author Contributions
Funding
Data Availability Statement
Acknowledgments
Conflicts of Interest
References
- Zhao, Y.; Lee, J.-P.; Yu, M.-T. Catastrophe risk, reinsurance and securitized risk-transfer solutions: A review. China Financ. Rev. Int. 2021, 11, 449–473. [Google Scholar] [CrossRef]
- Yue, H. EVT and Its Application to Pricing of Catastrophe (Typhoon) Reinsurance. Am. J. Appl. Math. 2016, 4, 105. [Google Scholar] [CrossRef]
- Chao, W. Valuing multirisk catastrophe reinsurance based on the cox-ingersoll-ross (CIR) model. Discret. Dyn. Nat. Soc. 2021, 2021, 8818486. [Google Scholar] [CrossRef]
- Albrecher, H.; Teugels, J.L. On excess-of-loss reinsurance. Theory Probab. Math. Stat. 2009, 79, 7–22. [Google Scholar] [CrossRef]
- Lin, W.C.; Lai, Y.H. Evaluating catastrophe reinsurance contracts: An option pricing approach with extreme risk. Appl. Financ. Econ. 2012, 22, 1017–1028. [Google Scholar] [CrossRef]
- Ekheden, E.; Hössjer, O. Pricing catastrophe risk in life (re)insurance. Scand. Actuar. J. 2014, 4, 352–367. [Google Scholar] [CrossRef]
- Leppisaari, M. Modeling catastrophic deaths using EVT with a microsimulation approach to reinsurance pricing. Scand. Actuar. J. 2016, 2016, 113–145. [Google Scholar] [CrossRef]
- Saputra, J.; Fauzia, T.; Sukono, S.; Riaman, R. Estimation of Reinsurance Risk Value Using the Excess of Loss Method. Int. J. Business, Econ. Soc. Dev. 2020, 1, 31–39. [Google Scholar] [CrossRef]
- Khare, S.; Roy, K. Quantifying the role of occurrence losses in catastrophe excess of loss reinsurance pricing. Risks 2021, 9, 52. [Google Scholar] [CrossRef]
- Chao, W. Pricing catastrophe reinsurance under the standard deviation premium principle. AIMS Math. 2022, 7, 4472–4484. Available online: https://www.aimspress.com/aimspress-data/math/2022/3/PDF/math-07-03-249.pdf (accessed on 3 January 2021). [CrossRef]
- Chan, W.-S.; Yang, H.; Zhang, L. Some results on ruin probabilities in a two-dimensional risk model. Insur. Math. Econ. 2003, 32, 345–358. [Google Scholar] [CrossRef]
- Drexler, A.; Rosen, R. Exposure to catastrophe risk and use of reinsurance: An empirical evaluation for the U.S. Geneva Pap. Risk Insur. Issues Pract. 2022, 47, 103–124. [Google Scholar] [CrossRef]
- Gençay, R.; Selçuk, F.; Ulugülyaǧci, A. High volatility, thick tails and extreme value theory in value-at-risk estimation. Insur. Math. Econ. 2003, 33, 337–356. [Google Scholar] [CrossRef]
- Pickands, J., III. Statistical Inference Using Extreme Order Statistics. Ann. Stat. 1975, 3, 119–131. [Google Scholar] [CrossRef]
- Dickson, D.C.M. Insurance Risk and Ruin, 2nd ed.; Cambridge University Press: Cambridge, UK, 2016. [Google Scholar] [CrossRef]
- Rydman, M. Application of the Peaks-Over-Threshold Method on Insurance Data. Uppsala Univ. U.U.D.M. Proj. Rep. 2018, 32, 1–21. [Google Scholar]
- Sodiq, J.; Setiawan, S.; Sutikno, S. Pengukuran Risiko pada Klaim Asuransi ‘X’ dengan Menggunakan Metode Generalized Extreme Value dan Generalize Pareto Dsitribution. Sains dan Seni 2012, 1, 75. [Google Scholar] [CrossRef]
- Jocković, J. Quantile estimation for the generalized pareto distribution with application to finance. Yugosl. J. Oper. Res. 2012, 22, 297–311. [Google Scholar] [CrossRef]
- Cohen, J.E.; Davis, R.A.; Samorodnitsky, G. Heavy-tailed distributions, correlations, kurtosis and Taylor’s Law of fluctuation scaling: Heavy Tails Outweigh Correlations. Proc. R. Soc. A Math. Phys. Eng. Sci. 2020, 476, 20200610. [Google Scholar] [CrossRef]
- Embrechts, P.; Höing, A.; Juri, A. Using copulae to bound the Value-at-Risk for functions of dependent risks. Financ. Stoch. 2003, 7, 145–167. [Google Scholar] [CrossRef]
- Li, J.; Cai, Z.; Liu, Y.; Ling, C. Extremal Analysis of Flooding Risk and Its Catastrophe Bond Pricing. Mathematics 2023, 11, 114. [Google Scholar] [CrossRef]
- Jaladri, A.S.; Nurrohmah, S.; Fithriani, I. Pricing catastrophe reinsurance risk premium using Peaks over Threshold (POT) model. J. Phys. Conf. Ser. 2021, 1725, 012086. [Google Scholar] [CrossRef]
- Riaman; Susanti, D.; Supriatna, A.; Ruchjana, B.N. Calculation of benefit reserves based on true m-thly benefit premiums. J. Phys. Conf. Ser. 2017, 893, 012029. [Google Scholar] [CrossRef]
- Eden, Y.; Katz, E.; Rosenberg, J. Loading Factors and Equilibria in Insurance Markets. J. Insur. Issues 2003, 26, 51–62. [Google Scholar]
- Cui, P.; Peng, J.; Shi, P.; Tang, H.; Ouyang, C.; Zou, Q.; Liu, L.; Li, C.; Lei, Y. Scientific challenges of research on natural hazards and disaster risk. Geogr. Sustain. 2021, 2, 216–223. [Google Scholar] [CrossRef]
- Putri, A.D.; Nurrohmah, S.; Fithriani, I. Quota-share and stop-loss reinsurance combination based on Value-at-Risk (VaR) optimization. J. Phys. Conf. Ser. 2021, 1725, 012097. [Google Scholar] [CrossRef]
- Bader, B.; Yan, J.; Zhang, X. Automated threshold selection for extreme value analysis via ordered goodness-of-fit tests with adjustment for false discovery rate. Ann. Appl. Stat. 2018, 12, 310–329. [Google Scholar] [CrossRef]





| Variable | Size | Min | Median | Mean | Max | Skewness | Kurtosis |
|---|---|---|---|---|---|---|---|
| Houses Damaged | 200 | 0 | 272.8559 | 797.0933 | 15403 | 4.8153 | 26.6895 |
| Deaths | 200 | 0 | 3.0844 | 13.2573 | 278 | 4.9780 | 27.8090 |
| Statistic | p-Value | Critical Value | Result | |
|---|---|---|---|---|
| Houses Damaged | 0.12401 | 0.901 | 0.29408 | Reject |
| Death | 0.1881 | 0.91262 | 0.29408 | Reject |
| The-th Iteration | |||
|---|---|---|---|
| 0 | −0.052676648 | 3453.6093792 | - |
| 1 | 0.003543821 | 3530.6210041 | 77.0116455 |
| 2 | 0.0592273009 | 3413.0714584 | 117.5495589 |
| 3 | 0.075064371 | 3377.0957958 | 35.9756661 |
| 4 | 0.075902282 | 3375.3715880 | 1.7242081 |
| 5 | 0.0759004605 | 3375.3668228 | 0.0047651 |
| 6 | 0.075904605 | 3375.3668228 | 0.0000000 |
| Parameters | ||||
|---|---|---|---|---|
| Houses Damaged | 0.075904605 | 3375.3668228 | 1487 | 20 |
| Death | 0.207918832 | 53.7041312 | 27 | 20 |
| Text Interpretation | Symbol | Value |
|---|---|---|
| Claim coefficient of houses damaged (one house) | IDR 30 Million | |
| Claim coefficient of deaths (one person) | IDR 10 Million | |
| Loading factor | 0.3 | |
| Earthquake intensity per year | 29 |
| Premium (IDR Billion) | |
|---|---|
| Single Risk (Houses Damaged) Premium | 400.4 |
| Single Risk (Deaths) Premium | 2.5 |
| Double Risk Premium | 581 |
| Percentage | Threshold Value | (IDR Million) | |
|---|---|---|---|
| Houses Damaged | Deaths | ||
| 10% | 1487 | 27 | 581 |
| 15% | 859 | 17 | 681 |
| 20% | 735 | 10 | 732 |
| 25% | 582 | 7 | 827 |
Disclaimer/Publisher’s Note: The statements, opinions and data contained in all publications are solely those of the individual author(s) and contributor(s) and not of MDPI and/or the editor(s). MDPI and/or the editor(s) disclaim responsibility for any injury to people or property resulting from any ideas, methods, instructions or products referred to in the content. |
© 2023 by the authors. Licensee MDPI, Basel, Switzerland. This article is an open access article distributed under the terms and conditions of the Creative Commons Attribution (CC BY) license (https://creativecommons.org/licenses/by/4.0/).
Share and Cite
Surya, H.A.; Napitupulu, H.; Sukono. Double Risk Catastrophe Reinsurance Premium Based on Houses Damaged and Deaths. Mathematics 2023, 11, 810. https://doi.org/10.3390/math11040810
Surya HA, Napitupulu H, Sukono. Double Risk Catastrophe Reinsurance Premium Based on Houses Damaged and Deaths. Mathematics. 2023; 11(4):810. https://doi.org/10.3390/math11040810
Chicago/Turabian StyleSurya, Hilda Azkiyah, Herlina Napitupulu, and Sukono. 2023. "Double Risk Catastrophe Reinsurance Premium Based on Houses Damaged and Deaths" Mathematics 11, no. 4: 810. https://doi.org/10.3390/math11040810
APA StyleSurya, H. A., Napitupulu, H., & Sukono. (2023). Double Risk Catastrophe Reinsurance Premium Based on Houses Damaged and Deaths. Mathematics, 11(4), 810. https://doi.org/10.3390/math11040810

