A Dam Deformation Residual Correction Method for High Arch Dams Using Phase Space Reconstruction and an Optimized Long Short-Term Memory Network
Abstract
1. Introduction
2. Materials and Methods
2.1. The Framework
2.2. Dam Statistical Monitoring Model
2.3. Phase Space Reconstruction
2.4. Improved LSTM Architecture
2.5. Improved GWO Optimization Strategy
3. Case Study
3.1. Project Description
3.2. Prototypical Data Visualization and Analysis
3.3. Evaluation Indicator
4. Experimental Result Analysis
4.1. MLR Fitting Result
4.2. Residual Optimization and Reconstruction Result
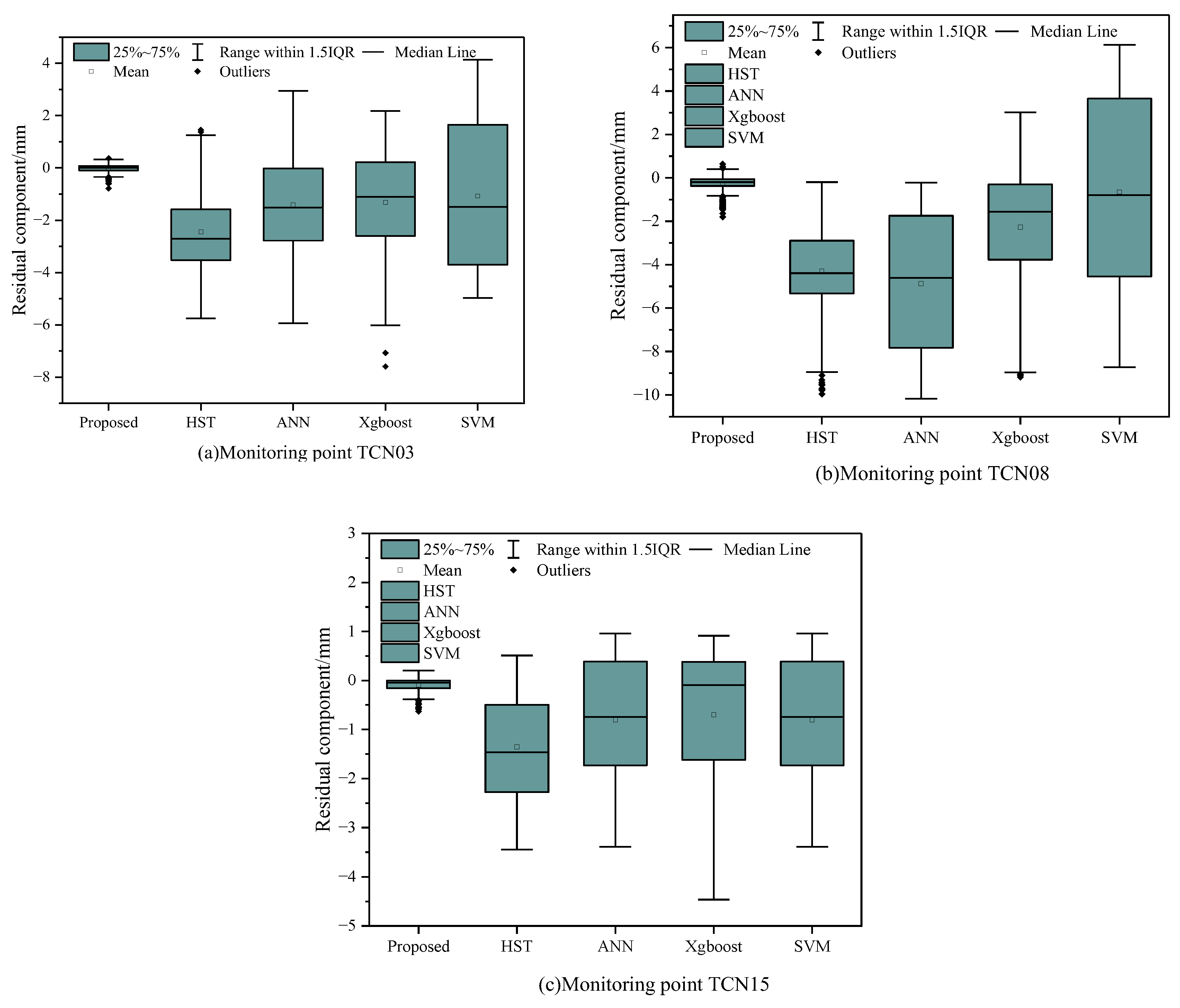
4.3. Comparative Study
5. Conclusions and Discussion
Author Contributions
Funding
Data Availability Statement
Conflicts of Interest
References
- Niu, X. The First Stage of the Middle-Line South-to-North Water-Transfer Project. Engineering 2022, 16, 21–28. [Google Scholar] [CrossRef]
- Su, H.; Li, X.; Yang, B.; Wen, Z. Wavelet Support Vector Machine-Based Prediction Model of Dam Deformation. Mech. Syst. Signal Process. 2018, 110, 412–427. [Google Scholar] [CrossRef]
- Su, H.; Wen, Z.; Zhang, S.; Tian, S. Method for Choosing the Optimal Resource in Back-Analysis for Multiple Material Parameters of a Dam and Its Foundation. J. Comput. Civ. Eng. 2016, 30, 04015060. [Google Scholar] [CrossRef]
- Gu, C.; Fu, X.; Shao, C.; Shi, Z.; Su, H. Application of Spatiotemporal Hybrid Model of Deformation in Safety Monitoring of High Arch Dams: A Case Study. Int. J. Environ. Res. Public Health 2020, 17, 319. [Google Scholar] [CrossRef]
- Yuan, D.; Gu, C.; Qin, X.; Shao, C.; He, J. Performance-Improved TSVR-Based DHM Model of Super High Arch Dams Using Measured Air Temperature. Eng. Struct. 2022, 250, 113400. [Google Scholar] [CrossRef]
- Chen, C.; Xiao, B.; Zhang, Y.; Zhu, Z. Automation in Construction Automatic Vision-Based Calculation of Excavator Earthmoving Productivity Using Zero-Shot Learning Activity Recognition. Autom. Constr. 2023, 146, 104702. [Google Scholar] [CrossRef]
- Zhu, Y.; Tang, H. Automatic Damage Detection and Diagnosis for Hydraulic Structures Using Drones and Artificial Intelligence Techniques. Remote Sens. 2023, 15, 615. [Google Scholar] [CrossRef]
- Zhu, Y.; Zhang, Z.; Gu, C.; Li, Y.; Zhang, K.; Xie, M. A Coupled Model for Dam Foundation Seepage Behavior Monitoring and Forecasting Based on Variational Mode Decomposition and Improved Temporal Convolutional Network. Struct. Control Health Monit. 2023, 2023, 3879096. [Google Scholar] [CrossRef]
- Shi, S.; Du, D.; Mercan, O.; Kalkan, E.; Wang, S. A Novel Unsupervised Real-Time Damage Detection Method for Structural Health Monitoring Using Machine Learning. Struct. Control Health Monit. 2022, 29, e3042. [Google Scholar] [CrossRef]
- Sony, S.; Laventure, S.; Sadhu, A. A Literature Review of Next-Generation Smart Sensing Technology in Structural Health Monitoring. Struct. Control Health Monit. 2019, 26, e2321. [Google Scholar] [CrossRef]
- Mata, J.; Tavares de Castro, A.; Sá da Costa, J. Constructing Statistical Models for Arch Dam Deformation. Struct. Control Health Monit. 2014, 21, 423–437. [Google Scholar] [CrossRef]
- Zheng, S.; Shao, C.; Gu, C.; Xu, Y. An Automatic Data Process Line Identification Method for Dam Safety Monitoring Data Outlier Detection. Struct. Control Health Monit. 2022, 29, e2948. [Google Scholar] [CrossRef]
- Li, Y.; Zhang, H.; Wen, L.; Shi, N. A Prediction Model for Deformation Behavior of Concrete Face Rockfill Dams Based on the Threshold Regression Method. Arab. J. Sci. Eng. 2021, 46, 5801–5816. [Google Scholar] [CrossRef]
- Bui, K.T.T.; Torres, J.F.; Gutiérrez-Avilés, D.; Nhu, V.H.; Bui, D.T.; Martínez-Álvarez, F. Deformation Forecasting of a Hydropower Dam by Hybridizing a Long Short-Term Memory Deep Learning Network with the Coronavirus Optimization Algorithm. Comput. Civ. Infrastruct. Eng. 2022, 37, 1368–1386. [Google Scholar] [CrossRef]
- Tatin, M.; Briffaut, M.; Dufour, F.; Simon, A.; Fabre, J.P. Statistical Modelling of Thermal Displacements for Concrete Dams: Influence of Water Temperature Profile and Dam Thickness Profile. Eng. Struct. 2018, 165, 63–75. [Google Scholar] [CrossRef]
- Dai, B.; Gu, C.; Zhao, E.; Qin, X. Statistical Model Optimized Random Forest Regression Model for Concrete Dam Deformation Monitoring. Struct. Control Health Monit. 2018, 25, e2170. [Google Scholar] [CrossRef]
- Shao, C.; Gu, C.; Yang, M.; Xu, Y.; Su, H. A Novel Model of Dam Displacement Based on Panel Data. Struct. Control Health Monit. 2018, 25, e2037. [Google Scholar] [CrossRef]
- Wei, B.; Yuan, D.; Li, H.; Xu, Z. Combination Forecast Model for Concrete Dam Displacement Considering Residual Correction. Struct. Health Monit. 2019, 18, 232–244. [Google Scholar] [CrossRef]
- Wei, B.; Liu, B.; Yuan, D.; Mao, Y.; Yao, S. Spatiotemporal Hybrid Model for Concrete Arch Dam Deformation Monitoring Considering Chaotic Effect of Residual Series. Eng. Struct. 2021, 228, 111488. [Google Scholar] [CrossRef]
- Li, M.; Shen, Y.; Ren, Q.; Li, H. A New Distributed Time Series Evolution Prediction Model for Dam Deformation Based on Constituent Elements. Adv. Eng. Inform. 2019, 39, 41–52. [Google Scholar] [CrossRef]
- Ren, Q.; Li, M.; Song, L.; Liu, H. An Optimized Combination Prediction Model for Concrete Dam Deformation Considering Quantitative Evaluation and Hysteresis Correction. Adv. Eng. Inform. 2020, 46, 101154. [Google Scholar] [CrossRef]
- Ren, Q.; Li, M.; Kong, T.; Ma, J. Multi-Sensor Real-Time Monitoring of Dam Behavior Using Self-Adaptive Online Sequential Learning. Autom. Constr. 2022, 140, 104365. [Google Scholar] [CrossRef]
- Xu, Y.; Zheng, D.; Shao, C.; Zheng, S.; Gu, H. Structural Modal Parameter Identification Method Based on the Delayed Transfer Rate Function under Periodic Excitations. Mathematics 2023, 11, 1019. [Google Scholar] [CrossRef]
- Pan, Y.; Zhang, L. Roles of Artificial Intelligence in Construction Engineering and Management: A Critical Review and Future Trends. Autom. Constr. 2021, 122, 103517. [Google Scholar] [CrossRef]
- Chen, B.; Huang, Z.-s.; Bao, T.-f.; Zhu, Z. Deformation Early-Warning Index for Heightened Gravity Dam during Impoundment Period. Water Sci. Eng. 2021, 14, 54–64. [Google Scholar] [CrossRef]
- Ren, Q.; Li, M.; Li, H.; Shen, Y. A Novel Deep Learning Prediction Model for Concrete Dam Displacements Using Interpretable Mixed Attention Mechanism. Adv. Eng. Inform. 2021, 50, 101407. [Google Scholar] [CrossRef]
- Şenel, F.A.; Gökçe, F.; Yüksel, A.S.; Yiğit, T. A Novel Hybrid PSO–GWO Algorithm for Optimization Problems. Eng. Comput. 2019, 35, 1359–1373. [Google Scholar] [CrossRef]
- Kaveh, A.; Zakian, P. Improved GWO Algorithm for Optimal Design of Truss Structures. Eng. Comput. 2018, 34, 685–707. [Google Scholar] [CrossRef]
- Al Thobiani, F.; Khatir, S.; Benaissa, B.; Ghandourah, E.; Mirjalili, S.; Abdel Wahab, M. A Hybrid PSO and Grey Wolf Optimization Algorithm for Static and Dynamic Crack Identification. Theor. Appl. Fract. Mech. 2022, 118, 103213. [Google Scholar] [CrossRef]
- Agatonovic-Kustrin, S.; Beresford, R. Basic Concepts of Artificial Neural Network (ANN) Modeling and Its Application in Pharmaceutical Research. J. Pharm. Biomed. Anal. 2000, 22, 717–727. [Google Scholar] [CrossRef]
- Osman, A.I.A.; Ahmed, A.N.; Chow, M.F.; Huang, Y.F.; El-Shafie, A. Extreme gradient boosting (Xgboost) model to predict the groundwater levels in Selangor Malaysia. Ain Shams Eng. J. 2021, 12, 1545–1556. [Google Scholar] [CrossRef]
- Zang, W.; Zheng, Y.; Zhang, Y.; Lin, X.; Li, Y.; Fernandez-Rodriguez, E. Numerical Investigation on a Diffuser-Augmented Horizontal Axis Tidal Stream Turbine with the Entropy Production Theory. Mathematics 2023, 11, 116. [Google Scholar] [CrossRef]
- Zhang, Z.; Zhang, Y.; Zheng, Y.; Fernandez-Rodriguez, E.; Zang, W.; Ji, R. Power fluctuation and wake characteristics of tidal stream turbine subjected to wave and current interaction. Energy 2023, 264, 126185. [Google Scholar] [CrossRef]
- Zhang, Y.; Zang, W.; Zheng, J.; Cappietti, L.; Zhang, J.; Zheng, Y.; Fernandez-Rodriguez, E. The influence of waves propagating with the current on the wake of a tidal stream turbine. Appl. Energy 2021, 290, 116729. [Google Scholar] [CrossRef]















| Parameters | Parameter Range |
|---|---|
| Learning_rate | [0.1–0.3] |
| Neural network layers | [1–3] |
| Kernel number 1 | [100–300] |
| Kernel number 2 | 141 |
| Parameters | TCN03 | TCN08 | TCN15 |
|---|---|---|---|
| Learning_rate | 0.10 | 0.11 | 0.23 |
| Neural network layers | 2 | 2 | 2 |
| Kernel number 1 | 245 | 264 | 167 |
| Kernel number 2 | 141 | 294 | 259 |
| Models | R2 | MAE | MSE |
|---|---|---|---|
| TCN03 | |||
| Proposed | 0.9998 | 0.1158 | 0.1594 |
| HST | 0.9375 | 2.5980 | 2.9246 |
| SVM | 0.9593 | 2.0133 | 2.3689 |
| ANN | 0.9579 | 1.8140 | 2.3303 |
| XGBoost | 0.9141 | 2.6962 | 2.9697 |
| TCN08 | |||
| Proposed | 0.9996 | 0.3143 | 0.4502 |
| HST | 0.9477 | 4.2977 | 4.7713 |
| SVM | 0.9083 | 4.8708 | 5.8522 |
| ANN | 0.9718 | 2.5675 | 3.5103 |
| XGBoost | 0.9325 | 4.0489 | 4.5511 |
| TCN15 | |||
| Proposed | 0.9996 | 0.1136 | 0.1673 |
| HST | 0.9553 | 1.4167 | 1.7176 |
| SVM | 0.9666 | 1.1545 | 1.4885 |
| ANN | 0.9612 | 1.0650 | 1.5763 |
| XGBoost | 0.9666 | 1.1545 | 1.4885 |
Disclaimer/Publisher’s Note: The statements, opinions and data contained in all publications are solely those of the individual author(s) and contributor(s) and not of MDPI and/or the editor(s). MDPI and/or the editor(s) disclaim responsibility for any injury to people or property resulting from any ideas, methods, instructions or products referred to in the content. |
© 2023 by the authors. Licensee MDPI, Basel, Switzerland. This article is an open access article distributed under the terms and conditions of the Creative Commons Attribution (CC BY) license (https://creativecommons.org/licenses/by/4.0/).
Share and Cite
Zhu, Y.; Xie, M.; Zhang, K.; Li, Z. A Dam Deformation Residual Correction Method for High Arch Dams Using Phase Space Reconstruction and an Optimized Long Short-Term Memory Network. Mathematics 2023, 11, 2010. https://doi.org/10.3390/math11092010
Zhu Y, Xie M, Zhang K, Li Z. A Dam Deformation Residual Correction Method for High Arch Dams Using Phase Space Reconstruction and an Optimized Long Short-Term Memory Network. Mathematics. 2023; 11(9):2010. https://doi.org/10.3390/math11092010
Chicago/Turabian StyleZhu, Yantao, Mingxia Xie, Kang Zhang, and Zhipeng Li. 2023. "A Dam Deformation Residual Correction Method for High Arch Dams Using Phase Space Reconstruction and an Optimized Long Short-Term Memory Network" Mathematics 11, no. 9: 2010. https://doi.org/10.3390/math11092010
APA StyleZhu, Y., Xie, M., Zhang, K., & Li, Z. (2023). A Dam Deformation Residual Correction Method for High Arch Dams Using Phase Space Reconstruction and an Optimized Long Short-Term Memory Network. Mathematics, 11(9), 2010. https://doi.org/10.3390/math11092010
