Next Article in Journal
Performance Evaluation of Grid-Connected DFIG-Based WECS with Battery Energy Storage System under Wind Alterations Using FOPID Controller for RSC
Next Article in Special Issue
Modeling and Heuristically Solving Group Train Operation Scheduling for Heavy-Haul Railway Transportation
Previous Article in Journal
Optimizing Retaining Walls through Reinforcement Learning Approaches and Metaheuristic Techniques
Previous Article in Special Issue
Solving Optimal Power Flow Problem via Improved Constrained Adaptive Differential Evolution
 
 
Font Type:
Arial Georgia Verdana
Font Size:
Aa Aa Aa
Line Spacing:
Column Width:
Background:
Article

Dynamic Evaluation of Product Innovation Knowledge Concerning the Interactive Relationship between Innovative Subjects: A Multi-Objective Optimization Approach

1
School of Business, Xiangtan University, Xiangtan 411105, China
2
School of Mathematics and Computational Science, Xiangtan University, Xiangtan 411105, China
3
Management Committee of Panyu Campus, Jinan University, Guangzhou 510632, China
*
Author to whom correspondence should be addressed.
These authors contributed to the work equally and should be regarded as co-first authors.
Mathematics 2023, 11(9), 2105; https://doi.org/10.3390/math11092105
Submission received: 29 March 2023 / Revised: 25 April 2023 / Accepted: 27 April 2023 / Published: 28 April 2023
(This article belongs to the Special Issue Optimization in Scheduling and Control Problems)

Abstract

Product innovation knowledge, in prior studies, has been subjectively evaluated by a single stakeholder, resulting in a notable bias toward the chosen solution. Specifically, the selected product innovation solution may fail to incorporate the interests and demands of innovation subjects, potentially leading to conflicting innovation solutions and inefficiencies. Recently, many external parties, such as consumers and supply chain partners, have been involved in innovative work to create a substantial amount of the product interactive innovation knowledge (PIIK). The value of PIIK is hard to evaluate since this knowledge has evolved as a dynamic relationship among external parties. Thus, a novel method that integrates dynamic knowledge evolution and multiple stakeholders should be developed to dynamically evaluate the value of PIIK. Specially, the objectives in this paper are the knowledge evaluation scores of different innovative aspects and the ability of a model to identify the optimal solutions that receive the highest score from the innovative subjects. Then, the dynamic characteristic is captured by the participation of new parties, the departure of original parties, and the new knowledge created by the existing parties. To verify the effectiveness of feasibility of this model, case studies based on the innovation of a cell phone were implemented. The results show the following: (i). When the interactive relationship is not considered, parties prefer to choose the solution that fits well with their benefits, but the solution may conflict with other solutions chosen by their partners; (ii). Although the best solution is not separately selected by all parties when the interactive relationship is considered, the solution combined with the satisfactory result presents a better performance on product innovation; (iii). Dynamic characteristic should be considered in evaluation process, especially when the core parties are changed.

1. Introduction

Interactive innovation, also called cocreation, is a new paradigm in the field of management. The idea of product innovation originated from external parties, such as consumers and supply chain partners [1]. According to Lee et al. [2], interactive innovation is a dynamic process that involves multiple product interactive innovation subjects and the integration of product innovation knowledge among these subjects. Product interactive innovation knowledge (PIIK) is the knowledge that is fused, created, and updated through the knowledge interaction between these subjects [3,4]. The PIIK generates a vast amount of product innovation ideas, from which the best ones are selected and designed into specific and detailed product innovation solutions, leading to the production of new products that meet the innovative market demand [5].
The core of product interactive innovation is the effective use of PIIK. In the actual product interactive innovation process, many different product interactive innovation subjects participate in the interaction and contribute their knowledge. However, not all the knowledge generated by the interaction of innovation subjects can serve the objectives and needs of the product interactive innovation due to the diverse knowledge backgrounds and different motives [6]. Enterprises, therefore, selectively adopt PIIK when proposing next-generation innovative product solutions. Product interactive innovation has become a new management paradigm and a process of dynamic knowledge interaction [7]. Only by optimally utilizing the product interactive innovation knowledge generated can an innovative company effectively respond to the multiple challenges of the market. Hence, an objective evaluation of PIIK is necessary to preferentially select the most valuable PIIK that best meets the needs of all product interactive innovation subjects [8].
Numerous scholars have conducted research on matters concerning the evaluation of product innovation knowledge. These studies have primarily focused on the static evaluation of knowledge related to a single innovation subject, such as product development, design, innovation, manufacturing, and enterprise knowledge. The evaluation methods adopted in these studies mainly concentrate on static evaluation methods such as the hierarchical analysis method, data envelopment analysis, and fuzzy comprehensive evaluation [9].
Although these research efforts have significantly contributed to the development of knowledge evaluation and evaluation methods, the knowledge evaluation objects and methods of these studies mostly pertain to static evaluation of static knowledge [10]. These methods lack dynamic evaluation techniques for dynamic knowledge, which are challenging to apply directly to the dynamic evaluation of PIIK generated by the interaction of multisubject knowledge.
First, PIIK is knowledge generated by the interaction of multiple product innovation subjects’ own knowledge during the product innovation process [11]. The interaction relationship among product innovation subjects of different strengths exerts an entirely different evaluation influence on product interaction innovation knowledge [12]. Therefore, when evaluating PIIK, the interaction relationship’s strength among product innovation subjects must be fully considered. For instance, in the process of cell phone product interactive innovation, if casing manufacturers, camera manufacturers, and kernel manufacturers are involved in interactive innovation, the interaction degree of innovation knowledge between the casing manufacturer and camera manufacturer is much higher than is the interaction degree of innovation knowledge between the casing manufacturer and kernel manufacturer. Consequently, in the evaluation of cell phone product interactive innovation knowledge, the evaluation of the camera manufacturer’s innovation knowledge of the casing manufacturer carries a stronger influence than does the kernel manufacturer’s evaluation of the casing manufacturer [13]. Second, PIIK dynamically evolves with time, and changes brought about by the addition or loss of product interaction innovation subjects and the growth of product interaction innovation subjects’ new knowledge cause changes in PIIK [14]. Therefore, evaluating PIIK is not only limited to measuring product interactive innovation knowledge at a particular moment, but it also entails analyzing the dynamic changes that arise from the dynamic evolution process of PIIK. Based on this, to effectively achieve the dynamic evaluation of PIIK while considering the interaction of innovation subjects and the dynamic nature of PIIK, we conducted this study with the primary objective of addressing the core issue of this product interactive innovation knowledge evaluation problem.
This paper presents a mathematical model of dynamic evaluation of PIIK that considers the interaction relationship of product interactive innovation subjects and the dynamics of PIIK. The model is based on multi-objective optimization and aims to analyze the dynamic evolution of PIIK with multiple indicators and multiple subjects. The study discusses the mechanism and principle of PIIK evaluation considering subject interaction in depth and proposes product interactive innovation network and the interaction coefficient of the subject relationship to analyze the possible situations of the dynamic evolution of PIIK. The model and tools are effective in analyzing different scenarios of PIIK dynamic evaluation, including the joining or withdrawal of innovation subjects from interaction and the generation of new knowledge by original innovation subjects. The study provides a systematic and comprehensive approach to evaluating PIIK in the context of product interactive innovation, and the proposed model and tools represent a valuable contribution to the field of dynamic evaluation of PIIK.
The remainder of this paper is structured as follows. Section 2 presents a systematic literature review. In Section 3, the dynamic evaluation model of product innovation knowledge concerning the interactive relationship between innovative subjects is formulated. Section 4 presents case studies based on cell phone innovation, so as to validate the effectiveness and feasibility of the model. The final section concludes the main findings, implications for practices, and limitations and future directions.

2. Literature Review

In line with the title and structure of this paper, three of the following aspects are reviewed: (i) product interactive innovation, (ii) evaluation methods of innovative knowledge, and (iii) application of multi-objective planning in the field of decision science.

2.1. Product Interactive Innovation

Product innovation research has been continuously developing, with a growing emphasis on the importance of an “interaction orientation” to achieve success in the highly competitive market. Chase (1978) was among the first to propose the concept of “customer contact,” which underscores the significance of integrating customers into the innovation system through their active participation [15]. Jeppesen et al. argue that different innovation subjects possess unique knowledge bases and structures and can apply innovation knowledge in different ways and to varying degrees, thus emphasizing the importance of diversity in innovation [16]. Bigliardi developed a theoretical model that explores the impact of extrinsic, inner, and internal goals on innovation subjects’ intention to participate continuously in open innovation behavior [17]. This model highlights the importance of innovation parties’ goals in shaping cocreation behavior in an open innovation environment.
As research on product interaction innovation has diversified, attention has shifted toward exploring the link between stakeholder participation in innovation and cocreation [18]. For instance, Loureiro et al. have focused on customer engagement, supply chain integration, and corporate management [19]. Fernandes et al. have utilized virtual communities to facilitate interaction, while Freije et al. have studied the interaction and collaboration of various actors in the supply chain, highlighting the importance of internal and external integration for enhancing manufacturing companies’ innovation capabilities [20]. Ruoslahti has explored the impact of project management complexity on cocreation innovation knowledge generated by EU cross-border innovation projects, demonstrating the potential of complexity elements to provide insights into innovation projects and improve their efficiency [21].
In the era of big data, product interaction innovation has increasingly embraced modularity [22]. Chou et al. have studied modular innovation in the mobile retail industry, utilizing both radical and incremental innovation dimensions [23]. Adel et al. have used structural equation modeling to explore the impact of the innovation climate on cocreation modularity mass innovation in the Egyptian jewelry market [24].

2.2. Evaluation Methods of Innovative Knowledge

As innovation becomes increasingly complex, the generation of innovation knowledge is on the rise, and effective management of this knowledge is crucial for achieving continuous innovation in products, organizations, and supply chains [25,26]. Innovation knowledge evaluation, an important part of innovation knowledge management, involves sorting out existing innovation knowledge, assessing its value and utilization, determining the priority level for knowledge management, and creating conditions for knowledge application and innovation [27]. Various scholars have employed different methods to evaluate innovative knowledge, including hierarchical analysis weighting, fuzzy integrated analysis, principal component analysis, and data envelopment analysis.
For example, Mannan et al. used the analytic hierarchy process (AHP) approach to identify the relative importance of different dimensions and determinants critical to the diffusion and adoption of product innovations. Based on global weights, they argued that timely organizational response and adjustment can contribute to the diffusion of product innovation [28]. Xu et al. developed a quantitative model of knowledge evaluation for the product design lifecycle by defining the product development and knowledge evolution process as the reaction point for designers to change the product state in the innovation process. Practical cases were used to conduct a specific evaluation [29]. Ma et al. established a multisubject-oriented innovation evaluation model based on the AHP-EW method to evaluate policy innovation in the new energy vehicle industry in China, Japan, Germany, and the United States [30]. They concluded that policy formulation under an innovative and sustainable orientation can promote the transformation and upgrading of the new energy vehicle industry. Wang et al. established a knowledge evaluation system for manufacturing process-oriented innovation in an open innovation environment by combining multicriteria decision-making and fuzzy composite evaluation methods [31]. They explored methods for determining the criteria weights of the knowledge evaluation index system to provide a reference for constructing an innovation process-oriented knowledge evaluation system. Yu et al. used dynamic network data envelopment analysis methods to establish an improved evaluation model for innovation knowledge [32]. Akhavan et al. used the fuzzy technique for order of preference by similarity to ideal solution (TOPSIS) method to assess the priority of innovation knowledge management in an enterprise by using organizational interaction maturity as an indicator [33]. This provides a feasible reference method for knowledge management with interaction characteristics in organizations. Bao et al. constructed a knowledge transfer connection model for use in the innovation process from a neural network perspective, with reputation and cooperation, technical strength, and capital level as evaluation indicators of knowledge networks [34]. They analyzed the incentive relationship of knowledge transfer in the innovation process based on the innovation mechanism of multisubject innovation. Liu used the fuzzy evaluation of knowledge management based on a fuzzy evaluation algorithm and an artificial intelligence evaluation model to assess the innovative knowledge management of 16 universities [35]. The findings showed that talent cultivation and collaborative innovation were the main factors influencing knowledge innovation in universities, providing a new scheme for innovative knowledge management in universities in the future.

2.3. Application of Multi-Objective Planning in the Field of Decision Science

Multi-objective optimization refers to a situation where multiple objectives need to be achieved. Due to the inherent conflict between these objectives, optimizing one objective can lead to the deterioration of other objectives. Therefore, finding a unique optimal solution is difficult, and instead, coordination and compromise must be made among the objectives to achieve the overall objective as optimally as possible [36,37]. In the evaluation decision-making process, various evaluation subjects are involved, forming a complex system consisting of multiple elements. As a result, decisions must be made collaboratively, taking into account the interests of all sectors to maximize the benefits of the entire system, and multi-objective planning is a scientific solution to this problem [38,39]. The literature has investigated many aspects of this problem using multi-objective planning methods.
For example, Lo et al. proposed a two-stage multicriteria decision-making approach to supplier selection and logistics planning, utilizing a multi-objective optimization approach with fuzzy logic to enhance economic, environmental, social, and institutional sustainability [40]. This method determined the ranking of suppliers and provided improvement strategies for underperforming suppliers. Ghazinoory et al. presented a novel application of a multi-objective decision-making approach in designing a policy portfolio to increase R&D operational expenditures in Iran, thereby designing a policy portfolio with maximum effectiveness and feasibility [41]. Erdogan et al. proposed an integrated multi-objective optimization and multicriteria decision model to address workplace electric vehicle charging infrastructure, which involved various conflicting individual objectives [42]. This method ranked the selected solutions and selected the best solution considering multiple costs and benefits. Wu et al. developed a hybrid social multicriteria decision and multi-objective optimization problem technique [43]. Finally, Fattoruso et al. proposed a new multicriteria decision aid to classify manufacturing errors in automotive plants, utilizing a multi-objective portfolio problem to select a set of the most critical processes based on the number of errors in each process and their priority and finding the most preferred process portfolio by considering stakeholder preferences [44].

2.4. Research Gaps

Based on literature review and the comparison presented in Table 1, research gaps are summarized as follows.
  • The existing literature on PIIK generated by the knowledge interaction of multiple product interactive innovation subjects is limited, with most studies focusing on customer collaborative innovation knowledge, intraorganizational management knowledge, and supply chain integration. Furthermore, there is a paucity of research that considers the dynamic nature of PIIK and evaluates it from a dynamic perspective.
  • Most of the literature on PIIK measurement and evaluation focuses on a predefined single innovation subject or a selected class of knowledge without considering the interaction between subjects. Additionally, existing research predominantly adopts a static approach to measure and evaluate existing knowledge, neglecting the dynamic nature of knowledge.
  • Although multi-objective planning methods can consider the variability of goals among subjects and the innovation needs of different subjects, there is a lack of literature that employs these methods to evaluate and prefer PIIK, particularly in the context of innovation knowledge evaluation.

3. Dynamic Evaluation Model of Product Innovation Knowledge Concerning the Interactive Relationship between Innovative Subjects

In this section, problem description including the components parts and the procedure of the dynamic evaluation is presented first. Then, model formulation and model analysis are detailed.

3.1. Component Parts of Multi-Objective Dynamic Evaluation

The implementation of the dynamic evaluation of PIIK with consideration to the interaction relationship among subjects is carried out within the knowledge interaction basic environment of product interactive innovation. This includes various sources of product interactive innovation subjects and various platforms for knowledge interaction among such subjects, such as internal employee innovation platforms, corporate brand communities, user forums, official websites, and other source platforms of PIIK both internal and external to the enterprise. Within this innovation foundation environment, enterprises can acquire knowledge from each product interactive innovation subject and build the basic source knowledge base of PIIK.
The interaction formation of PIIK is the basis of its dynamic evaluation. Product interactive innovation subjects spontaneously interact with other such subjects using their knowledge to meet the needs of innovative products when their own innovative knowledge has limitations. However, due to the differing knowledge characteristics, innovation demands, and knowledge action mechanisms of product interactive innovation subjects, not all innovation subjects can interact with each other in the process of interactive innovation, and the knowledge interaction mode and intensity among different innovation subjects that can interact may vary. When evaluating innovation knowledge, it is essential for innovative enterprises to identify the PIIK evaluation subject and object so that the interaction between the interactive subjects can be evaluated and the foundation for the dynamic evaluation of PIIK can be firmly established.
Once the interaction between innovation subjects has been confirmed, a specific dynamic evaluation of PIIK is carried out. The evaluation of PIIK is essentially a selection process. The PIIK evaluation indicator system is determined by matching the product innovation requirements with the acquired PIIK, and then the evaluation scores of each PIIK under multiple indicator dimensions are calculated. This enables the selection of the PIIK that best satisfies the demands of all innovation subjects under this evaluation indicator system.
Finally, through the dynamic evaluation process of PIIK, the optimal PIIK is intelligently applied to the next generation of specific product innovation solutions to match the product innovation tasks and achieve the product innovation goals.
The whole dynamic evaluation process involves several component parts, including the evaluation object of PIIK, the evaluation subject of PIIK, and the evaluation indicator of PIIK. The following discussion elaborates upon these three aspects.

3.1.1. The Evaluation Object of PIIK

The evaluation of knowledge is contingent on its carrier, and identification of knowledge objects constitutes the fundamental prerequisite of knowledge management. Knowledge elements refer to the smallest units of knowledge expression that cannot be further divided and which may take the form of concepts, formulae, or procedures. Knowledge elements can be combined through tangible carriers, and their different arrangements can result in diverse knowledge units. Consequently, knowledge elements represent the basis of knowledge units, which, in turn, are the links between different knowledge elements. Knowledge elements and units are interchangeable. This paper describes the process of PIIK granulation and generalization based on the knowledge meta theory and defines the units of PIIK evaluation in interactive innovation. PIIK granularity is determined by the innovation level, and PIIK can be subdivided into different criteria. The process of PIIK granulation is reversible and constitutes the arrangement and combination of innovation knowledge from the smallest granularity into different PIIK of the largest granularity. All PIIK of different granularities exists dynamically in the process of interactive innovation.
The granularity of PIIK can be determined based on various criteria and can be granulated into knowledge with smaller granularity or generalized into knowledge with larger granularity. The evaluation process of PIIK is based on the determined knowledge granularity requirements of the innovation product, and the final composite evaluation result of PIIK is obtained by integrating all knowledge evaluation results of the next granular layer. For instance, in the case of a smartphone enterprise whose innovation product is the cell phone, the knowledge can be divided into different categories based on the product life cycle theory or information characteristics of mobile phone products. Furthermore, the knowledge can be subdivided into the innovation of different parts and functions according to cell phone manufacturing boards and functional partitions.
The evaluation objects of PIIK differ for different innovation products and stages, and they need to be determined according to the actual innovation products and innovation demands. The evaluation results of PIIK are composed of the evaluation results of each innovation knowledge of the same granularity in the next level of the granulation layer. Therefore, assuming that the innovation product is a cell phone and the criteria for dividing the interactive innovation knowledge of cell phone products are the functional partition and manufacturing board, the evaluation of the interactive innovation knowledge of cell phone products should be the composite evaluation result of the innovation knowledge of the battery board, the innovation knowledge of the core board, and the innovation knowledge of the case board.

3.1.2. The Evaluation Subject of PIIK

The purpose of conducting PIIK dynamic evaluation is to maximize the satisfaction of the innovation needs of all product interactive innovation subjects within a determined moment while taking into consideration the determined evaluation dimensions and weights. The subjects of PIIK dynamic evaluation are the innovation subjects who participate in product interactive innovation, commonly known as product interactive innovation subjects. Each subject involved in product interactive innovation possesses a certain level of product innovation knowledge, and thus the product interactive innovation subject can also be considered the product innovation knowledge stakeholders. The product innovation knowledge stakeholders include organizations and individuals, such as customers, employees, suppliers, and partners, who are involved in the innovation process of a product.
Given that the scope of PIIK evaluation subjects covers a wide range, it is possible to characterize the product interaction innovation subjects from various perspectives. From the perspective of professional fields and geographical locations, PIIK subjects are not restricted by geographical locations. Innovation subjects in different geographical locations under cyberspace can communicate and share knowledge on the same product interactive innovation platform without limitations. Similarly, innovation subjects from different professional fields can also communicate and share knowledge on the product interactive innovation platform in a synchronized manner. From the viewpoint of the representativeness of innovation subjects, innovation subjects with different background attainments and levels differ significantly in terms of the total active degree of product interactive innovation and the influence of knowledge exchange. Expert innovation subjects with higher levels have strong representativeness in the output knowledge field, while learning innovation subjects, who are continuously absorbing knowledge, still need to improve in terms of the quantitative scale of knowledge output.
The evaluation of knowledge based on simple calculation often leads to inaccuracies and unfairness, while the evaluation provided by experts with higher weights is more reliable. Therefore, it is essential to define the importance of subjects and the interaction relationship between subjects for different evaluation subjects of PIIK according to different product innovation stages and actual innovation goals. Such an approach can enhance the accuracy of the product interactive innovation knowledge evaluation.

3.1.3. The Evaluation Indicator of PIIK

In the context of knowledge evaluation, the selection of an appropriate evaluation indicator is a crucial and essential step. It is necessary to adhere to the principles of comprehensiveness, scientificity, and rationality while also taking into account the specific environment and innovation products. Moreover, the selection of the evaluation indicator must be appropriately controlled in terms of size and flexibility. Therefore, the final selection of the evaluation indicator for product interactive innovation knowledge must consider the actual product innovation needs to determine the most suitable PIIK. Drawing upon relevant literature and materials, this paper proposes two possible categories of evaluation indicator for product innovation knowledge: general indicators and characteristic indicators. The general indicator system of PIIK evaluation can be selected by referring to the indicators listed in Table 2. On the other hand, characteristic indicators of PIIK evaluation mainly focus on the innovative product itself and include different evaluation indicators for product function and product attribute knowledge. For instance, in the case of an interactive innovation product such as a seat, the evaluation indicators may include whether the knowledge attributes in the product interactive innovation knowledge consider the comfort and safety of the seat.

3.2. Procedure

Figure 1 depicts the procedure for multi-objective dynamic evaluation of PIIK.
The detailed procedure is presented below.
Step1: The PIIK evaluation indicators and evaluation objects are determined. Selection of evaluation indicators and evaluation objects must be based on considerations of product characteristics and development stages, which are essential factors in ensuring the accuracy and comprehensiveness of the PIIK evaluation.
Step2: The static evaluation results of PIIK are obtained after the initial evaluation of n PIIK categories that have formed in the product interactive innovation network is performed.
Step3: Based on the initial evaluation results, the dynamic evaluation of PIIK is performed.
Step4: The magnitude of the results is used to select the optimal PIIK at a specific point in time.
The concepts in the procedure are elaborated below.
First, regarding the product interaction innovation network, it refers to a knowledge interaction network consisting of different interactions formed between multiple product interaction innovation subjects. The primary goal of constructing this network is to identify the innovation subjects that are connected to a specific product interaction innovation subject. The interaction between these subjects may take the form of bilateral knowledge interactions, unilateral interactions, or no interactions at all. Within this network, each node represents a unique product interaction innovation subject, and the directed edges linking the nodes represent the existence of interaction between the product interaction innovation subjects, as well as the direction of the interaction. Additionally, the weight assigned to each directed edge represents the strength of the interaction between product interaction innovation subjects. When product interaction innovation subject i and product interaction innovation subject j share knowledge, the nodes of these two subjects are connected bilaterally, with edges assigned different weights depending on the strength of the interaction between them. On the other hand, if only unilateral interaction occurs between product interaction innovation subject i and product interaction innovation subject j , the nodes of these two subjects are connected unidirectionally with the edge weight assigned based on the strength of the interaction between them. In summary, The product interaction innovation network is derived from the connections established among product innovation subjects based on their interactions.
Second, with regards to the initial evaluation, it comprises self-evaluation and peer evaluation. After determining the evaluation criteria for product interactive innovation knowledge, each innovation subject evaluates its own innovation knowledge in product interactive innovation knowledge across various evaluation dimensions. The innovation knowledge is recognized to a greater extent as the score increases. Simultaneously, the interaction intensity between each innovation subject is measured; that is, the interaction coefficient of the subject relationship and the innovation subjects with whom there is knowledge interaction score their innovation knowledge. The innovation subject’s innovation knowledge is recognized to a greater extent by the innovation subjects with whom it interacts as the score increases. Through weighted aggregation of the innovation knowledge of various product interaction innovation subjects, different composite scores of all product interaction innovation can be obtained under the knowledge evaluation indicator.
Third, the interaction coefficient of the subject relationship plays a crucial role in the product interaction innovation network as well as in the initial and dynamic evaluations. To measure the specific interaction coefficient of the subject relationship, there are generally two methods based on collecting a significant amount of literature and practical application experience. The first method involves conducting a questionnaire survey of relevant product interaction innovation subjects, where the subjective ratings of innovation subjects on other innovation subjects with whom they interact are collected using a Likert scale of ten. This approach needs to be conducted for each product interaction innovation subject to obtain the weight of each directed edge in the product interaction innovation network, i.e., the interaction coefficient of the subject relationship. The second method involves collecting the number of active interactions of a product interaction innovation subject with other innovation subjects and calculating the ratio of its active interactions with a specific innovation subject to its total number of active interactions to determine the interaction coefficient of the subject relationship. In practical applications, however, defining the boundaries of active exchanges among companies and collecting data on active interactions can be challenging. Hence, in this study, the author employs the first method, namely, a 10-point Likert scale, to measure the interaction coefficients of the subject relationships among the product interaction innovation subjects.
Finally, with regard to dynamic evaluation, unlike traditional knowledge evaluation methods, several dynamic changes of PIIK need to be considered due to the dynamic process of product interactive innovation. These changes can be classified into three types, as illustrated in Figure 2:
  • The participation of a new subject;
  • The departure of an original subject;
  • The new knowledge created by an original subject.
The following sections describe each of these cases in the dynamic evaluation.
The dynamic change of PIIK evaluation includes the following aspects.
The first is the participation of a new subject. In the event of a new product interactive innovation subject joining the product interactive innovation process, the introduction of new innovation knowledge will prompt interaction with the existing product interactive innovation subject’s innovation knowledge, thereby establishing a new interactive relationship. Moreover, the original product interactive innovation knowledge, affected by this knowledge interaction, will undergo knowledge decomposition and reorganization, leading to the emergence of new PIIK. In such circumstances, the evaluation of PIIK requires dynamic adjustments and updates to respond to changes in the interaction relationships between product interaction innovation subjects and the composition of PIIK. Specifically, the PIIK needs to be re-evaluated to account for such changes.
The second aspect is the departure of an original subject. In the event that a product interactive innovation subject withdraws from the product interactive innovation process, the interaction relationship between the original product interactive innovation subjects will be altered, leading to the decomposition and reorganization of the original PIIK, resulting in the elimination of some of the knowledge. In response, the dynamic adjustment and updating of the PIIK is necessary, whereby the changes in the interaction relationship between product interactive innovation subjects are determined, and the evaluation results of the reorganized PIIK after the elimination of some knowledge are adjusted accordingly.
The third aspect is the new knowledge created by an original subject. Over time, the growth of knowledge of the original product interaction innovation subject may lead to the generation of new innovation knowledge, which could potentially alter the composition of the original PIIK. In such cases, it is essential to first determine whether the newly generated knowledge would result in new interaction relations between this innovation subject and other innovation subjects. Subsequently, the reconstructed product interaction innovation knowledge should be re-evaluated to reflect the changes in the interaction relationships between the innovation subjects and the impact of the new knowledge on the overall PIIK.

3.3. Notation Description

In order to provide a clear and precise description of the PIIK multi-objective dynamic evaluation model of subject interaction relationship, a notation for the problem is defined and explained in detail based on the above multi-objective dynamic evaluation process. The PIIK is assumed to have been intelligently acquired and formally expressed, and the product interaction innovation process is assumed to involve N product interaction innovation subjects, each with their own innovation knowledge. Additionally, PIIK has p evaluation indicators. The interaction coefficient of the subject relationship between the representative innovation subjects is 0 when a ( i , j ) = 0 . Table 3 provides a detailed explanation of the specific meanings of each notation represented in the model.

3.4. Assumption

In order to ensure the robustness and applicability of the model, four assumptions have been made in relation to different aspects of the evaluation. First, Assumption 1 considers the necessary conditions for interactive product innovation to improve the feasibility of the model. Second, Assumption 2 standardizes the granularity of innovation knowledge, taking into account the context of knowledge evolution to guarantee comparability of the evaluation results. Third, Assumption 3 enhances the practicality of the model by considering the characteristics of the most innovative subjects based on the current situation of existing innovative enterprises. Finally, Assumption 4 simplifies the model by referring to the problems resolved by the core of the model. The following are four assumptions.
Assumption 1.
All product interactive innovation subjects involved in the interaction process possess innovation knowledge, and each PIIK generated is composed of the innovation knowledge contributed by each product interactive innovation subject. This assumption is based on the premise that product interactive innovation is a knowledge-intensive process, and the generated PIIK is a comprehensive reflection of the innovation knowledge contributed by each subject.
Assumption 2.
The granularity of innovation knowledge from each subject for the PIIK of the same innovation product in the same innovation stage is consistent and can be compared with each other.
Assumption 3.
Each product interactive innovation subject is assumed to possess diverse innovation knowledge that is interconnected and may even be alternative or conflicting, which requires evaluation and selection.
Assumption 4.
Other conditions are constant in the dynamic evaluation process.

3.5. Model Formulation

Based on the preceding discussions regarding the constituent elements of the model, namely the component part, procedure, notation, and assumptions, the present study aims to construct a PIIK evaluation model that can meet the innovative requirements of all product interactive innovation subjects to the greatest possible extent. The model is designed to generate a composite score s m ( K ) ,   m = 1 , 2 , p for each evaluation indicator of PIIK, resulting in a multi-objective dynamic evaluation decision model with p evaluation indicators. Given that s m ( K ) is an N-dimensional vector, the objective function of this model is to maximize the norm of the vector s m ( K ) . The norm here is as follows: | | S m ( k ) | | = S m ( e 1 a 1 ) + + S m ( e N a N ) N . Consequently, the current research formulates the objective function and constraints of the PIIK evaluation model as follows (In relation to Equation (2), the concept of coefficient sharing, as presented in relevant scholarly works, was utilized [45,46,47]. As the interaction coefficients that exist between each product interaction innovation subject possess a significant impact on their innovation knowledge, it was possible to derive the formula for the composite evaluation score of each product interaction innovation subject, with respect to the innovation knowledge e i a i of subject i ):
M a x { s 1 ( K ) , , s m ( K ) , , s p ( K ) }
s . t .   s m ( e i a i ) = W ( i , i ) s m s e l f ( e i a i ) + t : A ( j , i ) = 1 W ( j , i ) s m o t h e r ( e i a i | e j a j ) , i { 1 , 2 , , N } , m { 1 , 2 , , p } ,
W ( j , i ) 0 , i { 1 , 2 , , N } , j { 1 , 2 , , N } ,  
0 s m s e l f ( e i a i ) 1 , i { 1 , 2 , , N } , m { 1 , 2 , , p } ,
0 s m o t h e r ( e i a i | e j a j ) 1 , m { 1 , 2 , , p } , i { 1 , 2 , , N } , j { 1 , 2 , , N } ,
A ( j , i ) = 1 .
To simplify the multi-objective evaluation model solution that arises due to multiple evaluation indicators, the present study employs a linear weighting method to convert the PIIK evaluation model into a single-objective evaluation model. This approach involves determining the weights of the evaluation indicators of each PIIK. The weight setting of the evaluation indicators should be based on the actual product interactive innovation goals and demands. Moreover, the innovation knowledge of different innovative products may entail different characteristic indicators. The evaluation indicators of PIIK and the weight relationship between evaluation indicators can be computed using the Delphi method. Assuming that the weights of all PIIK evaluation indicators are set to a ( m ) , the simplified PIIK single-objective evaluation model is obtained as follows (In the pertinent literature, probability weighting and linear weighting methods are commonly employed to assess the impact of various evaluation indicators [48,49]. By incorporating the established weights of each indicator, we can derive the composite evaluation score for each product interactive innovation subject across all indicators, shown as Equation (7)):
max m = 1 p a ( m ) s m ( K )
s . t .   s m ( e i a i ) = W ( i , i ) s m s e l f ( e i a i ) + t : A ( j , i ) = 1 W ( j , i ) s m o t h e r ( e i a i | e j a j ) , i { 1 , 2 , , N } , m { 1 , 2 , , p } ,
W ( j , i ) 0 , i { 1 , 2 , , N } , j { 1 , 2 , , N } ,  
0 s m s e l f ( e i a i ) 1 , i { 1 , 2 , , N } , m { 1 , 2 , , p } ,
0 s m o t h e r ( e i a i | e j a j ) 1 , m { 1 , 2 , , p } , i { 1 , 2 , , N } , j { 1 , 2 , , N } ,
A ( j , i ) = 1 .
Currently, there exists a significant body of literature on the selection of knowledge evaluation indicators and the calculation methods of their weights. However, the PIIK knowledge evaluation model presented in this study is a general model, and many of its variables are unknown. Additionally, PIIK entails distinct evaluation indicators and subjects when compared with various types and stages of innovative products. To facilitate an effective quantitative evaluation of the product interactive innovation knowledge process, the present study employs a scoring system for PIIK evaluation.

3.6. Model Analysis

This section offers a comprehensive analysis of the initial and dynamic evaluation processes within the PIIK evaluation model previously established. The model, which incorporates the PIIK multi-objective evaluation approach, has been presented in the preceding section, where it was designed to factor in subject relationships and subsequently transformed into a single-objective evaluation model by assigning weights to the evaluation indicators. The ensuing discussion delves into the intricacies of the evaluation processes, drawing on the PIIK evaluation model’s analytical framework. Table 4 shows the explanation of other notations in the PIIK dynamic evaluation model.

3.6.1. Initial Evaluation

Based on the primary procedure for the initial evaluation of PIIK, the evaluation is bifurcated into two distinct stages comprising specific scoring and composite score calculation. The specific process is elucidated below.
  • Innovation knowledge score of a single product interactive innovation subject
In the context of product interaction innovation, the first step is self-evaluation, whereby each subject assesses their own innovation knowledge using a set of p evaluation indicators. The scoring range for these indicators is [ 0 , 1 ] , with higher scores indicating greater satisfaction with one’s own innovation knowledge. Let m be the number of evaluation indicators, let i be a product interaction innovation subject, and let A be that subject’s own PIIK. The subject’s evaluation of their own innovation knowledge can be expressed as s ( i , A ; m ) . To avoid generating unfavorable assessments of one’s own knowledge, product interaction innovation subject i must also participate in the knowledge evaluation of product interaction innovation subject j . The score of product interaction innovation subject i on the innovation knowledge of product interaction innovation subject j , denoted by B 1 on evaluation indicator m , is dependent upon the score of product interaction innovation subject i on its own PIIK (i.e., A 1 ). In this study, we set the score of product interaction innovation subject i on product interaction innovation subject j ’s innovation knowledge as S ( j , B 1 , i , A 1 ; m ) , given that the latter has chosen its own innovation knowledge.
2.
Composite score calculation of PIIK
After providing a comprehensive description of the self-evaluation and other-evaluation methods for assessing innovation knowledge in a single product interactive innovation subject using a single evaluation indicator, the subsequent step is to define the formula for calculating the score. Let PIIK K represent the innovation knowledge in product interactive innovation, and let K ( i ) denote the PIIK of subject i . The evaluation formula for K ( i ) under evaluation indicator m is then determined as follows:
s ( K ( i ) , K ; m ) = j : A ( j , i ) = 1 W ( j , i ) s ( i , K ( i ) , j , K ( j ) ; m ) + W ( i , i ) s ( i , K ( i ) ; m )
The composite evaluation of PIIK entails the assessment of the innovation knowledge of each individual subject involved in product interaction innovation. The composite score of PIIK is computed through a formula that is defined below. This formula evaluates PIIK K under the evaluation indicator m :
s ( K ; m ) = ( s ( K ( 1 ) , K ; m ) , , s ( K ( i ) , K ; m ) , , s ( K ( N ) , K ; m ) ) .
The composite evaluation equation of PIIK K under the evaluation indicator m is portrayed as follows:
s ( K ) = m = 1 p a ( m ) s ( K ; m )
In consideration of the involvement of N subjects of product interactive innovation, the PIIK composite score S ( K ) can be represented as a score vector with N dimensions. By computing the score vectors of various PIIKs, the PIIK with the highest score can be compared and filtered. Alternatively, the evaluation score may be derived by reducing the dimensionality through weighting. In this scenario, where there are N product interaction innovation subjects, each subject corresponds to an P -dimensional vector. Let s ( 1 ) , s ( 2 ) , , s ( N ) denote the elements of the score vector of K . Furthermore, b ( i ) denotes the weight of the product innovation knowledge that is represented by product interaction innovation subject i . This weight is primarily determined by experts of product innovation enterprises based on their actual experience in product interaction innovation practice. Consequently, the formula for the composite evaluation of PIIK can be expressed as follows:
S ( K ) = i = 1 N b ( i ) s ( i )

3.6.2. Dynamic Evaluation

This section aims to conduct an analysis of the dynamic evolution cases that emerge during the product interactive innovation process. Specifically, it intends to examine each of the three cases in detail while sorting out the precise adjustment process and evaluation score calculation formula of PIIK dynamic evaluation, which are relevant to the said cases.
  • The participation of a new product interaction innovation subject to the network
During the product interactive innovation process, it is possible for new product interactive innovation subjects to become involved in subsequent stages of innovation. The inclusion of these new subjects can result in the introduction of fresh knowledge and the execution of novel knowledge interactions, ultimately leading to the generation of innovative product ideas. In light of this, it is crucial to assess any changes in the strength of the interaction relationship between the newly introduced and pre-existing product interaction innovation subjects. In order to measure the aforementioned relationship, the interaction coefficient of the subject relationship must be determined and denoted as W .
At this juncture, our analysis focuses on the adjustments required for the PIIK evaluation model in the context of a single knowledge evaluation indicator, denoted as m . Specifically, we must consider the evaluation of the innovation knowledge pertaining to the newly added product interaction innovation subject, with regard to the knowledge evaluation indicator m . Additionally, we must also consider the evaluation of the new PIIK, under the knowledge evaluation indicator m , by the product innovation subject that has interacted with the aforementioned new product interaction innovation subject. Furthermore, the evaluation of the new PIIK under the knowledge evaluation indicator m , by the new product interaction innovation subject to the original product interaction innovation subject that it has interacted with, is also pertinent. In light of these considerations, the evaluation formula for the innovation knowledge, denoted as K ( i ) , that belongs to the product interaction innovation subject i in the new PIIK, denoted as K , under the evaluation indicator m , is formulated as follows:
s ( K ( i ) , K ; m ) = j : A ( j , i ) = 1 W ( j , i ) s ( i , K ( i ) , j , K ( j ) ; m ) + W ( i , i ) s ( i , K ( i ) ; m )
The innovation knowledge of all innovation subjects can be scored and calculated under the evaluation indicator m , which enables the determination of the composite evaluation score of PIIK K under the same evaluation indicator m . This score can be denoted as s ( K ; m ) , whereby the composite evaluation formula of PIIK K can be represented as Equation (15). Thus, the aforementioned formula can be described as follows:
s ( K ) = m = 1 p a ( m ) s ( K ; m )
The aforementioned formula for the composite depiction of PIIK indicates that incorporating a new subject of product interaction innovation necessitates an initial adjustment of the interaction strength between the pre-existing subjects. Subsequently, an evaluation of the knowledge score of the new subject and its product interaction innovation counterpart under all parameters at the revised interaction strength must be conducted. Finally, the updated PIIK score can be evaluated.
  • The departure of an original product interaction innovation subject from the network
As the process of interactive innovation of a product advances, it is conceivable that the original subject of product interactive innovation may depart from the subsequent stages of innovation. Such withdrawal is likely to alter the strength of intersubject interaction relationships and lead to modifications in the PIIK set, which comprises the innovative knowledge of the original subject of product interactive innovation. Consequently, the elimination of certain innovative knowledge may occur.
In this case, the connected edges and nodes in the product interaction innovation network need to be deleted. Additionally, while the product’s interactive innovation subjects do not require rescaling, it is imperative to expunge the innovation knowledge associated with those who have exited. This involves modifying the composition set of PIIK and recalculating its evaluation result.
  • The new knowledge created by an original product interaction innovation subject
The evolution of the product interactive innovation process leads to a corresponding growth in the knowledge of the product interactive innovation subject, resulting in changes to the knowledge set associated with product interactive innovation. In such a scenario, adjustments to the initial evaluation results of PIIK must be made depending on the specific circumstances. Specifically, when newly acquired knowledge alters the existing interaction coefficient of the subject relationship, it becomes necessary to re-evaluate the interaction coefficient of the subject relationship. However, if the newly added knowledge does not result in any changes to the existing interaction coefficient, then no adjustments are required.
Likewise, the emergence of new knowledge stemming from the innovation subject has the potential to disrupt the pre-existing set of the PIIK. Consequently, it becomes imperative for the innovation subject that generates new knowledge to re-evaluate all of its PIKK sets. Furthermore, the product interactive innovation subject that interacts with the innovation subject that generates new knowledge must also undertake the task of rescoring the innovation knowledge that pertains to the product interactive innovation subject.
Based on the recalibration of the interaction coefficient of the subject relationship W pertaining to the product interaction innovation subjects and the subsequent rescoring of the innovation knowledge that generates an impact, it is possible to depict the product interaction innovation knowledge K from the PIIK K ( i ) of a given product interaction innovation subject i under evaluation index m . Therefore, the inscribed product interaction innovation knowledge K can still be computed, as shown in Equation (19):
s ( K ( i ) , K ; m ) = j : A ( j , i ) = 1 W ( j , i ) s ( i , K ( i ) , j , K ( j ) ; m ) + W ( i , i ) s ( i , K ( i ) ; m )
Based on the aforementioned considerations, the formula for calculating the composite evaluation of PIIK remains unchanged. Specifically, the score s ( K ; m ) of PIIK K under the knowledge evaluation indicator m is represented as a vector comprising the score vectors of all its PIIKs. Furthermore, the formula for determining the composite evaluation score of PIIK K remains defined as follows:
s ( K ) = m = 1 p a ( m ) s ( K ; m )

4. Case Studies

This section presents a case study of a cell phone company based on the construction of the PIIK multi-objective dynamic evaluation model. The aim of this case study is to assess the feasibility of the specific evaluation process developed in this paper and to confirm the necessity of incorporating subject interaction and dynamics into the evaluation model. The primary focus of this case study is to evaluate the effectiveness and applicability of the PIIK dynamic evaluation model in addressing relevant issues.

4.1. Background of Case Studies

The importance of product interactive innovation has been magnified in the era of big data. In particular, since the outbreak of COVID-19, consumer demand for innovation in consumer electronics has surged, as noted by Coughlin [50]. Concurrently, firms are proactively engaging in collaborative product innovation by enhancing the quality of omnichannel supply chains, thereby developing inventive and useful products to satisfy the burgeoning consumer demand and foster customer loyalty [51]. Consumer electronics, particularly smartphones, constitute a popular category of products that leverage interactive technologies and a variety of interactive innovation platforms to amass a substantial amount of PIIK, ultimately resulting in effective innovation. As noted by Singh et al., engaging in selective innovation collaboration with mobile hardware manufacturers in the supply chain has the potential to expand market share [52].
In this case study, a hypothetical scenario is presented wherein a smartphone enterprise seeks to enhance its cell phone hardware innovation knowledge through open innovation with various hardware manufacturers. To this end, the enterprise introduces multiple manufacturers into its open innovation platform and engages in knowledge interaction to obtain a diverse cell phone PIIK. The focus of this scenario is limited to four manufacturers whose innovation subjects are highly relevant to smartphones. Further details regarding the manufacturers and their respective cell phone hardware innovation knowledge are presented in Table 5. The enterprise assigns weight vectors to each manufacturer based on its own innovation objectives and customer requirements, with respective weights of 0.4, 0.3, 0.15, and 0.15.
To begin, it is imperative to conduct a comprehensive analysis of the correlation relationship between cell phone hardware innovation knowledge. This entails an investigation of the various components that constitute cell phone hardware and how they interact to create a coherent system. Furthermore, it is equally important to explore the interaction relationship that exists among various cell phone manufacturers to establish an interactive innovation network. In light of this, the present study has employed a thorough review of the literature and expert interviews to examine the knowledge associated with each functional component of cell phones. By doing so, this study has succeeded in identifying and analyzing the association relationships that exist between different cell phone components, as demonstrated in Figure 3, while also taking into account the practical implications of cell phone design and production practices [53].
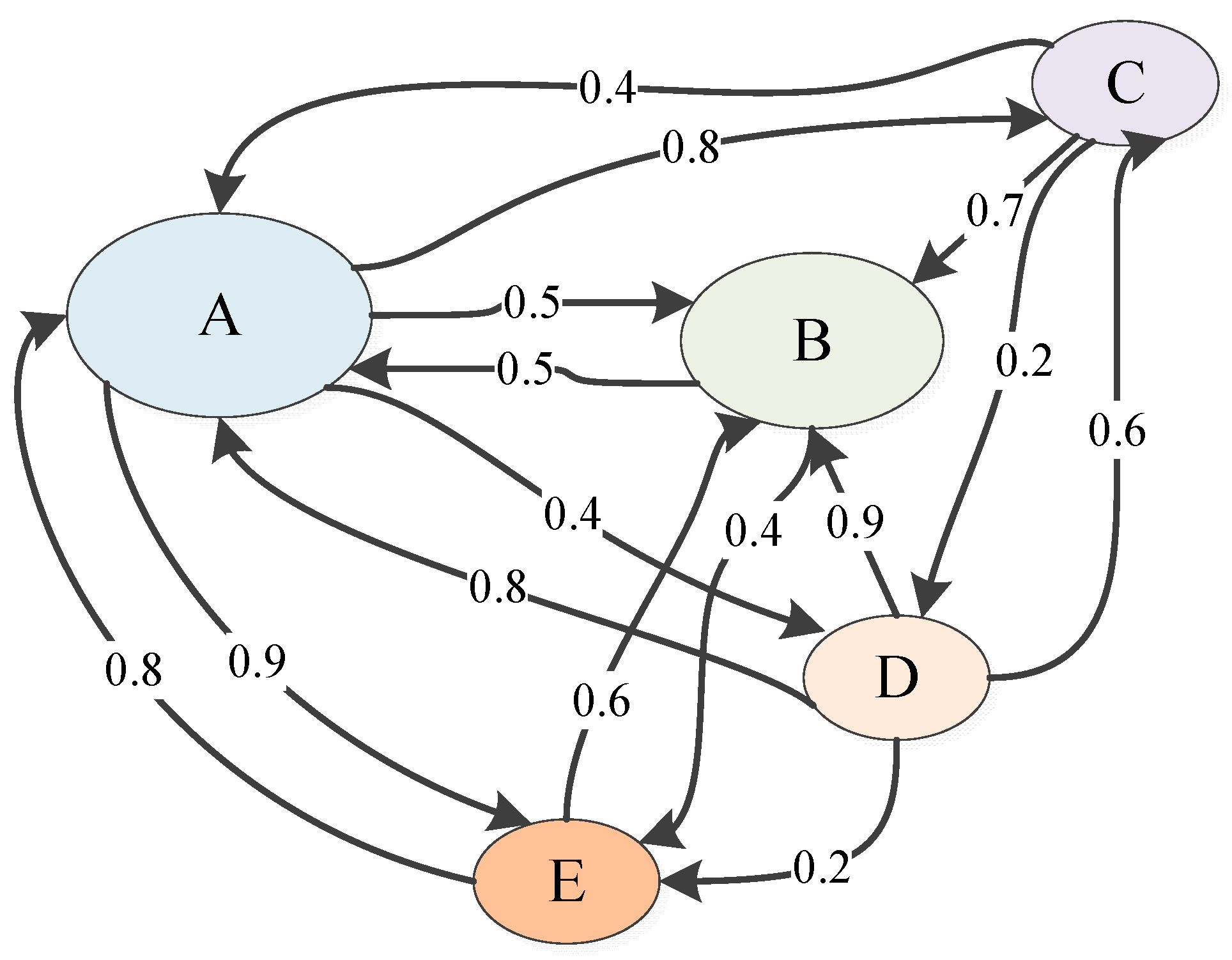
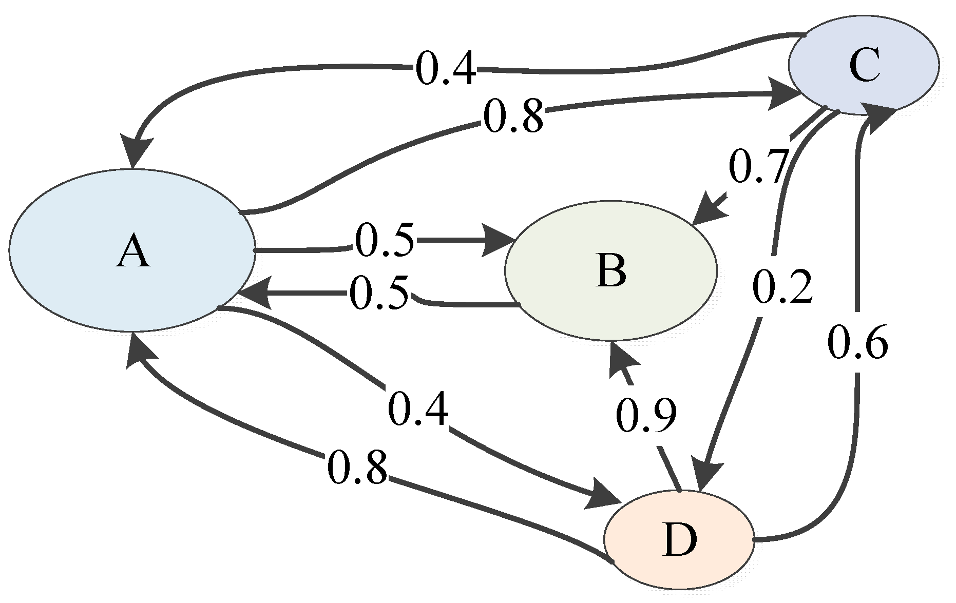
The preceding analysis of the interrelationships between the various innovative aspects of cell phones has enabled the establishment of an interactive innovation network amongst cell phone hardware manufacturers. The relationships among the subjects are assigned an interaction coefficient using a 10-level Likert scale, as demonstrated in Figure 4. The battery manufacturer is denoted as ‘A’, the camera manufacturer as ‘B’, the screen manufacturer as ‘C’, and the kernel manufacturer as ‘D’. Additionally, three evaluative indicators for cell phone PIIK have been identified: novelty, feasibility, and profitability. To attain the goal of innovation in the field of cell phones, the weight vector of the three knowledge evaluation indicators is set at 0.45, 0.25, and 0.3 [54] (See Table 6).

4.2. The Initial Evaluation

Through the establishment of an interactive innovation network among stakeholders, individual hardware manufacturers of cell phones were able to evaluate their own innovation knowledge on various indicators. To uphold the principles of impartiality and credibility in the evaluation process, the manufacturer of the cell phone disseminated the Likert scale with ten points regarding novelty, feasibility, and profitability to pertinent experts, researchers and development personnel, as well as frontline staff in the industry. These individuals rated the three features of innovative knowledge, which was subsequently calculated using the weighted average technique to obtain the final innovation score. The resulting evaluation scores for each manufacturer are presented in Table 7.
Simultaneously, cell phone hardware manufacturers assessed the innovation knowledge of their interacting counterparts under three knowledge evaluation indicators, as detailed in Table 7. Notably, each manufacturer was required to take into account its own innovation knowledge when appraising the innovation knowledge of the manufacturers it interacts with. Moreover, the assessment of innovation knowledge among interacting parties could vary depending on the distinct positions they hold with regard to innovation knowledge. For ease of reference, Table 8 presents a scoring framework that amalgamates and weighs the total innovation knowledge score across each knowledge evaluation indicator.
The development of cell phone PIIKs is the result of an interaction of innovation knowledge between four cell phone hardware manufacturers. As a result, the evaluation score of cell phone PIIKs is a four-dimensional vector. To calculate the composite evaluation scores of cell phone PIIKs, several factors must be taken into consideration. These include determining the interaction coefficient of the subject relationship among cell phone hardware manufacturers, cell phone manufacturers’ evaluation scores of their own innovation knowledge, and the evaluation scores of innovation knowledge among cell phone manufacturers. In this study, the composite evaluation scores of cell phone PIIKs are calculated by considering the mutual evaluation of cell phone PIIKs with both self-evaluation and other evaluation scores. The interaction coefficient of the subject relationship is represented by W . A detailed summary of the composite evaluation scores is presented in Table 9.
The initial evaluation scores of each cell phone PIIK were derived by computing the interaction coefficient of the subject relationship among the hardware manufacturers of each cell phone, with consideration given to each score vector constituting the cell phone PIIK. A comparison was made between the initial evaluation scores of each cell phone PIIK obtained by taking into account the interaction coefficient of the subject relationship and those obtained without consideration of such subject interaction relationship. The initial evaluation results of the cell phone PIIK were compared, as presented in Table 9.
The composite evaluation results provided in Table 10 reveal that the best-performing cell phone PIIK is A1B2C2D2 when the innovation intersubject interaction induced by knowledge interaction is accounted for. In contrast, the cell phone innovation knowledge with the highest evaluation score is A1B1C2D1 when the subject interaction is not considered, and the cell phone PIIK ranks considerably lower when the subject interaction is considered.
In considering the relationship between subject interaction A1B2C2D2, the evaluation of the most effective cell phone product interaction innovation knowledge corresponds to a selection of various innovative targets. The primary target among cell phone-oriented innovation is identified as the cell phone battery innovation knowledge. Within this category, the preferred target is the battery innovation knowledge with wireless fast charging capabilities. Additionally, the evaluation indicates the inclusion of more mature camera innovation knowledge, the new AMOLED material with a relatively smaller-size, full-screen manufacturing innovative knowledge of the camera, and innovative knowledge of kernel architecture with stability as an advantage. Conversely, A1B1C2D1 is associated with relatively more innovative knowledge of cell phone hardware provided by each manufacturer. It is worth noting that in the absence of interaction between innovation knowledge and subjects, each subject may select knowledge that is more innovative without considering potential conflicts between its own innovation knowledge and that of other subjects. An evaluation of PIIK that does not consider the interaction between knowledge and subjects is not conducive to sustainable interactive product innovation. In contrast, when evaluating PIIK with consideration for the interaction between subjects, all innovation demands of interactive product innovation subjects can be fully considered. Subsequently, a product PIIK that satisfies all innovation subjects as much as possible can be selected.

4.3. The Dynamic Evaluation

The interactive innovation process of cell phone products is susceptible to supply chain instability. Hardware manufacturers may partake in original interactive innovation of products due to advancements in technology and growth in market demand. However, they may also withdraw from such activities owing to fluctuations in the market and their own development strategies. Furthermore, cell phone manufacturers may also generate new innovative knowledge in the process of interactive innovation. Considering the aforementioned scenario and the analysis of the PIIK model that accounts for subject interaction relationships, the cell phone PIIK was assessed in three distinct dynamic situations.

4.3.1. Scenario 1: Mobile Phone Case Manufacturers Participating in the Interactive Innovation of Cell Phones

With the advancement of the interactive innovation process, manufacturers of cell phone cases have recently participated in and contributed their innovation knowledge regarding cell phone cases, which includes metal body innovation knowledge and glass body innovation knowledge. The inclusion of these manufacturers in the interactive innovation network has necessitated the updating of the existing network among various cell phone manufacturers. Through detailed investigation and consultation with industry experts, it was discovered that there exist varying degrees of correlation between the innovation knowledge related to cell phone casing materials, heat dissipation, ductility, thickness, and design methods and the core innovation knowledge concerning cell phone batteries, cameras, and other components. To build upon this foundation, an interactive innovation network was constructed for cell phone manufacturers following the inclusion of cell phone casing manufacturers in the innovation process, as depicted in Figure 5. The battery manufacturer is denoted as ‘A’, the camera manufacturer as ‘B’, the screen manufacturer as ‘C’, the kernel manufacturer as ‘D’, and the case manufacturer as ‘E’ Based on the cell phone innovation goals of each manufacturer, the weight vector of each was reset to 0.3, 0.25, 0.15, 0.15, and 0.15.
According to the reconstructed interactive innovation network of cell phone manufacturers, it is necessary to dynamically adjust the evaluation of the PIIK of cell phones based on the initial evaluation. This entails assessing the following:
  • The innovation knowledge of the cell phone case manufacturer itself;
  • The innovation knowledge of the case manufacturer as evaluated by other manufacturers with whom it has an interactive relationship;
  • The innovation knowledge of the case manufacturer as perceived by the manufacturers that it influences.
Table 11 provides a detailed breakdown of the innovation knowledge evaluation scores among mobile phone manufacturers following the inclusion of case manufacturers.
After the establishment of a cell phone interactive innovation network, which incorporates the addition of case manufacturers and the dynamic evaluation adjustment of each cell phone manufacturer’s innovation knowledge and their interaction with other cell phone manufacturers, the updated cell phone PIIK was subjected to a composite re-evaluation. This evaluation was carried out based on the established PIIK multi-objective dynamic evaluation model, which considers the subject interaction relationship. It is worth noting that the cell phone PIIK is currently composed of the innovation knowledge of five manufacturers interacting with each other; hence, its composite evaluation score is calculated as a five-dimensional score vector. The recalculated score vector of each cell phone PIIK, subsequent to the inclusion of the cases manufacturers, is presented in Table 12. Additionally, Table 12 provides an excerpt of the score vectors for some of the cell phone interactive innovation knowledge.
After the inclusion of the case manufacturer, the overall evaluation scores of the cell phone PIIK were determined. The evaluation results of the different cell phone PIIIKs were then compared with and without subject interaction, which was taken into account by considering knowledge interaction. The comparison results are presented in Table 13.
After the synthesis of the dynamic evaluation results of PIIK subsequent to the addition of the case manufacturer, the following conclusions (Table 13) can be drawn: First, the inclusion of new innovation subjects within the product interactive innovation process can have a significant impact on the composition set of PIIK. Consequently, it is crucial to consider the changes that the addition of new subjects can bring to the composition set of PIIK in dynamic scenarios and to use this information to make dynamic adjustments to the product. For instance, in the aforementioned case, after the casing manufacturer joined the interactive innovation process and considered subject interaction, the preferred cell phone PIIK was selected based on the target set by cell phone innovation. Additionally, it attempted to meet the coordination among the innovation knowledge proposed by each manufacturer. After the evaluation of the cell phone PIIK A1B1C1D1E1, it was observed that its first score vector and fifth score vector were considerably lower than those of the other cell phone PIIK sets. It can thus be inferred that eliminating the PIIK was not difficult at this point. Further analysis revealed that the conflict between wireless charging technology and metal material knowledge of the cell phone battery and case respectively contributed to the low score of the phone PIIK. Therefore, taking into account subject interaction, the phone PIIK was undoubtedly scored very low.

4.3.2. Scenario 2: Mobile Phone Core Manufacturers Departing from Cell Phone Interactive Innovation

Through the process of product interactive innovation, cell phone companies have been able to evaluate the initial effectiveness of cell phone PIIK. However, as the knowledge of kernel manufacturers stabilizes and reaches a higher industry standard, it is becoming increasingly difficult to generate new knowledge for the next generation of innovative cell phones. Consequently, new generations of cell phones are only able to follow the kernel knowledge of their predecessors. During this period, cell phone kernel manufacturers are tending to withdraw from the cell phone interactive innovation process. In this dynamic and constantly changing situation, the evaluation of cell phone interactive innovation knowledge must be adjusted accordingly.
As the original product interactive innovation subject withdraws, the composition of PIIK also changes, and the interactive innovation network among each product interactive innovation subject also experiences alterations. Unlike the addition of new subjects, the withdrawal of product interactive innovation subjects does not necessitate the re-evaluation of the innovation knowledge of the product interactive innovation subjects with which it interacts. Instead, only the innovation knowledge evaluation results of the product interactive innovation subjects with which the withdrawn interaction innovation subjects have interaction relations need to be removed. In light of these changes, it becomes necessary to reassign weights to the product interactive innovation subjects in accordance with the innovation objectives of the innovative products. It is also necessary to dynamically adjust each score vector of the new PIIK.
In accordance with the constructed PIIK multi-objective dynamic evaluation decision model and the case background, the cell phone manufacturer weight vector was reset to 0.45, 0.35, and 0.2. Using this weight vector, we calculated the composite score of the cell phone PIIK after the withdrawal of the cell phone kernel manufacturer, as shown in Table 14.
After the evaluation of the composite assessment outcomes of cell phone PIIK sets subsequent to the exit of the kernel manufacturer, it becomes evident that the preferred cell phone PIIKs, disregarding intersubject interaction, are A1B2C1 and A1B2C2. It is worth noting that the knowledge A1B2C2 had similar outcomes to the cell phone PIIK sets that consider intersubject interaction, whereas the knowledge A1B2C1 was ranked lower in the composite evaluation that considers the composite evaluation ranking while taking into account the subject interaction relationship.
Moreover, by analyzing the innovative knowledge of each manufacturer that contributes to the PIIK of the cell phone and combining this with the fact that, in reality, larger screen sizes in cell phones necessitate larger battery loads under similar conditions, it can be observed that AMOLED screens, having a more advanced light-emitting material, possess a more energy-efficient effect. Additionally, experimental tests have demonstrated that the large OLED screen in cell phone interactive innovation knowledge A1B2C1 has greater power consumption as compared to the AMOLED screen. Thus, it becomes apparent that A1B2C1 is unconventional when compared to cell phone PIIK A1B2C2.
Similarly, the aforementioned comparative outcomes of composite evaluations of cell phones illustrate that the withdrawal of the original innovation subject from the product interactive innovation process has a significant impact on the composition set of PIIK. Consequently, it is necessary to consider the changes in the composition set of PIIK resulting from the departure of the original innovation subject under dynamic circumstances, in addition to the initial evaluation of PIIK, and make dynamic adjustments to the evaluation unit of PIIK.

4.3.3. Scenario 3: New Knowledge Created by Cell Phone Screen Manufacturers

As the interactive innovation process of a product evolves over time, each interactive innovation subject engages in simultaneous learning and knowledge creation. In the case of the cell phone interactive innovation process, screen manufacturers, through learning and technological innovation, have created new screen innovation knowledge, such as that of Dynamic AMOLED and the 6.4-inch full polar screen manufacturing process, named C3. In the dynamic scenario, we incorporated C3 as newly created knowledge into our evaluation framework for conducting multi-objective dynamic evaluation of the cell phone PIIK. The evaluation of PIIK is conducted under the dynamic conditions wherein the original innovation subject created new knowledge. To begin, it is essential to analyze whether the creation of new knowledge altered the interaction relationships between the existing product interactive innovation subjects. In this particular case, the creation of new knowledge by the cell phone screen manufacturer has not significantly impacted the interaction relationship among existing manufacturers since the creation of new knowledge does not have a substantial impact on the product interaction innovation network unlike the participation or departure of the innovation subjects from the interactive innovation process. Consequently, the subsequent step involved evaluating the new knowledge created by the cell phone screen manufacturer and re-evaluating the innovation knowledge among the manufacturers with whom the cell phone screen manufacturer interacts. The evaluation of innovative knowledge among mobile phone manufacturers subsequent to the generation of new knowledge by the screen manufacturer is presented in Table 15.
Following an initial evaluation that did not adjust the weights and interaction relations of each cell phone manufacturer, a composite evaluation of the new cell phone PIIK was conducted after incorporating the innovative knowledge introduced by its new screen technology. The evaluation of the new PIIK was represented by a four-dimensional score vector, as outlined in Table 16.
Subsequently, the composite evaluation scores for the cell phone PIIK were derived based on the newly generated knowledge by the screen manufacturer. The evaluation results of different cell phone PIIK were then compared, with and without considering the subject interaction relationship introduced by the knowledge interaction, as illustrated in Table 17.
After the ranking of the composite evaluation results of the cell phone PIIK following the creation of new knowledge by screen manufacturers, it became evident that the cell phone PIIK preferred when considering intersubjective interactions is A1B2C2D2, while the PIIK preferred without such consideration is A1B1C3D1. A specific analysis of the connotations of these two divergent cell phone PIIKs illustrates that an evaluation of PIIK that does not consider intersubjective interactions tends to prioritize the most novel and innovative knowledge of each cell phone manufacturer, disregarding the checks and balances between the manufacturers’ respective innovation knowledge. In reality, however, most cell phone manufacturers do not integrate all the latest technologies into a single product, taking into account the associated cost and technological compatibility. A1, B1, C3, and D1 represent the most novel knowledge of batteries, cameras, screens, and kernels, respectively. The combination of A1′s wireless charging technology and smaller capacity battery presents an apparent conflict with the more brilliant Dynamic AMOLED screen and the more powerful kernel architecture. These PIIKs are typically problematic when devising actual product solutions. Consequently, it can be concluded, similar to the previous dynamic situation, that the dynamic evaluation of PIIK must incorporate intersubjective interactions between the subjects of product interactive innovation. Simultaneously, the generation of novel knowledge by cell phone manufacturers has led to significant alterations in the composition set of PIIK within the cell phone domain. Consequently, these changes have given rise to variations in the evaluation outcomes of PIIK. On the basis of the initial assessment of PIIK, it becomes necessary to account for the modifications to the composition set of PIIK brought about by the original innovator’s new knowledge within the dynamic environment. By making dynamic adjustments to the evaluation unit of PIIK, effective dynamic evaluations of PIIK can be realized.

5. Conclusions

This section outlines the main findings, implications for theoretical research and practice, and limitations and future directions.

5.1. Main Findings

This study endeavored to establish a theoretical framework for PIIK dynamic evaluation that takes into account the subject interaction by defining the main components of PIIK dynamic evaluation. To this end, three dynamic scenarios of PIIK evaluation were investigated, namely, the inclusion of a new innovation subject in the interaction, the withdrawal of an innovation subject from the interaction, and the emergence of new knowledge from an original innovation subject. Subsequently, a general mathematical model of PIIK dynamic evaluation, incorporating the subject interaction relationship, has been formulated based on the framework, employing the notion of multi-objective optimization. Additionally, the processes of initial and dynamic evaluation of PIIK was expounded separately, while the interaction coefficient of the subject relationship was quantified through the portrayal of the interaction coefficient. Moreover, the strength of the interaction coefficient was measured, the evaluation model was calibrated, and a formula was defined for various cases of PIIK dynamic evolution, resulting in the realization of the quantitative calculation of PIIK dynamic evaluation, considering the subject interaction relationship. Finally, a case study, based on the dynamic evaluation of cell phone PIIK, served as a background for the initial evaluation of PIIK and the implementation of the dynamic evaluation process. The evaluation results have been summarized through induction.
The study reveals the following:
  • In the evaluation of PIIK, it is crucial to consider the interaction relationship between subjects. The establishment of the interaction relationship between product interactive innovation subjects based on the correlation relationship between innovation knowledge itself can enable the evaluated PIIK to discover the optimal PIIK equilibrium solution under various constraints that satisfy the innovation demands of all product interactive innovation subjects while taking into account the interaction relationship between innovation knowledge around the product innovation objective as much as possible.
  • The evaluation of PIIK must consider its dynamic evolution. Under the three scenarios of dynamic evolution, the composition set of PIIK and the product interaction innovation network among product interaction innovation subjects will change. Failure to consider the dynamic evolution will result in dynamic evaluation results of PIIK that differ significantly, lack timeliness, and are inaccurate.
  • The generic model of PIIK multi-objective dynamic evaluation, constructed in this study, is feasible, as it fully considers the innovation concept of each product interactive innovation subject, assesses the PIIK that satisfies each innovation subject as much as possible, and enhances the scientificity of PIIK evaluation outcomes.

5.2. Implications for Practice

In the current era marked by a heightened focus on interaction, the concept of product interaction innovation knowledge (PIIK) assumes an integral role in fostering the innovative development of enterprises. By collecting the innovative knowledge and ideas of all product interaction innovation subjects, PIIK serves as a critical tool for driving enterprise innovation.
This paper presents three practical insights regarding the product interactive innovation knowledge dynamic evaluation process.
First, in cases where the interaction relationship between product interactive innovation subjects is not significant and the interaction coefficient between innovation subjects is low, the interaction relationship between them can be directly ignored during the PIIK dynamic evaluation process. This simplifies knowledge evaluation when dealing with a large number of product interaction innovation subjects and innovation knowledge complexity, enabling the rating of two product interaction innovation subjects without considering each other.
Second, during the dynamic evaluation process of PIIK, if the score vector of a certain innovation knowledge is too small, the PIIK can be evaluated directly. This situation may arise when two innovation knowledge sets with an interaction relationship in the composition of PIIK are mutually constrained, or when the innovation knowledge has become outdated and does not meet the innovation objectives and knowledge evaluation indicators. In such cases, there is no need to calculate the composite score for the entire product interactive innovation knowledge, and PIIK can be removed immediately.
Third, the PIIK multi-objective dynamic evaluation model is established based on the construction of the product interactive innovation network and the consideration of the dynamic evolution of PIIK. However, in the actual product interaction innovation process, the application of the model may have specificities for different innovation products, involving different scales and characteristics of the innovation subjects. For instance, when the innovation product has low complexity or a small scale of innovation subjects, the knowledge evaluation can be carried out directly using the innovation subjects’ experiences. Similarly, in cases where there are innovation subjects who occupy a strong position, the evaluation of PIIK using this model must consider the specificity of reality.

5.3. Limitations and Future Directions

  • In terms of research problem, this paper only focuses on three dynamic evolution situations of PIIK and analyzes the dynamic evaluation of PIIK separately. However, in reality, multiple dynamic evolution situations of PIIK may occur simultaneously. Therefore, future research can consider combining multiple cases of dynamic evolution to develop a linked dynamic evaluation model. Additionally, the paper assumes that the knowledge evaluation indicators and other external conditions are constant, but in reality, the PIIK evaluation indexes also change with the product innovation process. Therefore, future research can comprehensively consider other changing factors of dynamic evaluation, such as changes in evaluation indicators triggered by changes in innovation objectives.
  • In terms of evaluation model, the paper establishes a multi-objective and multisubject dynamic evaluation model for the subject interaction and dynamics of PIIK. However, in calculating a certain score vector of PIIK in the specific evaluation, there may arise a phenomenon in which a certain knowledge score vector is small but the overall score of the whole PIIK is normal or even higher. Additionally, the evaluation efficiency of the PIIK evaluation model is not considered in this paper. Therefore, in future research, existing knowledge evaluation methods or innovative cross-domain solution algorithms such as fuzzy mathematics and robust optimization [50] can be combined to find a more efficient PIIK automatic evaluation model that matches the specificity of product interaction innovation.
  • In terms of case analysis, the paper constructs a case of a cell phone PIIK evaluation problem to verify the validity of the model with the actual background of interactive innovation of smartphones. However, the scoring values of all innovation knowledge are rationalized by different methods, and they may still differ in practice. Additionally, the instability in the supply chain may lead to difficulty in grasping data timeliness. Therefore, future research can establish closer contact with product interaction innovation companies to obtain newer and more relevant data to improve the model constructed in this paper and the conclusions obtained.

Author Contributions

Methodology, F.Z., Z.Z. and Q.Z.; Writing—original draft, Z.Z. and X.Z.; Writing—review & editing, F.Z.; Funding acquisition, F.Z. All authors have read and agreed to the published version of the manuscript.

Funding

This work was supported by the Scientific research project of Xiangtan University under grant no. 2021BSQDF36, the Natural Science Foundation of Hunan Province under grant no. 2022JJ40455, and the National Natural Science Foundation of China under grant no. 72171207.

Data Availability Statement

The data used here is detailed in this paper.

Conflicts of Interest

The authors declare no conflict of interest.

References

  1. Xie, X.; Wang, H. How can open innovation ecosystem modes push product innovation forward? An fsQCA analysis. J. Bus. Res. 2020, 108, 29–41. [Google Scholar] [CrossRef]
  2. Lee, M.; Yun, J.J.; Pyka, A.; Won, D.; Kodama, F.; Schiuma, G.; Park, H.; Jeon, J.; Park, K.; Jung, K.; et al. How to Respond to the Fourth Industrial Revolution, or the Second Information Technology Revolution? Dynamic New Combinations between Technology, Market, and Society through Open Innovation. J. Open Innov. Technol. Mark. Complex. 2018, 4, 21. [Google Scholar] [CrossRef]
  3. Chandrasegaran, S.K.; Ramani, K.; Sriram, R.D.; Horváth, I.; Bernard, A.; Harik, R.F.; Gao, W. The evolution, challenges, and future of knowledge representation in product design systems. Comput.-Aided Des. 2013, 45, 204–228. [Google Scholar] [CrossRef]
  4. Abbate, T.; Codini, A.P.; Aquilani, B. Knowledge co-creation in Open Innovation Digital Platforms: Processes, tools and services. J. Bus. Ind. Mark. 2019, 34, 1434–1447. [Google Scholar] [CrossRef]
  5. Kuncoro, W.; Suriani, W.O. Achieving sustainable competitive advantage through product innovation and market driving. Asia Pac. Manag. Rev. 2018, 23, 186–192. [Google Scholar] [CrossRef]
  6. Najafi-Tavani, S.; Najafi-Tavani, Z.; Naudé, P.; Oghazi, P.; Zeynaloo, E. How collaborative innovation networks affect new product performance: Product innovation capability, process innovation capability, and absorptive capacity. Ind. Mark. Manag. 2018, 73, 193–205. [Google Scholar] [CrossRef]
  7. Schilke, O.; Hu, S.; Helfat, C.E. Quo Vadis, Dynamic Capabilities? A Content-Analytic Review of the Current State of Knowledge and Recommendations for Future Research. Acad. Manag. Ann. 2018, 12, 390–439. [Google Scholar] [CrossRef]
  8. Spender, J.-C.; Corvello, V.; Grimaldi, M.; Rippa, P. Startups and open innovation: A review of the literature. Eur. J. Innov. Manag. 2017, 20, 4–30. [Google Scholar] [CrossRef]
  9. Sohrabi, B.; Vanani, I.R.; Jalali, S.M.J.; Abedin, E. Evaluation of Research Trends in Knowledge Management: A Hybrid Analysis through Burst Detection and Text Clustering. J. Inf. Knowl. Manag. 2019, 18, 1950043. [Google Scholar] [CrossRef]
  10. Siaw, C.A.; Sarpong, D. Dynamic exchange capabilities for value co-creation in ecosystems. J. Bus. Res. 2021, 134, 493–506. [Google Scholar] [CrossRef]
  11. Zhang, H.; Gupta, S.; Sun, W.; Zou, Y. How social-media-enabled co-creation between customers and the firm drives business value? The perspective of organizational learning and social Capital. Inf. Manag. 2020, 57, 103200. [Google Scholar] [CrossRef]
  12. Dahesh, M.B.; Tabarsa, G.; Zandieh, M.; Hamidizadeh, M. Reviewing the intellectual structure and evolution of the innovation systems approach: A social network analysis. Technol. Soc. 2020, 63, 101399. [Google Scholar] [CrossRef]
  13. Migdadi, M.M. Knowledge management, customer relationship management and innovation capabilities. J. Bus. Ind. Mark. 2021, 36, 111–124. [Google Scholar] [CrossRef]
  14. Appio, F.P.; Frattini, F.; Petruzzelli, A.M.; Neirotti, P. Digital Transformation and Innovation Management: A Synthesis of Existing Research and an Agenda for Future Studies. J. Prod. Innov. Manag. 2021, 38, 4–20. [Google Scholar] [CrossRef]
  15. Chase, R. Where Does the Customer Fit in a Service Operation?? Harv. Bus. Rev. 1978, 56, 137–142. [Google Scholar]
  16. Jeppesen, L.B.; Molin, M.J. Consumers as Co-developers: Learning and Innovation Outside the Firm. Technol. Anal. Strateg. Manag. 2003, 15, 363–383. [Google Scholar] [CrossRef]
  17. Bigliardi, B.; Ferraro, G.; Filippelli, S.; Galati, F. The influence of open innovation on firm performance. Int. J. Eng. Bus. Manag. 2020, 12, 1847979020969545. [Google Scholar] [CrossRef]
  18. Johannessen, J.A. A systemic approach to innovation: The interactive innovation model. Kybernetes 2009, 38, 158–176. [Google Scholar] [CrossRef]
  19. Loureiro, S.M.C.; Romero, J.; Bilro, R.G. Stakeholder engagement in co-creation processes for innovation: A systematic literature review and case study. J. Bus. Res. 2020, 119, 388–409. [Google Scholar] [CrossRef]
  20. Freije, I.; de la Calle, A.; Ugarte, J.V. Role of supply chain integration in the product innovation capability of servitized manufacturing companies. Technovation 2022, 118, 102216. [Google Scholar] [CrossRef]
  21. Ruoslahti, H. Complexity in project co-creation of knowledge for innovation. J. Innov. Knowl. 2020, 5, 228–235. [Google Scholar] [CrossRef]
  22. Liu, C.; Feng, Y.; Lin, D.; Wu, L.; Guo, M. Iot based laundry services: An application of big data analytics, intelligent logistics management, and machine learning techniques. Int. J. Prod. Res. 2020, 58, 5113–5131. [Google Scholar] [CrossRef]
  23. Chou, Y.-C.; Chuang, H.H.-C.; Shao, B.B.M. The impact of e-retail characteristics on initiating mobile retail services: A modular innovation perspective. Inf. Manag. 2016, 53, 481–492. [Google Scholar] [CrossRef]
  24. Adel, H.; Younis, R. Using co-creating mass-customisation and innovation climate for enhanced value: Empirical investigation in international modular jewellery market. J. Humanit. Appl. Soc. Sci. 2019, 1, 25–42. [Google Scholar] [CrossRef]
  25. Carter, S.M.; Little, M. Justifying Knowledge, Justifying Method, Taking Action: Epistemologies, Methodologies, and Methods in Qualitative Research. Qual. Health Res. 2007, 17, 1316–1328. [Google Scholar] [CrossRef]
  26. Tiwari, S.P. Knowledge Management Strategies and Emerging Technologies—An Overview Of the Underpinning Concepts. arXiv 2022, arXiv:2205.01100. [Google Scholar]
  27. Gao, T.; Chai, Y.; Liu, Y. A review of knowledge management about theoretical conception and designing approaches. Int. J. Crowd Sci. 2018, 2, 42–51. [Google Scholar] [CrossRef]
  28. Mannan, B.; Haleem, A. Understanding major dimensions and determinants that help in diffusion & adoption of product innovation: Using AHP approach. J. Glob. Entrep. Res. 2017, 7, 12. [Google Scholar] [CrossRef]
  29. Xu, Y.; Bernard, A.; Perry, N.; Xu, J.; Sugimoto, S. Knowledge evaluation in product lifecycle design and support. Knowl.-Based Syst. 2014, 70, 256–267. [Google Scholar] [CrossRef]
  30. Ma, Y.; Shi, T.; Zhang, W.; Hao, Y.; Huang, J.; Lin, Y. Comprehensive policy evaluation of NEV development in China, Japan, the United States, and Germany based on the AHP-EW model. J. Clean. Prod. 2019, 214, 389–402. [Google Scholar] [CrossRef]
  31. Wang, G.; Tian, X.; Hu, Y.; Evans, R.D.; Tian, M.; Wang, R. Manufacturing Process Innovation-Oriented Knowledge Evaluation Using MCDM and Fuzzy Linguistic Computing in an Open Innovation Environment. Sustainability 2017, 9, 1630. [Google Scholar] [CrossRef]
  32. Yu, A.; Shi, Y.; You, J.; Zhu, J. Innovation performance evaluation for high-tech companies using a dynamic network data envelopment analysis approach. Eur. J. Oper. Res. 2021, 292, 199–212. [Google Scholar] [CrossRef]
  33. Akhavan, P.; Philsoophian, M.; Karimi, M.H. Selection and prioritization of knowledge management strategies as proportionate with organizations’ level of maturity using fuzzy TOPSIS approach, case study. VINE J. Inf. Knowl. Manag. Syst. 2019, 49, 397–419. [Google Scholar] [CrossRef]
  34. Bao, Z.; Wang, C. A multi-agent knowledge integration process for enterprise management innovation from the perspective of neural network. Inf. Process. Manag. 2022, 59, 102873. [Google Scholar] [CrossRef]
  35. Liu, R.; Zhang, H. Artificial-Intelligence-Based Fuzzy Comprehensive Evaluation of Innovative Knowledge Management in Universities. Math. Probl. Eng. 2022, 2022, 5655269. [Google Scholar] [CrossRef]
  36. Gunantara, N. A review of multi-objective optimization: Methods and its applications. Cogent Eng. 2018, 5, 1502242. [Google Scholar] [CrossRef]
  37. Roijers, D.; Vamplew, P.; Whiteson, S.; Dazeley, R. A Survey of Multi-Objective Sequential Decision-Making. J. Artif. Intell. Res. 2014, 48, 67–113. [Google Scholar] [CrossRef]
  38. Taha, K. Methods That Optimize Multi-Objective Problems: A Survey and Experimental Evaluation. IEEE Access 2020, 8, 80855–80878. [Google Scholar] [CrossRef]
  39. Kumar, R.; Singh, S.; Bilga, P.S.; Jatin; Singh, J.; Singh, S.; Scutaru, M.-L.; Pruncu, C.I. Revealing the benefits of entropy weights method for multi-objective optimization in machining operations: A critical review. J. Mater. Res. Technol. 2021, 10, 1471–1492. [Google Scholar] [CrossRef]
  40. Lo, H.-W.; Liaw, C.-F.; Gul, M.; Lin, K.-Y. Sustainable supplier evaluation and transportation planning in multi-level supply chain networks using multi-attribute- and multi-objective decision making. Comput. Ind. Eng. 2021, 162, 107756. [Google Scholar] [CrossRef]
  41. Ghazinoory, S.; Amiri, M.; Ghazinoori, S.; Alizadeh, P. Designing innovation policy mix: A multi-objective decision-making approach. Econ. Innov. New Technol. 2019, 28, 365–385. [Google Scholar] [CrossRef]
  42. Erdogan, N.; Pamucar, D.; Kucuksari, S.; Deveci, M. An integrated multi-objective optimization and multi-criteria decision-making model for optimal planning of workplace charging stations. Appl. Energy 2021, 304, 117866. [Google Scholar] [CrossRef]
  43. Wu, Q.; Liu, X.; Qin, J.; Zhou, L.; Mardani, A.; Deveci, M. An integrated multi-criteria decision-making and multi-objective optimization model for socially responsible portfolio selection. Technol. Forecast. Soc. Chang. 2022, 184, 121977. [Google Scholar] [CrossRef]
  44. Fattoruso, G.; Barbati, M.; Ishizaka, A.; Squillante, M. A hybrid AHPSort II and multi-objective portfolio selection method to support quality control in the automotive industry. J. Oper. Res. Soc. 2023, 74, 209–224. [Google Scholar] [CrossRef]
  45. Chen, Z.-S.; Chin, K.-S.; Li, Y.-L.; Yang, Y. Proportional hesitant fuzzy linguistic term set for multiple criteria group decision making. Inf. Sci. 2016, 357, 61–87. [Google Scholar] [CrossRef]
  46. Abdellaoui, M.; L’Haridon, O.; Zank, H. Separating curvature and elevation: A parametric probability weighting function. J. Risk Uncertain. 2010, 41, 39–65. [Google Scholar] [CrossRef]
  47. Humphrey, S.J.; Verschoor, A. The probability weighting function: Experimental evidence from Uganda, India and Ethiopia. Econ. Lett. 2004, 84, 419–425. [Google Scholar] [CrossRef]
  48. Rauner, S.; Budzinski, M. Holistic energy system modeling combining multi-objective optimization and life cycle assessment. Environ. Res. Lett. 2017, 12, 124005. [Google Scholar] [CrossRef]
  49. Yin, S.; Li, B. Matching management of supply and demand of green building technologies based on a novel matching method with intuitionistic fuzzy sets. J. Clean. Prod. 2018, 201, 748–763. [Google Scholar] [CrossRef]
  50. Coughlin, T. Impact of COVID-19 on the Consumer Electronics Market. IEEE Consum. Electron. Mag. 2021, 10, 58–59. [Google Scholar] [CrossRef]
  51. Asare, C.; Majeed, M.; Cole, N.A. Omnichannel Integration Quality, Perceived Value, and Brand Loyalty in the Consumer Electronics Market: The Mediating Effect of Consumer Personality. In Advances in Information Communication Technology and Computing; Springer Nature: Singapore, 2022; pp. 29–45. [Google Scholar]
  52. Singh, S.; More, R. Mobile Phone Companies Increasing Market Share through Innovations, R&D Spending and Patents. EMAJ Emerg. Mark. J. 2022, 12, 10. [Google Scholar] [CrossRef]
  53. Tsai, C.; Phumchusri, N. Fuzzy Analytical Hierarchy Process for Supplier Selection: A Case Study in An Electronic Component Manufacturer. Eng. J. 2021, 25, 73–86. [Google Scholar] [CrossRef]
  54. Dziallas, M.; Blind, K. Innovation indicators throughout the innovation process: An extensive literature analysis. Technovation 2019, 80–81, 3–29. [Google Scholar] [CrossRef]
Figure 1. Procedure of dynamic evaluation of PIIK.
Figure 1. Procedure of dynamic evaluation of PIIK.
Mathematics 11 02105 g001
Figure 2. Three situations of dynamic evolution of PIIK.
Figure 2. Three situations of dynamic evolution of PIIK.
Mathematics 11 02105 g002
Figure 3. The correlation of innovation knowledge of each functional component of a cell phone.
Figure 3. The correlation of innovation knowledge of each functional component of a cell phone.
Mathematics 11 02105 g003
Figure 4. Interactive innovation network for cell phone manufacturers.
Figure 4. Interactive innovation network for cell phone manufacturers.
Mathematics 11 02105 g004
Figure 5. Interactive innovation network for cell phone manufacturers after case manufacturers participation.
Figure 5. Interactive innovation network for cell phone manufacturers after case manufacturers participation.
Mathematics 11 02105 g005
Table 1. Comparison with recent studies.
Table 1. Comparison with recent studies.
AuthorEvaluation ObjectEvaluation MethodConsidering Multiple Innovative SubjectsConsidering Subject Interaction RelationsConsidering Dynamic Evaluation
Mannan et al., 2017 [28]Product innovation knowledgeAnalytic hierarchy process (AHP) approach
Xu et al., 2014 [29]Product innovation knowledgeKnowledge value quantification model
Ma et al., 2019 [30]Policy innovation knowledgeAHP-EW method
Wang et al., 2017 [31]Manufacturing innovation knowledgeMulticriteria decision-making and fuzzy composite evaluation method
Yu et al., 2021 [32]R&D knowledgeDynamic network and data envelopment analysis methods
Akhavan et al., 2019 [33]Corporate innovation knowledgeTOPSIS method
Bao et al., 2022 [34]Innovation process knowledgeConvolutional neural networks
Liu and Zhang 2022 [35]University innovation knowledgeFuzzy evaluation and artificial intelligence evaluation model
Table 2. A generic indicator system for knowledge evaluation.
Table 2. A generic indicator system for knowledge evaluation.
General IndicatorSpecific Description
AccuracyDescribe whether the product interactive innovation knowledge matches and is accurate with its corresponding objective attributes; this is used to reflect the accuracy of product interactive innovation knowledge.
IntegrityDescribe whether the product interactive innovation knowledge is expressed in a standard way, whether the knowledge attributes are complete, and whether the knowledge expression is unclear or the reference is unclear due to the missing values.
ConsistencyDescribe whether the product interactive innovation knowledge or the characteristics and attributes of product interactive innovation knowledge are expressed in the same form and connotation in the invocation process of different systems and whether there is any ambiguity.
ValidityDescribe whether the product interactive innovation knowledge can achieve the expected innovation purpose and reflect the usability and reliability of the product interactive innovation knowledge.
UniquenessDescribe the singularity of product interactive innovation knowledge and evaluate whether there are duplicates of the product interactive innovation knowledge.
TemporalityDescribe the temporal properties of the product interactive innovation knowledge, which can reflect whether the product interactive innovation knowledge is obsolete or novel.
SpatialityDescribe whether the product interactive innovation knowledge has a wide range of adaptation, which is used to reflect the dynamic and flexible application of the product interactive innovation knowledge.
StabilityDescribe whether the knowledge attributes of product interactive innovation knowledge are stable, which can be used to reflect the state change of product interactive innovation knowledge.
EfficiencyDescribe the number of times the product interactive innovation knowledge is reused or updated, which can be used to reflect the reuse value of the product interactive innovation knowledge in product innovation.
Table 3. Description of notation in the PIIK dynamic evaluation model.
Table 3. Description of notation in the PIIK dynamic evaluation model.
NotationMeaning
N Number of product interactive innovation subjects
P Number of the evaluation indicators of PIIK
u i = { e i 1 , , e i q i } The set of innovation knowledge of product interactive innovation subject i , where qi denotes the value of the innovation knowledge evaluated by product interactive innovation subject i
K = ( e 1 a 1 , , e i a i , , e N a N ) , a i q i PIIK of all product interactive innovation subject interaction compositions
s m s e l f ( e i a i ) Evaluation score of product interactive innovation subject i on its own innovation knowledge e i a i   under evaluation indicator m
s m o t h e r ( e i a i | e j a j ) Evaluation score of product interactive innovation subject j on subject i ’s innovation knowledge e i a i while its innovation knowledge is e j a j under evaluation indicator m
s m ( e i a i ) The composite evaluation score of each product interactive innovation subject on subject i ’s innovation knowledge e i a i   under the evaluation indicator m
s m ( K ) = ( s m ( e 1 a 1 ) , , s m ( e i a i ) , , s m ( e N a N ) ) The composite evaluation score of each product interactive innovation subject for PIIK K under the evaluation indicator m
s ( K ) = ( s 1 ( K ) , , s m ( K ) , , s p ( K ) ) Composite evaluation score of each product interaction innovation subject on PIIK K under p evaluation indicators
W ( i , j ) The interaction coefficient of the subject relationship of product interactive innovation subject i to product interactive innovation subject j
A ( i , j ) The product interaction innovation network is 1 if there are edges pointing to j from i ; otherwise, it is 0
Table 4. Description of additional notation in the PIIK dynamic evaluation model.
Table 4. Description of additional notation in the PIIK dynamic evaluation model.
NotationMeaning
K PIIK when new innovative subjects participate in the interaction
K PIIK when the original innovative subject creates new knowledge
W The interaction coefficient of the subject relationship when a new innovative subject participates in the interaction
W The interaction coefficient of the subject relationship when the original innovative subject creates new knowledge
a ( m ) Weights of all PIIK evaluation indicators
b ( i ) Weight of the product innovation knowledge represented by product interactive innovation subject i
Table 5. Relevant cell phone hardware innovation knowledge of each cell phone manufacturer.
Table 5. Relevant cell phone hardware innovation knowledge of each cell phone manufacturer.
A-Battery
Manufacturers
B-Camera
Manufacturers
C-Screen
Manufacturers
D-Kernel
Manufacturers
A1
Wireless fast-charging technology,
Load 3800 mAh
B1
Front 3200 + rear,
4000 + 2000 + 800 + TOF
C1
OLED material
Waterdrop screen,
6.47 inches
D1
2 + 4 architecture,
GPU Turbo Technology
A2
65w fast charging technology,
Load 4500 mAh
B2
Front 2000 + rear, 1600 + 1700 + 1200
C2
AMOLED material
Full screen,
5.8 inches
D2
1 + 3+4 architecture,
AI HDR technology
Table 6. Evaluation indicators of cell phone PIIK.
Table 6. Evaluation indicators of cell phone PIIK.
Evaluation Indicator of PIIKWeight
Novelty0.45
Feasibility0.25
Profitability0.3
Table 7. Cell phone manufacturers’ evaluation of their own innovation knowledge.
Table 7. Cell phone manufacturers’ evaluation of their own innovation knowledge.
A1A2B1B2C1C2D1D2
Novelty0.80.30.80.40.40.80.80.5
Feasibility0.60.90.60.90.80.60.50.7
Profitability0.50.70.50.70.80.50.50.7
Table 8. Innovative knowledge evaluation among cell phone manufacturers.
Table 8. Innovative knowledge evaluation among cell phone manufacturers.
A1A2B1B2C1C2D1D2
A10.50.70.50.90.60.8
A20.80.60.80.50.70.6
B10.60.80.70.50.80.7
B20.80.70.60.80.60.9
C10.40.70.80.6
C20.80.60.70.8
D10.60.80.70.6
D20.90.60.70.8
Table 9. Composite evaluation calculation of the cell phone PIIK (excerpt).
Table 9. Composite evaluation calculation of the cell phone PIIK (excerpt).
Cell Phone PIIKThe Score Vector of the
1st Component
……The Score Vector of the
4th Component
A1B1C1D1(0.6 × WAB + 0.4 × WAC + 0.6 × WAD)/3 + (1 − (WAB + WAC + WAD)/3) × 0.66……(0.6 × WDA + 0.8 × WDB + 0.8 × WDC)/3 + (1 − (WDA + WDB + WDC)/3) × 0.635
A1B1C1D2(0.6 × WAB + 0.4 × WAC + 0.9 × WAD)/3 + (1 − (WAB + WAC + WAD)/3) × 0.66……(0.8 × WDA + 0.7 × WDB + 0.6 × WDC)/3 + (1 − (WDA + WDB + WDC)/3) × 0.61
A1B1C2D1(0.6 × WAB + 0.8 × WAC + 0.6 × WAD)/3 + (1 − (WAB + WAC + WAD)/3) × 0.66……(0.6 × WDA + 0.8 × WDB + 0.7 × WDC)/3 + (1 − (WDA + WDB + WDC)/3) × 0.635
A1B1C2D2(0.6 × WAB + 0.8 × WAC + 0.9 × WAD)/3 + (1 − (WAB + WAC + WAD)/3) × 0.66…… (0.8 × WDA + 0.8 × WDB + 0.8 × WDC)/3 + (1 − (WDA + WDB + WDC)/3) × 0.61
A1B2C1D1(0.8 × WAB + 0.4 × WAC + 0.6 × WAD)/3 + (1 − (WAB + WAC + WAD)/3) × 0.66……(0.6 × WDA + 0.6 × WDB + 0.8 × WDC)/3 + (1 − (WDA + WDB + WDC)/3) × 0.635
A1B2C1D2(0.8 × WAB + 0.4 × WAC + 0.9 × WAD)/3 + (1 − (WAB + WAC + WAD)/3) × 0.66……(0.8 × WDA + 0.9 × WDB + 0.6 × WDC)/3 + (1 − (WDA + WDB + WDC)/3) × 0.61
A1B2C2D1(0.8 × WAB + 0.8 × WAC + 0.6 × WAD)/3 + (1 − (WAB + WAC + WAD)/3) × 0.66……(0.6 × WDA + 0.6 × WDB + 0.7 × WDC)/3 + (1 − (WDA + WDB + WDC)/3) × 0.635
A1B2C2D2(0.8 × WAB + 0.8 × WAC + 0.9 × WAD)/3 + (1 − (WAB + WAC + WAD)/3) × 0.66……(0.8 × WDA + 0.9 × WDB + 0.8 × WDC)/3 + (1 − (WDA + WDB + WDC)/3) × 0.61
A2B1C1D1(0.8 × WAB + 0.7 × WAC + 0.8 × WAD)/3 + (1 − (WAB + WAC + WAD)/3) × 0.57…… (0.7 × WDA + 0.8 × WDB + 0.8 × WDC)/3 + (1 − (WDA + WDB + WDC)/3) × 0.635
A2B1C1D2(0.8 × WAB + 0.7 × WAC + 0.6 × WAD)/3 + (1 − (WAB + WAC + WAD)/3) × 0.57……(0.6 × WDA + 0.7 × WDB + 0.6 × WDC)/3 + (1 − (WDA + WDB + WDC)/3) × 0.61
A2B1C2D1(0.8 × WAB + 0.6 × WAC + 0.8 × WAD)/3 + (1 − (WAB + WAC + WAD)/3) × 0.57…… (0.7 × WDA + 0.8 × WDB + 0.7 × WDC)/3 + (1 − (WDA + WDB + WDC)/3) × 0.635
A2B1C2D2(0.8 × WAB + 0.6 × WAC + 0.6 × WAD)/3 + (1 − (WAB + WAC + WAD)/3) × 0.57……(0.6 × WDA + 0.7 × WDB + 0.8 × WDC)/3 + (1 − (WDA + WDB + WDC)/3) × 0.61
A2B2C1D1(0.7 × WAB + 0.7 × WAC + 0.8 × WAD)/3 + (1 − (WAB + WAC + WAD)/3) × 0.57…… (0.7 × WDA + 0.6 × WDB + 0.8 × WDC)/3 + (1 − (WDA + WDB + WDC)/3) × 0.635
A2B2C1D2(0.7 × WAB + 0.7 × WAC + 0.6 × WAD)/3 + (1 − (WAB + WAC + WAD)/3) × 0.57……(0.6 × WDA + 0.9 × WDB + 0.6 × WDC)/3 + (1 − (WDA + WDB + WDC)/3) × 0.61
A2B2C2D1(0.7 × WAB + 0.6 × WAC + 0.8 × WAD)/3 + (1 − (WAB + WAC + WAD)/3) × 0.57…… (0.7 × WDA + 0.6 × WDB + 0.7 × WDC)/3 + (1 − (WDA + WDB + WDC)/3) × 0.635
A2B2C2D2(0.7 × WAB + 0.6 × WAC + 0.6 × WAD)/3 + (1 − (WAB + WAC + WAD)/3) × 0.57…… (0.6 × WDA + 0.9 × WDB + 0.8 × WDC)/3 + (1 − (WDA + WDB + WDC)/3) × 0.61
Table 10. Comparison of the composite evaluation scores of the cell phone PIIK.
Table 10. Comparison of the composite evaluation scores of the cell phone PIIK.
Cell Phone PIIKConsidering the Subject
Interaction
Disregarding the Subject
Interaction
Cell Phone PIIKConsidering the Subject
Interaction
Disregarding the Subject
Interaction
A1B1C1D10.6030.650A2B1C1D10.6990.614
A1B1C1D20.6160.647A2B1C1D20.6730.611
A1B1C2D10.6470.656A2B1C2D10.6750.620
A1B1C2D20.6700.653A2B1C2D20.6600.617
A1B2C1D10.6280.637A2B2C1D10.6430.601
A1B2C1D20.6580.633A2B2C1D20.6350.597
A1B2C2D10.6850.643A2B2C2D10.6330.607
A1B2C2D20.7260.639A2B2C2D20.6360.603
Table 11. Innovative knowledge evaluation among cell phone manufacturers after the participation of case manufacturers.
Table 11. Innovative knowledge evaluation among cell phone manufacturers after the participation of case manufacturers.
A1A2B1B2C1C2D1D2E1E2
A10.50.70.50.90.60.80.20.8
A20.80.60.80.50.70.60.70.4
B10.60.80.70.50.80.70.60.7
B20.80.70.60.80.60.90.70.6
C10.40.70.80.6
C20.80.60.70.8
D10.60.80.70.6
D20.90.60.70.8
E10.20.80.60.60.70.8
E20.70.60.80.60.80.6
Table 12. Composite evaluation calculation of cell phone PIIK after the participation of case manufacturers (excerpt).
Table 12. Composite evaluation calculation of cell phone PIIK after the participation of case manufacturers (excerpt).
Cell Phone PIIKThe Score Vector of the
1st Component
……The Score Vector of the
5th Component
A1B1C1D1E1(0.6 × WAB + 0.4 × WAC + 0.6 × WAD + 0.2 × WAE)/4 + (1 − (WAB + WAC + WAD + WAE)/4) × 0.66……(0.2 × WEA + 0.6 × WEB)/2 + (1 − (WEA + WEB)/2) × 0.6
A1B2C1D1E1(0.8 × WAB + 0.4 × WAC + 0.6 × WAD + 0.2 × WAE)/4 + (1 − (WAB + WAC + WAD + WAE)/4) × 0.66……(0.2 × WEA + 0.7 × WEB)/2 + (1 − (WEA + WEB)/2) × 0.6
A2B1C1D1E1(0.8 × WAB + 0.7 × WAC + 0.8 × WAD + 0.8 × WAE)/4 + (1 − (WAB + WAC + WAD + WAE)/4) × 0.57……(0.7 × WEA + 0.6 × WEB)/2 + (1 − (WEA + WEB)/2) × 0.6
A2B2C1D1E1(0.7 × WAB + 0.7 × WAC + 0.8 × WAD + 0.8 × WAE)/4 + (1 − (WAB + WAC + WAD + WAE)/4) × 0.57……(0.7 × WEA + 0.7 × WEB)/2 + (1 − (WEA + WEB)/2) × 0.6
A1B1C2D2E2(0.6 × WAB + 0.8 × WAC + 0.9 × WAD + 0.7 × WAE)/4 + (1 − (WAB + WAC + WAD + WAE)/4) × 0.66……(0.8 × WEA + 0.7 × WEB)/2 + (1 − (WEA + WEB)/2) × 0.645
A1B2C2D2E2(0.8 × WAB + 0.8 × WAC + 0.9 × WAD + 0.7 × WAE)/4 + (1 − (WAB + WAC + WAD + WAE)/4) × 0.66……(0.8 × WEA + 0.6 × WEB)/2 + (1 − (WEA + WEB)/2) × 0.645
A2B1C2D2E2(0.8 × WAB + 0.6 × WAC + 0.6 × WAD + 0.6 × WAE)/4 + (1 − (WAB + WAC + WAD + WAE)/4) × 0.57……(0.4 × WEA + 0.7 × WEB)/2 + (1 − (WEA + WEB)/2) × 0.645
A2B2C2D2E2(0.7 × WAB + 0.6 × WAC + 0.6 × WAD + 0.6 × WAE)/4 + (1 − (WAB + WAC + WAD + WAE)/4) × 0.57……(0.4 × WEA + 0.6 × WEB)/2 + (1 − (WEA + WEB)/2) × 0.645
Table 13. Comparison of PIIK composite evaluation scores of cell phones after the participation of case manufacturers.
Table 13. Comparison of PIIK composite evaluation scores of cell phones after the participation of case manufacturers.
Cell Phone PIIKConsidering the Subject
Interaction
Disregarding the Subject
Interaction
Cell Phone PIIKConsidering the Subject
Interaction
Disregarding the Subject
Interaction
A1B1C1D1E10.5630.641A1B1C1D1E20.6500.648
A1B1C1D2E10.5700.638A1B1C1D2E20.6550.644
A1B1C2D1E10.5890.647A1B1C2D1E20.6760.654
A1B1C2D2E10.6040.644A1B1C2D2E20.6890.650
A1B2C1D1E10.5720.630A1B2C1D1E20.6400.637
A1B2C1D2E10.5920.626A1B2C1D2E20.6570.633
A1B2C2D1E10.6110.636A1B2C2D1E20.6790.643
A1B2C2D2E10.6390.632A1B2C2D2E20.7050.639
A2B1C1D1E10.6840.614A2B1C1D1E20.6700.621
A2B1C1D2E10.6660.611A2B1C1D2E20.6500.617
A2B1C2D1E10.6650.620A2B1C2D1E20.6510.627
A2B1C2D2E10.6560.617A2B1C2D2E20.6400.623
A2B2C1D1E10.6560.603A2B2C1D1E20.6220.610
A2B2C1D2E10.6520.599A2B2C1D2E20.6160.606
A2B2C2D1E10.6510.609A2B2C2D1E20.6180.616
A2B2C2D2E10.6550.605A2B2C2D2E20.6200.612
Table 14. Comparison of PIIK scores of cell phones after the departure of the kernel manufacturer.
Table 14. Comparison of PIIK scores of cell phones after the departure of the kernel manufacturer.
Cell Phone PIIKConsidering the Subject
Interaction
Disregarding the Subject
Interaction
A1B1C10.5710.652
A1B1C20.6490.652
A1B2C10.6140.660
A1B2C20.7190.660
A2B1C10.6980.636
A2B1C20.6580.636
A2B2C10.6370.644
A2B2C20.6250.644
Table 15. Evaluation of the innovative knowledge among cell phone manufacturers after screen manufacturers created new knowledge.
Table 15. Evaluation of the innovative knowledge among cell phone manufacturers after screen manufacturers created new knowledge.
A1A2B1B2C1C2C3D1D2
A10.50.70.50.90.90.60.8
A20.80.60.80.50.80.70.6
B10.60.80.70.50.70.80.7
B20.80.70.60.80.80.60.9
C10.40.70.80.6
C20.80.60.70.8
C30.80.70.80.7
D10.60.80.70.60.8
D20.90.60.70.80.7
Table 16. Calculation of each score vector for the new cell phone PIIK.
Table 16. Calculation of each score vector for the new cell phone PIIK.
Cell Phone PIIKThe Score Vector of the
1st Component
The Score Vector of the
4th Component
A1B1C3D1(0.6 × WAB + 0.8 × WAC + 0.6 × WAD)/3 + (1 − (WAB + WAC + WAD)/3) × 0.66(0.6 × WDA + 0.8 × WDB + 0.8 × WDC)/3 + (1 − (WDA + WDB + WDC)/3) × 0.635
A1B1C3D2(0.6 × WAB + 0.8 × WAC + 0.9 × WAD)/3 + (1 − (WAB + WAC + WAD)/3) × 0.66(0.8 × WDA + 0.7 × WDB + 0.7 × WDC)/3 + (1 − (WDA + WDB + WDC)/3) × 0.61
A1B2C3D1(0.8 × WAB + 0.8 × WAC + 0.6 × WAD)/3 + (1 − (WAB + WAC + WAD)/3) × 0.66(0.6 × WDA + 0.6 × WDB + 0.8 × WDC)/3 + (1 − (WDA + WDB + WDC)/3) × 0.635
A1B2C3D2(0.8 × WAB + 0.8 × WAC + 0.9 × WAD)/3 + (1 − (WAB + WAC + WAD)/3) × 0.66(0.8 × WDA + 0.9 × WDB + 0.7 × WDC)/3 + (1 − (WDA + WDB + WDC)/3) × 0.61
A2B1C3D1(0.8 × WAB + 0.7 × WAC + 0.8 × WAD)/3 + (1 − (WAB + WAC + WAD)/3) × 0.57(0.7 × WDA + 0.8 × WDB + 0.8 × WDC)/3 + (1 − (WDA + WDB + WDC)/3) × 0.635
A2B1C3D2(0.8 × WAB + 0.7 × WAC + 0.6 × WAD)/3 + (1 − (WAB + WAC + WAD)/3) × 0.57(0.6 × WDA + 0.7 × WDB + 0.7 × WDC)/3 + (1 − (WDA + WDB + WDC)/3) × 0.61
A2B2C3D1(0.7 × WAB + 0.7 × WAC + 0.8 × WAD)/3 + (1 − (WAB + WAC + WAD)/3) × 0.57(0.7 × WDA + 0.6 × WDB + 0.8 × WDC)/3 + (1 − (WDA + WDB + WDC)/3) × 0.635
A2B2C3D2(0.7 × WAB + 0.7 × WAC + 0.6 × WAD)/3 + (1 − (WAB + WAC + WAD)/3) × 0.57(0.6 × WDA + 0.9 × WDB + 0.7 × WDC)/3 + (1 − (WDA + WDB + WDC)/3) × 0.61
Table 17. Comparison of the cell phone PIIK scores after screen manufacturers created new knowledge.
Table 17. Comparison of the cell phone PIIK scores after screen manufacturers created new knowledge.
Cell Phone PIIKConsidering the Subject
Interaction
Disregarding the
Subject
Interaction
Cell Phone PIIKConsidering the Subject
Interaction
Disregarding the
Subject
Interaction
A1B1C1D10.6030.650A2B2C1D10.6430.601
A1B1C1D20.6160.647A2B2C1D20.6350.597
A1B1C2D10.6470.656A2B2C2D10.6330.607
A1B1C2D20.6700.653A2B2C2D20.6360.603
A1B2C1D10.6280.637A1B1C3D10.6600.659
A1B2C1D20.6580.633A1B1C3D20.6750.656
A1B2C2D10.6850.643A1B2C3D10.6910.646
A1B2C2D20.7260.639A1B2C3D20.7240.642
A2B1C1D10.6990.614A2B1C3D10.7050.623
A2B1C1D20.6730.611A2B1C3D20.6810.620
A2B1C2D10.6750.620A2B2C3D10.6560.610
A2B1C2D20.6600.617A2B2C3D20.6500.606
Disclaimer/Publisher’s Note: The statements, opinions and data contained in all publications are solely those of the individual author(s) and contributor(s) and not of MDPI and/or the editor(s). MDPI and/or the editor(s) disclaim responsibility for any injury to people or property resulting from any ideas, methods, instructions or products referred to in the content.

Share and Cite

MDPI and ACS Style

Zhang, F.; Zhang, Z.; Zhang, Q.; Zhu, X. Dynamic Evaluation of Product Innovation Knowledge Concerning the Interactive Relationship between Innovative Subjects: A Multi-Objective Optimization Approach. Mathematics 2023, 11, 2105. https://doi.org/10.3390/math11092105

AMA Style

Zhang F, Zhang Z, Zhang Q, Zhu X. Dynamic Evaluation of Product Innovation Knowledge Concerning the Interactive Relationship between Innovative Subjects: A Multi-Objective Optimization Approach. Mathematics. 2023; 11(9):2105. https://doi.org/10.3390/math11092105

Chicago/Turabian Style

Zhang, Fanshun, Zhuorui Zhang, Quanquan Zhang, and Xiaochun Zhu. 2023. "Dynamic Evaluation of Product Innovation Knowledge Concerning the Interactive Relationship between Innovative Subjects: A Multi-Objective Optimization Approach" Mathematics 11, no. 9: 2105. https://doi.org/10.3390/math11092105

APA Style

Zhang, F., Zhang, Z., Zhang, Q., & Zhu, X. (2023). Dynamic Evaluation of Product Innovation Knowledge Concerning the Interactive Relationship between Innovative Subjects: A Multi-Objective Optimization Approach. Mathematics, 11(9), 2105. https://doi.org/10.3390/math11092105

Note that from the first issue of 2016, this journal uses article numbers instead of page numbers. See further details here.

Article Metrics

Back to TopTop