A Novel Medical Decision-Making System Based on Multi-Scale Feature Enhancement for Small Samples
Abstract
:1. Introduction
- (1)
- This paper discusses an osteosarcoma-assisted diagnosis system (OSADS) in conjunction with artificial intelligence techniques. Physicians can use an OSADS for automatic image segmentation and the results can be used as a second opinion to assist doctors in their diagnosis. This not only addresses the high rate of misdiagnosis caused by doctors’ enormous workloads in underdeveloped nations, but also allows patients to obtain timely and effective treatment.
- (2)
- We design a multi-scale feature enhancement network (MFENet). In this network, we use several transformer blocks to extract global information and convolution to extract local information. The feature information of different scales is generated at the same time. This enables the model to maintain a range of accuracy when segmenting osteosarcomas of different shapes and sizes.
- (3)
- We add a prior mask to the image segmentation model. It can replace the reconstruction process from features to segment MRI images. This enables a rapid response to provide auxiliary results to doctors.
- (4)
- The experiments are conducted using real data of osteosarcoma images provided by Monash University. The results show that our proposed method of osteosarcoma segmentation is better than other methods. The system is extremely important for osteosarcoma diagnosis, the course of treatment, and outlook.
2. Related Work
3. System Model Design
3.1. Problem Definition
3.2. Data Preprocessing
3.3. Segmentation Network
3.4. Loss Function
4. Experiment
4.1. Experimental Settings
4.1.1. Dataset
4.1.2. Evaluation Metrics
4.2. Brief Introduction of Comparison Algorithms
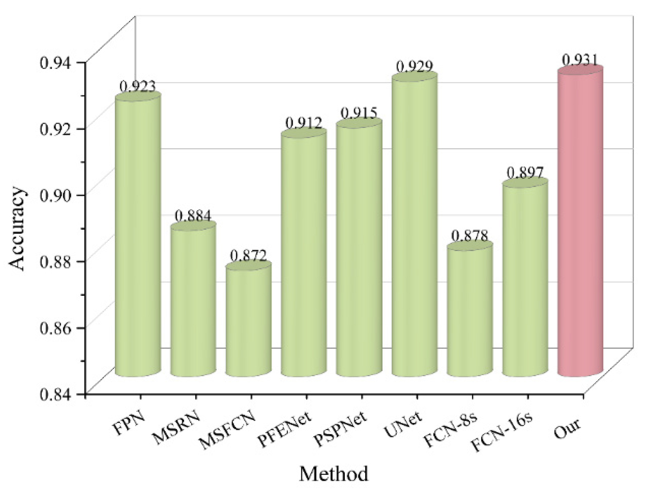
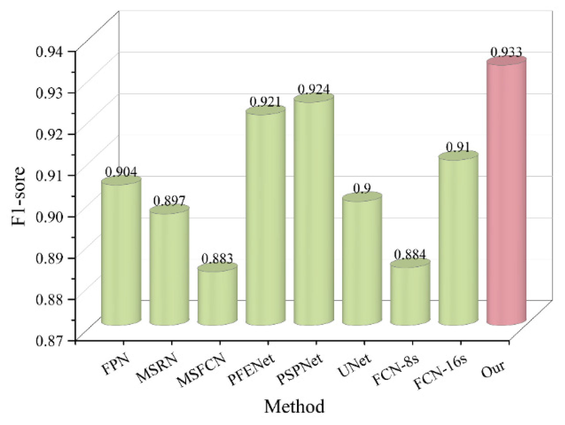
- The feature pyramid network (FPN) [51] aims to use the hierarchical semantic features inherent in convolutional networks to build feature pyramids. It substantially improves the performance of small object detection by a simple change in network connectivity, with essentially no increase in the computational effort of the original model.
- The multiple supervised residual network (MSRN) [25] incorporates three supervised edge output modules in the residual network to guide the learning of low-level shape features and high-level semantic features. This helps to segment low-contrast tumor regions.
- The multiple supervised fully convolutional network (MSFCN) [2] introduces convolution kernels of different scales based on fully convolutional neural networks to guide multi-scale feature learning as a contraction structure, so that local and global image features can be captured.
- The prior-guided feature enrichment network (PFENet) [44] is a few-shot segmentation network that can quickly adapt to new classes with few labeled support samples. Simultaneously, a prior mask and feature enrichment module is developed, which uses supporting features and prior masks to adaptively enrich query features, improving the model’s segmentation performance.
- The pyramid scene parsing network (PSPNet) [52] provides a pyramid scene parsing network that may combine contextual information from several regions, boosting the ability to obtain global knowledge.
- The UNet [53] is an encoder–decoder U-shaped network structure. The encoder part completes feature extraction, and the decoder part completes upsampling by introducing skip connections and information connections from different convolutional layers. It is a classic network model in the field of medical image segmentation.
- The fully convolutional network (FCN) [54] is an end-to-end network structure that replaces the fully connected layer in the classification network with convolutional layers and pooling layers, and introduces a skip connection structure, so that the network structure can adapt to pixel-level dense prediction tasks.
- The multi-scale feature enhancement network (MFENet) is a new method we propose in this paper. It uses transformer blocks to extract global information and convolution to extract local information and generate feature information at different scales, effectively combining the advantages of both [50,55,56].
4.3. Evaluation of Segmentation Effect
5. Conclusions
Author Contributions
Funding
Data Availability Statement
Conflicts of Interest
References
- Tahmasbi-Arashlow, M.; Barnts, K.L.; Nair, M.K.; Cheng, Y.-S.L.; Reddy, L.V. Radiographic manifestations of fibroblastic osteosarcoma: A diagnostic challenge. Imaging Sci. Dent. 2019, 49, 235–240. [Google Scholar] [CrossRef] [PubMed]
- Liu, F.; Zhu, J.; Lv, B.; Yang, L.; Sun, W.; Dai, Z.; Gou, F.; Wu, J. Auxiliary Segmentation Method of Osteosarcoma MRI Image Based on Transformer and U-Net. Comput. Intell. Neurosci. 2022, 2022, 9990092. [Google Scholar] [CrossRef] [PubMed]
- Harrison, D.J.; Geller, D.S.; Gill, J.D.; Lewis, V.O.; Gorlick, R. Current and future therapeutic approaches for osteosarcoma. Expert Rev. Anticancer Ther. 2018, 18, 39–50. [Google Scholar] [CrossRef]
- Ouyang, T.; Yang, S.; Gou, F.; Dai, Z.; Wu, J. Rethinking U-Net from an Attention Perspective with Transformers for Osteosarcoma MRI Image Segmentation. Comput. Intell. Neurosci. 2022, 2022, 7973404. [Google Scholar] [CrossRef] [PubMed]
- Burkett, B.J.; Fagan, A.J.; Felmlee, J.P.; Black, D.F.; Lane, J.I.; Port, J.D.; Rydberg, C.H.; Welker, K.M. Clinical 7-T MRI for neuroradiology: Strengths, weaknesses, and ongoing challenges. Neuroradiology 2021, 63, 167–177. [Google Scholar] [CrossRef] [PubMed]
- Liu, F.; Gou, F.; Wu, J. An Attention-Preserving Network-Based Method for Assisted Segmentation of Osteosarcoma MRI Images. Mathematics 2022, 10, 1665. [Google Scholar] [CrossRef]
- Ling, Z.; Yang, S.; Gou, F.; Dai, Z.; Wu, J. Intelligent Assistant Diagnosis System of Osteosarcoma MRI Image Based on Transformer and Convolution in Developing Countries. IEEE J. Biomed. Health Inform. 2022, 26, 5563–5574. [Google Scholar] [CrossRef]
- Zhou, Z.; Gou, F.; Tan, Y.; Wu, J. A Cascaded Multi-Stage Framework for Automatic Detection and Segmentation of Pulmonary Nodules in Developing Countries. IEEE J. Biomed. Health Inform. 2022, 26, 5619–5630. [Google Scholar] [CrossRef]
- Wu, J.; Guo, Y.; Gou, F.; Dai, Z. A medical assistant segmentation method for MRI images of osteosarcoma based on DecoupleSegNet. Int. J. Intell. Syst. 2022, 37, 8436–8461. [Google Scholar] [CrossRef]
- Tang, H.; Huang, H.; Liu, J.; Zhu, J.; Gou, F.; Wu, J. AI-Assisted Diagnosis and Decision-Making Method in Developing Countries for Osteosarcoma. Healthcare 2022, 10, 2313. [Google Scholar] [CrossRef]
- Wu, J.; Gou, F.; Tan, Y. A Staging Auxiliary Diagnosis Model for Nonsmall Cell Lung Cancer Based on the Intelligent Medical System. Comput. Math. Methods Med. 2021, 2021, 6654946. [Google Scholar] [CrossRef]
- Qin, Y.; Li, X.; Wu, J.; Yu, K. A management method of chronic diseases in the elderly based on IoT security environment. Comput. Electr. Eng. 2022, 102, 108188. [Google Scholar] [CrossRef]
- Wu, J.; Yang, S.; Gou, F.; Zhou, Z.; Xie, P.; Xu, N.; Dai, Z. Intelligent Segmentation Medical Assistance System for MRI Images of Osteosarcoma in Developing Countries. Comput. Math. Methods Med. 2022, 2022, 7703583. [Google Scholar] [CrossRef]
- Shen, Y.; Gou, F.; Dai, Z. Osteosarcoma MRI Image-Assisted Segmentation System Base on Guided Aggregated Bilateral Network. Mathematics 2022, 10, 1090. [Google Scholar] [CrossRef]
- Gou, F.; Wu, J. Novel data transmission technology based on complex IoT system in opportunistic social networks. Peer-to-Peer Netw. Appl. 2022, 11, 23. [Google Scholar] [CrossRef]
- Zhan, X.; Long, H.; Gou, F.; Duan, X.; Kong, G.; Wu, J. A Convolutional Neural Network-Based Intelligent Medical System with Sensors for Assistive Diagnosis and Decision-Making in Non-Small Cell Lung Cancer. Sensors 2021, 21, 7996. [Google Scholar] [CrossRef]
- Guo, F.; Ng, M.; Wright, G. Cardiac Cine MRI Left Ventricle Segmentation Combining Deep Learning and Graphical Models. In Proceedings of the Medical Imaging Conference—Image Processing, Houston, TX, USA, 15–20 February 2020; Volume 11313, p. 2021. [Google Scholar]
- Wang, L.; Yu, L.; Zhu, J.; Tang, H.; Gou, F.; Wu, J. Auxiliary Segmentation Method of Osteosarcoma in MRI Images Based on Denoising and Local Enhancement. Healthcare 2022, 10, 1468. [Google Scholar] [CrossRef]
- Mo, S.; Cai, M.; Lin, L.; Tong, R.; Chen, Q.; Wang, F.; Hu, H.; Iwamoto, Y.; Han, X.-H.; Chen, Y.-W. Mutual Information-Based Graph Co-Attention Networks for Multimodal Prior-Guided Magnetic Resonance Imaging Segmentation. IEEE Trans. Circuits Syst. Video Technol. 2022, 32, 2512–2526. [Google Scholar] [CrossRef]
- Wu, J.; Zhou, L.; Gou, F.; Tan, Y. A Residual Fusion Network for Osteosarcoma MRI Image Segmentation in Developing Countries. Comput. Intell. Neurosci. 2022, 2022, 7285600. [Google Scholar] [CrossRef]
- Gou, F.; Liu, J.; Zhu, J.; Wu, J. A Multimodal Auxiliary Classification System for Osteosarcoma Histopathological Images Based on Deep Active Learning. Healthcare 2022, 10, 2189. [Google Scholar] [CrossRef] [PubMed]
- Zhuang, Q.; Dai, Z.; Wu, J. Deep Active Learning Framework for Lymph Node Metastasis Prediction in Medical Support System. Comput. Intell. Neurosci. 2022, 2022, 4601696. [Google Scholar] [CrossRef] [PubMed]
- Wu, J.; Xiao, P.; Huang, H.; Gou, F.; Zhou, Z.; Dai, Z. An Artificial Intelligence Multiprocessing Scheme for the Diagnosis of Osteosarcoma MRI Images. IEEE J. Biomed. Health Inform. 2022, 26, 4656–4667. [Google Scholar] [CrossRef]
- Nasor, M.; Obaid, W. Segmentation of osteosarcoma in MRI images by K-means clustering, Chan-Vese segmentation, and iterative Gaussian filtering. IET Image Process. 2021, 15, 1310–1318. [Google Scholar] [CrossRef]
- Zhang, R.; Huang, L.; Xia, W.; Zhang, B.; Qiu, B.; Gao, X. Multiple supervised residual network for osteosarcoma segmentation in CT images. Comput. Med. Imaging Graph. 2018, 63, 1–8. [Google Scholar] [CrossRef]
- Shuai, L.; Gao, X.; Wang, J. Wnet++: A Nested W-shaped Network with Multiscale Input and Adaptive Deep Supervision for Osteosarcoma Segmentation. In Proceedings of the 2021 IEEE 4th International Conference on Electronic Information and Communication Technology (ICEICT), Xi’an, China, 18–20 August 2021; IEEE: Washington, DC, USA, 2021; pp. 93–99. [Google Scholar]
- Devlin, J.; Chang, M.W.; Lee, K.; Toutanova, K. Bert: Pre-training of deep bidirectional transformers for language understanding. arXiv 2018, arXiv:1810.04805. [Google Scholar]
- Liu, Z.; Lin, Y.; Cao, Y.; Hu, H.; Wei, Y.; Zhang, Z.; Lin, S.; Guo, B. Swin Transformer: Hierarchical Vision Transformer Using Shifted Windows. In Proceedings of the IEEE/CVF International Conference on Computer Vision, Montreal, QC, Canada, 11–17 October 2021. [Google Scholar]
- Zheng, S.; Lu, J.; Zhao, H.; Zhu, X.; Zhang, L. Rethinking Semantic Segmentation from a Sequence-to-Sequence Perspective with Transformers. In Proceedings of the IEEE/CVF Conference on Computer Vision and Pattern Recognition (CVPR), Seattle, WA, USA, 13–19 June 2020. [Google Scholar]
- Lin, A.; Chen, B.; Xu, J.; Zhang, Z.; Lu, G. DS-TransUNet: Dual Swin Transformer U-Net for Medical Image Segmentation. IEEE Trans. Instrum. Meas. 2021, 71, 4005615. [Google Scholar] [CrossRef]
- Zhang, Y.; Liu, H.; Hu, Q. TransFuse: Fusing Transformers and CNNs for Medical Image Segmentation. In Proceedings of the Medical Image Computing and Computer Assisted Intervention—MICCAI 2021: 24th International Conference, Strasbourg, France, 27 September–1 October 2021; pp. 14–24. [Google Scholar]
- Zhang, Z.; Sun, B.; Zhang, W. Pyramid Medical Transformer for Medical Image Segmentation. arXiv 2021, arXiv:2104.14702. [Google Scholar]
- Shi, X.; Cui, Z.; Zhang, S.; Cheng, M.; He, L.; Tang, X. Multi-similarity based Hyperrelation Network for few-shot segmentation. IET Image Process. 2022, 17, 204–214. [Google Scholar] [CrossRef]
- Liu, W.; Zhang, C.; Lin, G.; Liu, F. CRNet: Cross-Reference Networks for Few-Shot Segmentation. In Proceedings of the IEEE/CVF Conference on Computer Vision and Pattern Recognition (CVPR), Seattle, WA, USA, 13–19 June 2020; pp. 4164–4172. [Google Scholar]
- Zhang, M.; Shi, M.; Li, L. MFNet: Multi-class Few-shot Segmentation Network with Pixel-wise Metric Learning. IEEE Trans. Circuits Syst. Video Technol. 2021, 32, 8586–8598. [Google Scholar] [CrossRef]
- Dosovitskiy, A.; Beyer, L.; Kolesnikov, A.; Weissenborn, D.; Zhai, X.; Unterthiner, T.; Dehghani, M.; Minderer, M.; Heigold, G.; Gelly, S.; et al. An Image is Worth 16 × 16 Words: Transformers for Image Recognition at Scale. arXiv 2020, arXiv:2010.11929. [Google Scholar]
- Liu, Y.; Sun, G.; Qiu, Y.; Zhang, L.; Chhatkuli, A.; Van Gool, L. Transformer in Convolutional Neural Networks. arXiv 2021, arXiv:2106.03180. [Google Scholar]
- Wang, X.; Girshick, R.; Gupta, A.; He, K. Non-local Neural Networks. In Proceedings of the IEEE Conference on Computer Vision and Pattern Recognition (CVPR), Honolulu, HI, USA, 21–26 July 2017. [Google Scholar]
- Xue, M.; Cao, P.; Hou, B.; Liu, W. Data-driven decision-making with weights and reliabilities for diagnosis of thyroid cancer. Int. J. Mach. Learn. Cybern. 2022, 13, 2257–2271. [Google Scholar] [CrossRef]
- Vaiyapuri, T.; Dutta, A.K.; Punithavathi, I.S.H.; Duraipandy, P.; Alotaibi, S.S.; Alsolai, H.; Mohamed, A.; Mahgoub, H. Intelligent Deep-Learning-Enabled Decision-Making Medical System for Pancreatic Tumor Classification on CT Images. Healthcare 2022, 10, 677. [Google Scholar] [CrossRef] [PubMed]
- Ding, S.; Hu, S.; Li, X.; Zhang, Y.; Wu, D.D. Leveraging Multimodal Semantic Fusion for Gastric Cancer Screening via Hierarchical Attention Mechanism. IEEE Trans. Syst. Man Cybern. Syst. 2021, 52, 4286–4299. [Google Scholar] [CrossRef]
- Wu, J.; Liu, Z.; Gou, F.; Zhu, J.; Tang, H.; Zhou, X.; Xiong, W. BA-GCA Net: Boundary-Aware Grid Contextual Attention Net in Osteosarcoma MRI Image Segmentation. Comput. Intell. Neurosci. 2022, 2022, 3881833. [Google Scholar] [CrossRef]
- Gou, F.; Wu, J. Triad link prediction method based on the evolutionary analysis with IoT in opportunistic social networks. Comput. Commun. 2022, 181, 143–155. [Google Scholar] [CrossRef]
- Lv, B.; Liu, F.; Gou, F.; Wu, J. Multi-Scale Tumor Localization Based on Priori Guidance-Based Segmentation Method for Osteosarcoma MRI Images. Mathematics 2022, 10, 2099. [Google Scholar] [CrossRef]
- He, K.; Zhang, X.; Ren, S.; Sun, J. Deep Residual Learning for Image Recognition. In Proceedings of the IEEE Conference on Computer Vision and Pattern Recognition, Las Vegas, NV, USA, 27–30 June 2016. [Google Scholar]
- Deng, J.; Dong, W.; Socher, R.; Li, L.J.; Li, K.; Fei-Fei, L. ImageNet: A large-scale hierarchical image database. In Proceedings of the 2009 IEEE Conference on Computer Vision and Pattern Recognition, Miami, FL, USA, 20–25 June 2009; pp. 248–255. [Google Scholar]
- Zhang, C.; Lin, G.; Liu, F.; Yao, R.; Shen, C.; Soc, I.C. CANet: Class-Agnostic Segmentation Networks with Iterative Refinement and Attentive Few-Shot Learning. In Proceedings of the 32nd IEEE/CVF Conference on Computer Vision and Pattern Recognition (CVPR), Long Beach, CA, USA, 16–21 June 2019; pp. 5212–5221. [Google Scholar]
- Hu, T.; Yang, P.; Zhang, C.; Yu, G.; Mu, Y.; Snoek, C.G. Attention-Based Multi-Context Guiding for Few-Shot Semantic Segmentation. In Proceedings of the 33rd AAAI Conference on Artificial Intelligence/31st Innovative Applications of Artificial Intelligence Conference/9th AAAI Symposium on Educational Advances in Artificial Intelligence, Honolulu, HI, USA, 27 January–1 February 2019; pp. 8441–8448. [Google Scholar]
- Chen, L.-C.; Papandreou, G.; Schroff, F.; Adam, H. Rethinking Atrous Convolution for Semantic Image Segmentation. arXiv 2017, arXiv:1706.05587. [Google Scholar]
- Gou, F.; Wu, J. An Attention-based AI-assisted Segmentation System for Osteosarcoma MRI Images. In Proceedings of the 2022 IEEE International Conference on Bioinformatics and Biomedicine (BIBM), Las Vegas, NV, USA, 6–8 December 2022; pp. 1539–1543. [Google Scholar] [CrossRef]
- Lin, T.Y.; Dollár, P.; Girshick, R.; He, K.; Hariharan, B.; Belongie, S. Feature Pyramid Networks for Object Detection. In Proceedings of the 2017 IEEE Conference on Computer Vision and Pattern Recognition (CVPR), Honolulu, HI, USA, 21–26 July 2017; pp. 936–944. [Google Scholar]
- Zhao, H.; Shi, J.; Qi, X.; Wang, X.; Jia, J. Pyramid Scene Parsing Network. In Proceedings of the 2017 IEEE Conference on Computer Vision and Pattern Recognition (CVPR), Honolulu, HI, USA, 21–26 July 2017; pp. 6230–6239. [Google Scholar]
- Ronneberger, O.; Fischer, P.; Brox, T. U-net: Convolutional networks for biomedical image segmentation. In International Conference on Medical Image Computing and Computer-Assisted Intervention; Springer: Berlin/Heidelberg, Germany, 2015; pp. 234–241. [Google Scholar]
- Long, J.; Shelhamer, E.; Darrell, T. Fully convolutional networks for semantic segmentation. In Proceedings of the 2015 IEEE Conference on Computer Vision and Pattern Recognition (CVPR), Boston, MA, USA, 7–12 June 2015; pp. 3431–3440. [Google Scholar]
- Zhan, X.; Liu, J.; Long, H.; Zhu, J.; Tang, H.; Gou, F.; Wu, J. An Intelligent Auxiliary Framework for Bone Malignant Tumor Lesion Segmentation in Medical Image Analysis. Diagnostics 2023, 13, 223. [Google Scholar] [CrossRef]
- Wei, H.; Lv, B.; Liu, F.; Tang, H.; Gou, F.; Wu, J. A Tumor MRI Image Segmentation Framework Based on Class-Correlation Pattern Aggregation in Medical Decision-Making System. Mathematics 2023, 11, 1187. [Google Scholar] [CrossRef]










| Symbol | Meaning | 
|---|---|
| train set (including support set and query set) | |
| test set | |
| support set | |
| query set | |
| -th image | |
| -th image with label | |
| query feature map | |
| support feature map | |
| maximum similarity index | |
| the spatial resolution of average pooling | |
| feature pyramid | 
| Characteristic | Type | D = 204 | |
|---|---|---|---|
| Dtrain = 164 (80.4%) | Dtest = 40 (16.9%) | ||
| Sex | Female | 69 (42.1%) | 23 (57.5%) | 
| Male | 95 (57.9%) | 17 (42.5%) | |
| Marital status | Married | 19 (11.6%) | 13 (32.5%) | 
| Unmarried | 145 (88.4%) | 27 (67.5%) | |
| SES | Low | 66 (40.2%) | 12 (30.0%) | 
| High | 98 (59.8%) | 28 (70.0%) | |
| Surgery | Yes | 146 (89.0%) | 35 (87.5%) | 
| No | 18 (11.0%) | 5 (12.5%) | |
| Grade | Low | 15 (9.1%) | 26 (65.0%) | 
| High | 149 (90.9%) | 14 (35%) | |
| Location | Axial | 21 (12.8%) | 8 (20.0%) | 
| Extremity | 109 (66.5%) | 29 (72.5%) | |
| Block | Layer | DSC | IOU | 
|---|---|---|---|
| GEB | 3 | 0.883 | 0.865 | 
| LEB | 3 | 0.881 | 0.876 | 
| GEB + LEB | 2 | 0.916 | 0.925 | 
| GEB + LEB | 3 | 0.942 | 0.952 | 
| GEB + LEB | 4 | 0.937 | 0.939 | 
| Methods | DSC | IOU | Speed | 
|---|---|---|---|
| Ours (without prior) | 0.892 | 0.865 | 15.8 FPS | 
| Ours | 0.905 | 0.891 | 17.1 FPS | 
| Disclaimer/Publisher’s Note: The statements, opinions and data contained in all publications are solely those of the individual author(s) and contributor(s) and not of MDPI and/or the editor(s). MDPI and/or the editor(s) disclaim responsibility for any injury to people or property resulting from any ideas, methods, instructions or products referred to in the content. | 
© 2023 by the authors. Licensee MDPI, Basel, Switzerland. This article is an open access article distributed under the terms and conditions of the Creative Commons Attribution (CC BY) license (https://creativecommons.org/licenses/by/4.0/).
Share and Cite
He, K.; Qin, Y.; Gou, F.; Wu, J. A Novel Medical Decision-Making System Based on Multi-Scale Feature Enhancement for Small Samples. Mathematics 2023, 11, 2116. https://doi.org/10.3390/math11092116
He K, Qin Y, Gou F, Wu J. A Novel Medical Decision-Making System Based on Multi-Scale Feature Enhancement for Small Samples. Mathematics. 2023; 11(9):2116. https://doi.org/10.3390/math11092116
Chicago/Turabian StyleHe, Keke, Yue Qin, Fangfang Gou, and Jia Wu. 2023. "A Novel Medical Decision-Making System Based on Multi-Scale Feature Enhancement for Small Samples" Mathematics 11, no. 9: 2116. https://doi.org/10.3390/math11092116
APA StyleHe, K., Qin, Y., Gou, F., & Wu, J. (2023). A Novel Medical Decision-Making System Based on Multi-Scale Feature Enhancement for Small Samples. Mathematics, 11(9), 2116. https://doi.org/10.3390/math11092116
 
        



 
       